JBCS



9:14, sáb out 25

Acesso Aberto/TP



Artigo


Compreendendo os mecanismos de corrosão de ligas de Al-Cu-Li: uma investigação através de técnicas eletroquímicas globais e locais
On the corrosion mechanisms of Al-Cu-Li alloys: an investigation using global and local electrochemical techniques

João Victor de Sousa Araujo*; Rejane Maria Pereira da Silva; Bárbara Victoria Viveiros; Mariana Xavier Milagre; Caruline de Souza Carvalho Machado; Isolda Costa

Centro de Ciência e Tecnologia de Materiais, Instituto de Pesquisas Energéticas e Nucleares, Universidade de São Paulo, 05508-000 São Paulo - SP, Brasil

Recebido em 26/11/2021
Aceito em 31/01/2022
Publicado na web em 23/03/2022

Endereço para correspondência

*e-mail: joao-neutron@hotmail.com

RESUMO

In this study, the corrosion mechanism of an Al-Cu-Li alloy manufactured by two different treatment routes (T3 and T851) was evaluated by immersion and electrochemical tests in solutions containing chloride ions (Cl-). For both alloys, the formation of cavities on the surface was associated with micrometer-sized intermetallics (IM's), however, in addition to this attack, the alloy submitted to T851 treatment also presented an attack called severe localized corrosion (SLC), caused by the preferential attack to the nanometric T1 (Al2CuLi) phase. The electrochemical concepts involved in these two types of attacks were discussed. During the IM's corrosive process, whereas the O2 reduction occurred over the IM's, the Al dissolution is favored around the particle, forming trenching and cavities (with 2 and 6 mm of depth). On the other hand, the mechanism associated with the SLC is related to the formation of a differential aeration cell followed by the evolution of H2, with greater depth of attack penetration (8 and 35 mm). Additionally, by the use of the Scanning Vibrating Electrode Technique (SVET), it was concluded that the higher anodic currents observed for the T851 temper were related to the relation between the anodic area (Aa) and the cathodic area (Ac).

Palavras-chave: Al-Cu-Li alloy; severe localized corrosion; corrosion mechanism; SVET.

INTRODUÇÃO

O termo corrosão pode ser definido como a reação do metal com o ambiente, na qual o metal é convertido a um estado não metálico de menor energia.1,2 Quando isso ocorre, o metal perde suas propriedades essenciais, tais como resistência mecânica, elasticidade e ductilidade.3 Durante o processo corrosivo, dependendo das características microestruturais da liga metálica (impurezas, segundas fases, regiões de segregação), células eletroquímicas de ação local são favorecidas.3 Essas células correspondem a áreas na superfície exposta ao meio que apresentam diferenças de potenciais eletroquímicos, contendo regiões catódicas (maior potencial), em que ocorrem preferencialmente as reações de redução; e regiões anódicas (menor potencial), em que ocorrem preferencialmente as reações de oxidação/dissolução. A Figura 1 ilustra esquematicamente uma célula eletroquímica de ação local.

 


Figura 1. Diagrama esquemático de uma célula eletroquímica de ação loca, mostrando a direção do fluxo de elétrons e a migração dos íons. Baseado nas refs. 3 e 4

 

O desenvolvimento de células eletroquímicas locais favorece a propagação da corrosão por pites. Este mecanismo de corrosão é facilmente observado em ligas de Al devido à presença de segundas fases nestes materiais. O mecanismo de corrosão por pites associado às ligas de Al foi proposto por Christian Vargel,5 sendo ilustrado na Figura 2.

 


Figura 2. Esquema do processo de corrosão por pites em ligas de alumínio. Baseado na ref. 5 Esquema do processo de corrosão por pites em ligas de alumínio. Baseado na ref. 5

 

Nesse processo, a formação de pilhas eletroquímicas por diferenças de potencial pode resultar na formação do pite. No início têm-se as seguintes reações:

• Oxidação no ânodo (região de menor potencial na superfície), ou região anódica:

• Redução no cátodo (região de maior potencial na superfície), ou região catódica:

A continuidade do processo de oxidação resulta na formação da cavidade, ou pites, e dentro do pite a continuação, ou propagação, do processo de corrosão é promovido por pilhas de aeração diferencial entre a parte interna e a externa ao pite.

Na região interna ao pite, a acidificação resulta na formação de hidrogênio gasoso, segundo:

Na parte externa os produtos da reação de oxidação do metal e da redução de oxigênio interagem, resultando na formação de produtos de corrosão:

A reação global é representada por:

A dissolução do alumínio com formação de íons Al3+ (reação 1) no fundo do pite, cria um campo elétrico que desloca os íons Cl- em direção ao fundo do pite, neutralizando eletricamente a solução e formando cloreto de alumínio. Os íons Cl- são os íons de maior mobilidade que participam dessas reações. A hidrólise de cloretos de alumínio (ou do complexo intermediário hidroclorado (AlCl4-)) tende a ocorrer de acordo com as reações 6 e 7:

Os íons Al3+, os quais estão em elevada concentração dentro do pite, se difundem em direção à superfície, onde entrarão em contato com um meio cada vez mais alcalino, especialmente nas superfícies laterais, nas quais a reação catódica leva à alcalinização. Dessa forma, o Al(OH)3 tende a precipitar de acordo com a reação (4). É importante destacar que, no interior do pite, o excesso de íons Al3+ pode reagir com as moléculas de H2O causando sua hidrólise e conduzindo a formação de íons H+ livres, de acordo com a seguinte reação:

Desse modo, os íons H+ provenientes da reação (8) tendem a reduzir no interior do pite, formando, assim, microbolhas de hidrogênio (H2), as quais impelem o hidróxido de alumínio formado pela reação (4) na abertura da cavidade. A acidificação no fundo do pite pode resultar em valores de pH inferiores a 3.5 Na continuação do processo, o meio se torna muito agressivo, levando à auto propagação do pite. Sendo assim, entende-se que há um gradiente de concentração desde o fundo do pite até sua borda. O acúmulo de produtos de corrosão no topo do pite dificulta progressivamente a troca iônica. Isso explica a diminuição, ou até mesmo o término do processo de propagação da corrosão. Vale destacar que o pite pode ainda ser repassivado por obstrução ou perda da estabilidade da camada de cloreto e, consequentemente, todo o processo pode ser reiniciado. Dessa forma, o pite pode ser metaestável.

