JBCS



12:10, sáb out 25

Acesso Aberto/TP



Artigo


Redgim como aplicativo de smartphone para aplicações quimiométricas por meio de análise de imagens: um uso em PLS
Redgim as a smartphone app for chemometrics applications through image analysis: a use in PLS

Thalles R. RosaI,III; Bruno M. M. SiqueiraI; Rayana A. CostaI; Jadson Z. dos ReisI; Wagner L. S. PachecoIII; Paulo R. G. de MouraI; Wanderson RomãoI,II,IV,*; Paulo R. FilgueirasI,*

I. Laboratório de Petroleômica e Química Forense, Departamento de Química, Universidade Federal do Espírito Santo, 29075-910 Vitória - ES, Brasil
II. Instituto Federal do Espírito Santo, 29106-010 Vila Velha - ES, Brasil
III. Instituto Federal do Espírito Santo, 29192-733 Aracruz - ES, Brasil
IV. Instituto Nacional de Ciência e Tecnologia Forense (INCT Forense), Brasil

Recebido em: 10/06/2021
Aceito em: 07/12/2021
Publicado em: 04/02/2022

Endereço para correspondência

*e-mail: paulo.filgueiras@ufes.br
#e-mail alternativo: wanderson.romao@ifes.edu.br

RESUMO

The study of the spectrum of light has increased its range of action in the field of chemistry, with the help of several advanced equipment and innovative techniques that have become a strong ally of analytical chemistry. However, the simplicity of obtaining results integrated with mobile devices appears as an interesting path to be taken in the field of chemical analysis. This work addresses the dissemination of an application called REDGIM for smartphones on the Android platform capable of working with multivariate image analysis using chemometric methods through the luminous intensities of photos and R (red), G (green) and B (blue) channels. In order to show the potential of REDGIM, we propose two applications using the partial least squares (PLS) regression method: 1) quantification of free chlorine in tap water; and 2) quantification of cannabinol, (CBN, a type of cannabinoid) in marijuana and hashish samples. The free chlorine concentration obtained for two investigated samples was 0.73 and 0.74 mg L-1 and 0.74 and 0.76 mg L-1 by the spectrophotometer and by the application (container: cuvette), respectively. For the quantification of CBN in marijuana and hashish samples, the mean concentration ranged from 6.137 to 8.823 mg mL-1. The results obtained by the application are compatible with results from traditional techniques, such as UV-Vis spectrophotometry, for example. Therefore, REDGIM was proved to be a simple and accessible technological tool for the scientific community, being viable for chemical tests of a multivariate nature.

Palavras-chave: RGB; multivariate image analysis; smartphone; PLS.

INTRODUÇÃO

Na química, a mudança da cor é um importante indicador tanto para a ocorrência de reações químicas quanto para a determinação das concentrações de analitos. Para este último, aplica-se a técnica de colorimetria (medida da cor), que usa a absorção molecular de espécies coloridas a partir da incidência de radiação eletromagnética monocromática.1 É notório que no fenômeno vinculado à absorção, encontra-se também o viés da reflexão, pois de maneira significativa, ambas são complementares. Diante disso, a radiação refletida também propaga informações a respeito da concentração do analito colorido na amostra em estudo.2,3

No contexto de registrar as cores refletidas da formação de reações químicas como métodos de análises, a imagem de uma câmera digital é a maneira mais acessível e popular. Elas estão acopladas aos dispositivos móveis e são, na verdade, poderosos sensores de captura de luz muito similares aos implementados nos próprios detectores dos novos aparelhos espectrofotométricos com CCD (do inglês, Charge Coupled Device).3-5

Na Figura 1, pode-se observar que uma imagem digital é obtida por meio de vários transdutores fotossensíveis que convertem a luz refletida de um corpo em matrizes numéricas. Cada elemento dessa matriz, no contexto da imagem digital, recebe o nome de pixel.6 Cada pixel é composto por um sistema tricromático com as cores vermelha (R) (do inglês, Red), verde (G) (do inglês, Green) e azul (B) (do inglês, Blue).7 Essas três cores, quando combinadas, compõem outras tonalidades de cores.

 


Figura 1. Transdução da luz visível para ser transformada em matriz numérica (de R, G e B) pelo sensor do dispositivo fotográfico em imagem digital. O objeto (a) real reflete a luz visível (b) e uma região de interesse (c) (ROI) é focalizada para o sensor da câmera digital (d) do smartphone. A câmera possui milhares de microlentes (e) as quais centralizam os feixes luminosos para os filtros (filtros de Bayer) (f) das respectivas cores monocromáticas (g) vermelha (R), verde (G) ou azul (B) traduzidas em sinal elétrico pelos sensores (h)

 

Com o avanço da tecnologia, as câmeras digitais têm melhorado consideravelmente a quantidade de informação coletada de uma cena real. Essa quantidade de informação é expressa em relação a densidade dos pixels, que de certa forma é um parâmetro que faz a relação entre o tamanho e a resolução da tela do dispositivo e assim a comparação entre as câmeras digitais.8 Se uma imagem tiver a sua resolução de 12 megapixels, ela terá 12 milhões de pequenas unidades chamadas de pixel. Um estudo de Sang, Wang e Li9 nos mostra uma nova representação quântica de imagens digitais, por qual perpassa pelas matrizes numéricas junto a uma disposição dos três modos (posição vertical, posição horizontal e valores de RGB - sendo um valor para cada posição na matriz espacial). A combinação dessas três componentes de cor permite o domínio de 16 milhões de possibilidades de cores.10

O processamento de imagens digitais obviamente existe após o surgimento dos computadores. Os processamentos de imagens, muito parecidos com os aplicados, possuem publicações de quase 3 décadas, como por exemplo, dos trabalhos publicados por Geladi e colaboradores,11,12 no qual os autores dividiram como parte I, o que remete a respeito de conceitos e propriedades de uma imagem, bem como suas representações das posições nas coordenadas (x,y e as vezes z), além do âmbito de aplicações das imagens no laboratório de química e na indústria. Por outro lado, na parte II, os autores apresentaram conceitos sobre a teoria por trás da análise multivariada de imagens, principalmente sobre reconhecimento de padrões tendo em vista a análise de componentes principais (PCA, do inglês, principal component analysis). Além disso, muitas das ferramentas estatísticas usadas na época são a base de muitos métodos de análise multivariada atuais.13,14 A grande diferença que coloca os últimos 10 anos em destaque na evolução do processamento de imagem, é a popularização dos meios de captura de imagens e vídeos digitais, sobretudo para novos estudos no contexto da química.2,15,16 Contudo, a utilização desses dispositivos também vem ganhando destaque no meio científico que facilita a obtenção de informações junto à métodos de análises estatísticos e matemáticos em diversas áreas, viabilizando de modo rápido, barato e sustentável, com menor geração de resíduos possível quando comparamos com as tecnologias convencionais.17-19

