JBCS



12:24, sáb out 25

Acesso Aberto/TP



Artigo


Estudo da atividade antitumoral de um novo complexo de Ru3+: uma proposta para o design de metalofármacos de baixa toxicidade
Study of the antitumoral activity of a new Ru3+ complex: a proposal for the metalopharmaceutical design of low toxicity

Maria Helena P. S. de AndradeI; Jaciana S. AguiarII; Teresinha G. da SilvaII; Jandyson M. SantosI; Wagner E. SilvaI; Mônica F. BelianI,*

I. Departamento de Química, Universidade Federal Rural de Pernambuco, 52171-900 Recife - PE, Brasil
II. Departamento de Antibióticos, Centro de Biociências, Universidade Federal de Pernambuco, 50670-901 Recife - PE, Brasil

Recebido em: 23/11/2021
Aceito em: 23/02/2022
Publicado em: 05/04/2022

Endereço para correspondência

*e-mail: mfbelian@gmail.com

RESUMO

In this article the synthesis, characterization, acute toxicity, and antitumor activity of the novel Ru3+ complex are described. Through the acute toxicity tests, it was possible to fit the complexes into categories according to the OECD protocol guideline 423. The cisplatin complex was classified in category 1 and the sodium diaquodimalonateruthenate(3+) - Na[Ru(H2O)2(Mal-κ2O)2] - was classified in category 4. This result demonstrates the lower toxicity achieved by the ruthenium complex in comparison with metallopharmaceuticals compound. Evaluations of tumor masses extracted from mice inoculated with Ehrlich ascites carcinoma demonstrated percent inhibition lowest to cisplatin. Cisplatin showed 58% inhibition (1 mg/kg), while Na[Ru(H2O)2(Mal-κ2O)2] complex (5 mg/kg) presented 77%.

Palavras-chave: cancer; Ru3+ complex; toxicity; antitumor activity.

INTRODUÇÃO

O sucesso do uso de complexos metálicos como agentes terapêuticos depende do controle de suas propriedades cinéticas e termodinâmicas por meio da escolha adequada do estado de oxidação do íon metálico, propriedades dos ligantes e geometria de coordenação. Através disso é possível encontrar atividade e especificidade biológica e, muito mais importante, minimizar os efeitos colaterais e toxicológicos.1

Os complexos metálicos são estudados quanto à atividade antitumoral, assim como, as possíveis repostas quanto à diminuição dos efeitos colaterais existentes. Dentre esses compostos destacam-se os complexos de rutênio, tendo em vista a capacidade de apresentar similaridades quanto às interações do ferro com biomoléculas. Do ponto de vista estrutural, os complexos de Ru2+ e Ru3+ apresentam número de coordenação 6 e labilidade nas ligações trans, corroborando assim, com o efeito mimético ao ferro.2,3

De fato, nos últimos anos, os complexos de rutênio (Ru3+) demonstraram propriedades antitumorais favoráveis à uma série de modelos de tumor in vivo, enquanto mostra menor toxicidade sistêmica que os compostos de platina - Pt2+. Apesar de algumas semelhanças estruturais, o espectro da ação antitumoral desses complexos difere significativamente do da cisplatina; notavelmente, uma importante atividade antimetastática de compostos de rutênio foi descrita.2,4-7

A utilização de compostos de rutênio para tratamento do câncer ainda está em fase de desenvolvimento. Segundo Brastsos e colaboradores, no início dos anos 90, foi relatado um composto de coordenação à base de rutênio, ativo contra tumores sólidos metastáticos em camundongos que foi denominado inicialmente como NAMI - [Na] trans-[RuCl4(Im)(dmso-S)], onde Im = imidazol.3 Após realização de ensaios pré-clínicos, o NAMI foi substituído pelo sal imidazólico, [ImH] trans-[RuCl4(Im)(dmso-S)], sendo posteriormente denominado como NAMI-A, que possui as mesmas propriedades antimetastáticas que seu antecessor, mas é um sólido mais estável e, consequentemente, mais adequado para desenvolvimento posterior na fase clínica. O NAMI-A é capaz de inibir efetivamente o desenvolvimento e o crescimento de metástases pulmonares em todos os modelos experimentais de tumores sólidos testados in vivo, incluindo o câncer de pulmão de células não pequenas. Resultados obtidos por Gallori e colaboradores demonstram que o NAMI, in vitro, é capaz de alterar a conformação do nDNA (DNA nuclear) e inibir, pelo menos parcialmente, o reconhecimento e o corte do nDNA por enzimas de restrição.2

Em 2003, outro complexo de Ru3+, o trans-[tetraclorobis(1H-indazol)rutenato(3+)], codificado como KP1019, entrou em ensaios clínicos fase 1. O KP1019 induz células de carcinoma colorretal à apoptose.8 Os tumores colorretais são resistentes à platina e a excelente atividade demostrada pelo KP1019 nos ensaios fomentou mais pesquisas na área, pois esses resultados reforçaram a eficácia de complexos de outros metais contra tumores resistentes aos complexos de Pt2+.3 Sendo assim, o NAMI-A e KP1019 (Figura 1) são fármacos anticancerígenos antimetastáticos e citotóxicos, respectivamente, baseados em Ru3+ e foram propostos para atuarem como pró-fármacos, pois são ativados através da redução do íon Ru3+ para Ru2+ no tecido-alvo.