Recentemente, os mecanismos de corrosão das ligas de Al têm sido objeto de estudo em todo o mundo devido à sua alta aplicação na indústria aeronáutica.6 Nessas ligas, as fases intermetálicas exibem comportamento eletroquímico diferente da matriz, gerando micropilhas galvânicas (células eletroquímicas de ação local) na superfície da liga. Isto ocorre, por exemplo, com a fase T1 (Al2CuLi), a qual é a principal fase endurecedora das ligas de Al-Cu-Li.7 Li et al.8 estudaram o comportamento eletroquímico desta fase em meio contendo íons Cl- e concluíram que a fase T1 apresenta inversão de polaridade durante o processo de corrosão. A Figura 3 ilustra o mecanismo de corrosão da fase T1, proposto pelos autores.

 


Figura 3. Mecanismo de corrosão relacionado à fase T1 (Al2CuLi), baseado nos resultados reportados por Li et al.8

 

A fase T1 tende a precipitar preferencialmente em linhas de discordâncias dentro de alguns grãos da liga, como mostra as Figuras 3a-b. Quando ela é exposta a ambientes corrosivos, atua como ânodo em relação à matriz. Entretanto, com o decorrer do ataque, devido à dissolução preferencial do Al e Li da partícula (Figura 3c), há reversão de polaridade e essa passa a atuar como catodo, devido ao processo de enriquecimento em cobre do precipitado remanescente (Figura 3d). Dessa forma, a matriz de alumínio passa atuar como ânodo em relação à fase T1, ocorrendo a dissolução do alumínio adjacente (Figura 3e) e outros elementos de liga em solução sólida. Consequentemente, ocorre a formação do ataque denominado corrosão localizada severa (CLS), Figura 3f. Essa informação foi de vital importância para a compreensão do desenvolvimento da corrosão localizada nas ligas Al-Cu-Li.8 Li et al.8 também relataram que uma vez que a precipitação da fase T1 é dependente do tipo de processamento adotado durante a fabricação da liga, uma mesma liga quando submetida a diferentes rotas de processamento pode apresentar mecanismos de corrosão distintos.

Nesse contexto, este trabalho visa estudar o comportamento de corrosão de uma liga de Al-Cu-Li (2198) submetida a diferentes tipos de processamento por meio de técnicas eletroquímicas globais e locais. Discutindo os mecanismos de corrosão associados a cada tipo de liga, bem como sua iniciação e propagação através de conceitos eletroquímicos.

 

PARTE EXPERIMENTAL

Material

Neste estudo, foi utilizada a liga de Al-Cu-Li 2198, submetida a dois tratamentos termomecânicos comerciais: T3 (envelhecimento natural) e T851 (3,5% de deformação à frio com envelhecimento artificial). Detalhes sobre estes tratamentos podem ser observados na Figura 4. A composição química em % massa, da liga 2198 corresponde a: 94,6 Al; 3,31 Cu; 0,97 Li; 0,31 Mg; 0,25Ag; 0,40 Zr; 0,04 Fe; 0,03 Si; 0,006 Zn; e 0,003 Mn.

 


Figura 4. Diagrama esquemático ilustrando as rotas de processamento para produção das têmperas T3 e T851

 

Caracterização microestrutural

As amostras foram lixadas sequencialmente usando lixas de SiC com granas #500, #800, #1200, #2000, #2500 e #4000. Em seguida, foram polidas com suspensão de diamante de 3 μm e 1 μm.

Teste de imersão

As amostras foram imersas em 50 mL de solução de 0,01 mol L-1 de NaCl e, a superfície exposta foi monitorada, por microscopia ótica, por um período de 24 h. Após completar 24 h de imersão, as amostras foram imersas em solução de ácido nítrico (HNO3 30% vol) por 10 s, para remoção de produtos de corrosão (processo denominado "desmutting").9 Após esses procedimentos, a superfície das amostras foi observada no microscópio ótico Leica Modelo DMLM, e também caracterizada por perfilometria ótica no equipamento ZYGO's ZeGageTM, a fim de estimar a profundidade média das áreas corroídas.