Três fatores influenciam na qualidade das imagens digitais, podendo interferir de fato nos resultados obtidos. São eles: Iluminação (controle de luminosidade), distância entre o objeto de interesse e as lentes, e a não linearidade entre os sensores dos dispositivos.18 Perante ao que foi mostrado, pesquisas estão sendo realizadas explorando dispositivos de captura de imagem na busca de melhores resultados e na rapidez da obtenção dos dados. Em meados da década passada, o uso de scanner de mesa proporcionou boas condições para a captura das imagens digitais com a minimização dos efeitos não uniformes gerados pela luz ambiente.3,10,20 O estudo de Gomes et al.,10 por exemplo, com o uso de um scanner propôs um experimento didático para determinação de ácido ascórbico em medicamentos com base na reação de oxirredução com o azul da Prússia (Fe4[Fe(CN)6]3). Tendo por objetivo ver uma melhor captura das imagens, os autores variaram a fôrma com as amostras no scanner posicionando-a de maneira perpendicular e paralelamente à barra de luz do aparelho. Ao final, os pesquisadores viram que fazer essa variação na posição das fôrmas contendo as amostras no momento da captura da imagem foi importante, pois quando as amostras foram postas de maneira perpendicular ao feixe de luz, obtiveram melhores resultados devido à menor reflexão da radiação. Os resultados foram concordantes com o método convencional de espectrofotometria e o procedimento se mostrou atraente para os cursos de graduação em análise instrumental. Na abordagem dos autores, assim como na química analítica de maneira geral, os modelos de calibração direta para determinar a relação entre a concentração e a intensidade da componente azul absorvida podem ser usados. Esse contexto que faz a relação matemática entre uma variável dependente e a variável independente é chamada de calibração univariada,21 usada pelos autores.10

A relação do canal azul no método citado acima cria a situação ideal onde a cor do grupo cromóforo coincide com um dos três canais R, G ou B. Isso torna possível a análise univariada com estimativa da concentração do ácido ascórbico tendo como sinal analítico a intensidade média das regiões de interesse ROI (do inglês, Region of Interest) do canal azul. Por outro lado, algumas espécies podem assumir colorações que demandam das informações de intensidade de mais de um canal e, para isso, o uso da análise multivariada é mais apropriada por considerar todas as intensidades dos pixels lidos e todos os três canais.16,22

Tendo uma visão dessa perspectiva, a análise multivariada de imagens - MIA, (do inglês, Multivariate Image Analysis) tem como ponto de partida a investigação das imagens obtidas em matrizes R,G e B, cujas linhas contêm os valores de intensidade de cores dos pixels.16 Os histogramas de cor, por exemplo, fazem uma representação estatística de uma região de interesse. Com ela, é possível reduzir as informações dos pixels de uma imagem qualquer para uma matriz com 3 vetores (um para cada canal de cor RGB).23 A análise multivariada por imagem, tem muito a agregar na hora do processamento dos dados e dependendo da análise aplicada, é possível reduzir ainda mais o número de variáveis que menos contribuem para a previsão do valor da propriedade de interesse (como concentração do analito ou pH da solução).14 Dentre vários métodos de análise, destacam-se na literatura a PCA e a regressão por mínimos quadrados parciais (PLS, do inglês, Partial Least Squares).16

A regressão PLS é amplamente usada na quimiometria como método de regressão. Ela é uma técnica de decomposição das variáveis da matriz preditora (X) e matriz resposta (Y) com similaridade ao que hoje se conhece como (PCA) com uso da regressão linear múltipla (MLR, do inglês, Multiple Linear Regression).24 A componente principal reduz o número de variáveis e contorna o problema da colinearidade da matriz preditora (X), que é um inconveniente na aplicação da MLR.25 Essa união entre regressão linear e PCA não é exclusividade da regressão PLS, sendo que a regressão por componentes principais (PCR, do inglês, Principal Components Regression) também é uma alternativa a limitação da MLR. Porém, a PCR considera que apenas as variáveis de X possam assumir erros na estimativa, e não a matriz resposta. Dessa forma, a regressão PLS leva em consideração que erros nas alternativas podem partir das duas matrizes X e Y.26

No ano de 2016, um grupo de pesquisadores da Universidade Federal do Espírito Santo (UFES) em parceria com colaboradores da Universidade Federal do Rio Grande do Norte (UFRN) e do Instituto Federal do Espírito Santo (IFES) deram início ao desenvolvimento de um aplicativo chamado REDGIM para smartphones, disponível na plataforma Android justamente para auxiliar nas análises químicas por meio da análise multivariada de dados por imagens com os métodos de PLS e PCA. Fruto disso foi o primeiro trabalho de Tosato et al.23 referente a uma abordagem simples e barata que empregou o uso de um smartphone para capturar as imagens dos cromatogramas gerados pela técnica de cromatografia em camada delgada (CCD) e assim quantificar diretamente pelo uso do REDGIM, cocaína e fenacetina em amostras ilícitas apreendidas no Brasil. As imagens obtidas junto ao aplicativo permitiram o processamento imediato das placas de CCD, o que excluiu a necessidade de um espectrofotômetro de grande porte e caro. Utilizou-se o método de PLS pelo aplicativo na leitura das imagens obtidas das placas por meio do sistema RGB, contendo cocaína (0,50 a 16,00 mg L-1) e fenacetina (0,00 a 14,00 mg L-1) como adulterantes. Os valores referentes ao RMSEP alcançados para os modelos de cocaína e fenacetina, foram respectivamente, iguais a 1,60 e 1,36 mg L-1 e sua precisão foi respectivamente igual a 6,22 e 7,14%. Não se observou diferença estatística ao nível de confiança de 95% para ambos os analitos quantificados pelo método proposto e os encontrados pelo método de referência utilizando cromatografia gasosa com detecção de ionização de chama, comprovando a confiabilidade do método de utilizando o smartphone e o aplicativo como alternativa para esses ensaios.

Dessa forma, diversos métodos de análise têm sido repaginados para abordagem baseadas em aplicativos de smartphones que usam a análise multivariada. Como vantagens adquiridas em relação aos métodos de bancada, tem-se a portabilidade e o baixo custo. Com isso, trabalhos e pesquisas estão sendo desenvolvidos sob diversos métodos de análise que têm sido repaginados para abordagens baseadas em aplicativos de smartphones que usam da análise multivariada e tratando os dados obtidos pelo próprio aplicativo com o mesmo dispositivo perante a aquisição das imagens, facilitando o processo de análise como é o caso do REDGIM.

Costa et al.27 utilizaram o REDGIM e o aplicativo PhotoMetrix como instrumentos de análise no controle de qualidade do leite perante a adulteração com amido, peróxido de hidrogênio (H2O2) e hipoclorito de sódio (NaClO) como um método alternativo ao convencional. As análises realizadas por ambos os aplicativos foram feitas pelo método PLS por meio dos histogramas gerados no sistema RGB, sendo calculados no interior dos próprios aplicativos. Os resultados obtidos a partir do processamento das imagens adquiridas demonstraram um coeficiente de correlação de 0,9997 para H2O2, 0,9929 para NaClO e 0,9974 para amido utilizando o Photometrix. por meio do REDGIM, os valores encontrados foram de 0,9785 para H2O2, 0,9653 para NaClO e 0,9777 para amido. Os resultados encontrados foram satisfatórios e comprovaram que os aplicativos conseguiram quantificar de modo mais simples e de maneira robusta os adulterantes presentes no leite.

