JBCS



12:31, sáb out 25

Acesso Aberto/TP



Revisão


Artemisinina e derivados: Descoberta, estratégias sintéticas e obtenção industrial
Artemisinin and derivatives: Discovery, synthetic strategies, and industrial production

Ramon Guerra de Oliveira; Luiza dos Reis Cruz; Luiz Carlos Dias*

Instituto de Química, Departamento de Química Orgânica, Universidade Estadual de Campinas, Cidade Universitária Zeferino Vaz, 13083-970 Campinas - SP, Brasil

Recebido em: 07/12/2021
Aceito em: 15/02/2022
Publicado em: 05/04/2022

Endereço para correspondência

*e-mail: ldias@unicamp.br

RESUMO

Artemisinin, a natural sesquiterpene isolated from the Artemisia annua L. plant, represents a remarkable achievement in the treatment against malaria. Since its discovery in the 1970's, researchers readily started synthesizing this complex natural product containing an unusual endoperoxide fragment. Despite various total syntheses reported, only in the last decade the production jumped from extraction/bench scale to industrial manufacturing. In this sense, the objective of this contribution is to highlight the discovery, the most representative works towards the synthesis of artemisinin and its main derivatives used worldwide against malaria, and the path to the industrial production of these compounds.

Palavras-chave: endoperoxide; total synthesis; terpenoids; malaria.

INTRODUÇÃO

A natureza vem sendo utilizada historicamente pela humanidade para manutenção das suas necessidades básicas, inclusive para tratamento e alívio de doenças. As plantas têm seu papel bem descrito, sendo consideradas a base para os sistemas tradicionais de medicina. Diversas civilizações como a egípcia, a greco-romana e a chinesa merecem destaque na utilização desses recursos naturais na medicina, no controle de pragas e em mecanismos de defesa.1

Dentre os constituintes químicos presentes nas plantas, os metabólitos secundários são produtos do metabolismo celular que desempenham diversas funções para manutenção da vida do organismo. Acredita-se que, evolutivamente, o papel desses constituintes está relacionado com mecanismos de defesa contra herbívoros, pragas e até mesmo pela competição do habitat entre espécies vegetais. Além disso, outros papéis ecológicos estão relacionados a esses metabólitos, como quelação de minerais e regulação da biota e fertilidade do solo.2 Ainda, alguns desses compostos possuem capacidade de interagir com outros sistemas biológicos, inclusive o humano, exercendo atividades farmacológicas. Dentre esses compostos, destaca-se a artemisinina (ART), um sesquiterpeno lactônico obtido a partir das partes aéreas da planta Artemisia annua L., e que possui um importante papel como agente antimalárico, bem como precursora e fonte de inspiração para obtenção de derivados estruturalmente relacionados.

Diante da complexidade estrutural desse produto natural, vários grupos de pesquisa de todo o mundo empenharam e ainda empenham esforços para melhorar rotas antigas e descobrir novas abordagens sintéticas para obtenção da ART.3-8 Nesse sentido serão apresentados um contexto histórico da descoberta bem como estratégias de obtenção e síntese em escala industrial recentes para a ART e seus derivados.

A descoberta da artemisinina: da medicina popular ao prêmio Nobel

Até a metade do século XX, a quinina (1) era um dos alcaloides mais conhecidos por suas propriedades medicinais (Figura 1.A). Obtida a partir das cascas da Cinchona, foi isolada pelo químico francês Joseph Pelletier em 1820 e teve seu uso bastante difundido na Europa devido às suas propriedades antipiréticas e no tratamento da malária.9 Um século depois, a malária ainda era tratada com preparações à base de 1 (quinina), sendo essas em sua maioria infusões e tinturas utilizando as cascas da Cinchona.10 No entanto, seu uso estava associado à expressiva toxicidade, o que motivou a síntese de outros análogos estruturalmente relacionados com melhores propriedades farmacológicas.11

 


Figura 1. A) Primeiros antimaláricos descritos a partir da quinina (1): metacrina (2) e cloroquina (3). B) Estrutura química da (+)-artemisinina (ART). C) Representação ORTEP. Ilustração gerada com o software Mercury,14 depósito do cristal CCDC 754897

 

Em meados de 1960 no sudeste asiático, apareceram os primeiros relatos de resistência aos antimaláricos sintéticos derivados de 1, 2 (metacrina) e 3 (cloroquina) (Figura 1, A), resultando no fracasso no controle da doença.12 A reincidência e a alta taxa de mortalidade, associados às dificuldades do tratamento, se tornaram um desafio global, em particular em regiões onde havia a presença de cepas resistentes do parasita, hoje reconhecidas por causarem a forma mais grave e incapacitante da malária.9 Diante dessa problemática, diversos países dedicaram esforços para a descoberta de novos agentes antimaláricos.

Fundada em 1967, a Agência Nacional para Controle da Malária da China era responsável por coordenar e organizar as atividades de pesquisa por novos antimaláricos no país. Dois anos após sua criação, já haviam sido testados milhares de compostos; contudo, nenhum candidato a fármaco foi identificado. Somente após uma visita de membros da agência ao Instituto de Matéria Chinesa, órgão que pertencia à Academia Tradicional de Medicina Chinesa, a farmacêutica Tu Youyou foi recrutada e inicialmente designada para coletar informações sobre preparações animais, herbais e minerais dos compêndios da medicina Chinesa. A pesquisadora fez um levantamento de mais de duas mil preparações que haviam sido documentadas na história do país, e que foram posteriormente resumidas em 640. Dessas preparações, foram elaborados mais de 100 extratos aquosos e/ou alcoólicos, que foram testados em modelos animais de malária da época, alguns se mostrando promissores. O extrato da erva Qinghao (Artemesia annua L.) havia sido inativo nos ensaios farmacológicos, até que uma modificação no processo de obtenção, utilizando temperaturas mais baixas e éter etílico como solvente, rendeu um novo extrato vegetal que foi tratado em seguida com uma solução alcalina para retirada das impurezas de natureza ácida. Essa nova fase orgânica neutralizada foi ativa em ratos com 100% de eficácia, com resultados confirmados posteriormente em macacos, tornando esses achados, etapas críticas na posterior descoberta formal da ART.13

Diante dos resultados promissores, em 1972 foi conduzido o primeiro ensaio clínico com o extrato etéreo de Qinghao. Concomitantemente, um estudo fitoquímico foi realizado em parceria com o Instituto de Química Orgânica de Shanghai e com o Instituto de Biofísica da Academia Chinesa de Ciências, que determinaram inequivocamente, através da cristalografia de raios-x, a estrutura desse sesquiterpeno lactônico, posteriormente nomeado como artemisinina (ART) (Figura 1, B e C).

Os primeiros derivados da Artemisinina

Apesar da descoberta promissora da ART, pesquisadores logo se depararam com algumas limitações técnicas para que esse produto pudesse chegar aos pacientes mais necessitados. Baixas solubilidade e absorção oral, aliadas a uma meia-vida curta e casos reincidentes de malária,15 quase inviabilizaram o emprego desse produto natural como antimalárico. Para mitigar essas limitações, derivados estruturalmente relacionados foram planejados e sintetizados.

A primeira modificação estrutural realizada foi a redução da carbonila lactônica para seu respectivo lactol em uma mistura epimérica (Figura 2). Apesar de mais solúvel e mais potente quando comparada à ART, a diidroatermisinina (DHA) ainda apresentava meia-vida curta, provavelmente devido à sua capacidade de formar conjugados de fase II mais hidrossolúveis através de sua hidroxila livre.16 Como forma de modular o possível envolvimento de processos metabólicos de fase II, foram obtidos os análogos metoxilado/fragmento metóxi, chamado arteméter (4) e também o derivado etoxilado, denominado arteéter (5), que devido a sua maior lipofilicidade seria capaz de atravessar a barreira hematoencefálica e tratar os casos de malária cerebral. Por último, o produto da reação entre a DHA e o anidrido succínico deu origem ao artesunato (6), que possui potência e solubilidade superiores à ART, podendo ser considerado um pro-fármaco devido à função éster ser clivada por esterases plasmáticas, liberando rapidamente a DHA.17

 


Figura 2. ART, seus principais derivados utilizados na clínica como antimaláricos e seus análogos de segunda geração

 

Com a incorporação dessa nova classe de compostos no arsenal terapêutico, os pesquisadores dedicaram esforços para melhor compreender como esses compostos exerciam seus efeitos antimaláricos. Assim, através de extensivos estudos, descobriu-se que logo após o contato do homem com os parasitas causadores da malária, Plasmodium spp., o processo de multiplicação destes se iniciava nos hepatócitos liberando os merozoítos, que são as formas do parasita capazes de penetrar e causar hemólise das células sanguíneas. O parasita, através de sua maquinaria enzimática, se alimenta da hemoglobina humana e, como subproduto, libera o grupamento heme que se polimeriza e forma um pigmento chamado hemozoína. A ligação oxigênio-oxigênio do fragmento 1,2,4-endo-trioxolano, presente na ART e seus derivados, é o farmacóforo dessa classe de compostos, sendo reduzida pelo ferro presente na hematina, gerando radicais capazes de alquilar e inativar proteínas essenciais ao parasita (Figura 3).18,19 Esse melhor entendimento sobre o mecanismo de ação dessa classe de compostos permitiu que diversos grupos de pesquisas desenvolvessem análogos sinteticamente mais acessíveis.