Ensaios eletroquímicos

Técnicas eletroquímicas globais

As técnicas eletroquímicas globais foram realizadas um potenciostato (Solartron) acoplado a um analisador de resposta em frequências (FRA) (Eletrochemical Interface SI 1287 e o Impedance/Gain - Phase Analyzer SI 1260), utilizando uma célula eletroquímica de 3 eletrodos. Os ensaios foram realizados utilizando um eletrodo de (Ag(s)|AgCl(s)|Cl- (aq., saturated KCl) como referência, e um contra eletrodo de fio de platina, em uma solução 0,01 mol L-1 NaCl, a temperatura ambiente. Medidas de potencial de circuito aberto foram obtidas em função do tempo, a fim de se avaliar a estabilidade da liga no meio corrosivo, ou crescimento do filme óxido passivador.10

Técnica eletroquímica de varredura do eletrodo vibratório (SVET)

A técnica de varredura do eletrodo vibratório (SVET) foi empregada neste trabalho usando o equipamento Applicable ElectronicsTM, o qual é controlado pelo software ASET 4.0 (Automated Scanning Electrode Technique). Uma sonda isolada de Pt-Ir foi usada como o eletrodo de vibração para o sistema. Para tanto, uma esfera de platina de 15 μm de diâmetro foi eletrodepositada na ponta da sonda antes do início dos testes de SVET. Além disso, o equipamento foi calibrado usando uma fonte de corrente conectada a um eletrodo de calibração a uma distância de 150 μm, usando o valor correspondente a 60 nA. O valor referente à condutividade da solução utilizada foi introduzido no software ASET 4. Com a condutividade inserida, os valores de diferença de potencial registrados pelo SVET foram automaticamente convertidos em valores de densidade de corrente. Para o teste SVET, a sonda (vibrando nos planos perpendicular (Z) e paralelo (X) à superfície da amostra) foi colocada a aproximadamente 100 μm acima da superfície. A amplitude de vibração foi de 19 μm e as frequências de vibração da sonda foram de 174 Hz (X) e 73 Hz (Z), sendo obtidos 35 x 25 pontos para cada mapa SVET. O intervalo de tempo entre cada ponto de dado de densidade de corrente adquirido foi de 0,5 s, e o intervalo do passo de varredura foi de 200 μm. Todos os experimentos foram realizados em uma gaiola de Faraday a (20 ± 2) °C. Uma porção de fita adesiva juntamente com resina epóxi foram usadas como reservatório para o eletrólito (0,005 mol L-1 NaCl). Mapas de SVET foram obtidos para as amostras das ligas (eletrodos de trabalho) embutidas em resina, a cada 1 h de imersão. Imagens in situ da superfície foram registradas durante as medições. Após o ensaio a superfície das ligas foi analisada através da microscopia ótica e eletrônica de varredura, utilizando-se um microscópio HITACHI TM3000.

 

RESULTADOS E DISCUSSÃO

Teste de imersão

A Figura 5 apresenta os resultados do monitoramento da superfície das ligas estudas em 0,01 mol L-1 NaCl por 24 h.

 


Figura 5. Micrografias óticas da liga 2198 nas condições T3 e T851 depois de vários períodos de imersão em solução com 0,01 mol L-1 de NaCl

 

A microestrutura das ligas Al-Cu-Li é composta de partículas micrométricas e precipitados endurecedores, e ambos têm influência significativa no comportamento de corrosão destas ligas.9,11-13 O desenvolvimento da corrosão localizada na liga T3 foi associado principalmente às partículas micrométricas (PM's), as quais são compostas principalmente de Al-Cu-Fe.14,15 Nesse tipo de corrosão, tem-se como principal característica o ataque ao redor das partículas, devido à formação de microcélulas galvânicas, onde as partículas atuam como áreas catódicas em relação à matriz, que se comporta como ânodo, resultando na formação de cavidades no entorno das mesmas. Este tipo de ataque é comum às ligas de alumínio. Na liga T3 os ataques de corrosão foram distribuídos de forma uniforme na superfície, como pode ser observado na Figura 5. Contudo, para a condição T851, além das cavidades associadas às partículas micrométricas também foi observada corrosão localizada severa (CLS), relacionada aos precipitados endurecedores. Em maiores magnificações é possível verificar diferenças na morfologia dos ataques, como mostra a Figura 6.

 


Figura 6. Micrografias obtidas por microscopia ótica da superfície das ligas 2198- T3 e 2198-T851 após 24h de imersão em solução 0,01 mol L- de NaCl: (a) ataque relacionado às partículas micrométrica,s (b) ampliação do quadrado tracejado em (a) mostrando a "cavidade" ao redor da partícula constituinte na superfície da liga 2198-T3; e (c) e (d) corrosão localizada severa (CLS), evidenciando área catodicamente protegida (ACP) e anéis formados pelo produto de corrosão na superfície da liga 2198-T851, respectivamente

 

As diferenças observadas no comportamento frente à corrosão para as duas ligas estudadas podem ser explicadas pelos diferentes tratamentos termomecânicos.16 Há concordância na literatura13,17-21 que a CLS está associada com a alta eletroatividade da fase T1 (Al2CuLi). Durante o processamento industrial (esquematizado na Figura 4) alguns grãos da liga são mais deformados do que os outros e, consequentemente, o número de discordâncias e subgrãos aumentam. A fase T1 precipita em linhas de discordâncias e, sendo essa fase eletroquimicamente mais ativa que a matriz de alumínio, quando exposta a meio corrosivo, nessas regiões de alta densidade de discordâncias a corrosão localizada tende a se desenvolver, seguindo o mecanismo de corrosão ilustrado na Figura 3. Vale destacar que esse tipo de ataque tem como principal característica a formação de uma área protegida catodicamente (região mais clara) e a presença de anéis de produto de corrosão no entorno da região anódica, como observado nas Figuras 5c-d. As áreas mais escuras são associadas ao ataque catódico, devido à geração de íons hidroxila pela reação catódica predominantemente sobre as partículas constituinte mais nobres que a matriz, resultando no ataque ao filme passivo sobre a matriz. A área catodicamente protegida é mostrada em escala macroscópica na Figura 7.