 


Figura 1. Estrutura química dos complexos de Ru3+: (A) KP-1019 e (B) NAMI-A. Fonte: Leijen et al.9

 

A bioquímica dos complexos de rutênio baseia-se na estabilidade de espécies de Ru3+ em condições fisiológicas, as quais são potencialmente ativadas através de mecanismos de redução intracelular formando complexos de Ru2+ nos tecidos alvos, que são mais bioativos.10 Essa estabilidade gera uma baixa reatividade dessas espécies trivalentes, contribuindo assim, para uma maior especificidade do composto quanto ao alvo.

Os complexos de Ru3+ apresentam menor reatividade quando comparados com compostos de Pt2+, e isso deve-se a diversos fatores, como o maior número de oxidação, o qual contribui para uma maior inércia em reações de substituição; e a geometria, onde o efeito de substituição trans em complexos quadrado plano apresenta maior cinética quando comparada aos compostos octaédricos, sendo esta última a geometria típica dos íons Ru2+ e Ru3+.11

Resultados obtidos por Clarke e colaboradores, corroboram a hipótese que a atividade antitumoral dos complexos de Ru3+ envolve a ativação por redução in vivo antes da coordenação do metal com o DNA Nuclear (nDNA). A redução de Ru3+ para Ru2+ é favorecida devido às condições citoplasmáticas em células tumorais, como, baixas concentrações de O2, produção de ácido lático na glicólise anaeróbia, causados pela falta de oxigênio; elevação nas taxas de glutationa e baixo pH. Devido a isso, a relação Ru2+/ Ru3+ é mais alta em células tumorais em hipóxia do que nos tecidos circundantes mais aeróbios, levando a um menor efeito tóxico do composto em células normais (não mutadas).12 Além da possibilidade de compostos de rutênio apresentarem certa especificidade quanto ao alvo (células tumorais), essas espécies apresentam biomoléculas facilitadoras de transporte, a albumina e transferrina.1 Especificamente, a transferrina é a proteína responsável pelo transporte de ferro no plasma sanguíneo e para o interior das células.13,14 Nesse ponto, destacam-se as similaridades do rutênio com relação ao ferro, as quais se correlacionam devido às características químicas, bioquímicas e estruturais. Essas características explicam os baixos efeitos colaterais advindos da administração desses compostos no organismo humano.15

Quanto à capacidade de atuar como agentes antitumorais com mais baixa toxicidade é possível inferir que esta ação está vinculada às propriedades do íon Ru, que apresenta maior especificidade quanto ao alvo, que são as células cancerígenas. Devido a sua facilidade de acesso ao meio intracelular, via transportadores de ferro, especificamente a transferrina, o íon Ru apresenta maior concentração ativa no interior de células tumorais frente às sadias. Esta primeira via destacada baseia-se no princípio funcional da sobrevivência celular, que necessita de íons Fe, os quais são responsáveis pela entrega de oxigênio. Segundo Anderson e Vulpe, as células tumorais se dividem rapidamente e têm necessidades especiais de ferro, portanto, há um aumento de receptores de transferrina em sua superfície celular, sequestrando assim mais transferrina do que as células saudáveis.10,13 Dessa forma, os complexos de rutênio são direcionados/vetorizados para células cancerígenas e apresentam baixa toxicidade. Experiências in vivo com compostos de rutênio radiomarcados mostraram uma acumulação de duas a doze vezes maiores em células cancerígenas em comparação com as células saudáveis indicando uma maior captação específica desse metal.10

Nesta perspectiva, a síntese de complexos de rutênio com ligantes biocompatíveis e que possam contribuir para o processo de disfunção do metabolismo celular e apoptose celular constituem uma alternativa viável para o desenvolvimento de novos candidatos à fármacos mais ativos e menos tóxicos. O uso do ligante malonato sugere uma estratégia aditiva, ao ser carreado coordenado ao rutênio, às regiões de microvizinhança celular, especificamente às regiões de hipóxia. Dessa forma, o referido ligante poderá causar diminuição na produção de ATP, por parte das mitocôndrias, à medida que inibe a enzima succinato-desidrogenase, o que, consequentemente, despolarizará a membrana mitocondrial, e poderá ser determinante para disfunção mitocondrial, geração de radicais livre e apoptose.16

Diante do exposto, neste trabalho foram realizados a síntese, a caracterização e o estudo da atividade antitumoral do complexo diaquodimalonatorutenato(3+) de sódio - Na[Ru(H2O)2(Mal-κ2O)2], objetivando o desenvolvimento de um novo candidato à fármaco que apresente maior atividade antitumoral e redução dos efeitos colaterais quando comparado aos agentes quimioterápicos comercializados atualmente.