Diante do que foi exposto, o objetivo deste trabalho é divulgar o aplicativo REDGIM demonstrando suas funcionalidades e aplicações como a quantificação do teor de cloro livre em água de torneira (método da orto-tolidina), e identificação e determinação de CBN em amostras de maconha e haxixe apreendidas pela Polícia Civil do ES (método CCD). Tendo as duas aplicações utilizando a regressão PLS como método de análise.

 

METODOLOGIA

Para gerar uma alternativa à técnica de colorimetria, usamos câmeras de celulares como sensor de cor. Na presença dos atuais poderes de processamento dos smartphones, embutimos os algoritmos de PLS e PCA para gerar análises multivariadas no próprio dispositivo.

As tecnologias usadas para a elaboração do aplicativo foram as linguagens de programação Java e Kotlin por serem indicadas para aplicativos nativos do sistema operacional Android proporcionando alta performance de cálculos. O REDGIM, registrado no INPI (Processo nº: BR 51 2018 001100-4), está disponível gratuitamente na plataforma do Google Play e na forma de website pelo endereço (http://www.redgim.com/gp), nos idiomas inglês e português brasileiro.

Pré-processamento das imagens

Para gerar informações das soluções do branco (ou brancos), padrão e amostras, é necessário selecionar uma região de interesse para cada uma dessas soluções/amostra. Essa captura pode ser obtida a partir da ação mostrada na Figura 2a, em que se usam os dedos polegar e indicador para aproximação/afastamento.

 


Figura 2. Nos itens (a) e (b) é apresentada a interface da captura das regiões de interesse da imagem (ROI). Já em relação aos itens (c), (d) e (f), mostra-se o formato do pré-processamento da imagem no REDGIM. Os 16 pixels da região de interesse (ROI) da imagem digital de 4 x 4 pixels (c) são separados. A matriz (d) é então contabilizada para gerar os histogramas (e) R, G e B . Por último, interfaces de captura e gerenciamento das ROI's. Na tela (f), o painel (i) possui três opções de tipo de captura. A entrada (ii) se altera para a entrada de concentração ou nome da amostra. Em (iii), há o histograma da captura selecionada. Na tela (g), o botão (i) limpa a listagem e o (ii) edita, remove ou visualiza o ROI capturado

 

O armazenamento das informações foi configurado para a ação de um pressionamento superior a 1 segundo como exemplifica a Figura 2b. Uma ROI poderá ser apagada com um clique longo da mesma forma que se realiza o armazenamento. Além disso, estão disponíveis os formatos geométricos de um retângulo ou círculo, ambos configuráveis. Após o armazenamento das ROI's, os pixels que as compõem são computados como mostra o diagrama da Figuras 2c, 2d, 2e). Cada componente da cor R, G ou B tem seu domínio de intensidade mapeado entre 0 até 10 com resolução de ≈ 0, 03921 (256 valores). No exemplo do processamento de um ROI na Figura 2b, um quadrado de aresta de 4 pixels é capturado pelo usuário Figura 2c, o que gera um total de 16 pixels (Figura 2d) que contém as informações de intensidade dos 3 canais R, G e B. Lembrando que cada trio de cores RGB corresponde a um pixel, como mostrado na Figura 2d. A computação dos pixels é ponto de partida para a criação dos histogramas de cada um canal, o qual possui no eixo das abscissas as 256 intensidades possíveis (≈ 10,0/0,03921) e no eixo da ordenada a frequência das intensidades.

O número de intensidades 8 (ou 80%) para a cor vermelha, na ROI, ocorre nas coordenadas dos pixels de: R(x, y) = p(1, 2), p(1, 4), p(2, 4), p(3, 2), p(3, 3) e p(4, 1), o que totaliza 6 incidências (frequência = 6). Esse valor é plotado no histograma (Figura 2e) criando a barra na intensidade x = 8 e frequência f = 6. Já informações extras de entrada como concentração do padrão e o nome da amostra aparecem na Figura 2f, 2g). Na mesma parte da figura é mostrado o histograma do ROI que será armazenado ou editado.

Processamento quimiométrico

Cada ROI tem os seus três histogramas R, G e B concatenados para compor uma linha da matriz X(m.n), sendo que cada amostra da qual se faz a captura da região de interesse, torna-se um vetor. O número de linhas dessa matriz (m) é a quantidade de pontos para a calibração do modelo, Ex.: (Solução padrão 1, 2, ..., m). Na prática, essas informações são representadas por 8 bits na memória, o que na notação decimal assume o valor mínimo de 0 e máximo de 255 (ou seja, 28 = 256, contando com o zero).28

Depois que a matriz X é criada (Figura 3a), cada linha é assimilada com uma concentração. Dessa forma, obtêm-se os parâmetros de entrada para aplicação de regressão multivariada PLS. Para aplicar esse modelo, a matriz X e o vetor y são decompostos em uma soma de variáveis latentes h.29

 


Figura 3. (a) - Composição da matriz X e o vetor y usados na análise multivariada. Cada região de interesse têm os seus histogramas concatenados para um único vetor com tamanho igual a 30 (3 x 10). Interfaces para escolha do número de variáveis latentes do modelo PLS. Na tela (b) é possível escolher manualmente. Clicando no botão "Otimizar" é aberta a tela (c) que realiza o parâmetro de processamento do número de variáveis latentes usando a abordagem leave-one-out. Na tela do aplicativo após o processamento (d), os resultados das ROI's são definidos com os valores das amostras calculadas e as características de desempenho do modelo PLS. Já na interface (e), mostra a página de exportação dos resultados

 

Definição e otimização de variáveis latentes

O número de variáveis latentes do modelo PLS é otimizado dentro do próprio aplicativo usando a interface de acordo com a Figura 3b. Alternativamente, o aplicativo também usa a minimização do erro relativo médio na validação cruzada empregando o sistema leave-one-out conforme a interface mostrada na Figura 3c. O método de escolha do número de variáveis latentes consiste em dividir o conjunto de dados original em vários segmentos. Um deles é então separado para ser usado como teste e os demais para criar o modelo. O número de segmentos será o número total de modelos gerados, assim, todos os segmentos terão a oportunidade de servirem como calibração e, também, como teste. Esse modo de validação cruzada com um método chamado leave-one-out, que é uma condição do k-fold, é caracterizado quando a quantidade de amostras usadas para teste é igual a unidade. Cada uma validação é repetida para cada nova variável latente adicionada. Esse procedimento é necessário para verificar o poder preditivo de cada variável latente, e então parar a extração deles quando começarem a ocorrer fatores com baixo poder preditivo.30,31

No aplicativo, são necessários 3 cliques para realizar a otimização: (1) [Otimizar] -- (2) [Gráfico] -- (3) [Salvar]. Para o uso do REDGIM em cada aplicação para a determinação dos analitos, foram definidos o número de variáveis latentes igual a 2 após a otimização.

Visualização dos resultados

Interna (em Tela)

O REDGIM apresenta os resultados em tela (Figura 3d) com permissão para zoom e interação com os resultados. Porém, é incentivado a exportação dos resultados que são intermediários para o processamento do modelo (Figura 3e).