 


Figura 7. Macrografia da liga 2198-T851 obtida após o teste de imersão por 24 h em solução de 0,01 mol L-1 NaCl

 

A profundidade da penetração da corrosão nos sítios relacionados às PM's e CLS foi avaliada por perfilometria óptica (PO). Para isso foram analisados 50 locais de corrosão, após o teste de imersão. Os resultados estimados por PO da profundidade do ataque são mostrados na Figura 8. É importante destacar que foram analisados os pontos de maior profundidade.

 


Figura 8. Perfilometria ótica das liga (a) 2198-T3 e (b) 2198-T851 após 24 h de imersão em solução com 0,01 mol L-1 de NaCl

 

A profundidade do ataque associado às partículas constituintes variou entre 1 μm a 5 μm, Figura 8ª. Essa variação é, provavelmente, relacionada às diferenças nos tamanhos e composição química das partículas constituintes.15 Por outro lado, as variações de profundidade do ataque devido à CLS para a liga T851 foram da ordem de 8 μm e 35 μm, Figura 8b. Essa variação ocorre devido à diferença de densidade de fase T1 na superfície exposta do material.22

Ensaios eletroquímicos globais

A Figura 9 mostra as medidas do potencial de circuito aberto (OCP) em função do tempo de imersão das amostras da liga 2198 na solução 0,01 mol L-1 NaCl.

 


Figura 9. Potencial de circuito aberto (OCP) da liga 2198 nas condições de têmperas T3 e T851 em solução de 0,01 mol L-1 de NaCl

 

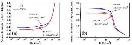
Os valores de OCP obtidos para a liga T3 foram cerca de 0,1 V mais nobres do que os valores observados para a liga T851. Isso pode ser explicado pelo menor teor de fase T1 na liga submetida ao tratamento T3. A diferença na densidade de fases T1 entre os tratamentos T3 e T851 foi observada por Araujo et al.14 utilizando curvas de calorimetria de varredura diferencial (DSC). Esses resultados mostram, portanto, que o envelhecimento artificial desempenha papel preponderante no comportamento eletroquímico da liga 2198. A queda inicial na curva de OCP está relacionada ao ataque do óxido de Al que se forma naturalmente ao ar, após imersão em soluções agressivas. Este ataque é favorecido nas ligas com maiores teores de fase T1. Para a liga T3, o filme passivo permaneceu preservado em grande parte da superfície, sendo o responsável pela manutenção dos valores de OCP medidos ao longo do ensaio. As oscilações de potencial observadas estão relacionadas ao ataque do filme no entorno das partículas, a dissolução preferencial de íons de Li e Al e, eventualmente, a redeposição de Cu. Huang et al.17 também relacionaram valores menores de OCP ao aumento do teor da fase T1, ao estudarem uma liga Al-Cu-Li. Comportamento semelhante também foi observado nas curvas de polarização anódicas e catódicas, que foram obtidas a fim de se estudar as reações na superfície de cada liga, Figura 10.

 


Figura 10. Curvas de polarização da liga 2198 nas condições de têmperas T3 e T851 em solução 0,01 mol L-1 de NaCl: (a) Curvas anódicas e (b) Curvas catódicas

 

A principal diferença observada entre os materiais estudados está associada ao potencial de corrosão. Os potenciais mais nobres foram relacionados com a têmpera T3, tal como foi observado na curva de OCP. Considerando que não há variação significativa de composição química entre ambas as ligas, estes resultados sugerem que a diferença observada em relação ao potencial de corrosão se deve à desproporção na densidade de fase T1 entre estas ligas. Buchheit et al.23 verificaram que o potencial de corrosão da fase T1 é mais negativo em comparação ao da matriz e de outras fases presentes em ligas de alumínio. Assim, a maior quantidade dessa fase nas ligas envelhecidas artificialmente é a provável causa dos menores potenciais obtidos. Na Figura 10, os pontos indicados pelas setas em cada curva representam, no caso das curvas anódicas (Figura 10a), uma sobretensão de +100 mV, e, no caso das curvas catódicas (Figura 11b), uma sobretensão de -100 mV, ambas em relação ao potencial de circuito aberto de cada liga. Dessa forma, foi possível comparar as taxas de densidade de corrente correspondentes às reações anódicas e catódicas relacionadas às duas ligas, para uma mesma sobretensão. Os valores de densidade de corrente medidos, sejam relativos às correntes anódicas ou catódicas, foram muito próximos para ambas as ligas. As curvas de polarização anódica mostram reações anódicas altamente despolarizadas, sendo possível observar um aumento de corrente significativo mesmo para baixas sobretensões. Esse aumento de corrente indica que o potencial de corrosão das ligas estudadas está acima do potencial de quebra do filme passivo e que o ataque localizado ocorre no potencial de corrosão das ligas, o que de fato foi constatado nas micrografias apresentadas na Figura 5. Por outro lado, na polarização catódica, os íons hidroxila gerados pela reação de redução do oxigênio, predominantemente nas partículas catódicas, favorecem o ataque ao óxido na superfície. As curvas de polarização catódica, Figura 11b, mostram controle por difusão de oxigênio em grande faixa de potenciais com valores de densidade de corrente catódica muito próximos para ambas as condições.

 


Figura 11. (a) Mapas de densidade de corrente iônica para a liga 2198 nas condições T3 e T851 após 4 h, 6 h, 12 h e 24 h de imersão em solução 0,005 mol L-1 de NaCl, (b) e (c) imagens das superfícies de ambas as ligas registradas após ensaio de SVET e (d-f) regiões destacadas nas figuras (b) e (c), em maiores magnificações

 

Sendo assim, através dos resultados eletroquímicos globais, não foi possível diferenciar os mecanismos de corrosão associados a cada tipo de ataque localizado observado em ambas as ligas. Entretanto, em valores eletroquímicos absolutos, observou-se uma maior cinética eletroquímica na superfície da amostra T851 durante os ensaios de corrosão. Sendo assim, recorreu-se a uma técnica eletroquímica localizada, a técnica de varredura do eletrodo vibratório (SVET), a qual possui alta resolução. Os resultados obtidos para ambas as ligas através dessa técnica são reportados a seguir.