 

PARTE EXPERIMENTAL

Reagentes e Solventes

Os reagentes e solventes utilizados neste estudo são de alta pureza e foram usados sem purificação adicional. Os reagentes, ácido malônico e cloreto de Ru3+ foram obtidos pela Sigma Aldrich do Brasil. Os solventes acetona e metanol foram da marca Química Moderna, ciclohexano da Nuclear, N,N'-dimetilformamida e dimetilsulfóxido 99,9% da Vetec, hexano e sódio metálico da Dinâmica (Dinâmica).

Caracterizações

As porcentagens de carbono e hidrogênio para o complexo de Ru3+ foram determinadas pela análise dos elementos, utilizando um microanalisador da marca Perkin-Elmer modelo 240. Os espectros de absorção eletrônica foram obtidos utilizando um espectrofotômetro, modelo Shimadzu, com faixa espectral de 190 a 900 nm. As amostras foram solubilizadas em água ultrapura, na concentração de 10-3 mol L-1. Os espectros no infravermelho foram registrados em um espectrofotômetro FTIR da marca Varian 640, utilizando pastilha de KBr na faixa de 4000-400 cm-1. As curvas de TG foram obtidas através do equipamento de modelo TGA 50/50 da marca Shimadzu, utilizando-se cadinho de platina, gás de arraste de Nitrogênio comercial, vazão de gás de 50 mL min-1, razão de aquecimento de 10 °C min-1, desde a temperatura ambiente até 800 °C.

A análise de espectrometria de massas de alta resolução foi realizada utilizando um espectrômetro de massas da marca Exactive Plus com analisador massa/carga (m/z) do tipo Orbitrap, e transformada de Fourier (FT-MS, Thermo Scientific, Bremen, Germany) equipado com uma fonte de ionização por eletro-spray (ESI), operando nos modos de aquisição positivo ou negativo, com temperatura do capilar de 320 ºC. Essa técnica foi utilizada com o intuito de confirmar a estrutura química do complexo, através da determinação da fórmula mínima do mesmo, incluindo os elementos C, H, O, e Ru, sendo a composição elementar confirmada pelos íons referentes aos isótopos correspondentes. Ao final foi feita uma comparação entre o valor da m/z experimental em relação a m/z teórica a partir da biblioteca do software, considerando um erro menor que <2 ppm. Para a leitura, foi preparada uma solução do complexo de Ru3+, Ru-Mal, a 50 ppm em uma mistura água:metanol (1:1 v/v).

Procedimento geral para síntese do diaquodimalonatorutenato(3+) de sódio - Na[Ru(H2O)2(Mal-κ2O)2] - codificado como Ru-Mal

Em um balão de fundo redondo foram adicionados 0,46 g (20 mmol) de sódio metálico em 20mL de etanol. O sistema ficou sob agitação até completa reação do sódio com o solvente para a formação do etóxido de sódio. A esta mistura reacional foi adicionado 1 g (10 mmol) de ácido malônico e mantida sob agitação constante, durante 2 h. Após o tempo reacional, a mistura foi filtrada a vácuo e o sólido formado foi lavado com etanol e em seguida seco a vácuo. Para a síntese do complexo Ru-Mal foram adicionados, em um balão de fundo redondo de 50 mL, 0,052 g (0,25 mmol) de cloreto de Ru3+ em aproximadamente 20mL de água, e 0,074 g (0,5 mmol) do malonato de sódio. O sistema ficou sob agitação e aquecimento brando a 50 ºC, durante 4 h. Após o tempo reacional, a solução resultante foi mantida em repouso durante algumas horas, e, em seguida, foi seca a vácuo no liofilizador. O sólido resultante foi dissolvido em uma solução etanólica (>60%), da qual foi removido o NaCl na forma de precipitado. A solução resultante foi liofilizada e lavada três vezes com etanol. O complexo resultante foi seco sob vácuo e caracterizado.

Ensaios Biológicos

Os animais utilizados neste trabalho foram camundongos albinos suíços machos (Mus musculus) com 60 dias de idade, pesando 35 ± 5 g. Os ensaios biológicos foram conduzidos no Laboratório de Prospecção Farmacotoxicológica de Produtos Bioativos - BIOFARMATOX, do Departamento de Antibióticos, da Universidade Federal de Pernambuco. Os 42 animais foram alojados em condições ambientais padrão de temperatura, umidade, sob ciclos claros e escuros de 12 h. Os camundongos foram alimentados com dieta do biotério (LABINA® purina Brasil) e água ad libitum. Todos os procedimentos descritos foram aprovados pelo Comitê de Ética em Experimentação Animal da UFPE, protocolo número 23076.030363/2017-48.