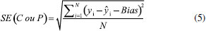
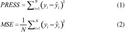
O parâmetro normalmente utilizado para avaliar a qualidade de um modelo utiliza o somatório do quadrado dos resíduos, pois desta forma, há uma comparação no valor predito e o obtido pelo modelo. Então, calcula-se o somatório dos quadrados dos erros residuais previstos PRESS (do inglês, Predicted Residual Error Sum of Squares) ou o seu valor médio, MSE (do inglês, Mean Squared Error), segundo as equações 1 e 2.32

em que: yi é o valor teórico ou de referência; ŷi é o valor previsto pelo modelo; N é o número de amostras pertencentes ao modelo.

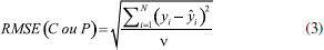
Para trabalhar nas mesmas unidades da matriz Y, calcula-se o valor de raiz quadrada do MSE, ou seja, RMSE (do inglês, Root Mean Square Error), como mostra a equação 3:

em que ν é o número de graus de liberdade, que, para o cálculo do RMSEP (do inglês, Root Mean Square Error Prediction), corresponde ao número de amostras de previsão. Para o cálculo do RMSEC (do inglês, Root Mean Square Error Calibration), é obtido pelo número de amostras N, o número de fatores k segundo a Equação 4 quando os dados são centrados na média.

Quando os dados se referem ao conjunto de calibração, a equação 3 é usada para obter o valor de RMSEC. Por outro lado, quando são usados os dados de previsão, é obtido o valor de RMSEP.

O valor de SEC (do inglês, Standard Error Calibration) e SEP (do inglês, Standard Error Prediction) são considerados medida de precisão e são calculados usando a equação 5.22

em que o valor da Bias é calculado segundo a equação 6:

A linearidade pode ser avaliada pela avaliação do coeficiente de determinação (R2), de acordo com a equação 7. Quanto mais próxima de 1, mais forte a correção será.

sendo ȳ o valor médio de y.

Com relação aos parâmetros químicos para a verificação do método proposto, utilizaram-se os cálculos de limite de detecção (LD) e limite de quantificação (LQ) de acordo com o guia Eurachem33 pelas equações 8 e 10, respectivamente:

sendo que S0' é calculado por meio da equação 9:

em que: S0: desvio padrão estimado de m resultados únicos na concentração zero ou próximo a zero; S0': desvio padrão usado para calcular o LD ou LQ; n: média da determinação da amostra ao relatar os resultados, em que cada replicação é obtida seguindo todo o procedimento de medição; nb: média dos valores do branco quando calculando a correção do branco de acordo com todo o procedimento de medição.

Foram realizadas dez medidas de um único branco de calibração para obter o desvio padrão. Por outro lado, o limite de quantificação (LQ) foi calculado a partir da equação 10:

sendo que S0' é calculado pela equação 9.

Persistência dos resultados

A imagem e a listagem das ROI's são armazenadas em um arquivo único com extensão de *.det. Esse arquivo é um compactado que contém a imagem em alta resolução e as informações das coordenadas do posicionamento das ROI's e o tamanho dos mesmos.

Aplicação 1 - Determinação de cloro livre em água de torneira

Reagentes e soluções

Todas as soluções foram preparadas com a utilização de água deionizada. A solução padrão estoque de cloro foi obtida a partir da diluição de uma solução de hipoclorito de sódio 4 - 6% m v-1 PA (Dinâmica Química - Indaiatuba/SP). As soluções padrão de cloro foram padronizadas usando a análise volumétrica por iodometria de acordo com Vogel,34 obtendo-se a concentração de 55,63 g L-1 com uma incerteza de 0,02 g L-1 para n = 3.

A solução de orto-tolidina, C14H16N2, (Bauminas Hidroazul® - Cataguases/MG) foi obtida em comércio especializado em produtos químicos para tratamento de água de piscinas. O frasco conta-gotas contém 23 mL de uma solução de orto-toluidina a 0,1% m v-1 em meio HCl (CAS 7647-01-0) a ≈ 1% m v-1. Até a concentração máxima da curva analítica (0,800 mg L-1), a quantidade de ácido presente no indicador é suficiente para deixar o pH em aproximadamente 2,4 com balão de 25 mL.35

As duas amostras de água potável foram coletadas em dois pontos do Instituto Federal de Educação, Ciência e Tecnologia do Espírito Santo (Ifes) campus Aracruz (Espírito Santo, Brasil) ligados diretamente à concessionária de água potável da cidade. A primeira, chamada de Amostra 1, teve Fator de diluição igual a 2,08(15) e, a Amostra 2, de 1,67(13).

Construção da curva analítica

Para a construção da curva analítica de hipoclorito de sódio, preparamos uma solução de 20 mg L-1. Foram separados 8 balões volumétricos de 25,0 mL. O balão 1 foi separado para o branco de calibração (que também coincide com o branco de preparo). Os balões de 2 a 6 foram usados para compor as soluções padrão cuja faixa de trabalho é de 0,160 a 0,800 mg L-1 (adições sucessivas de 200 μL).

Por fim, os balões 7 e 8 foram separados para duas amostras de água de torneira tomando como alíquota 12,00 mL (Fator de diluição igual a 2,08) 15,00 mL (Fator de diluição igual a 1,67). Em seguida, adicionaram-se em todos os balões, 200 μL da solução de orto-tolidina e aferiu-se para o volume de 25,0 mL.

Método espectrofotométrico

Todas as varreduras espectrais foram realizadas de 300 - 600 nm por um espectrofotômetro UV-Vis Varian ® Cary 50 Bio da Agilent Technologies (Santa Clara, Califórnia, EUA), usando cubetas de poliestireno de 10 mm de caminho óptico.

O resultado final e a incerteza foram calculados levando em consideração o λmáximo= 433 nm da absorção e a regressão univariada.

Método usando o REDGIM

Usamos um smartphone (Xiaomi® Redmi 6 - câmera de 12 megapixel + 5 megapixel, resolução 4032 x 3024 pixel, abertura da câmera F 2.2 + F 2.2, estabilização digital e sistema operacional Android 9 MIUI 10 Pie) com a versão 1.30.0 do REDGIM. Capturamos as imagens usando o próprio aplicativo, sendo que as soluções foram dispostas em linha e o modo de captura das soluções foi de modo múltiplo conforme a configuração do aplicativo, ou seja, todas as soluções da curva estão presentes na mesma imagem, incluindo as duas amostras (replicatas). O smartphone foi posicionado à frente das soluções de forma a enquadrá-las em toda a área da imagem. Duas capturas foram obtidas, sendo uma para a curva analítica no balão e outra para as cubetas. As soluções foram as mesmas, desta forma, a imagem do balão foi obtida primeiro.

As ROI's do balão foram definidas como quadrado de aresta 45 pixels na área imediatamente inferior ao menisco. Para as cubetas, foram definidas as dimensões de 150 por 200 pixels. O número de variáveis latentes foi otimizado pelo próprio aplicativo, para ambos e 2 variáveis latentes foram escolhidas.