 


Figura 3. Proposta mecanística de bioativação da ART

 

Segunda geração de análogos sintéticos

De posse do modelo farmacofórico da ART, sistemas tetraoxânicos (7, 8), peroxânicos (9), e trioxânicos (10, 11) sinteticamente mais acessíveis e com a atividade antimalárica similar foram planejados e sintetizados (Figura 2).20 Um desses, o arterolano (10) (OZ277), já obteve aprovação na Índia e alguns países africanos. Esse análogo possui meia-vida superior à 3 h, implicando em menor frequência de administração e possibilidade de resistência diminuída.21 Mais recentemente, seu análogo artefenomel (11) (OZ439) se mostrou mais potente e com meia-vida mais longa, tornando-se assim mais atrativo devido a possibilidade de uso em dose única. A Medicines for Malaria Venture (MMV) cedeu os direitos de 10 para a indústria farmacêutica indiana Ranbaxy dar continuidade ao desenvolvimento, em prol de investir recursos em 11, pois este está mais alinhado com o perfil de produto alvo da MMV.22 Os testes de fase clínica III de 11 foram finalizados recentemente.23

Vários pesquisadores estiveram envolvidos no projeto chinês de descoberta da ART. No entanto, a demonstração inicial do potencial do extrato de Artemisia annua L. como antimalárico por Tu Youyou foi essencial para o projeto.24 Sem o envolvimento de Tu Youyou, não haveria os cristais obtidos para a determinação estrutural da ART e, consequentemente, a síntese dos primeiros derivados que foram ensaiados clinicamente não teria sido possível. Assim, em reconhecimento à sua contribuição para a descoberta da artemisinina, Tu Youyou foi agraciada com o prêmio Nobel de fisiologia ou medicina em 2015.25

 

ESTRATÉGIAS SINTÉTICAS

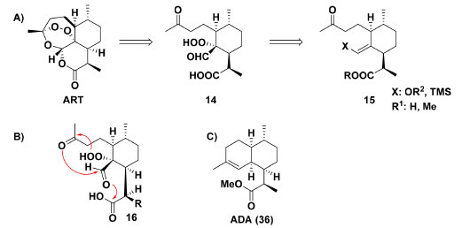
Logo após a elucidação estrutural da ART em 1977, químicos rapidamente responderam ao desafio de sintetizar em laboratório essa molécula de elevada complexidade estrutural: sete centros estereogênicos, contendo um endoperóxido. A análise retrossintética no Esquema 1A mostra desconexões para a construção do sistema bicíclico oxigenado através de intermediários chaves: a ART pode ser visualizada como um acetal-cetal-lactona, que após a abertura dos anéis revelando as carbonilas (14), poderia ser obtida a partir do ataque do hidroperóxido através do intermediário chave 15. Assim, foi possível explorar as reações em cascata catalisada por ácido (16, Esquema 1B) utilizadas na maioria das rotas sintéticas de obtenção da artemisinina.26

 


Esquema 1. A) Análise retrossintética para obtenção da ART. B) Representação da movimentação eletrônica das reações em cascata em meio ácido. C) Ácido diidroartemisinínico (ADA)

 

Diversas metodologias para obtenção da ART estão reportadas na literatura, tanto a partir de produtos naturais contendo elementos de quiralidade já inseridos, quanto a partir de materiais de partida mais simples. A depender do precursor que se utiliza para a síntese, as metodologias ainda podem ser classificadas como semissínteses ou sínteses totais. No entanto, as duas categorias possuem o ácido diidroartemisínico (ADA,Esquema 1C) ou derivados ceto-insaturados (15) como intermediários avançados cruciais para o fechamento do sistema 1,2,4 trioxânico.27

A despeito dos consideráveis avanços na obtenção de produtos de fermentação oriundos de microrganismos como precursores semissintéticos para a obtenção da ART e seus derivados (que serão discutidos adiante), o problema da confiabilidade e alto custo de produção ainda são pontos importantes a se considerar. Por outro lado, uma síntese total robusta requer economia de átomos, alta eficiência geral e baixo custo para suprir a demanda desse antimalárico em escala global, o que torna tal estratégia ainda limitada a fins acadêmicos. A seguir serão apresentados alguns exemplos históricos e avanços recentes na obtenção da artemisinina e seus derivados.28

Sínteses totais da artemisinina

A primeira síntese total da ART foi descrita em 11 etapas por Schmidt e Hofheinz em 1983, pouco tempo depois de sua elucidação estrutural (Esquema 2).29 A primeira etapa da síntese total consistiu na proteção da hidroxila do (-)-isopulegol (17), utilizado como material de partida e contendo dois dos centros estereogênicos presentes no produto final, com o grupo metóximetiléter (MOM), levando ao éter (18), que foi então submetido a uma reação de hidroboração e posterior tratamento alcalino, fornecendo uma mistura de álcoois, sendo o isômero (R)-19 desejado, isolado em 80% de rendimento (para duas etapas). Na sequência, foi realizada a proteção da hidroxila recém incorporada com o grupo benzila (20), seguida de desproteção do grupo MOM em condições ácidas para fornecer 21. A oxidação do álcool secundário forneceu a mentona 22 com rendimento de 58% para a sequência em 5 etapas. A formação do enolato cinético, para subsequente reação de alquilação pela face oposta ao grupo metil, foi realizada com di-isopropil-amideto de lítio (LDA) e o iodeto de Stork-Jung fornecendo uma mistura 6:1 de produtos alquilados (23) em 62% de rendimento. A mentona foi tratada com o reagente organometálico em questão para adição 1,2 à carbonila e, após algumas tentativas de otimização, viu-se que com um excesso de 10 equivalentes do organometálico, a adição procedia com diastereosseletividade de 8:1 e ataque à face menos impedida da carbonila (face Re), sendo o isômero desejado 24 isolado em 89% de rendimento. A desproteção do grupo benzila foi realizada via redução de Birch e o álcool resultante foi oxidado ao aldeído, que após ciclização para o lactol intermediário, foi oxidado à lactona correspondente (25) em 75% de rendimento. Esta então foi submetida à epoxidesililação através da reação de Tamao-Fleming, na qual o grupo vinil silano incorporado anteriormente foi convertido no enol correspondente, que sofre tautomerização dando origem ao intermediário cetônico 26. A de-sililação do produto 26 e posterior beta-eliminação foi promovida pelo fluoreto de tetrabutilamônio (TBAF) em meio ácido, com consequente abertura do anel lactônico, fornecendo o produto 27, agora contendo o enol-éter e o ácido carboxílico, em 95% de rendimento. Por fim, utilizando oxigênio singleto (1O2) obtido por processo fotoquímico (O2, azul de metileno como agente fotossensibilizante), a reação de Shenck-ene forneceu uma mistura bruta que, após tratamento ácido, forneceu o produto de condensação ART em 30% de rendimento.

 


Esquema 2. Rota sintética desenvolvida por Schmidt e Hofheinz em 1983

 

Alguns anos após a síntese pioneira de Hoffman e Schmidt, Xing Xiang e colaboradores publicaram uma nova rota sintética, dessa vez usando como ponto de partida o (R)-(+)-citronelal (29) (Esquema 3).26 Na época da publicação, já haviam sido identificados outros metabólitos de Artemisia Annua L., e a estratégia de Xing Xiang foi direcionada à obtenção do éster do ADA (36) para posterior obtenção do enol-éter 40.