Toxicidade Aguda

Os ensaios de toxicidade aguda para o complexo de rutênio sintetizado foram realizados através de metodologia recomendada pela Organization for Economic Cooperation and Development (OECD) protocolo nº 423 (OECD, 2001),17 na qual se recomenda que seja feita a mesma via de administração usada em humanos, para o possível efeito tóxico da substância sintetizada, nesse caso, na quimioterapia antineoplásica é utilizado a via de administração intraperitoneal. A avaliação de toxicidade ocorreu inicialmente pela administração da dose de 300 mg/kg dos compostos em estudo. Para o experimento foram utilizados 2 (dois) grupos de 3(três) animais cada (fêmeas), grupo 1: Ru-Mal; e o grupo 2: solução salina 0,9%; este experimento foi realizado em duplicata. O composto de rutênio sintetizado foi solubilizado em solução salina 0,9% e administrado via intraperitoneal. Os animais foram observados continuamente nas primeiras duas horas e depois a cada 24 h durante o período de 14 dias. No 15º dia, os animais foram anestesiados com tiopental (0,6 mL/100 g) para coleta de sangue por punção cardíaca e, em seguida, eutanasiados.

Atividade antitumoral

O tumor ascítico carcinoma de Ehrlich foi obtido no Departamento de Antibióticos - UFPE, Brasil. O fluido ascítico foi retirado do peritônio de um camundongo doador, que foi eutanasiado momentos antes do procedimento em câmara de CO2. Uma suspensão celular de 5x106 células/mL foi inoculada subcutaneamente na região axilar dos animais sadios. Após 24 h do implante, foi iniciado o tratamento.18 Trinta animais previamente pesados foram divididos em três grupos experimentais (10 animais): (1) Controle (solução salina), (2) Padrão (cisplatina - cis-[PtCl2(NH3)2]) e (3) Grupo teste: Ru-Mal. A partir dos dados de toxicidade aguda foram estimadas as doses terapêuticas para o Ru-Mal (5 mg kg­-1). A dosagem da cisplatina usada no grupo padrão foi de 1 mg kg-1.

Os grupos controle, padrão e teste receberam, respectivamente, solução salina 0.9%, 1 mg/kg de cisplatina e 5 mg kg-1 de Na[Ru(H2O)2(Mal-κ2O)2], sendo estes dois últimos dissolvidos em solução salina 0,9%. Todos os animais receberam o tratamento descrito pelo período de 7(sete) dias. No 8º dia, os animais foram pesados e eutanasiados. Os tumores foram dissecados e pesados, e em seguida, foi calculada a inibição do crescimento tumoral dos grupos tratados em relação ao controle. O percentual de inibição do crescimento tumoral (IT) foi calculado pela fórmula: IT (%) = [(A-B)/A] x 100, em que: A = média das massas dos tumores no grupo controle e B = média das massas dos tumores nos grupos tratados. Os resultados de massa relativa dos órgãos e dos tumores foram analisados a partir da média e do desvio padrão de 3 experimentos. Para verificação da ocorrência de diferenças significativas entre os diferentes grupos, os dados foram comparados por análise de variância (ANOVA) seguida pelo teste de Bonferroni com intervalo de confiança de 95%, quando comparados ao grupo controle.

Para a coleta de sangue, os camundongos foram anestesiados com tiopental (0,6mL/100g) e em seguida foi feita uma punção cardíaca. Para o hemograma, as amostras de sangue foram armazenadas em tubos a vácuo contendo 10 μL de anticoagulante (EDTA).19 Todos os parâmetros foram quantificados com o aparelho da marca Sysmex XE 2100. A contagem diferencial de leucócitos foi realizada em lâminas de 26 x 76 mm e coradas pelo método rápido Panótico, da marca Laborclin®. Para observação dos elementos figurados do sangue foi utilizado microscópio óptico, marca Olympus®CX 41 e objetiva de imersão. Após a coleta de sangue, todos os animais foram eutanasiados e os órgãos (fígado, baço e rins) foram retirados, lavados em solução salina (NaCl) 0,9 % e acondicionados em soro fisiológico. Em seguida, todos os órgãos foram pesados em uma balança analítica, e acondicionados em uma solução de formalina a 10%. O índice dos órgãos foi calculado através das relações de massa entre o órgão e a massa do animal (índice = massa do órgão (mg) / massa do animal (g)).

