JBCS



11:58, sáb out 25

Acesso Aberto/TP



Artigo


Uma rota alternativa para obtenção de redes de coordenação via síntese solvotermal utilizando Eu2O3 e ácido 2,6-naftalenodicarboxílico
An alternative route to obtain metal-organic frameworks via solvothermal synthesis using Eu2O3 and 2,6-naphthalenodicarboxylic acid

Roberta F. OliveiraI; Raphael H. de M. PereiraI; Rodrigo da Silva VianaII; Severino Alves JúniorII; Mônica F. BelianI,*

I. Departamento de Química, Universidade Federal Rural de Pernambuco, 52171-900 Recife - PE, Brasil
II. Departamento de Química Fundamental, Universidade Federal de Pernambuco, 50740-560 Recife - PE, Brasil

Recebido em: 23/11/2021
Aceito em: 06/12/2021
Publicado em: 04/02/2022

Endereço para correspondência

*e-mail: mfbelian@gmail.com

RESUMO

An alternative route to synthesis of metal-organic frameworks containing Eu(III) ion was proposed via solvothermal process in aqueous medium. The compounds of the minimal formulae [Ln2(NDC)3(H2O)4] were synthesized starting from the mixture of the 2,6-naphthalenedicarboxylic acid with europium(III) oxide. So far, this type of metalorganic framework based on the lanthanide ion synthetic route has not been investigated before as the main metal sources are nitrate and chloride salts. The structural characterizations were performed by FTIR spectroscopy, thermal analysis TG-DSC, and X-ray diffraction. The results of IR and TG were consistent with the structural determination results and complemented by X-ray diffraction patterns. SEM images also corroborate the morphologies found in recent research on this material. The materials obtained shown high-intensity luminescence, for the Eu-NDC compound, which corroborates with an energy transfer efficient of the ligand to Eu(III) ion.

Palavras-chave: luminescence properties; europium(III)-organic frameworks; synthetic route.

INTRODUÇÃO

Pesquisas relacionadas à construção de materiais multifuncionais tem desempenhado um papel importante no desenvolvimento de novas tecnologias. O principal enfoque desses trabalhos consiste no uso de estratégias sintéticas para o desenvolvimento de materiais com alta especificidade e seletividade, visando aplicações tecnológicas como estocagem eficiente e segura de gases, sistemas catalisadores, sensores ópticos e magnéticos, e dispositivos. Dentre os principais materiais multifuncionais, destacam-se as redes metalorgânicas, do inglês metal-organic frameworks, que são estruturas resultantes de interações intermoleculares e ligações coordenativas entre íons ou clusters metálicos e ligantes orgânicos multitópicos.1-5 Quando esses íons são lantanídeos, as redes representam uma série de materiais cristalinos que combinam a diversidade topológica com as propriedades luminescentes intrínsecas de alguns desses íons os quais podem apresentar aplicações como marcadores de residuo de tiro e emissores de luz branca sintonizáveis.6-10

Na literatura são apresentadas diversas estratégias de síntese para a obtenção de redes metalorgânicas contendo íons lantanídeos tais como ablação a laser, mecanoquimico, eletroquímico, sonoeletroquimico e eletrofiação. Entretanto, processos de aquecimento sob condições subcríticas de solventes, tem grande destaque, como a água por exemplo (T = 150 - 370 °C, P = 40 - 220 bar). A água subcrítica vem sendo usada em processos de extração de substâncias hidrofóbicas e em reações de oxidação e hidrólise/ pirólise, sendo esta última, um importante processo para a desprotonação de ligantes orgânicos e consequente automontagem de redes metalorgânicas. Processos reacionais mediados por água subcrítica são rápidos e seletivos, a depender das variáveis tempo e temperatura. Nessas condições, a água pode agir como um catalisador ácido ou básico.11 Além disso, em condições de altas temperaturas, ocorre o aumento gradativo do produto iônico e uma mudança significativa da constante dielétrica da água, ocasionando em uma alta solubilidade de espécies hidrofóbicas influenciando assim, as taxas de reações (cinética) com variação de polaridade ao longo da reação. Dessa forma diversos materiais de partida, como sistemas óxido e compostos orgânicos hidrofóbicos por exemplo, podem ser utilizados sob condição da água subcrítica para a confecção de redes metalorgânicas, uma vez que muitas reações químicas acontecem sem a adição de qualquer catalisador, sendo que em condições normais somente seriam possíveis com a adição de algum contribuinte. Nas condições de solvente subcrítico enquadram-se os processos denominados hidrotermal e solvotermal, sendo o primeiro atribuído ao uso de água como mediador dos processos reacionais envolvidos na formação de redes metalorgânicas. Nos processos hidro e solvotermal, os materiais de partida são adicionados a mini-autoclaves capazes de manter o meio sob condições subcríticas do solvente utilizado, e aquecidos sob pressão assitidos por fornos mufla e micro-ondas.