 


Esquema 3. Rota sintética desenvolvida por Xing-Xiang e colaboradores a partir do citronelal (29)

 

Primeiramente, o citronelal (29) foi ciclizado através de uma reação do tipo carbonil-ene e após hidroboração, forneceu o diol 30. A proteção da hidroxila menos impedida de 30 com o grupo benzila e posterior oxidação da hidroxila secundária forneceu a cetona 31. A desprotonação cinética de 31 com LDA forneceu o enolato que, por sua vez, reagiu com a vinil-cetona sililada com ataque oposto ao grupo metil vizinho, levando ao intermediário dicetônico 32, em que é possível observar certa semelhança estrutural com 23, intermediário avançado de Hoffman descrito anteriormente, que possui uma cetona mascarada na forma de vinilsilano. A dicetona 32 foi então ciclizada ao intermediário 33, através da anelação de Robinson, e em seguida convertido para o sistema cis-decalínico 34. O composto 34 foi submetido à adição do organometálico à carbonila, produzindo um álcool terciário que, após tratamento em condições ácidas, forneceu o produto de desidratação 35. Após sequência de remoção do grupo benzila, oxidação ao ácido carboxílico e esterificação com diazometano, o intermediário avançado 36 (ADA) foi submetido a uma reação de ozonólise fornecendo o derivado 37, que teve sua carbonila cetônica protegida preferencialmente devido ao menor impedimento estérico, dando origem à ditiana 38. A carbonila do aldeído em 38 foi convertida em seu respectivo acetal com trimetil-ortoformiato e, em seguida, no enol-metil-éter (39), fornecendo uma mistura de diastereoisômeros E e Z. Em seguida, a carbonila do tioacetal 39 foi restaurada e o intermediário 40 foi submetido à fotooxidação e tratamento ácido dando origem a ART em 28% de rendimento. A metodologia pioneira adotada pelos pesquisadores foi fundamental para entender o papel do ADA como intermediário avançado na síntese da ART, proporcionando seu uso em sínteses futuras.

Avery e colaboradores utilizaram uma abordagem não usual para obtenção da ART. A partir da observação da ozonólise de vinilsilanos não usual relatada por Buchi e Wuest,30 Avery e colegas planejaram o fechamento do sistema 1,2,4 trioxânico da ART através de uma reação catalisada por ácido de um α-hidroperóxi aldeído obtido de um vinilsilano previamente funcionalizado (Esquema 4).31,32

 


Esquema 4. Rota sintética desenvolvida por Avery e colaboradores explorando a ozonólise de Buchi e Wuest. HMPA - hexametilfosforamida; LICA - ciclohexil-isopropil-amideto de lítio

 

A síntese se inicia a partir do sulfóxido 41 que, após sequência de tratamento com LDA e alquilação, forneceu uma mistura diastereoisomérica que foi dessulfurizada, formando o isômero 42. A ciclohexanona 42, através do processo de Shapiro et al.33 por meio da obtenção da hidrazona correspondente e posterior estabilização do diânion com DMF, forneceu o aldeído α,β-insaturado 43. Os autores relataram que no processo de obtenção de 45 via rearranjo de Ireland-Claisen, era necessária a estereoquímica adequada do intermediário 44 para que a reação ocorresse, devido a um estado de transição congestionado de um dos diastereoisômeros. Nesse sentido, a obtenção do diastereoisômero desejado 44 foi procedida via adição 1,2 à carbonila de 43 via face Si, utilizando tris(trimetilsilil) alumínio eterato, fornecendo o alcóxido α-silil alumínio, que foi estabilizado in situ por meio de anidrido acético em ótimo rendimento. De posse do silil-acetato 44, o vinilsilano 45 foi obtido através do rearranjo de Ireland-Claisen e posteriormente esterificado, alquilado e hidrolisado ao ácido carboxílico 47. Por fim, através do processo de ozonólise de Buchi e Wuest em meio ácido, a ART foi obtida em 37% de rendimento.

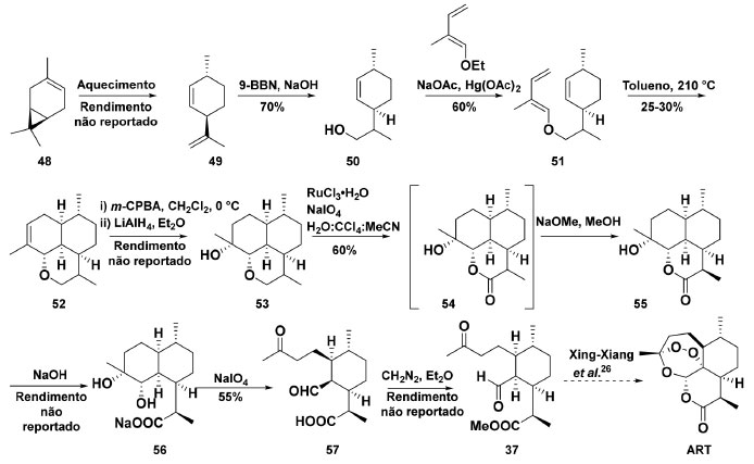
As reações pericíclicas, em especial a cicloadição, foram exploradas por Ravindranathan e colegas em 1990 como uma maneira criativa de obter a ART (Esquema 5).34 A estratégia para emprego da cicloadição de Diels-Alder intramolecular se baseia na obtenção do intermediário avançado 51, que contém o dieno e dienófilo necessários para interação orbitalar e consequente ciclização. Inicialmente, o (+)-car-3-eno (48) por meio de um rearranjo térmico foi convertido em isolimoneno (49) e em seguida submetido à reação de hidroboração da dupla ligação menos impedida estericamente, fornecendo o álcool 50. Após a formação do éter vinílico sob catálise de sais de mercúrio e sódio, o intermediário enol-éter chave para a cicloadição (51) foi obtido em 60% de rendimento. A reação de Diels-Alder intramolecular foi empregada para anelação e obtenção do intermediário 52; entretanto, vale ressaltar a ineficiência dessa etapa devido à grande diferença de energia entre os orbitais de fronteira HOMO-LUMO, requerendo altas temperaturas e 72 horas de reação, fornecendo uma mistura de isômeros (52) com rendimentos entre 25 30%. Em seguida, a reação de Prilezhaev foi empregada para formação do epóxido, que foi aberto dando origem ao álcool 53. A etapa de funcionalização da ligação C-H de 53 para formação da carbonila foi promovida em condições oxidantes mais vigorosas, via tetróxido de rutênio obtido in situ, fornecendo a lactona 54 em 60% de rendimento. Ela foi então epimerizada para o diastereoisômero com estereoquímica desejada (55), com a subsequente hidrólise básica fornecendo 56. A clivagem do diol presente em 56 foi realizada com periodato de sódio fornecendo em 55% de rendimento o composto 57, que contém as funções cetona e aldeído necessárias para o fechamento de anel ácido catalisado do sistema trioxânico. Como o intermediário 37 já havia sido obtido em metodologia anterior, as mesmas condições reacionais de proteção, desproteção, uso de oxigênio singleto por via fotoquímica e catálise ácida descritas por Xing-Xiang levaram à ART.26 Vale ressaltar que essa síntese formal forneceu em 8 etapas o intermediário 37, ao passo que no estudo descrito por Xing-Xiang este foi obtido em 15 etapas.

 


Esquema 5. Rota sintética desenvolvida por Ravindranathan e colaboradores explorando a etapa de cicloadição [4+2]. 9-BBN - 9-borabiciclo[3.3.1]nonano

 

Em uma segunda síntese formal, o mesmo grupo anterior utilizou uma etapa de oxidação C-H não usual.35 Partindo do (-)-mentol (58), foi obtida a enona correspondente 59 em 4 etapas com rendimento de 39% (Esquema 6). Posteriormente, a epoxidação da ligação dupla endocíclica e a abertura do epóxido com concomitante redução da carbonila, levaram ao intermediário 60, com estereoquímica cis na fusão de anéis, em 94% de rendimento. Após a acetilação da hidroxila menos impedida estericamente, a oxidação C-H do fragmento isopropila por meio de um processo radicalar fotocatalisado, publicada por Vallés e colaboradores,36 levou à formação do anel tetraidrofurânico presente em 61 em 80% de rendimento. Em seguida, 61 foi desprotegido, oxidado com clorocromato de piridínio (PCC) e sua hidroxila protegida para obtenção do intermediário avançado 33, também utilizado e reportado por Xing-Xiang26 para obtenção da ART.