 

RESULTADOS E DISCUSSÃO

Síntese do diaquodimalonatorutenato(3+) de sódio - Na[Ru(H2O)2(Mal-κ2O)2] - codificado como Ru-Mal

O complexo de Ru3+ foi obtido na forma de um pó de coloração esverdeada com solubilidade em água e soro fisiológico, e insolúvel em solventes orgânicos (dimetilsufóxido, metanol, etanol, acetona, tetrahidrofurano, clorofórmio e hexano), cujo rendimento reacional foi de 92%. O sólido resultante foi purificado e a mistura dos isômeros (cis e trans) foram caracterizados. Os dados de análise elementar sugerem a formação do complexo de Ru3+ desejado, cujo erro relativo ficou abaixo de 0,5% - Dados experimentais (teóricos): %C = 19,77 (19,79); %H = 2,20 (2,21) - Na[Ru(H2O)2(Mal-κ2O)2]. Os espectros de absorção eletrônica do complexo Ru-Mal e de seu precursor foram obtidos a partir de soluções de concentração 1×10 4 mol L-1, utilizando como solvente água deionizada, varrendo uma região de 200 a 800 nm. Na Figura 2 são apresentados os espectros de absorção eletrônica do cloreto de Ru3+ e do complexo Ru-Mal, sobrepostos; e a ampliação do espectro do complexo Ru-Mal na região entre 500-800 nm.

 


Figura 2. Espectros de absorção eletrônica do cloreto de Ru3+- RuCl3 (a), complexo Ru-Mal (b) e a ampliação na região de 500-800 nm do complexo Ru-Mal (c)

 

O íon Ru3+ apresenta geralmente bandas referentes a processos de transferência de carga e transição d→d. No caso do espectro de absorção do cloreto de Ru3+, espécie em solução [Ru(H2O)6]Cl3, são observadas três bandas, em 297 nm referente ao processo de transferência de carga ligante-metal, e, em 408 e 540 nm referentes a transições intraconfiguracionais d→d. O espectro de absorção do complexo Ru-Mal apresenta duas bandas de absorção, uma em 308 nm referente ao processo de transferência de carga ligante-metal, e outra em 610 nm de baixa absorvância referente a transição d→d, sugerindo a coloração apresentada pelo complexo (absorve vermelho/transmite verde). De acordo com os dados espectrais é possível observar mudanças significativas nas bandas de absorção dos complexos quando comparados, sugerindo que a estrutura eletrônica ao redor do íon Ru3+ muda com a formação do complexo Ru-Mal.

Na Figura 3 são apresentados os espectros no infravermelho do ácido malônico, do malonato de sódio e do complexo Ru-Mal.

 


Figura 3. Espectros no infravermelho do ácido malônico (A), malonato de sódio (B) e complexo Ru-Mal (C), realizados em pastilha de KBr

 

O espectro no infravermelho do ácido malônico apresenta bandas de absorção típicos dos grupamentos presentes no diácido estudado - Figura 3(A). Observa-se uma banda dobrada forte e intensa com máximos em 1737 e 1710 cm-1, referentes aos grupos C=O, presentes na estrutura do ácido malônico. Também é possível observar a presença de uma banda larga na região de 3.398 3.026 cm-1 referente ao estiramento O-H fortemente ligado por ligações de hidrogênio. Destaca-se também a presença da banda de absorção de intensidade média referente ao estiramento C-O presente nos grupamentos ácidos, em 1174 cm-1. No espectro no infravermelho do malonato de sódio observa-se um deslocamento das bandas νasC=O e νsC-O para 1700 e 1262 cm-1, respectivamente, com relação às bandas de absorção observadas no espectro do ácido, sugerindo a formação do sal desejado e sucesso no processo de desprotonação do ligante.

O espectro no infravermelho do complexo Ru-Mal apresenta mudanças significativas com relação ao ácido malônico e o malonato de sódio, as quais sugerem que a forma de coordenação do íon Ru3+ com o diácido orgânico se dá através do modo monodentado, através dos grupamentos C-O desprotonados pelo processo de síntese. Todas as bandas citadas para o espectro no infravermelho do ácido malônico encontram-se deslocadas ou ausentes no caso do espectro do complexo Ru-Mal. Observa-se uma banda de média intensidade na região de 1691 cm-1 referente aos estiramentos dos grupos C=O, os quais apresentam mudanças com relação ao dobramento da banda. Este comportamento é observado na literatura no caso de diácidos coordenados a um único centro metálico através dos grupos C-O-.20 Observa-se ainda a presença de uma banda de média intensidade em 1211 cm-1 referente ao grupo C-O, deslocada para menores números de onda sugerindo a coordenação do metal a este grupo. Com relação a diferença entre νasC=O e νsC-O do sal iônico e do complexo de Ru3+, é possível observar um maior valor de Δν para o caso do complexo, indicando que o modo de coordenação entre o malonato e o rutênio se dá através do modo monodentado, ou seja, os grupos C-O- encontram-se coordenados ao metal, e os grupo C=O estão livres (Δνmalonato = 432 cm-1 e ΔνRu-Mal = 480 cm-1). É também observada a presença de uma banda larga centrada em 3412 cm-1, referente ao estiramento OH coordenado ao centro metálico.20 A fim de confirmar a presença das moléculas de água coordenadas foram realizadas curvas de TG. Na Figura 4 são apresentadas as curvas de TG do ácido malônico e o complexo Ru-Mal sobrepostos.