Com o uso de processos de solvente subcrítico, o químico inorgânico sintético é capaz de diversificar os materiais de partida, uma vez que não se faz necessária a solubilidade do sistema metálico (sais, óxidos, complexos, etc) e do ligante orgânico simultaneamente, para que ocorra a reação de formação da rede metalorgânica. A síntese de redes de coordenação contendo íons lantanídeos baseia-se na utilização de sais, como o nitrato e cloreto; e ligantes orgânicos como, ácidos carboxílicos, derivados heterocíclicos e β-dicetonas. O uso de ácidos carboxílicos aromáticos tem sido uma prática recorrente, uma vez que estes ácidos apresentam multifuncionalidade e rigidez estrutural, gerando estruturas com alta porosidade e área superficial. As variáveis sintéticas na obtenção de redes de coordenação podem gerar unidades de construção secundária (Secondary Building Units - SBU), as quais garantem modos específicos de coordenação, arranjos cristalográficos e, principalmente a forma e tamanho dos poros.12 Portanto, a escolha da metodologia de síntese torna-se relevante na previsão de suas aplicações e propriedades finais.13-24

Este trabalho tem como objetivo o desenvolvimento de uma nova metodologia de síntese de redes de coordenação com íon lantanídeos através de sistemas óxido - Eu(III) e Gd(III) - como material de partida, visando minimizar processos e custos com a obtenção de sais de lantanídeos, e avaliar os parâmetros sintéticos através do estudo espectroscópico e caracterização desses materiais.20

 

PARTE EXPERIMENTAL

Reagentes e solventes

Os reagentes e solventes utilizados neste estudo são de alta pureza e utilizados sem purificação adicional. Os reagentes, ácido 2,6-naftalenodicarboxílico (99%), cloreto de európio(III) hexahidratado (98%), óxido de európio(III) (99,9%) e óxido de gadolínio(III) (99,9%) foram obtidos pela Sigma Aldrich do Brasil.

Caracterizações

Os espectros de infravermelho foram registrados em um espectrômetro FT-IR Varian 640, utilizando pastilha de KBr na faixa de 4000-400 cm-1. As curvas de TG foram obtidas através do equipamento de modelo TGA 50/50H da Shimadzu, utilizando-se cadinho de platina, gás de arraste de nitrogênio, vazão de gás de 50 mL min-1, razão de aquecimento de 10 °C min-1, desde a temperatura ambiente até 900 °C. Os difratogramas de raios-x dos materiais foram adquiridos em um difratômetro modelo Miniflex II-D/tex diffractometer (Rigaku), utilizando a radiação cobre Kα, com passo de 0,02 e varredura de 10 a 60º, λ = 1.5418 Å.