Os resultados foram visualizados no aplicativo e comparamos os resultados entre o método espectrofotométrico de referência e o de processamento de imagem (REDGIM).

Aplicação 2 - Determinação de CBN em amostras de maconha e haxixe

Materiais e reagente

Utilizamos metanol (HPLC - Merck, Darmstadt - Alemanha) para preparar o extrato das amostras apreendidas e ciclohexano (P.A., Merck, Darmstadt - Alemanha), tolueno (P.A., Vetec, Rio de Janeiro - Brasil) e dietilamina (P.S., Vetec, Rio de Janeiro - Brasil) como fase móvel na análise de CCD. As placas cromatográficas utilizadas foram com suporte de vidro e de sílica gel 60 Sil G-25 HR 10x10 cm (Marcherey-Nagel MN - São Paulo, Brasil). Para a corrida cromatográfica foi utilizada uma cuba de vidro com tampa (Macherey-Nagel).

Os padrões de CBN utilizados foram obtidos pelo laboratório de ressonância magnética nuclear por meio de maceração e extração com metanol de amostras apreendidas. Após o fracionamento os padrões foram analisados por ressonância magnética nuclear (RMN - espectrômetro Varian 400 MHz VNMRS 400), cromatografia gasosa acoplada a espectrometria de massas (CG-EM Agilent Technologies 7890B e detector de massas 5977A) e espectrometria de massas (EM) (FT-ICR MS 9,4T Solarix - Bruker Daltonics) com tempo de retenção similar ao padrão de referência de CBN (Cerilliant® Analytical Reference Standards, Texas, USA).36,37

Amostras

Quatorze amostras de maconha e duas de haxixe foram utilizadas para o ensaio colorimétrico. As amostras utilizadas no presente estudo foram apreendidas e fornecidas pela Polícia Técnica e Científica do Espírito Santo de acordo com o acordo de cooperação (processo número 23068.022157/2020-69 - Extrato de acordo de cooperação Nº 13/2020).

Cromatografia em camada delgada (CCD)

Inicialmente, as placas cromatográficas foram ativadas por 20 minutos em estufa a 70 ºC. O padrão de CBN foi pesado em balança analítica e dissolvido em 1 mL de metanol. As análises de CCD foram realizadas em duplicata, com a curva analítica construída por seis diferentes concentrações do padrão (1,0; 2,0; 4,0; 6,0, 8,0 e 10,0 mg mL-1). As soluções foram aplicadas na placa cromatográfica, de fase estacionária de sílica gel, com auxílio de uma micropipeta de 10 μL e distanciamento de 1 cm entre os pontos. O modelo construído foi aplicado na quantificação de CBN em diversas amostras de maconha e haxixe de concentração de aproximadamente 100,00 mg mL-1. O sistema de eluição, preparado 45 minutos antes de iniciar a análise, utilizado foi: ciclohexano: tolueno: dietilamina 70:20:5% v v-1. Após a corrida cromatográfica (30 minutos) os componentes foram visualizados em uma câmara com lâmpada UV a 254 nm.

Análise dos dados empregando o REDGIM

As imagens foram obtidas diretamente pelo aplicativo na configuração de modo múltiplo, a partir de um smartphone Samsung S7 (câmera de 12 megapixels, abertura F 1.7, estabilização óptica, resolução 4290x2800 pixel e sistema operacional Android 8.0 Samsung Experience 9.0 Oreo). Todas as imagens foram adquiridas a uma altura fixa de 24 cm de cada placa, ROI de 30x30 pixels, com 2 variáveis latentes, sugeridas pelo próprio aplicativo, e os dados foram processados e visualizados diretamente na tela do smartphone pelo REDGIM na versão 2.2.0.00

 

RESULTADOS E DISCUSSÃO

Aplicação 1 - Determinação de cloro livre em água de torneira

A água considerada potável, ou seja, própria para o consumo, deve apresentar determinadas características físicas, químicas e biológicas que não provoque danos à saúde humana.38 No Brasil, o processo de desinfecção da água é obrigatório em todos os sistemas de abastecimento e é regido pela Portaria nº 2914 de 2011. A desinfecção da água é realizada com adição de cloro e de acordo com o Ministério da Saúde é obrigatório uma concentração mínima de 0,2 mg L-1 e máxima de 2,0 mg L-1 de cloro residual livre em qualquer ponto de abastecimento.39 Essas concentrações são determinadas por análises colorimétricas, como por exemplo, o método indicador DPD (N,N-dietil-p-fenilendiamina), amperométrico, iodométrico e o orto-toluidina.40

O método da orto-tolidina é de simples preparo, embora o pH indicado na literatura seja inferior a 2,8 (Figura 4), como indicador comercial, que já vem em meio ácido, é suficiente para construir a curva analítica até 0,800 mg L-1. Acima dessa concentração, foi observado o deslocamento da cor de amarelo para laranja. Além disso, as soluções tendem a descolorar rapidamente. Essa instabilidade já era reportada nos primeiros trabalhos com a o-tolidina.35 No entanto, a captura de uma imagem do sistema da curva analítica é rápida se comparado com o tempo total de leitura das absorbâncias máximas por espectrofotometria.

 


Figura 4. Oxidação da o-tolidina formando uma imino-quinona (a)41 e varreduras espectrais (b) na faixa de 300 a 600 nm para as 5 soluções padrão de hipoclorito de sódio com concentrações de 0, 160; 0, 320; 0, 480; 0, 640 e 0, 800 mg L-1 e a Amostra 1 e 2 (duplicata). (c) Curva analítica com as absorbâncias máximas em λ máximo = 433 nm

 

A Figura 4b-4c mostra as bandas de absorção para imino-quinona (produto da reação de oxidação entre o gás cloro aquoso) em concentrações que variam de 0,160 - 0,800 mg L-1 para os padrões de hipoclorito. O método espectrofotométrico usado como referência obteve boa linearidade (R2) com o método univariado, y = 0,5566x - 0,0277. As linhas tracejadas correspondem às absorbâncias dos padrões líquida (subtraídas do branco). As concentrações calculadas e a comparação entre o método de referência e as determinadas com o REDGIM para a cubeta e balão volumétrico, encontram-se na Tabela 1.

 

 

Para as amostras 1 e 2, foram obtidas as concentrações de 1,52(8) e 1,32(6), respectivamente. As incertezas foram calculadas usando os exemplos reproduzidos na Guia Eurachem.42 Os valores de incerteza para o REDGIM não foram reportados, pois o cálculo de incerteza em análise multivariada gera um alto poder de processamento e consumo de memória RAM.

Levando em consideração o método de referência, as amostras 1 e 2 tiveram erro absoluto relativo de 1%, 3% e 2, 7% usando a cubeta. Para os balões, os erros foram de 8%, 2% e 16%. Comparando os resultados do REDGIM, as porcentagens maiores que 8% são evidências de que o modelo PLS aplicado, embora ajustado e com 2 variáveis latentes, não possui capacidade de predição.

As Figuras 5a-5b) mostram as mesmas soluções usadas para a determinação de cloro livre em água de torneira, porém, em balão volumétrico e cubeta de poliestireno, respectivamente. Para a Figura 5a, as soluções colocadas em balões do mesmo fabricante e lote para minimizar variações no índice de refração do vidro.