Ensaio eletroquímico local

A utilização de técnicas eletroquímicas locais é interessante para o estudo de materiais que sofrem corrosão localizada devido à sua maior resolução. No caso do SVET, por exemplo, variações eletroquímicas podem ser obtidas na ordem de mm. Mapas de densidade de corrente iônica obtidos para diferentes tempos de exposição das superfícies das ligas em solução de 0,005 mol L-1 de NaCl, são mostrados na Figura 11.

Os mapas de densidade de corrente iônica permitiram observar a evolução das áreas de corrosão desenvolvidas nas superfícies com o tempo de exposição e avaliar as correntes anódicas e catódicas em ambas as superfícies. Sítios locais de maiores valores de correntes anódicas (áreas vermelhas) foram detectados na liga T851 e associados às regiões de CLS, enquanto menores correntes foram observadas para as liga T3 e, consequentemente, às regiões de corrosão localizada associadas às PMs, conforme observado por microscopia ótica e eletrônica de varredura, Figuras 11b-f.

As Figuras 11 b e d mostram a superfície da liga T3, evidenciando o ataque associado às partículas micrométricas, tal como foi também observado pelo teste de imersão (Figura 5). No caso da liga na condição T851, duas regiões de CLS foram observadas e identificadas como 1 e 2 na Figura 11ª. Os valores de densidade de corrente nos pontos 1 e 2, associados à CLS na liga T851, variaram entre 50 μA cm2 e valores acima de 100 μA/cm2. Em maiores ampliações pode ser confirmado o ataque localizado, Figuras 11 e-f.

As diferenças entre o comportamento eletroquímico das ligas estudadas são mais evidentes quando são comparadas as linhas de corrente correspondentes a cada tratamento em função do tempo, como mostra a Figura 12.

 


Figura 12. (a) Mapas de densidade de corrente iônica obtidos para a liga 2198 nas têmperas T3 e T851 após 24h de exposição em solução 0,005 mol L-1 de NaCl, (b) linhas de corrente para vários tempos de exposição correspondentes às regiões traçadas na figura (a)

 

A Figura 12b mostra como a corrente de uma determinada região da superfície de ambas as ligas variou com o decorrer do tempo de ensaio. A região específica de ambas as ligas representadas em função do tempo corresponde à linha traçada na Figura 12ª. Para a têmpera T3 são observadas correntes menores, com pouca variação durante o ensaio. Os valores de corrente correspondentes à superfície da liga T851, todavia, foram consideravelmente mais altos, em função do ponto de CLS, com acentuada variação da altura do pico de corrente ao longo do tempo de ensaio. Essa variação foi observada nos dois locais de CLS indicados na Figura 11ª, "1" e "2", é ainda mais evidente na Figura 13.

 


Figura 13. (a) Mapas de densidade de corrente iônica para a liga T851 e (b) pontos de corrente em função do tempo de exposição correspondentes aos locais indicados na figura (a)

 

Como mencionado anteriormente, na liga T851 foram observados dois locais de CLS durante o ensaio de SVET, o quais foram identificados como 1 e 2 na Figura 13ª. Dessa forma, foi analisada a variação de corrente local em função do tempo de ensaio associada a estes locais de CLS, como mostra a Figura 13ª. A variação dos valores de corrente nestes pontos ao longo do tempo é mostrada na Figura 13b. A curva referente ao ponto 1 mostra que os valores de corrente diminuíram a partir de 10 h de exposição, o que foi associado ao acúmulo de produtos de corrosão. Contudo, as densidades de corrente observadas no ponto 2, oscilaram durante o ensaio, devido à deposição de produtos de corrosão, bem como, ao desprendimento destes para o meio, conforme reportado por Araujo et al.24 em outro trabalho. As regiões corroídas associadas aos pontos 1 e 2 são mostradas em maiores magnificações na Figura 14.

 


Figura 14. Imagens obtidas por microscopia eletrônica de varredura, mostrando os pontos 1 e 2 relacionados à CLS identificados no mapa de densidade de corrente iônica da liga T851: (a) e (b) antes do desmutting e (c) e (d) após desmutting

 

A Figura 14 mostra que os produtos de corrosão nas áreas de CLS podem de fato explicar a diminuição eventual de corrente ao longo do ensaio. Após a remoção desses produtos é possível observar, nitidamente, os locais e a extensão do ataque (Figuras 14 c-d). Desta forma, os resultados de SVET revelam que os produtos de corrosão têm influência considerável nas respostas de correntes localizadas. Sendo assim, pode-se afirmar que os resultados obtidos por meio desta técnica local, mostraram-se úteis para diferenciar o comportamento eletroquímico das ligas estudadas (T3 e T851).

Mecanismos de corrosão e detecção dos locais de corrosão

Com base nos resultados obtidos, foram propostos mecanismos de corrosão e, para cada liga em estudo, um esquema de detecção dos ataques pela técnica eletroquímica local (SVET), como mostra a Figura 15.