A morfologia dos materiais foram analisadas por microscopia eletrônica de varredura, através do equipamento Scanning Eletron Microscopy JSM - 5900 Jeol, acoplado ao EDS Vantage, Thermo/Noran Instruments (Mira 3, Tescan). As amostras foram preparadas previamente através da fixação com fita de carbono em placa de alumínio, e em seguida revestidas com uma película de ouro de 10 nm de espessura através do uso de um metalizador, modelo Sputter Coater SCD 050 Baltec

Os espectros de excitação e emissão, e medidas de tempo de vida das redes de coordenação foram obtidos através de um espectrofotômetro Horiba Jobin Yvon FluoroLog modelo FL3-22, com lâmpada contínua de Xenônio 450 W, em janelas de varredura entre 200 500 nm para medidas de excitação, e entre 570-720 nm para a emissão. Os espectros de luminescência foram obtidos com as amostras em fase sólida com fendas fixadas em 5 nm a 278 K. As medidas de fosforescência das redes de coordenação do íons gadolínio(III) foram realizadas com amostras no estado sólido à 77 K (N2 líquido).

Procedimento geral para obtenção das redes de coordenação

As redes de coordenação foram obtidas através de 1 mmol de óxido/cloreto de Eu(III)/Gd(III) e 1 mmol do ácido 2,6-naftalenodicarboxílico (NDC) em meio aquoso (água subcrítica), sob condições controladas de temperatura, tempo e pressão. Os reagentes de partida foram adicionados em reatores (mini-autoclaves) tendo seu volume final preenchido com 10 mL de água destilada.24,25 Os fornos utilizados foram programados com a finalidade de manter uma rampa de aquecimento e de resfriamento de 10 ºC min-1. Na Tabela 1 são apresentados os parâmetros sintéticos avaliados nos processos de síntese dos materiais, como tempo de reação e temperatura. Após a conclusão do tempo reacional, os materiais obtidos foram centrifugados, lavados com etanol (20 mL) e secados em estufa à 70 ºC por 1 h.

 

 

RESULTADOS E DISCUSSÃO

Os materiais sintetizados se apresentaram na forma de um pó de coloração branca com características cristalinas. Os ensaios de solubilidade mostraram que as redes de coordenação são insolúveis em todos os solventes testados, a citar, água, dimetilformamida, metanol, etanol, acetonitrila, clorofórmio e hexano. É comum encontrar a síntese do composto proposto com a utilização de solventes,26-28 como dimetilformamida ou piridina, os quais podem interferir na estrutura final do produto.14,29 A síntese apresentada neste trabalho possibilita a obtenção do composto Ln2(NDC)3.4H2O sem a adição de solventes. Os dados de análise elementar corroboram com a fórmula mínima proposta [Eu2(NDC)3(H2O)4], cujos percentuais experimentais de carbono e hidrogênio apresentam valores de 42,03 e 2,54%, respectivamente; sendo os valores teóricos estimados em 42,45 e 2,57%, também respectivamente. Os erros da análise estão dentro da margem prevista e inferiores a 1,2%.

Os espectros de infravermelho do ligante e das redes de coordenação obtidas a partir do óxido de európio(III) serão apresentados na Figura 1. Os demais espectros de infravermelho dos sistemas obtidos a partir do cloreto serão apresentados no Material Suplementar, por não apresentarem mudanças quanto aos números de onda referente às bandas de absorção com relação ao ligante ácido 2,6-naftalenodicarboxílico (NDC).

 


Figura 1. Espectros de infravermelho das redes de coordenação, obtidas a partir de Eu2O3, e do ligante NDC, sobrepostos

 