 


Figura 5. Imagem única para a curva analítica (a) balão e (b) cubeta na presença das duas amostras de água de torneira, obtidas diretamente da concessionária que administra o abastecimento de água de Aracruz/ES e do branco de calibração/preparação. As concentrações dos padrões de 1 a 5 são iguais a 0, 160; 0, 320; 0, 480; 0, 640 e 0, 800 mg.L-1, respectivamente. As áreas marcadas em vermelho correspondem aos ROI's

 

Os resultados da determinação para o balão volumétrico não foram satisfatórios quando comparado com a método espectrofotométrico. Uma separação dos canais em R, G e B auxilia na compreensão da interferência da luz branca incidida sobre os balões.

O uso dos balões é viável, pois as soluções dos padrões são preparadas nas próprias vidrarias para o exato volume final. Porém, alguns cuidados devem ser tomados. Como exemplo, eles não devem ficar muito distantes uns dos outros, pois, assim, o efeito da luz irá interferir consideravelmente no resultado da análise.

Por outro lado, o uso de cubetas de poliestireno, usadas para colorimetria, é uma alternativa de baixo custo. As mesmas soluções foram transferidas e a imagem da Figura 5b foi obtida. Como resultado, as soluções foram dispostas mais próximas umas das outras permitindo uma maior aproximação da câmera e, consequentemente, uma melhor amostragem dos ROI's em termos de número de pixels.

Se com o uso dos balões, o tamanho de uma aresta de um ROI quadrado foi 65 pixels, nas cubetas, embora menores, é possível coletar 150 pixels de largura por 200 pixels de altura. Isso acontece pelo fato da largura total das cubetas em linha não superar 9 cm. Nesse caso, há uma melhora no enquadramento da imagem. Com essas dimensões para a amostragem de apenas um ROI, são computados 30 mil pixels tricromáticos para se estimar os histogramas. Cada uma dos ROI's da Figura 5, definidas pelo marcador vermelho, foram recortados e os seus histogramas RGB sobrepostos para compor os gráficos da Figura 1S.

Em linhas gerais, os fenômenos físicos envolvidos são diferentes, pois, se na espectrofotometria/colorimetria há a absorção da radiação, nas análises das imagens digitais das soluções, o que se observa é a cor não absorvida, ou seja, a cor refletida.

Para o primeiro gráfico da sequência (Figura 1S), o ROI referente ao branco de preparação/calibração possui a característica incolor pela tendência de alinhamento entre as distribuições R, G e B. Se maior intensidade de luz for incidida sobre o objeto, o comportamento observado na imagem é o deslocamento do agrupamento RGB para a direita, pois o objeto ficará claro. Por outro lado, quanto mais escuro for um objeto, mais deslocado para a esquerda estará o agrupamento, pois menor será a intensidade de R, G e B. Nessas situações em que não há cor, a variação ocorre apenas na escala de cinza (256 possibilidades de cor entre o preto e o branco). Porém, se uma das distribuições R, G ou B estiverem desalinhadas, há a formação da cor digital. Nessa perspectiva, entre os limites das cores preta e branca, as outras cores serão compostas. A Figura 1S mostra que, quanto mais intensa for a cor amarela da solução padrão, mais deslocada a distribuição do azul estará para intensidade menor. Por isso, embora não haja medida do feixe de luz azul antes e depois de atravessar a amostra como no método espectrofotométrico (lei de Lambert-Beer), o fenômeno de absorção em função da concentração é contemplado indiretamente.

Comparando as distribuições dos histogramas com as de probabilidade, é notório que as cubetas proporcionam distribuições mais estreitas, ou seja, com menor desvio padrão em relação ao balão. Isso significa que, dentro da ROI, a variabilidade da cor do pixel é menor. Por outro lado, os balões tendem a assimetrias, como exemplo do último padrão [Hipoclorito] = 0,800 mg L-1). Uma boa amostragem de uma ROI deve ter a intensidade mais próxima do número de pixels (frequência máxima de ocorrência de uma intensidade), o que gera, também, uma distribuição mais estreita da captura. Logo, é importante levar em consideração o recipiente no qual a substância será confinada.

Aplicação 2 - Quantificação de CBN em amostras de maconha e haxixe apreendidas

A maconha é oriunda da planta Cannabis sativa L tendo efeitos psicoativos devido a 70 canabinóides, dentre estes Δ9-THC, canabinol (CBN) e canabidiol (CBD) destacam-se como os principais identificados. Para a identificação, utiliza-se o teste de triagem colorimétrica empregando o sal Fast Blue B (FBBS) ou Fast Blue BB (FBBBS). O ensaio analítico mais utilizado para identificação desses canabinóides em amostras é a cromatografia em camada delgada (CCD), visto que o teste colorimétrico apresenta muitos resultados falsos positivos.43-45

Para quantificação de CBN em amostras de maconha e haxixe apreendidas pela PC-ES, utilizou-se o aplicativo REDGIM e o modelo construído foi aplicado na quantificação do CBN presente nas amostras por meio da análise de CCD. A Figuras 6a-6b, mostra a placa de CCD, com tempo de corrida de aproximadamente 35 minutos, após revelação em câmara UV bem como os resultados obtidos a partir do processamento das amostras Habril17, Emaio17, Djulho16, Cjulho15, apreendidas entre os anos de 2015 a 2017, em duplicata das análises obtidas pelo aplicativo e suas respectivas concentrações.

 


Figura 6. Placas de cromatográficas reveladas em câmara UV para detecção do canabinóide CBN utilizando sistema de eluição ciclohexano: tolueno: dietilamina 70:20:5% v v-1 e telas do aplicativo após o processamento

 

Observa-se, pela Figura 6 e Tabela 2, que as amostras de haxixe (Habril17) e as amostras de maconha (Esetembro17, Djulho16, Cjulho15) apresentaram concentração média de 6,137 a 7,557 mg mL-1 (ou de 6,579 a 7,589 mg por 100 mg de amostra) demonstrando um coeficiente de correlação médio de 0,994 e erro de previsão médio (RMSEP) de 0,342. Além disso, o resultado apresenta um desvio padrão entre 0,399 e 1,039 mg mL-1 estando dentro do limite considerado para um intervalo de confiança de 95%.

 

 

A cada nova análise de quantificação em uma placa de CCD, uma nova curva analítica foi construída. Assim, a nova curva foi construída com cinco concentrações do padrão CBN (1,0, 4,0, 6,0, 8,0 e 10,0 mg mL-1) para análises de outras novas amostras de maconha e haxixe apreendidas pela Polícia Civil no estado do Espírito Santo em 2014 a 2017, Figura 2S. É importante ressaltar que as amostras apreendidas dentro do mesmo ano são diferentes, ou seja, a amostragem é diferente. Essas análises também demonstram resultados satisfatórios, tendo um coeficiente de correlação médio variando de 0,990 a 0,999 e RMSEP de 0,110 a 0,368 mg L-1. As concentrações das amostras variaram entre 6,172 a 8,823 mg mL-1 (6,064 a 8,814 mg 100 mg de amostra) apresentando desvio de 0,071 a 1,111 mg L-1, como pode ser observado na Tabela 2 e Figuras 2S, 3S e 4S, estando dentro do limite considerado para um intervalo de confiança de 95%.