 


Figura 4. Curvas de TG do ácido malônico (a) e do complexo Ru-Mal (b)

 

A curva de TG do ácido malônico encontra-se em concordância com os dados apresentados pelos padrões da literatura, onde destaca-se a presença de um único evento térmico com a temperatura de onset em 137 ºC e temperatura de decomposição em 175 ºC.21 Através da curva de TG do complexo Ru-Mal é possível observar diferenças significativas do comportamento térmico das amostras, sugerindo para este caso uma maior estabilidade térmica do ácido malônico quando ligado/coordenado ao íon Ru3+. Na curva de TG do complexo Ru-Mal observa-se a presença de um evento térmico em 100 ºC, referente a perda de duas moléculas de água de hidratação na estrutura do complexo. Em 200 ºC observa-se um evento térmico com perda de massa de 9,08%, referente a duas moléculas de água coordenadas, sugerindo que a presença da banda larga observada no espectro de infravermelho em 3412 cm-1 se refere a estiramentos OH de águas coordenadas ao centro metálico. É observada uma perda de massa total até 500 ºC, resultando em espécies óxido, como Ru2O3 e Na2O, uma vez que o gás de arraste não apresenta capacidade de promover redução ou oxidação do rutênio.

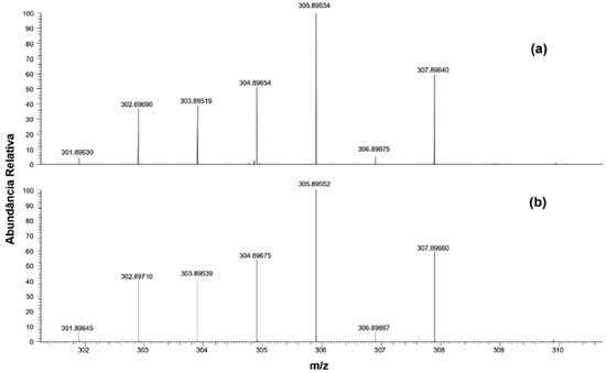
Na Figura 5 são apresentados os espectros de massas do complexo Ru-Mal, experimental (a) e teórico (b). Através do espectro de massas experimental é possível observar uma massa com maior abundância relativa correspondente a m/z 305,89534. Essa relação m/z corresponde ao complexo Ru-Mal após a perda de duas moléculas de H2O de coordenação, m/z = 305,89534, com erro de 0,58 ppm (Figura 6). Essa perda de água ocorreu devido à alta temperatura do capilar (320 ºC) na qual o spray com a solução do analito passa.

 


Figura 5. ESI(+)FT-MS do complexo Ru-Mal experimental (a) e teórico (b)

 

 


Figura 6. Equação representativa do processo de ionização do complexo Ru-Mal (conformação cis), com a geração do íon molecular com maior abundância relativa observada (m/z = 305,89)

 

A partir da correlação entre os espectros é possível observar uma alta concordância entre o espectro teórico e experimental ao comparar o valor da m/z experimental em relação a m/z teórica, confirmando que o íon estudado foi realmente detectado pela técnica. Além disso, os espectros apresentam o padrão isotópico típico dos compostos de rutênio, marcado pela presença dos isótopos: 96Ru,98Ru, 99Ru, 100Ru,101Ru, 102Ru e 104Ru, estando de acordo com a literatura, pois Silva e Guerra (2012) se referem ao isótopo 102Ru, como o mais abundante (Figura 5).22

Ensaios biológicos

O teste de toxicidade aguda via intraperitoneal foi realizado segundo protocolo da OECD/OCDE 423. O protocolo 423 estima a faixa de DL50 de acordo com o preconizado pela Globally Harmonized Classification System (GHS): classe 1 (0 mg/kg < DL50 < 5 mg/kg), classe 2 (5 mg/kg < DL50 < 50 mg/kg), classe 3 (50 mg/kg < DL50 < 300 mg/kg), classe 4 (300 mg/kg < DL50 < 2000 mg/kg), classe 5 (2000 mg/kg < DL50 < 5000 mg/kg) e não classificado (DL50 > 5000 mg/kg). Sendo classificado entre composto muito tóxico (classe 1) e atóxico (classe 5).