No espectro de infravermelho do ligante NDC é possível verificar a presença das bandas de absorção refentes aos grupamentos C-O em 1395 cm-1, C-OH na região de 2300-3000 cm-1, e C=O em 1681 cm-1.16 Os espectros de infravermelho das redes de coordenação a partir do óxido de európio(III) apresentaram similaridades quanto as bandas de absorção nessa região, apesar das variáveis sintéticas sugeridas de tempo e temperatura, sugerindo que estes parâmetros não foram suficientes para alterar os modos de coordenação das espécies reagentes. É possível destacar nos espectros de infravermelho das redes de coordenação o deslocamento de bandas referentes aos grupos C=O e C-O em 1570 e 1419 cm-1, respectivamente; sugerindo que o íon lantanídeo encontra-se coordenado ao grupamento carboxilato e, nesse caso, de estruturas poliméricas, provavelmente o íon está ocupando terminações estruturais.20-22 Observa-se também a ausência de bandas de absorção na região de grupos C-OH referente aos grupos ácidos, corroborando com a literatura que prevê a desprotonação de ligantes ácidos durante sínteses solvotermais (água subcrítica).20-24 Nos espectros de infravermelho é possível observar a presença de uma banda de absorção em 3300 cm-1 referente a estiramentos O-H presentes em moléculas de água coordenadas, essa informação será corroborada através das curvas de TG apresentadas neste trabalho. Com relação a diferença entre C=O e C-O do ligante NDC e das redes de coordenação é possível observar um menor valor de Δν para o caso das redes, indicando que o modo de coordenação entre o carboxilato e o íon lantanídeo se dá através do modo bidentado (ΔνNDC = 286 cm-1 e ΔνLn-NDC = 151 cm-1). Na Figura 2 são apresentados os difratogramas de raios-x das redes de coordenação de Eu(III) e Gd(III).

 


Figura 2. Difratogramas de raios-X dos compostos de coordenação sintetizados com tempo reacional de 24 h (Eu024_120 e Eu024_180) e 48 h (Eu048_180 e Gd048_180) em temperaturas de 120 e 180 ºC

 

A análise inicial revela que as diferentes condições de síntese promovem a formação de materiais cristalinos com estruturas distintas. Apesar disso, os compostos Eu024_120 e Eu024_180 apresentam alguns picos de difração correspondentes, indicando que ambos devam apresentar alguma similaridade em seu arranjo estrutural. No entanto, o aumento no tempo de reação promove uma expressiva modificação entre os perfis dos difratogramas Eu024_120 e Eu024_180 em relação ao Eu048_180, sugerindo uma sutil mudança de fase. Importante notar que a alteração do íon metálico, de Eu(III) para Gd(III), não ocasiona alterações significativas na estrutura cristalina do composto, ou seja, os materiais Eu048_180 e Gd048_180 são isoestruturais. Apesar de não se ter uma estrutura cristalina definida, acreditamos que os materiais podem ser classificados como redes de coordenação, visto que todos apresentam picos de difração com valores menores que 7°, o que deve indicar a presença de volume de célula unitária elevado, característico desta classe de materiais.30,31

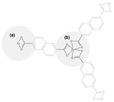
A rigidez do ligante NDC pode explicar a pouca variação das estruturas formadas, pois um efeito de empilhamento pode ocorrer com as moléculas de NDC coordenadas com os íons Eu(III).32,33 Esse efeito de empilhamento das moléculas de NDC, juntamente com as moléculas de água, completam a esfera de coordenação do íon metálico e corroboram com os resultados apresentados nas medidas do tempo de vida, os quais sugerem duas vizinhanças químicas predominantes no íon Eu(III) como exemplificado na Figura 3. A curva de TG do [Eu2(NDC)3(H2O)4] (código: EuO48_180) é apresentada na Figura 4.

 


Figura 3. Estrutura química de redes de coordenação com a ausência de moléculas de água, representando duas possíveis vizinhanças químicas do íon Eu(III) quando coordenado ao ligante ácido 2,6-naftalenodicarboxílico, em porções terminais (a) e não-terminais (b)

 

 


Figura 4. Curva de TG para a amostra EuO48_180

 