 


Esquema 6. Rota sintética para obtenção da ART explorando a oxidação C-H de Vallés e colegas

 

O trabalho pioneiro publicado por Yadav e colaboradores em 2010 otimizou a rota sintética da ART ao obter o intermediário avançado 70, semelhante ao ADA, em 7 etapas, metade do número de etapas descritas por Xing-Xiang26 e sem o emprego de grupos de proteção (Esquema 7).37 A síntese se inicia com a adição 1,4 da enamina formada pelo (R)-(+)-citronelal (62) e catalisador de derivado de prolina à metil vinil cetona fornecendo o intermediário 63. Em seguida, este sofre uma condensação aldólica intramolecular fechando o anel presente em 64, que subsequentemente é submetido a uma adição de organometálico à carbonila formando a mistura de diastereoisômeros 65. O processo de desidratação/ciclização promovido por tetracloreto de estanho forneceu o biciclo 66, que foi submetido a uma hidroboração regiosseletiva na ligação dupla exocíclica utilizando o 9-borabiciclo[3.3.1]nonano (9-BBN). O álcool 67 foi convertido ao aldeído através da oxidação de Swern e este ao ácido carboxílico 69 através da oxidação de Pinnick e com a subsequente esterificação em meio básico conduzido à 70. O intermediário avançado 70 foi submetido às condições de ciclização utilizando o protocolo descrito por Vonwiller et al.,38 fornecendo então a ART. Segundo os autores, essa metodologia poderia ainda ser otimizada através da oxidação/esterificação one-pot. A organocatálise assimétrica até então não havia sido explorada em metodologias de obtenção da ART, mas apesar de apresentar vantagens e potencial utilização na obtenção industrial, apenas 27 mg da ART foram obtidas, necessitando avaliar a escalabilidade do processo.

 


Esquema 7. Síntese da ART utilizando organocatálise assimétrica

 

As metodologias de obtenção da ART até então enfrentavam um problema sintético bastante desafiador: a incorporação do fragmento peróxi/hidroperoxil de maneira estereosseletiva na posição C-12 do sistema sesquiterpênico, a qual é considerada impedida estericamente (Figura 1, B).39 Até então, para essa etapa chave, todas as metodologias utilizavam oxigênio singleto, ozônio ou hidroxiperoxisilanos (espécies de meia vida curta obtidas a partir do ozônio). A despeito do peróxido de hidrogênio (H2O2) ser um reagente bastante conhecido para incorporação desse fragmento em compostos orgânicos, não havia um procedimento para sua utilização na síntese da ART que houvesse funcionado, ou até mesmo para outros intermediários avançados.

Nesse sentido, Hao e colaboradores desenvolveram uma metodologia que utilizou H2O2 sob catálise de sais de molibdênio (Esquema 8).39 Através da otimização das condições reacionais com um substrato modelo, a metodologia foi aplicada ao intermediário avançado 71 e foi observado que a perhidrólise acontecia de maneira diastereosseletiva frente ao grupo epóxido, levando à incorporação do fragmento hidroperóxido, presente em 72. Em meio ácido, ocorre a desproteção do grupo acetal e fechamento do anel, levando ao derivado 73, que contém o sistema 1,2,4 trioxânico de interesse. Em duas etapas subsequentes, os autores obtiveram a ART, expandindo a possibilidade do uso desse reagente mais acessível e sem a necessidade de aparato fotoquímico sofisticado.

 


Esquema 8. Rota sintética descrita por Hao e colaboradores com uso de H2O2 sob catálise de sais de molibdênio

 

Em 2012, Zhu e Cook descreveram a síntese total da ART de maneira concisa e econômica, em apenas 5 etapas, utilizando como precursor a ciclohexenona 75, amplamente disponível e de baixo custo (Esquema 9).40 Em metodologias anteriores, a etapa de alquilação utilizando o vinilsilano de Stork-Jung ainda era custosa, sendo então substituída pelos autores por uma reação SN2 com brometo de crotila, que através de uma oxidação olefínica do tipo Wacker, forneceu a cetona desejada 76. Além disso, os autores partiram da premissa de que obtendo o derivado α,β-insaturado 77, poderiam explorar cicloadições do tipo [4+2] de maneira mais eficiente. Também não foram empregadas reações de proteção/desproteção e, com escalonamento moderado, a complexidade de obtenção da ART diminui, tornando o processo mais atrativo no contexto de obtenção industrial.

 


Esquema 9. Rota sintética para obtenção da ART desenvolvida por Zhu e Cook partindo da ciclohexenona. TMEDA - tetrametiletilenodiamina

 

Assim, em um processo one-pot, a ciclohexenona 75 foi convertida na respectiva cetona di-substituída 76 em bom rendimento e com uma mistura com 91% de excesso diastereoisomérico (9:1 trans/cis). Em seguida, em um processo também one pot, o tratamento com p-toluenosulfonilhidrazina em uma reação de condensação forneceu a hidrazona correspondente, que foi submetida a tratamento com n-butil-lítio, fornecendo um ânion vinílico que, após tratamento com DMF, forneceu o produto formilado 77, com rendimento de 77%. A etapa de cicloadição [4+2] partiu do aldeído α,β-insaturado 77 e do acetal sililceteno que, sob catálise de sais de alumínio e evitando produtos de adição de Mukayama,41,42 forneceu o ortoéster 78 em uma mistura de diastereoisômeros em 95% de rendimento. A oxidação olefínica foi realizada utilizando H2O2 catalisada por paládio, porém, com regiosseletividade moderada em uma mistura de metil e etil-cetonas diastereoisoméricas, que foram isoladas por cromatografia fornecendo a metil cetona desejada 79 em 61% de rendimento. Essa falta de seletividade poderia ser compensada diante da possibilidade de reciclagem do catalisador segundo os autores, o que ainda deixaria o processo viável. A última etapa sintética foi o rearranjo oxidativo promovido por oxigênio singleto através de catálise por sais de molibdênio, que sob catálise ácida, fornece a ART em rendimentos de 42%.

Apenas em 2018, Krieger e colaboradores sintetizaram a (-)-ART (90) para responder a pergunta sobre a estereosseletividade reportada tanto para atividade antimalárica quanto para atividade em outros alvos biológicos estudados (Esquema 10).43,44 Em uma estratégia similar à publicações anteriores,34,40,45 o (S)-(+)-citroneleno (80) foi submetido à uma epoxidação na ligação dupla mais rica em elétrons e posterior clivagem oxidativa para obtenção do aldeído correspondente 81. A adição do organolítio, obtido após tratamento do alcino com n-butil-lítio, à carbonila do aldeído 81 forneceu o álcool propargílico 82 em uma mistura de isômeros, que foram utilizados na etapa de redução da ligação tripla ao álcool alílico 83, obtido quantitativamente. O produto insaturado foi oxidado à cetona 84 em bom rendimento e usado na sequência como substrato para a reação de Reformatsky, utilizando o organozinco obtido do α-halo-éster, em 86% de rendimento. O trieno em questão (85) foi submetido a uma reação de cicloadição [4+2] intramolecular fornecendo uma mistura de isômeros (86), porém, com rendimento superior (91%) quando comparada à realizada por Ravindranathran et al. (29-32%).34 Os produtos de cicloadição foram obtidos como uma mistura diastereoisomérica (86), mas os autores ressaltam ao fim da síntese que dos dois novos centros estereogênicos inseridos (destacados no esquema), apenas para um é necessário controle estereoquímico na obtenção da ART. Assim, os diastereoisômeros que possuiam a configuração desejável foram isolados por cromatografia e desidratados com o sulfurana de Martin. Em seguida, a depender do isômero obtido, foram utilizadas duas metodologias para redução da dupla ligação do produto 87, que foram submetidos as condições já descritas para fechamento dos anéis com oxigênio singleto formando o esqueleto trioxânico. A última etapa foi a alquilação de 89 com posterior epimerização para obtenção do antípoda desejado da ART (90). Cabe destacar que esse derivado possui a mesma atividade antimalárica da ART e, portanto, seu mecanismo de ação antimalárico não é estereoespecífico.