Ambach e colaboradores46 quantificaram Δ9-THC, Δ9-THC-A ácido, CBN e CBD em drogas apreendidas por cromatografia líquida de alta eficiência com detector de arranjo de diodos (HPLC-DAD). A curva para Δ9-THC, CBN e CBD foi construída com seis pontos de calibração variando entre 0,001 a 0,1 mg mL-1 em metanol. Foram obtidos coeficientes de correlação entre 0,9991 e 0,9998 para a validação do método. Também foram avaliados os limites de detecção, quantificação, seletividade, especificidade, precisão e exatidão. Obteve-se para o CBN um valor de RSD de 4,30% e 3,76% e Bias de -0,44% e 17,2% para as amostras controles (QC1 e QC2). Os autores relatam que desde o ano 2000 o método é aplicado com sucesso em amostras forenses sendo analisadas 9.092 amostras até o final de 2013. Dessas amostras, em 2013, foram analisadas 182 amostras de maconha, 26 amostras de haxixe, dentre outras. Por fim, os autores reportam que o método aplicado é específico e seletivo com valores de LD e LQ baixos além de apresentar precisão e exatidão suficientes.

Outra metodologia para quantificação de canabinóides foi apresentada por Wang e colaboradores.47 O estudo utiliza a cromatografia de alto desempenho com fluído supercrítico acoplado a detector de massas. Foram quantificados nove canabinóides, dentre eles o CBN, mais abundantes presentes em plantas Cannabis sativa L e amostras de haxixe. Para o CBN a faixa de trabalho para curva analítica foi de 10,0 - 1000,0 μg mL-1 tendo um coeficiente de correlação de 0,9997, recuperação de 98,42% e limites de detecção e quantificação de 10,0 e 3,0 μg mL-1, respectivamente. As 30 amostras analisadas (cannabis e haxixe) foram extraídas com acetonitrila:metanol (80:20) e foram fornecidas pela Drug Enforcement Administration (DEA) e Universidade do Mississipi. Parte da planta, como flor e folhas, foram avaliadas, como também as amostras de haxixe. O canabinóide CBN teve concentração variando de 0,18 a 2,13 mg 100 mg-1 para flores, 0,20 a 0,24 mg 100 mg-1 para folhas e 0,35 a 7,25 mg 100 mg-1 para haxixe. Os autores mostram que o método proposto é simples, rápido e eficiente para separação e quantificação de canabinóides em plantas e extratos podendo ser utilizado como um método alternativo para análise. Assim, os resultados obtidos por meio da quantificação por CCD associada ao aplicativo REDGIM foram similares ao obtidos por Wang e colaboradores, visto que, para as amostras de haxixe, as concentrações foram de 6,064 e 7,589 mg 100 mg-1, e para as amostras de maconha prensada (flor, talo, folha e raiz) foram de 6,141 a 8,814 mg 100 mg-1, demonstrando a potencialidade da metodologia proposta.

 

CONCLUSÕES

O REDGIM é um aplicativo alternativo para muitos métodos colorimétricos/espectrofotométricos, gerando portabilidade e acessibilidade. O seu acesso é facilitado pela disponibilidade pública e gratuita na plataforma do Google Play de aplicativos Android. A determinação realizada pode ser salva em um arquivo e compartilhado entre smartphones. Nesse sentido, se um trabalho científico for realizado com o aplicativo, encorajamos a disponibilizar também o arquivo da determinação para uma melhor transparência dos resultados. Além disso, o REDGIM aceita a importação de imagem das curvas analíticas, permitindo a análise em outro momento com chance de reprocessamento. Com isso, é possível realizar ajustes como a forma geométrica, a posição e as dimensões da ROI, bem como parâmetros do modelo quimiométricos, como o número de variáveis latentes. Diante de tudo já relatado, o aplicativo permite ainda a exportação dos dados para o software MatLab®, facilitando o uso desses dados em outras abordagens quimiométricas mais específicas não disponíveis no aplicativo.

Com base nos resultados obtidos a partir do processamento das imagens, pelo aplicativo REDGIM em comparação com os métodos já validados, observa-se que o modelo se apresentou como potencial ferramenta para quantificação de cloro em água potável e como também para quantificação de canabinóides (CBN) em amostras de maconha e haxixe. A concentração de cloro livre obtida para as duas amostras foi de 0,73 e 0,74 mg L-1 e 0,74 e 0,76 mg L-1 pelo espectrofotômetro e pelo aplicativo (recipiente: cubeta), respectivamente. Já para quantificação de CBN em amostras de maconha e haxixe a concentração média variou de 6,137 a 8,823 mg mL-1 (6,064 a 8,814 mg 100 mg-1).

É importante ressaltar que o aplicativo pode ser utilizado para diversas matrizes que utilizam como base a produção de reação colorimétricas, visto que o aplicativo foi desenvolvido sem restrição de análise por matriz. Embora existam modelos muito sofisticados com muito poder de processamento, a ideia do aplicativo é ser uma ferramenta simples e alternativa para os métodos colorimétricos para que seja difundido no meio científico e educacional proporcionando análises rápidas, precisas, robustas, de baixo custo e portátil.

 

MATERIAL SUPLEMENTAR

Algumas imagens dos sistemas utilizados neste trabalho estão disponíveis, para melhor compreensão, em http://quimicanova.sbq.org.br, na forma de arquivo PDF, com acesso livre.

 

AGRADECIMENTOS

Os autores agradecem à CAPES (23038.007083/2014-40), FAPES (EDITAL CNPq/FAPES Nº 23/2018 - PRONEM (596/ 2018) e edital EDITAL FAPES Nº 11/2018 - - PIBICES 2018), e ao CNPq (422555/2018-5, e 305359/2017-7) pelo suporte financeiro. Os autores também gostariam de agradecer ao Núcleo de Competências em Química do Petróleo e ao LabPetro pelo uso de suas instalações e a Polícia Civil do Espírito Santo pelo fornecimento das amostras.

 

REFERÊNCIAS

1. Skoog, D. A.; West, D. M.; Holler, F. J.; Couch, S.; Fundamentos de Química Analítica, 8a ed., Cengage Learning: São Paulo, 2006.

2. Cruz-Fernández, M.; Luque-Cobija, M. J.; Cervera, M. L.; Microchem. J. 2017, 132, 8.

3. Shishkin, Y. L.; Dmitrienko, S. G.; Medvedeva, O. M.; Badakova, S. A.; Pyatkova, L. N.; J. Anal. Chem. 2004, 59, 102.

4. Harris, D. C.; Análise Química Quantitativa; Lucy, C. A., Afonso, J. C., Barcia, O. E., trad.; GEN: São Paulo, 2017.

5. Diniz, P. H. G. D; Dantas, H. V.; Melo, K. D. T.; Barbosa, M. F.; Harding, D.; Nascimento, E. C. L.; Pistonesi, M. F.; Band, B. S. F.; Araújo, M. C. U.; Anal. Methods 2012, 4, 2648.