A curva de TG da amostra EuO48_180 apresenta estabilidade entre temperaturas 25 - 150 ºC, mediante aquecimento, demonstrando que a mesma sofreu processos de dessolvatação (moléculas de água coordenadas). Analisando a curva de TG observa-se dois eventos térmicos, em que a Tonset em 150 ºC corresponde ao processo de perda das moléculas de águas coordenadas, correspondendo a 7,10% de perda de massa, sendo a expectativa teórica, baseada na fórmula mínima, de 7,07%. O segundo evento térmico corresponde a cerca de 66,03% de perda de massa com término em 700 ºC, sugerindo perda de toda a matéria orgânica, ressultando na formação de Eu2O3 (33 ,88%). As perdas de massa apresentadas na curva de TG nos eventos relacionados corroboram com a estrutura mínima esperada, [Eu2(NDC)3(H2O)4], e já relatada na literatura por rotas distintas.20-24 Na Figura 5 são apresentadas as imagens de microscopia eletrônica de varredura das amostras EuO24_120, EuO24_180 e EuO48_180.

 


Figura 5. Imagens da Microscopia Eletrônica de Varredura para as amostras sintetizadas: (a) EuO24_120, (b) EuO24_180 e (c) EuO48_180

 

As imagens de MEV mostram a morfologia das amostras sintetizadas em tempos e temperaturas diferentes, evidenciando morfologias diferentes e dependentes desses parâmetros. A imagem de MEV da amostra EuO24_120 (24 h, 120 ºC) apresenta cristais tridimensionais em forma de bastões, conforme encontrado na literatura com outras LnOFs,1,25,34,35 indicando que o material foi obtido com sucesso já nessas condições. Quando o tempo de reação foi mantido, mas a temperatura máxima foi prolongada para 180 ºC, a morfologia do composto foi alterada, conforme indicado na Figura 5b. Por fim, com o aumento do tempo de reação (48 h a 180 ºC), o material obtido possui uma morfologia semelhante a nanofolhas (Figura 5.c), também já descrito na literatura.36,37 Analisando os dados da difratometria de raios-x com as imagens de MEV é possível sugerir um aumento da cristalinidade dos materiais quando ocorre o aumento do tempo de reação e temperatura. Na Figura 6 é apresentado o espectro de excitação e emissão da rede de coordenação de európio(III). Nesse ponto, salientamos que será apresentado apenas um espectro de excitação e emissão devido às amostras apresentarem mesmo comportamento espectral.

 


Figura 6. Espectros de excitação (a) e de emissão (b) da rede de coordenação [Eu2(NDC)3(H2O)4]

 

O espectro de excitação da rede de coordenação apresenta uma banda larga com máximo em 364 nm, a qual pode ser atribuída à excitação do ligante através de transição π → π*. Após a deconvolução da banda é possível observar a presença de outras duas bandas referentes a estados excitados localizados no ligante em 319 e 348 nm (Figura 6(a)). Observa-se a presença de dois picos de baixa intensidade em 396 e 465 nm atribuídas respectivamente à excitação direta do íon Eu(III), 7FJ5L6 e 7F05D2. Apesar dos picos referentes a transições intraconfiguracionais e possível sugerir que o processo de transferência de energia é eficiente entre ligante e íon metálico, uma vez que esses picos são de baixíssima intensidade quando comparada a intensidade da banda referente a excitação do ligante.

O espectro de emissão (λexc = 364 nm) da rede de coordenação apresentou todas as transições referentes ao íon Eu(III) (5D07FJ = 0,1,2,3,4) na região monitorada. A presenção da transição 5D07F0 sugere que o íon európio(III) encontra-se em ambiente químico de baixa simetria (Cn, Cnv ou Cs, onde n ≤ 4). A razão entre as intensidades das transições 5D07F2 e 5D07F1 também são comumente utilizadas para o estado do sítio de simetria do íon Eu(III), reiterando o ambiente de baixa simetria do íon Eu(III). A intensidade de transição por dipolo elétrico forçado e acoplamento dinâmico aumenta à medida que a simetria diminui, fazendo com que a transição 5D07F2 tenha a maior intensidade de emissão e seja responsável pela luminescência na região do vermelho característica do íon Eu(III).38 Na Figura 7 é apresentada a curva de decaimento radiativo da transição 5D07F2 do Eu(III) da amostra EuO48_180.