Inicialmente por se tratar de complexos metálicos foi utilizada a dose de 300 mg/kg para o complexo Ru-Mal. Após 60 minutos, foram observados efeitos comportamentais nos animais como contorção abdominal, movimentos estereotipados e resposta ao toque. No grupo controle, animais que receberam solução salina, também se observou movimentos estereotipados e resposta ao toque. Durante 14 dias foram avaliados o consumo de água e ração, peso corporal e mortalidade nos grupos. Durante esse intervalo não foi observado nenhum óbito nos animais tratados com o complexo Ru-Mal. Após o teste com a dose de 300 mg/kg, experimento foi feito com dose de 2000 mg/kg para o complexo Ru-Mal e foram observados 2 óbitos, sendo então, o complexo classificado na categoria 4 (300 mg/kg < DL50 < 2000 mg/kg), de baixa toxicidade. Nesse contexto, vale salientar que fármacos baseados em compostos de coordenação apresentam uma característica peculiar que é a alta toxicidade aguda e efeitos colaterais em decorrência disso, como exemplo a cisplatina apresenta toxicidade aguda classificada na categoria 1, a oxaliplatina na categoria 2 e a carboplatina na categoria 3. Os dados de massa corporal inicial e final dos animais e os parâmetros hematológicos são apresentados na Tabela 1. Os animais dos grupos Ru-Mal e controle apresentaram ganho de massa ponderal em relação ao peso inicial. O aumento de massa corpórea do grupo tratado versus controle foi um resultado positivo, pois indica que a toxicidade do composto foi baixa, já que a redução de peso é considerada um sinal de toxicidade.

 

 

Os valores de leucócitos (WBC), hemoglobina (HGB) e hematócrito (HCT) dos animais do grupo tratado com Ru-Mal apresentaram valores dentro do padrão de referência, assim como o grupo controle, o que indica que o sistema hematopoiético não foi afetado. A maioria dos antineoplásicos convencionais causam mielossupressão, o que não ocorreu com o uso de Ru-Mal. Os valores de plaquetas dos animais tratados com Ru-Mal também estão dentro do padrão de referência.

Para a avaliação da atividade antitumoral foram utilizadas 1 mg/kg de cisplatina no grupo controle positivo, dosagem utilizada para esse fármaco devido à alta toxicidade; e 5 mg/kg do complexo Ru-Mal, durante 7(sete) dias de tratamento quimioterápico. Salienta-se que as doses utilizadas para o ensaio foram calculadas mediante os ensaios de toxicidade aguda, como preconizado pelos protocolos de testes pré-clínicos. Durante todo o teste de atividade antitumoral não foram observados óbitos nos grupos (controle negativo - soro fisiológico, controle positivo - cisplatina, e complexo Ru-Mal). Em uma análise dos animais observaram-se algumas alterações como piloereção e queda de pelo para o grupo tratado com cisplatina. Para o grupo de animais tratados com o complexo Ru-Mal, não foi observada nenhuma alteração comportamental. Durante o período de tratamento quimioterápico os animais foram avaliados quanto à alimentação, ingestão hídrica e ganho de massa corpórea. Para os animais tratados com o complexo Ru-Mal o ganho de massa corpórea, não associado à massa tumoral, foi de cerca de 10% no grupo, já no caso do grupo tratado com a cisplatina houve uma diminuição da massa corpórea nos animais (5%), sugerindo que os efeitos colaterais e toxicidade do complexo são menores quando comparados à cisplatina. Com relação à ingestão hídrica, todos os grupos de animais se mantiveram em índices normais. Os dados obtidos após os testes de atividade antitumoral estão sumarizados na Tabela 2.

 

 

O composto Ru-Mal apresentou um maior percentual de inibição tumoral (~77%) quando comparado ao quimioterápico comercializado, que é a cisplatina, frente ao carcinoma de Ehrlich, porém salienta-se que a dose utilizada para o complexo Ru-Mal foi cerca de 4 vezes maior, em decorrência da sua baixa toxicidade aguda. Os dados apresentados para o padrão comprovam a confiabilidade do ensaio proposto, uma vez que para essa linhagem celular implantada, a cisplatina apresenta percentual de inibição tumoral próxima de 58%.

 

CONCLUSÕES

O complexo Ru-Mal apresentou excelentes rendimentos reacionais (92%), características higroscópicas e solubilidade em água e soro fisiológico, o que viabilizou os testes de atividade antitumoral. Os dados de caracterização demonstraram a formação do complexo diaquodimalonatorutenato(3+) de sódio. A espectrometria de massas que mostrou um m/z 305,89534, com erro de 0,58ppm, e padrão isotópico típico dos compostos de rutênio, marcado pela presença dos isótopos: 96Ru,98Ru, 99Ru, 100Ru,101Ru, 102Ru e 104Ru.

Os ensaios de toxicidade aguda classificaram os complexos cisplatina e Ru-Mal nas categorias 1 e 4, respectivamente. A categorização segundo o protocolo OECD 423 considera o complexo Ru-Mal como sendo de baixa toxicidade. Os ensaios de atividade antitumoral apresentaram percentuais de inibição tumoral para a cisplatina de ~59%, e para o complexo Ru-Mal ~77%, sendo o complexo sintetizado com atividade superior ao padrão utilizado no mercado. Os ensaios biológicos sugerem a potencialidade do complexo Ru-Mal em atuar como um pró-fármaco promissor para o tratamento do câncer.