 


Esquema 10. Síntese da (-)-ART descrita por Krieger e colaboradores. BAIB - bis(acetoxi)iodobenzeno; TEMPO - 2,2,6,6-tetrametilpiperidina 1-oxil; DBU - 1,8-diazabiciclo(5.4.0)undec-7-eno

 

Semissíntese como uma alternativa viável

Apesar dos inúmeros avanços feitos na síntese total da ART, essas metodologias ainda eram consideradas comercialmente inviáveis devido ao custo dos materiais de partida à base de monoterpenos, os altos custos inerentes às sequências de reações longas, emprego de grupos de proteção excessivos e a complexidade molecular da estrutura do produto. Nesse sentido, uma rota sintética mais promissora e eficiente da ART partindo de um produto natural com complexidade intermediária como ponto de partida e de viável obtenção, seria uma alternativa plausível.

O primeiro relato bem sucedido do uso de um intermediário avançado na síntese da ART foi descrito por Roth e Acton em 1989 (Esquema 11).46 Outros grupos já haviam relatado tentativas de fotooxidação do ácido artemisínico (AAR), haja vista a relativa abundância desse constituinte na Artemisia annua L. (aproximadamente 6x a concentração de ART), porém sem sucesso.47,48 Roth e Acton, diferentemente dos antecessores, usaram cloreto de níquel e borohidreto de sódio para a redução da ligação dupla acrílica do ácido artemisínico (AAR), o que forneceu uma mistura de epímeros do ADA. De acordo com observações dos autores, a temperatura de -78 °C para a fotooxidação era fundamental para manter rendimentos aceitáveis, pois quando realizada à 0 °C, o rendimento caiu pela metade. Ainda, descobriram que seguidas lavagens com éter etílico e éter de petróleo após a fotooxidação por éter etílico levavam a uma mistura reacional mais limpa, capaz de fornecer a ART em 17%. De acordo com os autores, esse processo, se devidamente otimizado, poderia fornecer um intermediário avançado que, em poucas etapas poderia ser convertido na ART, e que poderia ser implementado em escala industrial.

 


Esquema 11. Primeiro relato do uso de níquel borohidreto de sódio para redução do AAR na síntese da ART

 

Em 2006, a indústria Amyris, em colaboração com pesquisadores da Universidade da Califórnia Berkeley, desenvolveu um processo fermentativo para obtenção do AAR em escala industrial.49 A tecnologia desenvolvida pelos grupos baseou-se na modificação genética de leveduras Saccaromyces cerevisiae (EPY224), manipulando-as para expressar a sintase do amorfadieno e uma monooxigenase do complexo do citocromo P450, que seriam capazes de converter o amorfadieno (91) em AAR, partindo de açúcares simples. Através do processo desenvolvido, foi possível aumentar a produção do amorfadieno em mais de 500 vezes quando comparadas às concentrações obtidas naturalmente.50 Uma das vantagens do processo é que a obtenção desse metabólito de interesse não mais estaria sujeita às variações climáticas quando comparadas à sua extração vegetal, e que em poucas etapas levaria à ART.

Assim, Westfall e colaboradores utilizaram 91, obtido através do processo fermentativo descrito acima, para a etapa de hidroboração usando 9-BBN, que forneceu o álcool correspondente 92 na configuração desejada em 79% de rendimento (Esquema 12, A).49 A oxidação do álcool 92 diretamente a um ácido carboxílico em uma única etapa levou a misturas complexas que, segundo os autores, poderiam ser fruto da reatividade da olefina originando subprodutos. Nesse sentido, a oxidação de Parikh-Doering foi utilizada para converter o álcool 92 no aldeído 93 em 76% de rendimento e, em seguida, no ADA, com 79% de rendimento, via reação de Pinnick. Assim, o ADA poderia ser utilizado como intermediário para obtenção da ART no contexto industrial.

 


Esquema 12. A) Rota sintética de Westfall et al. para funcionalização do amorfadieno em ADA. B) Rota sintética desenvolvida por Singh et al. explorando a proteção da ligação dupla com funcionalização C-H. C) Hidrossililação quimio e diastereosseletiva reportada por Schwertz et al. TCCA - ácido tricloroisocianúrico; IPA - álcool isopropílico

 

Ainda no contexto da utilização de 91, Singh e colaboradores desenvolveram uma estratégia sintética diferente: epoxidação da ligação dupla endocíclica de 91 para posterior funcionalização seletiva da isoprenila (Esquema 12, B).51 Considerando o custo do reagente 9-BBN descrito anteriormente, optou-se por metodologias alternativas. Inicialmente, a ligação dupla foi epoxidada através da reação de Prilezhaev utilizando o ácido metacloroperbenzóico (m-CPBA), porém o rendimento não foi satisfatório. Além de ser um reagente caro para uso em larga escala, a reação forneceu uma mistura de produtos. Quando substituído por H2O2, forneceu o epóxido desejado 94 em ótimo rendimento e com regiosseletividade perfeita, podendo ser usado em excesso sem o problema de reações colaterais. A etapa de funcionalização da ligação C-H isoprenílica foi realizada utilizando o ácido triclorocianúrico (TCCA) e com excelente rendimento, possibilitando a reciclagem do subproduto ácido cianúrico. De posse do haleto 95, a oxidação de Kornblum foi utilizada para obtenção de 96, que, em seguida, foi oxidado ao ácido carboxílico 97. Inicialmente, a rota proposta consistia na restauração da dupla ligação endocíclica presente no ADA; no entanto, tentativas de abertura do epóxido 97 levaram a produtos indesejados, o que motivou os autores a adaptar a rota incialmente proposta, reduzindo primeiro a dupla ligação acrílica utilizando diimida, obtendo o ácido epóxidiidroartemisínico (98), e somente depois a abertura do epóxido e restauração da dupla endocíclica, fornecendo o ADA em 66% de rendimento. As etapas posteriores para ciclização e obtenção da ART seguiram as que foram reportadas no processo industrial da Amyris (que será discutido adiante), com pequenas variações nas etapas de geração do oxigênio singleto, chegando a 60% de rendimento isolado, uma melhora quando comparada ao processo industrial (45%).

Diferentemente das duas estratégias anteriores para utilização do amorfadieno 91 na síntese da ART, Schwertz e colegas desenvolveram uma metodologia para hidrossililação diasterosseletiva (Esquema 12, C).52 Os autores conseguiram realizar a transformação através da otimização das condições reacionais com vários organosilanos e tris-pentafluorofenil borana, obtendo de maneira quimio/regiosseletiva o intermediário 99. Em seguida, procederam com a oxidação de Tamao-Kumada para obtenção do álcool correspondente 100, que foi oxidado ao aldeído 93. Um dos diferenciais dessa abordagem foi aliar a modesta diastereosseletividade (89:11) obtida das etapas precedentes ao aldeído, à técnica de CIDT (do inglês- Cristalization Induced Diastereomer Transformation), conseguindo um enriquecimento da mistura em 95:5 e favorecendo o isômero desejado por meio do emprego da base de Betti.53 Além disso, segundo os autores, o processo desenvolvido para obtenção do aldeído 93, que é um intermediário reportado em sínteses anteriores,49 é vantajoso pois não utilizou grupos de proteção e é regiosseletivo frente à dupla ligação endocíclica de 91, podendo ser obtido em um processo one pot e que em poucas etapas poderia fornecer o ADA e, consequentemente, a ART.

Finalmente, em 2012, Lévesque e Seeberger desenvolveram uma metodologia em fluxo contínuo de obtenção da ART partindo do ADA.54 Uma das dificuldades do emprego de métodos fotoquímicos em reatores convencionais é que a geração in situ do oxigênio singleto não é tão eficiente, haja vista que a luz não tem penetração homogênea no meio reacional devido à absorção pelo fotossensibilizante, geralmente resultando em baixas taxas de conversão e rendimento, especialmente para sistemas maiores.54 Em um trabalho publicado em 2011, Lévesque e Seeberger desenvolveram um sistema em fluxo contínuo utilizando um fotoreator com lâmpadas de LED para obtenção do oxigênio singleto com aplicabilidade à vários substratos (Esquema 13).55 Com o avanço dos métodos fermentativos e extrativos para obtenção de metabólitos da Artemisia Annua L., os mesmos pesquisadores viram a oportunidade de aplicar o sistema em fluxo contínuo para obtenção da ART. Para isso, utilizaram o ADA como precursor, que poderia ser obtido através da redução da dupla acrílica presente no AAR.54 A mistura contendo o ADA e o agente fotossensibilizante tetrafenilporfirina (TPP) em diclorometano foi passada através do fotoreator de LED ao mesmo tempo que oxigênio era adicionado ao sistema. A conversão fotoquímica do 3O2 para 1O2 promovia a primeira transformação do ADA, através da reação ene, ao hidroperóxido 101 que, após tratamento com ácido trifluoracético através da clivagem de Hock, forneceu o derivado insaturado 102. Em contato com o oxigênio tripleto, 102 originou o hidroperóxialdeído 103, que após condensação ácida forneceu a ART em 39% de rendimento após purificação por cromatografia. Um ano depois, o mesmo grupo publicou um segundo artigo descrevendo uma otimização das condições utilizadas, melhorando o aparato utilizado e substituindo o solvente e agente fotossensibilizante, levando a um aumento do rendimento para 46% e com maior eficiência energética.56