6. De Lelis, C. M. M.; De Lima, K. M. G.; Anal. Methods 2015, 7, 6904.

7. https://www.electropedia.org/, acessada em janeiro 2021.

8. Kubota, S.; Hisatake, Y.; Kawamura, T.; Takemoto, M.; SID Int. Symp. Dig. Tech. Pap. 2015, 46, 22.

9. Sang, J.; Wang, S.; Li, Q.; Quantum Inf. Process. 2016, 16, 1.

10. Gomes, M. S.; Trevizan, L. C.; Nobrega, J. A. Kamogawa, M. Y.; Quim. Nova 2008, 31, 1577.

11. Geladi, P.; Bengtsson, E.; Esbensen, K.; Grahn, H.; TrAC - Trends Anal. Chem. 1992, 11, 41.

12. GELADI, P.; Grahn, H.; Esbensen, K.; Bengtsson, E.; TrAC - Trends Anal. Chem. 1992, 11, 121.

13. Svante, W.; Esbensen, K.; Geladi, P.; Chemom. Intell. Lab. Syst. 1987, 2, 37.

14. Hoskuldsson, A.; J. Chemom. 1988, 2, 211.

15. Yulia, Y.; Wasito, H.; Fatoni, A.; Journal of Pharmaceutical Sciences and Community 2018, 15, 7.

16. Hugelier, S., Vitale, R.; Ruckebusch, C.; Compr. Chemom. 2020, 2, 411.

17. Antonelli, A.; Cocchi, M.; Fava, P.; Foca, G.; Franchini, G. C.; Manzini, D.; Ulrici, A.; Anal. Chim. Acta 2004, 515, 3.

18. Helfer, G. A.; Magnus, V. S.; Bock, F. C.; Teichmann, A.; Ferrão, M.F.; da Costa, A. B.; J. Braz. Chem. Soc. 2017, 28, 328.

19. Damasceno, D.; Toledo, T. G.; Godinho, M. S.; da Silva, C. P.; de Oliveira, S. B.; de Oliveira, A. E.; Quim. Nova 2015, 38, 836.

20. Colzani, H.; Rodrigues, Q. E. A. G.; Fogaça, C.; Gelinski, J. M. L. N.; Pereira-Filho, E. R. Borges, E. M.; Quim. Nova 2017, 40, 833.

21. Beebe, K. R.; Pell, R. J.; Seasholtz, M. B.; Chemometrics: A practical guide, John Wiley & Sons: New York, 1998.

22. Forina, M.; Lanteri, S.; Casale, M.; J. Chromatogr. A. 2007, 1158, 61.

23. Tosato, F.; Rosa, T. R.; Morais, C. L. M.; Maldaner, A. O.; Ortiz, R. S.; Filgueiras, P. R.; Lima, K´. M. G.; Romão, W.; Anal. Methods 2016, 8, 7632.

24. Wold, S.; Sjostrom, M.; Eriksson, L.; Chemom. Intell. Lab. Syst. 2001, 58, 109.

25. Brereton, R. G.; The Analyst 2000, 125, 2125.

26. De Jong, S.; Chemom. Intell. Lab. Syst. 1993, 18, 251

27. Costa, R. A.; Morais, C. L. M.; Rosa, T. R.; Filgueiras, P. R.; Mendonça, M. S.; Pereira, I. E. S.; Vittorazzi, B. V.; Lyra, M. B.; Lima, K. M. G.; Romão, W.; Microchem. J. 2020, 156, 1.

28. Andrade, S. I. E.; Lima, M. B.; Barreto, I. S.; Lyra, W. S.; Almeida, L. F.; Araújo, M. C. U.; Silva, E. C.; Microchem J. 2013, 109, 106.

29. Andersson, M.; J. Chemom. 2009, 23, 518.

30. Morellato, S. A.; Tese de Doutorado, Universidade Federal de São Carlos, Brasil, 2010

31. García-Reiriz, A.; Damiani, P. C.; Olivieri, A. C.; Chemom. Intell. Lab. Syst. 2010, 100, 127.

32. Filgueiras, P. R.; Dissertação de Mestrado, Universidade Federal do Espírito Santo, Brasil, 2011.

33. https://www.eurachem.org/images/stories/Guides/pdf/MV_guide_2nd_ed_EN.pdf, acessada em janeiro 2021.

34. Vogel, A. I.; Química analítica quantitativa, 6a ed., Livros Técnicos e Científicos: Rio de Janeiro, 2002.

35. Johnson, J. D.; Overby, R.; Anal. Chem. 1969, 41, 1744.

36. Leite, J. de A.; De Oliveira, M. V. L.; Conti, R.; Borges, W. de S.; Rosa, T. R.; Filgueiras, P. R.; Romão, W.; Cunha Neto, A.; Sci. Justice 2018, 58, 355.

37. Araujo, N.; Souza, L. M.; Pinto, F. E.; Macrino, C. J.; Almeida, C. M.; Merlo, B. B.; Filgueiras, P. R.; Ortiz, R. S.; Mohana-Borges, R.; Romão, W.; Anal. Methods 2019, 11, 1757.

38. Gomes, F. D. C.; Research, Society and Development 2020, 9, 7963227.

39. https://bvsms.saude.gov.br/bvs/saudelegis/gm/2011/prt2914_12_12_2011.html, acessada em janeiro 2022.

40. Soares, S. S.; Arruda, P. N.; Lobón, G. S. Scalize, P. S.; Semin., Ciênc. Exatas Tecnol. 2016, 37, 119.

41. Salami, F. H.; Bonifácio, V. G.; Fatibello-Filho, O.; Quim. Nova 2009, 32, 112.

42. https://www.eurachem.org/index.php/publications/guides/quam, acessada em janeiro 2022.

43. https://wdr.unodc.org/wdr2020/field/WDR20_Booklet_2.pdf, acessada em janeiro 2022.

44. Dos Santos, N. A.; Souza, L. M.; Domingos, E.; França, H. S.; Lacerda, V.; Merlo, B. B.; Kuster, R. M.; Romão, W.; Forensic Chem. 2016, 1, 13.

45. Bordin, D. C.; Messias, M.; Lanaro, R.; Cazenave, S. O. S.; Costa, J. L.; Quim. Nova 2010, 35, 2040.

46. Ambach, L.; Penitschka, F.; Broillet, A.; Konig, S.; Weinmann, Wolfgang, Bernhard, W.; Forensic Sci. Int. 2014, 243, 107.

47. Wang, M.; Wang, Y-H; Avula, B. Radwan, M. M.; Wanas, A. S.; Mehmedic, Z.; Antwerp, J. van; ElSohly, M. A.; Khan, I. A.; J. Forensic Sci. 2016, 62, 602.

On-line version ISSN 1678-7064 Printed version ISSN 0100-4042
Qu�mica Nova
Publica��es da Sociedade Brasileira de Qu�mica
Caixa Postal: 26037 05513-970 S�o Paulo - SP
Tel/Fax: +55.11.3032.2299/+55.11.3814.3602
Free access

GN1