JBCS



12:30, sáb out 25

Acesso Aberto/TP



Artigo


K2O suportado em zeólita natural: síntese, caracterização e aplicação produção de biodiesel a partir do óleo de girassol
K2O supported on natural zeolite: synthesis, characterization and application of biodiesel production from sunflower oil

Karoline de Sousa Castro; Aruzza Mabel de Morais Araujo; Alyxandra Carla de Medeiros Batista; Valter José Fernandes Júnior; Sibele Berenice Castella Pergher; Amanda Duarte Gondim*

Instituto de Química, Universidade Federal do Rio Grande do Norte, 59078-970 Natal - RN, Brasil

Recebido em: 13/12/2021
Aceito em: 03/02/2022
Publicado em: 05/04/2022

Endereço para correspondência

*e-mail: amanda.gondim@ufrn.br

RESUMO

Biodiesel is a renewable fuel, a substitute for fossil diesel, which is important for reducing GHG in Brazil. Therefore, this work aims to synthesize and characterize the catalyst using the support of natural zeolite impregnated with K2O and apply it in the production of biodiesel through the transesterification reaction. Through the analysis of characterizations such as XRD, characteristic peaks of Clinoptilolite and Mordenite zeolites were verified in the natural zeolite, in addition to evidencing the characteristic peaks of KI and K2O in this microporous support. Thermal and FTIR analyzes revealed the presence of KI and K2O in the presence of the decomposition region of composite compounds (500 to 800 °C) and corresponding vibration bands, while EDS analysis indicated the efficiency of KI to K2O conversion after calcination. To evaluate the application of the catalyst in the production of biodiesel, the following reaction conditions were studied: percentage of catalyst in relation to oil mass (6% and 8%), methanol:oil mass ratio (15: 1 and 30: 1) and temperature (60 °C and 90 °C). The catalyst presents good results reaching a conversion of 98.96% in esters using 6% catalyst, mass ratio oil:methanol 1:30 and reaction temperature of 90 °C.

Palavras-chave: heterogeneous catalysis; KI/natural zeolite; biodiesel; transesterification; Thermogravimetry.

INTRODUÇÃO

Grande parte da energia usada mundialmente é proveniente dos combustíveis fósseis (petróleo, gás e carvão), representando quase 80% do consumo energético total no mundo.1 E, segundo a Organização dos Países Exportadores de Petróleo (OPEP), essa demanda deverá aumentar até 2040, em especial o combustível diesel devido ao desenvolvimento urbano e industrial.2 No entanto, o uso excessivo desses combustíveis acarreta em altas emissões de gases do efeito estufa (GEE).3 Devido a isso, esse cenário estimulou estudos na produção de combustível alternativo ao diesel convencional, e o biodiesel, combustível renovável, obtido à partir de óleos vegetais, despontou por ser economicamente competitivo.1

O biodiesel é um biocombustível alternativo formado por ésteres monoalquílicos de ácidos graxos de cadeia longa derivado de óleos vegetais e gorduras animais4,5 e apresenta propriedades físico-químicas próximas ao diesel fóssil, assim, podendo ser utilizado em motores diesel com pouca ou nenhuma modificação.6

Convencionalmente, o biodiesel é produzido pela reação de transesterificação de óleos vegetais ou gordura animal com álcoois na presença de um catalisador homogêneo. Os catalisadores homogêneos são adequados para reação de transesterificação, devido às reações ocorrerem com maior velocidade e maior taxa de conversão, sendo os mais utilizados em síntese de biodiesel o KOH e NaOH.7 No entanto, o uso de catalisadores homogêneos levanta problemas em relação a dificuldade da separação do catalisador ao fim da reação, susceptibilidade à saponificação, corrosão dos equipamentos e necessidade de elevados números de lavagens na etapa de neutralização.8 Diante disso, o uso de catalisadores heterogêneos são favorecidos frente as suas vantagens de facilidade de separação ao fim da reação sem a necessidade de utilização de lavagens e potencial reutilização desse catalisador, tornando o processo de produção econômico e ambientalmente favorável.9

Dentre os catalisadores heterogêneos utilizados destacam-se óxidos de metais alcalinos terrosos como MgO e CaO,10 óxidos de metais de transição como TiO2,11 ZnO e ZrO2 12 e óxido de metais mistos como MoO3/TiO2.13 Outros catalisadores heterogêneos também podem ser projetados para inserção de sítios ativos na superfície ou no interior de seus poros como alumina,14 peneiras moleculares como SBA-15,15 MCM-4116 e zeólitas.17 Dentre esses materiais, as zeólitas vêm recebendo grande atenção em processos de produção de biodiesel, pois apresentam propriedades que as tornam excelentes catalisadores para esse processo como alta estabilidade térmica, estrutura de poros bem definidos, alta porosidade e seletividade de tamanho.18 Além disso, apresenta alta área superficial e propriedades de troca catiônica que permitem que sua rede cristalina seja utilizada para gerar centros básicos em sua estrutura ou como suporte de espécies básicas.19