 


Esquema 13. Representação esquemática da síntese em fluxo contínuo da ART desenvolvida por Lévesque e Seeberger

 

Os primeiros derivados de primeira geração

A obtenção de derivados da ART de primeira geração se deu logo após constatarem suas pobres propriedades físico-químicas.57 Nesse sentido, as principais funcionalizações realizadas foram no carbono 10 da lactona, que primeiramente foi reduzido ao lactol correspondente, o produto denominado DHA (Esquema 14).57,58 As metodologias sintéticas incluem o uso de agentes redutores usuais, como borohidreto de sódio (NaBH4), hidreto de diisobutilaluminio (DIBAL), hidreto de alumínio e lítio (LiAlH4) com ou sem suporte de resinas ácidas (Amberlyst-15).59 Apesar dessas sínteses serem datadas de décadas anteriores, elas vêm sendo utilizadas até hoje, devido à relativa facilidade de obtenção e bons rendimentos dos produtos funcionalizados. Mais recentemente, foi publicado um estudo por Fan e colaboradores no qual os mesmos investigaram a potencialidade das reduções da ART em fluxo contínuo de maneira estequiométrica, utilizando trietilborohidreto de lítio (LiEt3BH) e com rendimentos acima de 95%.60 A vantagem do emprego da técnica é a possibilidade de ser realizada em temperatura ambiente, sem a necessidade de resfriamento e com o tempo de reação reduzido, representando um aumento significativo da taxa de obtenção em 42x quando comparado à metodologia usual em batelada.

 


Esquema 14. Principais metodologias de redução para obtenção dos derivados da ART. Red-Al - diidro bis(2-metoxietanolato) aluminato de sódio

 

Os derivados da ART, utilizados ou não em combinação com outros medicamentos para tratamento da malária, são sintetizados a partir da DHA, através da funcionalização da hidroxila anomérica. As reações promovidas por ácidos de Lewis se mostraram um método conveniente para a síntese dos primeiros derivados, ainda que nem sempre bons rendimentos eram obtidos, principalmente associados a fragilidade da subunidade endoperoxídica ou até mesmo a formação de subprodutos.7 Para os derivados metoxilados e etoxilados, arteméter (4) e arteéter (5), a reação com eterato de trifluoreto de boro (BF3·OEt2) em álcool/benzeno (2:1) foi inicialmente utilizada (Esquema 15, A), mas a substituição desse ácido de Lewis por ácido clorídrico é preferível devido ao menor custo e rendimentos semelhantes.61

 


Esquema 15. A) Funcionalização do C-16 da hidroxila anomérica para obtenção dos derivados de primeira geração. B) Metodologia de redução/eterificação in situ utilizando celulose ácida. C) Obtenção do artesunato através da esterificação com anidrido succínico otimizada por Presser

 

Entretanto, essas metodologias também estão associadas a alguns inconvenientes, tais como: carcinogenicidade do benzeno, manuseio de ácidos de Lewis perigosos em grande escala e a necessidade de uma etapa de purificação por cromatografia para isolar o isômero β desejado, sem mencionar que são duas etapas sintéticas separadas. Nesse sentido, Kumar e Bishnoi desenvolveram em 2014 uma metodologia para redução/eterificação da ART em um processo in situ com o emprego de celulose ácida, considerada biodegradável e com boa reciclabilidade (Esquema 15, B).62 Os autores conseguiram obter os produtos 4 e 5 em ótimos rendimentos, sendo 5 o substrato utilizado para padronização das condições reacionais: 82% sem a necessidade de purificação por cromatografia, um incremento quando comparado ao rendimento global descrito inicialmente de 59%.61

O artesunato (6) foi obtido inicialmente por meio da reação com anidrido succínico em piridina, na presença de dimetilaminopiridina (DMAP) em quantidade catalítica, fornecendo o produto em até 65% de rendimento (Esquema 15, C). Em 2017, Presser e colegas publicaram um procedimento visando a escalabilidade e condições verdes para obtenção de 6.63 O autor utilizou trietilamina como base, ao invés da piridina, e acetato de isopropila, o qual poderia ser reutilizado, fornecendo o éster correspondente 6 em 94% de rendimento.

Da síntese em bancada para a indústria: avanços na obtenção da artemisinina e seus derivados em larga escala

Em 2002, a Organização Mundial de Saúde (OMS) preconizou terapias baseadas nas associações da ART para o tratamento de malária não complicada.64 Essa decisão causou um aumento na demanda por essa matéria prima afetando tanto os preços quanto a disponibilidade. Até então, a ART era obtida industrialmente através de processos extrativos vegetais, haja vista que as sínteses totais ou semissínteses publicadas até então se limitavam à escala laboratorial acadêmica (múltiplas etapas e alto custo). Diante disso, houve um incentivo para a busca de novas metodologias de obtenção da ART em escala industrial a partir de microrganismos para atender de maneira eficiente a demanda dessa classe de compostos.65

Assim, partindo do AAR obtido através de processos fermentativos aprimorados,50 a primeira etapa sintética descrita pela Amyris compreendeu a hidrogenação diasterosseletiva do sistema acrílico (Esquema 16). Ainda que o uso de níquel e borohidreto de sódio já havia sido relatado,46 com diastereosseletividade modesta de 85:15 em relação a mistura de isômeros R/S do ADA, o emprego do catalisador de Wilkinson forneceu uma conversão quase quantitativa, com diastereosseletividade de 90:10 para a estereoquímica desejada.66 Já se sabia que a peroxidação direta deste levava à lactona de 5 membros diidroepideoxiarteannuina-B (104) e, consequentemente, acarretaria rendimentos inferiores da ART.54 Assim, os autores optaram por converter o ADA em seu respectivo éster metílico,54 primeiro ativando o grupo carbonila através do seu respectivo cloreto de acila e posterior tratamento com metanol para obtenção do éster 105. A incorporação do hidroperóxido na posição alílica presente em 106 foi realizada através da geração de oxigênio singleto por desproporcionação do peróxido de hidrogênio utilizando sais de metais do grupo VI via reação de Aubry, processo esse otimizado a partir do trabalho pioneiro de Hao em 2011.39 A escolha dessa metodologia foi devida ao custo de reações fotocatalizadas em plantas de manufatura e o oxigênio empregado foi substituído por ar atmosférico por questões de segurança. Finalmente, a etapa final de ciclização foi realizada utilizando resina DOWEX®, substituindo o caro triflato de cobre utilizado em outras sínteses. Esse processo implementado em escala semi-industrial foi capaz de prover a ART com um rendimento global de 19%, demonstrando ainda a necessidade de eventuais otimizações.

 


Esquema 16. Rota sintética inicial desenvolvida pela Amyris em 2013 para obtenção em escala industrial da ART

 

Após a transferência da tecnologia da Amyris para a Sanofi, muito se fez para industrializar o processo nos anos seguintes, principalmente no que diz respeito às etapas de hidrogenação e o processo fotoquímico para obtenção do oxigênio singleto.67 A primeira estratégia adotada pela Sanofi foi combinar a diastereosseletividade inerente do AAR com um catalisador quiral que poderia favorecer um melhor excesso diastereoisomérico na etapa de hidrogenação, em virtude do alto custo do ródio, que tornava o processo nada atrativo em escala industrial. Assim, em parceria com a indústria japonesa Takasago, foram testados catalisadores e, dentre eles, o RuCl2[(R)-DTBM-Segphos](DMF)n se mostrou bastante eficaz e com alta diastereosseletividade (Esquema 17, A).