 


Figura 7. Curva de decaimento radiativo da rede de coordenação [Eu2(NDC)3(H2O)4], após excitação em 364 nm, monitorando a transição 5D07F2. Os ajustes exponenciais e tempos de vida são apresentados no gráfico

 

Os dados foram melhor ajustados com uma soma de exponenciais na forma I(t) = I1.exp(-t/τ1) + I2.exp(-t/τ2) + I0, onde I1 e I2 representam respectivamente as intensidades das populações associadas aos tempos de vida τ1 e τ2. Os valores encontrados de τ1 e τ2 no ajuste foram, respectivamente, 1,27 ms e 0,35 ms e indicam a presença de dois ambientes químicos em torno do íon Eu(III). Esses tempos de vida também possibilitam a reiteração da existência de dois ambientes químicos (ver Figura 3) , assim como é possível visualizar a partição dos picos das transições 5D07F2 e 5D07F1 que decorrem do decaimento de populações distintas. Considerando o ajuste exponencial de 1ª ordem e o espectro de emissão foram realizadas estimativas das taxas radiativas e não radiativa, e eficiência quântica de emissão (Tabela 2).39,40

 

 

Na Figura 8 é apresentada a fosforescência dos sistemas ligantes a partir da rede de coordenação com o íon Gd(III). Destaca-se que será apenas apresentada uma medida de fosforescência, uma vez que as outras redes sintetizadas nos diferentes parâmetros sintéticos apresentaram o mesmo perfil espectroscópico.

 


Figura 8. Espectro de fosforescência dos ligantes na rede de coordenação do íon Gd(III) (estado sólido, T = 77K) (a) e diagrama de níveis de energia dos estados localizados no sistema ligante e do íon Eu(III) (b)

 

O espectro de fosforescência da rede de coordenação do íon Gd(III) (código: GdO48_180) apresenta uma banda larga compreendendo toda a região estudada, cujo baricentro encontra-se em 460 nm (E = 21740 cm-1), sendo, portanto, o estado tripleto dessas espécies ressonante ao estado 5D1, sugerindo que o processo de transferência de enegia é eficiente.41

 

CONCLUSÕES

Uma nova rota via método solvotermal foi utilizada para a síntese de redes de coordenação luminescentes de európio(III) com o ácido 2,6-naftalenodicarboxílico. Diferentemente das sínteses bem estabelecidas na literatura, essa nova rota propõe como reagente de partida o óxido de európio(III). A simplicidade do tratamento e da purificação dos produtos faz com que a rota proposta seja mais rápida, menos laboriosa e com resultados promissores. As análises termogravimétricas mostram eventos que corroboram com a estrutura mínima proposta [Eu2(NDC)3(H2O)4] e a versatilidade dos modos de coordenação dos grupos carboxilatos gera diversas possibilidades conformacionais. Conforme mostrado nos estudos apresentados, ambos os grupos do ácido 2,6-naftalenodicarboxílico estão desprotonados e coordenados aos íons Eu(III), pois foram evidenciados dois sítios de coordenação através das medidas de tempo de vida, espectroscopia na região do infravermelho, e, espectroscopia de excitação e emissão. As medidas de luminescência conduzidas mostram que os orbitais π do ligante orgânico transferem energia de forma eficiente ao íon Eu(III), atuando como cromóforo e contribuindo para as propriedades luminescentes da rede de coordenação sintetizada, apresentando a rede de coordenação de Eu(III) uma eficiência quântica de 56%. Existe, ainda, a perspectiva para otimização do processo de purificação dos materiais sintetizados e para a construção de novos materiais luminescentes.

 

MATERIAL SUPLEMENTAR

Espectros de infravermelho, emissão e dados de análise elementar dos compostos estudados estão disponíveis em http://quimicanova.sbq.org.br, em formato pdf, com acesso livre.