 


Figura 15. Diagrama esquemático do desenvovimento da corrosão nos locais associados ao ataque às partículas micrometricas (PM's) e a corrosão localizada severa (CLS) detectado pela técnica de SVET

 

A Figura 15 resume o mecanismo de corrosão em 4 estágios. A etapa (1) está associada à microesturura das ligas em estudo, onde é possível observar que para a liga submetida ao tratamento T3, apenas of efeito das fases micrométricas Al-Cu-Fe no mecanismo de corrosãoé observado;14 enquanto que para a liga submetida à condição T851, tem-se a fase T1 (Al2CuLi), de tamanho nanométrico, no interior dos grãos.25 Quando as superfícies dessas ligas são expostas ao ambiente agressivo, tem-se a formação de células de ação local e, como conquência, o início do processo de corrosão, com a presença de áreas anódicas e catódicas, tal como foi descrito nas Figura 6. Estabelecido este processo, o fluxo de corrente pode ser detectado pela sonda do SVET (etapa 2). Esse fluxo de corrente é gerado pelas reações catódicas e anódicas responsáveis pelo desenvolvimento da corrosão localizada (etapa 3). As partículas micrométricas, compostas por Al-Cu-Fe, atuam como sítios catódicos em relação à matriz, desta forma, a reação de redução (1) é predominante sobre elas, enquanto que a reação de oxidação (2) ocorre na região adjacente às mesmas. Por outro lado, nas regiões com alta densidade de fase T1, a corrosão se propaga de acordo com o mecanismo descrito na Figura 3. Como consequência, tem-se a resposta eletroquímica referente a tais regiões, tal como ilustrado na etapa 4. É importante destacar que durante o ensaio, as correntes relacionadas ao sítios de CLS tendem a variar (ver apêndice), e esse comportamento é atribuído à precipitação do produto de corrosão (AlOH3) proveniente da reação (4). Na Figura 16 é possível observar, de forma ilustrativa, a influência do produto de corrosão na obtenção da resposta eletroquímica.

 


Figura 16. Diagrama esquemático mostrando a influência do produto de corrosão depositado na resposta eletroquímica associada à CLS durante as medidas de SVETT

 

Na Figura 16 é possível notar: o desenvolvimento da corrosão localizada associada à formação dos sítios anódicos e catódicos (etapa 1); a propagação do ataque para o interior do material com o tempo de ensaio (etapa 2), a formação do Al(OH)3 (produto de corrosão) com o desenvolvimento do ataque, o qual tende a precipitar na boca da cavidade impedindo ou dificultando o fluxo de íons para dentro e fora do pite (etapa 3) e; o desprendimento do produto de corrosão da superficie do material com o decorrer do tempo (etapa 4), facilitando o fluxo ionico naquela região. A Figura 16 ilustra a influência do produto de corrosão na resposta eletroquímica do sistema estudado. Na situação 1, quando não há ainda o desprendimento do produto de corrosão (etapas 2 e 3), tem-se como resultado a diminuição da corrente com o decorrer do tempo de ensaio. Já na situação 2, a resposta eletroquímica é influenciada pelo desprendimento do produto de corrosão da superfície do material (tal como mostrado na etapa 4) e, consequentemente, ocorre aumento na resposta de corrente obtida nesta condição. Contudo, vale destacar, que o ataque associado às PM's e o desenvolvimento de CLS exibem mecanismos de corrosão distintos e, mesmo havendo acúmulo de produtos de corrosão nos sítios relacionados à CLS, o ataque tende a se propagar. Esse comportamento é explicado na Figura 17.

 


Figura 17. Diagrama esquemático do desenvolvimento da corrosão localizada associada à: (a) partículas constituintes e (b) corrosão localizada severa

 

Como observado na Figura 17a, a corrosão tem início devido às microcélulas eletroquímicas com o ataque corrosivo (oxidação) das áreas no entorno das partículas micrométricas. A oxidação dos elementos mais ativos da liga ocorre nas áreas no entorno das partículas constituintes resultando no enriquecimento em cobre da região devido à dissolução preferencial do alumínio e ferro. As reações de oxidação são contrabalanceadas pela redução de oxigênio que ocorre preferencialmente sobre às partículas constituintes. O ataque relacionado às partículas constituintes é superficial, como foi mostrado nas Figura 6 e 8. Vale destacar que esse tipo de ataque também ocorre na liga submetida ao tratamento T851, porém, nesta liga, como já comentado, ocorre também o desenvolvimento da CLS, tal como ilustrado na Figura 17b, a qual predomina sobre o ataque associado às partículas micrométricas. Como mencionado anteriormente, neste tipo de ataque, os elementos mais ativos da fase T1 (Al e Li) são preferencialmente dissolvidos, ocorrendo o enriquecimento em cobre, e, consequentemente, a inversão de polaridade, com a matriz passando a ser atacada. Por ser a fase T1 nanométrica e haver acúmulo dessa fase naquela região, existem mais pilhas de ação local do que no caso das partículas constituintes. Logo, o pite tende a se propagar por regiões mais extensas e mais profundas. Os íons Al3+ resultantes da oxidação nas áreas anódicas promovem hidrólise da água e causam a acidificação no fundo do pite.3,26 Em seguida, íons Cl- se difundem para dentro do pite aumentando a condutividade do meio. O meio interno torna-se altamente corrosivo e o processo de penetração do pite continua. Na parte externa do pite, a reação de redução de oxigênio gera íons hidroxila, os quais em contato com os íons Al3+ que difundiram para fora do pite, precipitam na forma de Al(OH)3, nas paredes e entrada do pite. Sendo assim, o processo que ocorre no pite é autocatalítico. Na solução ácida interna ao pite ocorre a formação de hidrogênio gasoso, e sua evolução para fora do pite.3 Araujo et al.27 estudaram a evolução de H2 no desenvolvimento da CLS em uma liga Al-Cu-Li usando a técnica de microscopia eletroquímica de varredura (SECM) e o teste de visualização em gel. Os autores observaram baixos valores de pH nos locais associados à CLS.