 


Esquema 17. A) Rota sintética aprimorada pela Sanofi para obtenção da ART. B) Redução da dupla acrílica do AAR com diimida gerada a partir da hidrazina. TPP - tetrafenilporfirina

 

A segunda melhoria do processo consistiu na modificação da fonte de oxigênio singleto para a etapa da reação de Shenck-ene. A despeito da reação de Aubry fornecer o oxigênio singleto sem o uso de aparato fotoquímico, o que a princípio poderia ser atrativo em escala industrial, ainda era um processo oneroso. Por outro lado, a escolha limitada de solventes, aparatos e a própria escala de obtenção desses endoperóxidos tornavam a via fotoquímica arriscada em escala industrial. Nesse sentido, trocou-se o solvente pelo diclorometano devido a possibilidade de poder ser recuperado e pela compatibilidade com a transformação química em questão.

De posse dessas novas condições, o grupo conseguiu melhorar o rendimento da obtenção da ART em escala industrial, passando de 35 toneladas em 2013 para 64 toneladas por ano com rendimento global de 55%. Posteriormente, a Sanofi ainda conseguiu melhorar a etapa fotoquímica, substituindo a lâmpada de vapor de mercúrio por um sistema de LEDs, culminando em maior eficiência energética e menor custo.68

Além da hidrogenação assimétrica do AAR, a Sanofi ainda conseguiu realizar a redução do AAR para o ADA sem a necessidade de catalisadores metálicos quirais, numa tentativa de melhorar a obtenção em escala industrial (Esquema 17, B).69 Utilizando hidrato de hidrazina, peróxido de hidrogênio ou oxigênio em condições otimizadas, o grupo conseguiu estabelecer protocolos para redução da ligação dupla com excelente rendimento através do uso de diimida, com excesso diastereoisomérico para a configuração desejada do ADA em uma planta piloto. Cálculos computacionais corroboraram com os resultados obtidos, haja vista que não era de se esperar uma diastereosseletividade tão grande em prol de um isômero. Nesse estudo, foi possível observar que o AAR possui uma conformação de menor energia não esperada por uma simples análise visual, levando a um estado de transição de menor energia estabilizado por uma rede de interações não covalentes.70

Finalmente, em 2015, Pieber e colaboradores resolveram investigar a potencialidade dessa redução, dessa vez em fluxo contínuo.71 Os autores conseguiram padronizar as condições experimentais de maneira que foi possível reduzir o AAR de maneira quimiosseletiva em aproximadamente 40 minutos, 60 °C, 20 bar de O2 em 93% de rendimento e 95% de seletividade.

 

CONCLUSÕES

A descoberta da artemisinina ART revolucionou o tratamento da malária nos últimos anos e seus análogos, com melhores propriedades físico-químicas, farmacocinéticas e farmacodinâmicas, vem sendo cada vez mais empregados no arsenal terapêutico antimalárico. Com isso, muitos avanços na obtenção desse núcleo sesquiterpênico endoperoxânico foram descritos. As primeiras sínteses descritas partem da utilização de monoterpenos mais simples, outras derivam do ácido artemisínico AAR ou amorfadieno 91 explorando etapas de fechamento de anel. As sínteses totais descritas até o momento, apesar de interessantes do ponto de vista de desenvolvimento de metodologias e de serem um desafio para qualquer químico sintético, não são alternativas viáveis para obtenção industrial da artemisinina ART e seus derivados, sendo os métodos baseados em produtos de fermentação ou subprodutos de extração mais viáveis. Com a otimização do processo de obtenção por semissíntese, espera-se que a demanda por esse antimalárico seja atendida de maneira mais eficiente, não devendo desconsiderar a necessidade de otimização de processos e metodologias no futuro.

 

AGRADECIMENTOS

Os autores agradecem à FAPESP (Processos 2013/07600-3, 2015/50655-9 e 2018/24344-4) pelo auxílio financeiro.

 

REFERÊNCIAS E NOTAS

1. Viegas Jr, C.; Bolzani, V. da S.; Barreiro, E. J.; Quim. Nova 2006, 29, 326.

2. Knudsmark Jessing, K.; Duke, S. O.; Cedergreeen, N.; J. Chem. Ecol. 2014, 40, 100.

3. Sahu, S. K.; Behera, P. K.; Choudhury, P.; Panda, S.; Rout, L.; ChemistrySelect 2020, 5, 12333.

4. Cook, S. P.; Synlett 2014, 25, 751.

5. Wang, Z.; Yang, L.; Yang, X.; Zhang, X.; Synth. Commun. 2014, 44, 1987.

6. Patel, O. P. S.; Beteck, R. M.; Legoabe, L. J.; Eur. J. Med. Chem. 2021, 213, 113193.

7. Kim, B. J.; Sasaki, T.; Org. Prep. Proced. Int. 2006, 38, 1.

8. Vil, V. A.; Yaremenko, I. A.; Ilovaisky, A. I.; Terent'ev, A. O.; Molecules 2017, 22, 117.

9. Achan, J.; Talisuna, A. O.; Erhart, A.; Yeka, A.; Tibenderana, J. K.; Baliraine, F. N.; Rosenthal, P. J.; D'Alessandro, U.; Malar. J. 2011, 10, 144.

10. Gachelin, G.; Garner, P.; Ferroni, E.; Tröhler, U.; Chalmers, I.; J. R. Soc. Med. 2017, 110, 31.

11. Klayman, D.; Science 1985, 228, 1049.

12. Tse, E. G.; Korsik, M.; Todd, M. H.; Malar. J. 2019, 18, 1.

13. Tu, Y.; Angew. Chem., Int. Ed. 2016, 55, 10210.

14. Macrae, C. F.; Sovago, I.; Cottrell, S. J.; Galek, P. T. A.; McCabe, P.; Pidcock, E.; Platings, M.; Shields, G. P.; Stevens, J. S.; Towler, M.; Wood, P. A.; J. Appl. Crystallogr. 2020, 53, 226.

15. Sriram, D.; Rao, V. S.; Chandrasekhar, K. V. G.; Yogeeswari, P.; Nat. Prod. Res. 2004, 18, 503.

16. O'Neill, P. M.; Posner, G. H.; J. Med. Chem. 2004, 47, 2945.

17. Van Agtmael, M. A.; Eggelte, T. A.; Van Boxtel, C. J.; Trends Pharmacol. Sci. 1999, 20, 199.

18. Meshnick, S. R.; Yang, Y. Z.; Lima, V.; Kuypers, F.; Kamchonwongpaisan, S.; Yuthavong, Y.; Antimicrob. Agents Chemother. 1993, 37, 1108.

19. Robert, A.; Meunier, B.; Chem. Soc. Rev. 1998, 27, 273.

20. Meshnick, S. R.; Jefford, C. W.; Posner, G. H.; Avery, M. A.; Peters, W.; Parasitol. Today 1996, 12, 79.

21. Rosenthal, M. R.; Ng, C. L.; ACS Infect. Dis. 2020, 6, 1599.

22. http://www.mmv.org, acessada em março 2022.

23. Kim, H. S.; Hammill, J. T.; Guy, R. K.; J. Med. Chem. 2017, 60, 2651.

24. Su, X. Z.; Miller, L. H.; Sci. China: Life Sci. 2015, 58, 1175.

25. http://www.nobelprize.org/prizes/medicine/2015/summary, acessada em março 2022.

26. Xing-Xiang, X.; Jie, Z.; Da-Zhong, H.; Wei-Shan, Z.; Tetrahedron 1986, 42, 819.

27. Kung, S. H.; Lund, S.; Murarka, A.; McPhee, D.; Paddon, C. J.; Front. Plant Sci. 2018, 9, 1.

28. Para fins de clareza nas figuras e esquemas, somente os isômeros de interesse serão representados, mesmo na ocasião de misturas, junto à seletividade.