 

AGRADECIMENTOS

Ao Centro de Apoio à Pesquisa da UFRPE (CENAPESQ), ao CNPQ e à CAPES, pelo financiamento, e ao Departamento de Química Fundamental e Laboratório de Terras Raras da UFPE.

 

REFERÊNCIAS

1. Duan, T.-W.; Yan, B.; J. Mater. Chem. C 2014, 2, 5098.

2. Kataoka, Y.; Sato, K.; Miyazaki, Y.; Suzuki, Y.; Tanaka, H.; Kitagawa, Y.; Kawakami, T.; Okumura, M.; Mori, W.; Chem. Lett. 2010, 39, 358.

3. Jiang, W.; Feng, Y.; Ma, Y.; Wang, N.; Si, Z.; Anal. Sci. 2003, 19, 923.

4. Wu, M. Z.; Ma, Z. L.; Shi, J. Y.; Tian, L.; RSC Adv. 2019, 9, 37101.

5. Bünzli, J.-C. G.; Piguet, C.; Chem. Soc. Rev. 2005, 34, 1048.

6. Maji, S.; Kumar, S.; Sankaran, K.; Spectrochim. Acta, Part A 2015, 135, 405.

7. Shiraishi, Y.; Furubayashi, Y.; Nishimura, G.; Hirai, T.; J. Lumin. 2007, 126, 68.

8. Liu, T.-F.; Zhang, W.; Sun, W.-H.; Cao, R.; Inorg. Chem. 2011, 50, 5242.

9. Weber, I. T.; de Melo, A. J. G.; Lucena, M. A. M.; Rodrigues, M. O.; Alves Jr., S.; Anal. Chem. 2011, 83 (12), 4720.

10. da Luz, L. L.; Viana, B. F. L.; da Silva, G. C. O; Gatto, C. C.; Fontes, A. M.; Malta, M.; Weber, I. T.; Rodrigues, M. O.; Alves Jr., S.; Cryst. Eng. Comm. 2014, 16, 6914.

11. Krammer, P; Vogel, H.; J. Supercrit. Fluids 2000, 16, 189.

12. Go, Y. B.; Wang, X.; Anokhina, E. V.; Jacobson, A. J.; Inorg. Chem. 2005, 44, 8265.

13. Ritchie, C.; Moore, E. G.; Speldrich, M.; Kögerler, P.; Boskovic, C.; Angew. Chem., Int. Ed. 2010, 49, 7702.

14. Niu, J.; Zhang, S.; Chen, H.; Zhao, J.; Ma, P.; Wang, J.; Cryst. Growth Des. 2011, 11, 3769.

15. Sabbatini, N.; Guardigli, M.; Lehn, J.-M.; Coord. Chem. Rev. 1993, 123, 201.

16. Rodrigues, I.; Mihalcea, I.; Volkringer, C.; Loiseau, T.; Visseaux, M.; Inorg. Chem. 2012, 51, 483.

17. Łyszczek, R.; Rzączyńska, Z.; Kula, A.; Gładysz-Płaska, A.; J. Anal. Appl. Pyrolysis 2011, 92, 347.

18. Zhu, Y.; Wang, L.; Chen, X.; Wang, P.; Fan, Y.; Zhang, P.; J. Solid State Chem. 2017, 251, 248.

19. Shi, T.; Chen, Y.-G.; Ren, X.-Y.; New J. Chem. 2017, 41, 11215.

20. Du, Y.; Thompson; A. L.; O'Hare; D.; Chem. Commun. 2008, 5987.

21. Zhao, Y.; Zeng, H.; Wu, K.; Luo, D.; Zhu, X.-W.; Lu, W.; Li, D.; J. Mater. Chem. C 2020, 8, 4385.

22. Łyszczek, R.; Lipke, A.; Microporous Mesoporous Mater. 2013, 168, 81.