Alguns autores28,29 reportaram que o acúmulo de hidrogênio gasoso no fundo dos pites associado à CLS, ocasiona desprendimento do produto de corrosão na boca do pite (ver vídeo presente no Material Suplementar), isso explica o fato de, apesar da obstrução, a corrosão ainda se propagar e, consequentemente, ocorrer variação de resposta eletroquímica, como observado durante os ensaios de SVET. Sendo assim, nesse tipo de ataque tem-se a formação de uma pilha de aereação diferencial em que, devido à geometria do pite, o oxigênio tem dificuldade em adentrar o seu inteiror.

Segundo Gosta Wranglen30 e Galvele,31 no interior do pite pode ainda ocorrer a formação de cloretos complexos e hidroxicloretos, segundo as reações:

Dessa forma, a acidificação do meio e propagação do pite são favorecidas. Ressalta-se também, tal como já verificado, que a propagação desses dois tipos de ataque, associados às PM's e a CLS, não se diferenciam apenas devido aos mecanismos de corrosão, mas também na relação entre distribuição do ataque e área atacada (Figura 5 e 8). A Figura 18 ilustra essas diferenças por meio de diagramas esquemáticos.

 


Figura 18. Diagrama esquemático relacionado às caracteristicas do ataque associado às partículas micrométricas (PM's) e corrosão localizada severa (CLS): (a) distribuição e morfologia e (b) relação área anódica (Aa) e area catódica (Ac)

 

Como observado na Figura 7 e pelos resultados de perfilometria (Figura 8) a extensão e profundidade do ataque associado à CLS são maiores do que os locais associados ao ataque às PC's. Sabe-se que o princípio fundamental da corrosão estabelece que a soma das velocidades das reações anódicas deve ser igual à das reações catódicas, isso é:

em que Ic e Ia são as correntes catódicas e anódicas, respectivamente. Nesse caso, na corrosão uniforme, uma vez que as regiões catódicas e anódicas são inseparáveis, assume-se que a área total é tanto catódica (Ac), quanto anódica (Aa), e, desta forma, tem-se que:

Sendo assim, deduz-se que as densidades de corrente neste caso são iguais:

Contudo, no caso da corrosão localizada, Aa < Ac, e, dessa forma, a densidade de corrente ia > ic. Sendo assim, quanto maior a diferença entre ia e ic, mais intensa é a corrosão localizada, o que explica os maiores valores de profundidade nos ataques relacionados à CLS (Figura 8), uma vez que a diferença entre Aa e Ac é maior, tal como ilustrado na Figura 18a e como observado na Figura 6. Assim, como consequência: ia (CLS) > ia (PM's), conforme foi observado nos resultados obtidos pela técnica de SVET (Figura 13).

A extensão das áreas anódicas e catódicas afetam a morfologia do ataque, como ilustra a Figura 18b. A CLS assume uma Aa pequena com regiões adjacentes catodicamente protegidas em alguma extensão significativa. Nas pilhas formadas por PM's, o ataque é menos intenso (pites menores) e a corrente anódica gerada é insuficiente para proteger uma grande área em torno das PM's (pites maiores), tal como é observado na liga 2198-T3 (Figura 6).

CONCLUSÕES

Os resultados obtidos neste trabalho permitem as seguintes conclusões:

(1) O mecanismo de corrosão da liga 2198-T3 deve-se à formação de células microgalvânicas entre as partículas micrométricas (catódicas) e a matriz (anódica), resultando no ataque em torno das partículas com formação de cavidades, também conhecido como "trenching".

(2) A liga 2198-T851 apresenta ataque corrosivo relacionado às partículas constituintes, mas também corrosão localizada severa (CLS). O desenvolvimento da CLS foi associado à evolução de hidrogênio na borda do pite de CLS, devido à intensa acidificação interna ao pite em consequência do ataque preferencial à fase T1.

(3) Os resultados obtidos demonstraram que a microestrutura e os mecanismos de corrosão da liga 2198 são fortemente afetados pelos tratamentos termomecânicos que compõem o processamento industrial.

(4) As curvas de OCP e de polarização mostraram pequenas diferenças de comportamento eletroquímico entre os dois tratamentos termomecânicos comparados, porém, não foram seletivas o suficiente para separar os dois materiais.

(5) O uso de técnicas eletroquímicas locais, como a técnica de varredura do eletrodo vibratório, SVET, resultou em diferenciação dos comportamentos associados aos dois tratamentos, T3 e T851.

(6) Os resultados de SVET mostraram correntes anódicas significativamente maiores para a condição T851 em relação à condição T3, o que foi atribuído à alta atividade da CLS.

(7) O acúmulo de produtos de corrosão nos locais relacionados à CLS influencia o processo de corrosão e, portanto, as respostas eletroquímicas locais obtidas por SVET.

 

MATERIAL SUPLEMENTAR

Imagens complementares aos ensaios de imersão e das medidas eletroquímicas localizadas obtidas neste trabalho, estão disponíveis em http://quimicanova.sbq.org.br, na forma de arquivo PDF, com acesso livre. Um vídeo também está disponível online, mostrando a evolução de gás H2 associado ao desenvolvimento da corrosão localizada severa (CLS) na liga 2198-T851.

 

AGRADECIMENTOS

Os autores agradecem à FAPESP (Processos: 2019 18388-1 e 2018/06880-6) pelo apoio financeiro a esta pesquisa.