 

AGRADECIMENTOS

Ao Centro de Apoio a Pesquisa da UFRPE (CENAPESQ) e a Central Analítica da UFPE (Departamento de Química Fundamental). Ao CNPq pelo apoio financeiro do projeto Universal 14/2013 (Processo: 472382/2013-6). À CAPES pelo apoio financeiro na forma de bolsa de estudo.

 

REFERÊNCIAS

1. Benite, A. M. C.; Machado, S. P.; Barreiro, E. J.; Quim. Nova 2007, 30, 2062.

2. Gallori, E.; Vettori, C.; Alessio, E.; Vilchez, F. G.; Vilaplana, R.; Orioli, P.; Casini, A.; Messori, L.; Arch. Biochem. Biophys. 2000, 376, 156.

3. Bratsos, I.; Jedner, S.; Gianferrara, T.; Alessio, E.; Metals in Medicine 2007, 61, 692

4. Coverdale, J. P. C.; McCarron, T. L.; Romero-Canelón, I.; Inorganics 2019, 7, 31.

5. Wiśniewska, J.; Fandzloch, M.; Łakomska, I.; Inorg. Chim. Acta 2019, 484, 305.

6. Murray, B. S.; Babak, M. V.; Hartinger, C. G.; Dyson, P. J.; Coord. Chem. Rev. 2016, 306, 86.

7. Meier-Menches, S. M.; Gerner, C.; Berger, W.; Hartinger, C. G.; Keppler, B. K.; Chem. Soc. Rev. 2018, 47, 909.

8. Hartinger, C. G.; Jakupec, M. A.; Keppler, B. K.; Zorbas-Seifried, S.; Zorbas, H.; Kynast, B.; Inorg. Biochem. 2006, 100, 891.

9. Leijen, S.; Burgers, S. A.; Baas, P.; Pluim, D.; Tibben, M.; van Werkhoven, E.; Alessio, E.; Sava, G.; Beijnen, J. H.; Schellens, J. H. M.; Invest. New Drugs 2015, 33, 201.

10. Allardyce, C. S.; Dyson, P. J.; Platinum Met. Rev. 2001, 45, 35.

11. Nikolaou, S.; da Silva, C. F. N.; Quim. Nova 2018, 41, 833.

12. Clarke, M. J.; Bitier, S.; Rennert, D.; Buchbinder, M.; Kelman, A. D.; Inorg. Biochem. 1980, 12, 79.

13. Anderson, G. J.; Vulpe, C. D.; Cell. Mol. Life Sci. 2009, 66, 3241.

14. Grotto, H. Z. W.; Revista Brasileira de Hematologia e Hemoterapia 2008, 30, 390.

15. Hotze, A. C. G.; Kariuki, B. M.; Hannon, M. J.; Angew. Chem. 2006, 118, 4957.

16. Dedeoglu, A.; Ferrante, R. J.; Andreassen, O. A.; Dillmann, W. A.; Beal, M. F.; Exp. Neurol. 2002, 176, 262.

17. OECD, Organisation for Economic Cooperation and Development, Guidelines for the Testing of Chemicals, OECD 423. Acute Oral Toxicity-Acute Toxic Class Method, Organization for Economic Cooperation and Development, Paris, 2001.

18. Ribeiro-Costa, R.M.; Alves, A. J.; Santos, N. P.; Nascimento, S. C.; Gonçalves, E. C. P.; Silva, N. H.; Honda, N. K.; Santos-Magalhães, N. S.; J. Microencapsul. 2004, 21, 371.

19. Andriolo, A.; Martins, A. R.; Ballarati, C. A. F.; Barbosa, I. V.; Mendes, M. E.; Melo, M. R.; Sumita, N. M.; Romano, P.; Trindade, P. D. A.; Recomendações da Sociedade Brasileira de Patologia Clínica Medicinal Laboratorial para coleta de sangue venoso, 2a ed., Manole: São Paulo, 2010, pp. 16-85.

20. Nakamoto, K.; Infrared and Raman Spectra of Inorganic and Coordination Compounds - Part B, 6a. ed., Wiley: New York, 2009, pp. 64-66.

21. Chunyan, L.; Hongli, S.; Min, L.; Lin, M.; Yi, W.; Min, T.; Baicen, W.; Jin, C.; Yaotang, J.; Phys. C (Amsterdam, Neth.) 2018, 555, 60.

22. Silva, P. P.; Guerra, W.; Quim Nova Esc. 2012, 34, 99.

On-line version ISSN 1678-7064 Printed version ISSN 0100-4042
Qu�mica Nova
Publica��es da Sociedade Brasileira de Qu�mica
Caixa Postal: 26037 05513-970 S�o Paulo - SP
Tel/Fax: +55.11.3032.2299/+55.11.3814.3602
Free access

GN1