23. Wang, Y.; Wu, Y.; Zhou, C.; Cao, L.; Yang, H.; Inorg. Chem. Commun. 2018, 89, 5.

24. Lu, Y.-B.; Jin, S.; Zhou, Z.-G.; Zhang, S.-Y.; Lou, G.-T.; Xie, Y.-R.; Inorg. Chem. Commun. 2014, 48, 73.

25. Nasruddin; Zulys, A.; Yulia, F.; Buhori, A.; Muhadzib, N.; Ghiyats, M.; Saha, B. B.; J. Mater. Res. Technol. 2020, 9, 7409.

26. Baek, N. S.; Roh, S.-G.; Kim, Y. H.; Nah, M.-K.; Kim, H. K.; J. Nonlinear Opt. Phys. Mater. 2004, 13, 627.

27. Wang, Z.; Jin, C.-M.; Shao, T.; Li, Y.-Z.; Zhang, K.-L.; Zhang, H.-T.; You, X.-Z.; Inorg. Chem. Commun. 2002, 5, 642.

28. Yang, H.; Zhou, C.; Yang, Y.; Chu, Z.; Yan, W.; Nie, S.; Luo, J.; Lin, S.; Wang, Y.; Inorg. Chem. Commun. 2020, 116, 107898.

29. Chatenever, A. R. K.; Ehlke, B.; Le Maguerès, P.; Reinheimer, E. W.; Song, X.; Fei, H.; Oliver, S. R. J.; CrystEngComm 2021, 23, 1388.

30. Gustafsson, M.; Su, J.; Yue, H.; Yao, Q.; Zou, X.; Cryst. Growth Des. 2012, 12, 3243.

31. Øien-Ødegaard, S.; Shearer, G. C.; Wragg, D. S.; Lillerud, K. P.; Chem. Soc. Rev. 2017, 46, 4867.

32. Zhu, Y.; Wang, L.; Chen, X.; Wang, P.; Fan, Y.; Zhang, P.; J. Solid State Chem. 2017, 251, 248.

33. Chatenever, A. R. K.; Ehlke, B.; Le Maguerès, P.; Reinheimer, E. W.; Song, X.; Fei, H.; Oliver, S. R. J.; CrystEngComm 2021, 23, 1388.

34. Leite, A. K. P.; Barros, B. S.; Kulesza, J.; do Nascimento, J. F. S.; Melo, D. M. de A.; de Oliveira, A. A. S.; Mater. Res. 2017, 20, 681.

35. Sheta, S. M.; El-Sheikh, S. M.; Abd-Elzaher, M. M.; Wassel, A. R.; Appl. Organomet. Chem. 2019, 33, e4777.

36. Wang, H.-S.; Li, J.; Li, J.-Y.; Wang, K.; Ding, Y.; Xia, X.-H.; NPG Asia Mater. 2017, 9, e354.

37. Wang, Y.; Zhang, G.; Zhang, F.; Chu, T.; Yang, Y.; Sensors Actuators, B 2017, 251, 667.

38. Binnemans, K.; Coord. Chem. Rev. 2015, 295, 1.

39. Borges, A. S; Dutra, J. D. L; Freire, R. O.; Moura, Jr., R. T.; da Silva, J. G.; Malta, O. L.; Araujo, M. H.; Brito, H. F.; Inorg. Chem. 2012, 51, 12867.

40. Malta, O. L.; Brito, H. F.; Menezes, J. F. S.; Gonçalves e Silva, F. R.; Alves Jr., S.; Farias Jr., F. S.; de Andrade, A. V. M.; J. Lumin. 1997, 75, 255.

41. Pellé, F.; Aschehoug, P.; Surblé, S.; Millange, F.; Serre, C.; Férey, G.; J. Solid State Chem. 2010, 183, 795.

On-line version ISSN 1678-7064 Printed version ISSN 0100-4042
Qu�mica Nova
Publica��es da Sociedade Brasileira de Qu�mica
Caixa Postal: 26037 05513-970 S�o Paulo - SP
Tel/Fax: +55.11.3032.2299/+55.11.3814.3602
Free access

GN1