29. Schmid, G.; Hofheinz, W.; J. Am. Chem. Soc. 1983, 105, 624.

30. Buchi, G.; Wuest, H.; J. Am. Chem. Soc. 1977, 100, 294.

31. Avery, M. A.; Alvim-Gaston, M.; Woolfrey, J. R.; Adv. Med. Chem. 1999, 4, 125.

32. Avery, M. A.; Chong, W. K. M.; Jennings-White, C.; J. Am. Chem. Soc. 1992, 114, 974.

33. Shapiro, R. H.; Lipton, M. F.; Kolonko, K. J.; Buswell, R. L.; Capuano, L. A.; Tetrahedron Lett. 1975, 16, 1811.

34. Ravindranathan, T.; Anil Kumar, M.; Menon, R. B.; Hiremath, S. V.; Tetrahedron Lett. 1990, 31, 755.

35. Bhonsle, J. B.; Pandey, B.; Deshpande, V. H.; Ravindranathan, T.; Tetrahedron Lett. 1994, 35, 5489.

36. Vallés, M. J.; Castedo, L.; Mouriño, A.; Tetrahedron Lett. 1992, 33, 1503.

37. Yadav, J. S.; Thirupathaiah, B.; Srihari, P.; Tetrahedron 2010, 66, 2005.

38. Vonwiller, S. C.; Warner, J. A.; Mann, S. T.; Haynes, R. K.; J. Am. Chem. Soc. 1995, 117, 11098.

39. Hao, H. D.; Li, Y.; Han, W. B.; Wu, Y.; Org. Lett. 2011, 13, 4212.

40. Zhu, C.; Cook, S. P.; J. Am. Chem. Soc. 2012, 134, 13577.

41. Hoppe, H.-W.; Stammen, B.; Werner, U.; Stein, H.; Welzel, P.; Tetrahedron 1989, 45, 3695.

42. Aben, R. W. M.; Scheeren, H. W.; Tetrahedron Lett. 1985, 26, 1889.

43. Krieger, J.; Smeilus, T.; Kaiser, M.; Seo, E. J.; Efferth, T.; Giannis, A.; Angew. Chem., Int. Ed. 2018, 57, 8293.

44. Li, J.; Casteels, T.; Frogne, T.; Ingvorsen, C.; Honoré, C.; Courtney, M.; Huber, K. V. M.; Schmitner, N.; Kimmel, R. A.; Romanov, R. A.; Sturtzel, C.; Lardeau, C.-H.; Klughammer, J.; Farlik, M.; Sdelci, S.; Vieira, A.; Avolio, F.; Briand, F.; Baburin, I.; Májek, P.; Pauler, F. M.; Penz, T.; Stukalov, A.; Gridling, M.; Parapatics, K.; Barbieux, C.; Berishvili, E.; Spittler, A.; Colinge, J.; Bennett, K. L.; Hering, S.; Sulpice, T.; Bock, C.; Distel, M.; Harkany, T.; Meyer, D.; Superti-Furga, G.; Collombat, P.; Hecksher-Sørensen, J.; Kubicek, S.; Cell 2017, 168, 86.

45. Zhou, W. S.; Xu, X. X.; Acc. Chem. Res. 1994, 27, 211.

46. Roth, R. J.; Acton, N.; J. Nat. Prod. 1989, 52, 1183.

47. El-Feraly, F. S.; Al-Meshal, I. A.; Al-Yahya, M. A.; Hifnawy, M. S.; Phytochemistry 1986, 25, 2777.

48. Jung, M.; Yoo, Y.; ElSohly, H. N.; McChesney, J. D.; J. Nat. Prod. 1987, 50, 972.

49. Westfall, P. J.; Pitera, D. J.; Lenihan, J. R.; Eng, D.; Woolard, F. X.; Regentin, R.; Horning, T.; Tsuruta, H.; Melis, D. J.; Owens, A.; Fickes, S.; Diola, D.; Benjamin, K. R.; Keasling, J. D.; Leavell, M. D.; McPhee, D. J.; Renninger, N. S.; Newman, J. D.; Paddon, C. J.; Proc. Natl. Acad. Sci. U. S. A. 2012, 109, 111.

50. Ro, D. K.; Paradise, E. M.; Quellet, M.; Fisher, K. J.; Newman, K. L.; Ndungu, J. M.; Ho, K. A.; Eachus, R. A.; Ham, T. S.; Kirby, J.; Chang, M. C. Y.; Withers, S. T.; Shiba, Y.; Sarpong, R.; Keasling, J. D.; Nature 2006, 440, 940.

51. Singh, D.; McPhee, D.; Paddon, C. J.; Cherry, J.; Maurya, G.; Mahale, G.; Patel, Y.; Kumar, N.; Singh, S. S.; Sharma, B.; Kushwaha, L.; Singh, S. S.; Kumar, A.; Org. Process Res. Dev. 2017, 21, 551.

52. Schwertz, G.; Zanetti, A.; De Oliveira, M. N.; Fernandez, M. A. G.; Amara, Z.; Cossy, J.; J. Org. Chem. 2020, 85, 9607.

53. Zanetti, A.; Chaumont-Olive, P.; Schwertz, G.; Nascimento De Oliveira, M.; Gomez Fernandez, M. A.; Amara, Z.; Cossy, J.; Org. Process Res. Dev. 2020, 24, 850.

54. Lévesque, F.; Seeberger, P. H.; Angew. Chem., Int. Ed. 2012, 51, 1706.

55. Lévesque, F.; Seeberger, P. H.; Org. Lett. 2011, 13, 5008.

56. Kopetzki, D.; Lévesque, F.; Seeberger, P. H.; Chem. Eur. J. 2013, 19, 5450.

57. Brossi, A.; Venugopalan, B.; Dominguez Gerpe, L.; Yeh, H. J. C.; Flippen-Anderson, J. L.; Buchs, P.; Luo, X. D.; Milhous, W.; Peters, W.; J. Med. Chem. 1988, 31, 645.

58. Lin, A. J.; Klayman, D. L.; Milhous, W. K.; J. Med. Chem. 1987, 30, 2147.

59. Singh, C.; Tiwari, P.; Tetrahedron Lett. 2002, 43, 7235.

60. Fan, X.; Sans, V.; Yaseneva, P.; Plaza, D. D.; Williams, J.; Lapkin, A.; Org. Process Res. Dev. 2012, 16, 1039.

61. Haynes, R. K.; Vonwiller, S. C.; Trans. R. Soc. Trop. Med. Hyg. 1994, 88, 23.

62. Kumar, A.; Bishnoi, A. K.; RSC Adv. 2014, 4, 31973.

63. Presser, A.; Feichtinger, A.; Buzzi, S.; Monatsh. Chem. 2017, 148, 63.

64. Paddon, C. J.; Keasling, J. D.; Nat. Rev. Microbiol. 2014, 12, 355.

65. Hale, V.; Keasling, J. D.; Renninger, N.; Diagana, T. T.; Am. J. Trop. Med. Hyg. 2007, 77, 198.

66. Paddon, C. J.; Westfall, P. J.; Pitera, D. J.; Benjamin, K.; Fisher, K.; McPhee, D.; Leavell, M. D.; Tai, A.; Main, A.; Eng, D.; Polichuk, D. R.; Teoh, K. H.; Reed, D. W.; Treynor, T.; Lenihan, J.; Jiang, H.; Fleck, M.; Bajad, S.; Dang, G.; Dengrove, D.; Diola, D.; Dorin, G.; Ellens, K. W.; Fickes, S.; Galazzo, J.; Gaucher, S. P.; Geistlinger, T.; Henry, R.; Hepp, M.; Horning, T.; Iqbal, T.; Kizer, L.; Lieu, B.; Melis, D.; Moss, N.; Regentin, R.; Secrest, S.; Tsuruta, H.; Vazquez, R.; Westblade, L. F.; Xu, L.; Yu, M.; Zhang, Y.; Zhao, L.; Lievense, J.; Covello, P. S.; Keasling, J. D.; Reiling, K. K.; Renninger, N. S.; Newman, J. D.; Nature 2013, 496, 528.

67. Turconi, J.; Griolet, F.; Guevel, R.; Oddon, G.; Villa, R.; Geatti, A.; Hvala, M.; Rossen, K.; Göller, R.; Burgard, A.; Org. Process Res. Dev. 2014, 18, 417.

68. Burgard, A.; Gieshoff, T.; Peschl, A.; Hörstermann, D.; Keleschovsky, C.; Villa, R.; Michelis, S.; Feth, M. P.; Chem. Eng. J. 2016, 294, 83.

69. Feth, M. P.; Rossen, K.; Burgard, A.; Org. Process Res. Dev. 2013, 17, 282.

70. Castro, B.; Chaudret, R.; Ricci, G.; Kurz, M.; Ochsenbein, P.; Kretzschmar, G.; Kraft, V.; Rossen, K.; Eisenstein, O.; J. Org. Chem. 2014, 79, 5939.

71. Pieber, B.; Glasnov, T.; Kappe, C. O.; Chem. Eur. J. 2015, 21, 4368.

On-line version ISSN 1678-7064 Printed version ISSN 0100-4042
Qu�mica Nova
Publica��es da Sociedade Brasileira de Qu�mica
Caixa Postal: 26037 05513-970 S�o Paulo - SP
Tel/Fax: +55.11.3032.2299/+55.11.3814.3602
Free access

GN1