 

REFERÊNCIAS

1. Legrand, B.; Corrosion of Aluminium, 5th ed., Elsevier: London, 2004.

2. Cramer, S. D.; Covino Jr., B. S.; ASM Handbook Corrosion: Materials, Volume 13B, USA, 2005.

3. Lalgudi V. Ramanathan; Corrosão e Seu Controle, 3a ed., Hemus: Brasil, 1997.

4. Stephen D. C.; Bernard S. C.; Corrosion: Fundamentals, Testing, and Protection, ASM International, USA, 2003.

5. Vargel, C.; Jacques, M.; Schmidt, M. P.; Corrosion of Aluminium, Elsevier: London, 2004.

6. Dorin, T.; Vahid, A.; Lamb, J.; Fundamentals of Aluminium Metallurgy, Elsevier: London, 2018.

7. Decreus, B.; Deschamps, A.; Donnadieu, P.; J. Phys. Conf. Ser. 2010, 240, 012096.

8. Li, J. F.; Li, C. X.; Peng, Z. W.; Chen, W. J.; Zheng, Z. Q.; J. Alloys Compd. 2008, 460, 688.

9. Ma, Y.; Zhou, X.; Liao, Y.; Yi, Y.; Wu, H.; Wang, Z.; Huang, W.; Corros. Sci. 2016, 107, 41.

10. Lenderink , H. J. W.; Linden, M. V. D.; De Wit, J. H. W.; Electrochim. Acta 1993, 38, 1989.

11. Zhou, X.; Luo, C.; Ma, Y.; Hashimoto, T.; Thompson, G. E.; Hughes, A. E.; Skeldon, P.; Surf. Interface Anal. 2013, 45, 1543.

12. Chen, B.; Li, C. H.; He, S. C.; Li, X. L.; Lu, C.; J. Mater. Res. 2014, 29, 1344.

13. Donatus, U.; Terada, M.; Ospina, C. R.; Queiroz, F. M.; Fatima Santos Bugarin, A.; Costa, I.; Corros. Sci. 2018, 131, 300.

14. de Sousa Araujo, J. V.; Santos Bugarin, A. D. F.; Donatus, U.; Machado, C. D. S. C.; Queiroz, F. M.; Terada, M.; Astarita, A.; Costa, I.; Corros. Eng. Sci. Technol. 2019, 54, 575.

15. Grilli, R.; Baker, M. A.; Castle, J. E.; Dunn, B.; Watts, J. F.; Corros. Sci. 2010, 52, 2855.

16. Rioja, R. J.; Liu, J.; Metall. Mater. Trans. A 2012, 43, 3325.

17. Huang, J. L.; Li, J. F.; Liu, D. Y.; Zhang, R. F.; Chen, Y. L.; Zhang, X. H.; Ma, P. C.; Gupta, R. K.; Birbilis, N.; Corros. Sci. 2018, 139, 215.

18. Zhang, X.; Zhou, X.; Hashimoto, T.; Lindsay, J.; Ciuca, O.; Luo, C.; Sun, Z.; Zhang, X.; Tang, Z.; Corros. Sci. 2017, 116, 14.

19. Lei, X.; Saatchi, A.; Ghanbari, E.; Dang, R.; Li, W.; Wang, N.; Macdonald, D. D.; Materials (Basel) 2019, 12, 1600.

20. Ghanbari, E.; Saatchi, A.; Lei, X.; Macdonald, D. D.; Materials (Basel) 2019, 12, 1786.

21. Ghanbari, E.; Saatchi, A.; Lei, X.; Macdonald, D. D.; Materials (Basel) 2019, 12, 1912.

22. Araujo, J. V. de S.; Silva, R. M. P. da; Donatus, U.; Machado, C. de S. C.; Costa, I.; Mater. Res. 2020, 23, 1.

23. Buchheit, R. G.; Moran, J. P.; Stoner, G. E.; Corrosion 1990, 46, 610.

24. de Sousa Araujo, J. V.; Donatus, U.; Queiroz, F. M.; Terada, M.; Milagre, M. X.; de Alencar, M. C.; Costa, I.; Corros. Sci. 2018, 133, 132.

25. de Sousa Araujo, J. V.; Milagre, M. X.; Ferreira, R. O.; de Souza Carvalho Machado, C.; de Abreu, C. P.; Costa, I.; Metallogr. Microstruct. Anal. 2020, 9, 774.

26. Davis, J. R.; Aluminium and aluminium alloys, ASM Speacialty Handbook, USA, 1996.

27. Araujo, J.; Silva, R.; Milagre, M.; Machado, C.; Costa, I.; Quim. Nova 2020, 43, 1058.

28. Ma, Y.; Zhou, X.; Huang, W.; Thompson, G. E.; Zhang, X.; Luo, C.; Sun, Z.; Mater. Chem. Phys. 2015, 161, 201.

29. de Sousa Araujo, J. V.; Milagre, M. X.; Ferreira, R. O.; Souza Carvalho Machado, C.; Fátima Santos Bugarin, A.; Machado, I. F.; Costa, I.; Mater. Corros. 2020, 71, 1957.

30. Gosta, W.; An Introduction to Corrosion and Protection of Metals, 1st ed., Springer: Amsterdam, 1985.

31. Galvele, J. R.; In Treatise on Materials Science and Technology, v. 23; Scully, J. C., ed.; Academic Press Inc.: London, 1983.

On-line version ISSN 1678-7064 Printed version ISSN 0100-4042
Qu�mica Nova
Publica��es da Sociedade Brasileira de Qu�mica
Caixa Postal: 26037 05513-970 S�o Paulo - SP
Tel/Fax: +55.11.3032.2299/+55.11.3814.3602
Free access

GN1