Como forma de aprimorar as funcionalidades das zeólitas e aperfeiçoar os rendimentos de biodiesel nas reações de transesterificação, inúmeros estudos estão sendo realizados mediante a inserção de sólidos fornecedores de sítios básicos como K2O, sendo reconhecido por proporcionar altos rendimentos de biodiesel frente a outros catalisadores básicos como KOH.20 Diversos são os precursores do K2O dentre eles, KOH,21 K2CO3,22 KNO3 e KI.23 Há também uma vasta quantidade de trabalhos na literatura utilizando K2O suportado em zeólitas para a produção de biodiesel como Muciño et al.,24 que avaliaram a aplicação de K2O, a partir do KNO3, suportado em zeólita NaX como catalisador heterogêneo para reação de transesterificação do óleo de Açafrão variando as concentrações de catalisador em relação ao óleo de 10, 12,5 e 15%, razões de álcool:óleo de 6:1, 12:1, 15:1, 18:1, 21:1 e 24:1 por 7 horas a 60 °C. As condições reacionais de 15% de catalisador e razão álcool:óleo de 18:1 obtiveram o maior valor de conversão de 96,2% de óleo em biodiesel. Amalia et al.25 analisaram a aplicação de K2O suportado em zeólita natural a partir do KOH para a produção de biodiesel do óleo de mamona em temperaturas reacionais de 55, 60 e 65 °C, tempo de 5, 6 e 7 h e concentração de catalisador de 50, 60 e 70%. As condições reacionais de 55 °C, 7 h e 70% de catalisador obteve o melhor resultado de 92,11% de conversão de óleo em biodiesel.

Diante do exposto, este trabalho tem como objetivo de obter o catalisador K2O suportado em zeólita natural a partir do iodeto de potássio (KI) e aplicá-lo na reação de transesterificação de óleo de girassol a fim de avaliar as melhores condições de obtenção de altas conversões de óleo vegetal em biodiesel.

 

PARTE EXPERIMENTAL

Reagentes

Para a síntese do catalisador os materiais utilizados foram o iodeto de potássio (KI) (Synth, P.A.) e Zeólita Natural (Linares VII) enviada pela empresa Fertosa Quinamávida S/N e explorada Región del Maule, Chile. Para a síntese do biodiesel foram utilizados o óleo de Girassol Comercial e refinado, marca LIZA e álcool metílico (MeOH) (Dinâmica, P.A.).

Síntese do catalisador

O catalisador foi obtido pelo método de impregnação por excesso de solvente de acordo com os experimentos de Evangelista et al.,26 Xie e Li,27 Noiroj et al.,28 Boz et al.29 e Jairam et al.30 14,8 g de KI foram dissolvidos em 50 mL de água destilada com concentração de 35% da massa da zeólita. Em seguida, 10 g de zeólita natural foram imersos na solução de KI, permanecendo em agitação por 3 horas a 60 °C. Após a impregnação, o material foi seco por 16 h a 120 °C. O material, KI impregnado na Zeólita natural, foi calcinado por 12 h a 600 °C sob fluxo de ar sintético de 100 mL min-1 com a finalidade de converter o KI em K2O. O catalisador passou a ser chamado de K2O/Zeólita. A zeólita impregnada com KI antes da calcinação foi chamada de KI/Zeólita.

Caracterização do catalisador

As amostras de Zeólita, KI/Zeólita e K2O/Zeólita foram caracterizadas por difratometria de raios-X (DRX), microscopia eletrônica de varredura acoplada com espectroscopia por energia dispersiva (MEV/EDS), espectroscopia de infravermelho por transformada de Fourier (FTIR) e análise termogravimétrica (TGA/DTG). Os difratogramas de raios-X dos materiais foram obtidos por meio de um difratômetro Bruker D8 ADVANCE Eco operando a 40 kV, 25 mA, radiação CuKa (λ= 1,54060Å) com uma fenda de 0,1o de abertura, um intervalo de 2θ de 5°-70° com tamanho de passo de 0,02° e tempo de aquisição de 0,3 s. A microscopia eletrônica de varredura (MEV) foi realizada em um microscópio eletrônico Hitachi Tabletop Microscope TM-3000, em seguida, acoplado ao microscópio, foram obtidos os espectros de energia dispersiva (EDS) em um espectrofotômetro de energia dispersiva Bruker XFlash 430-H. Antes da análise as amostras foram aderidas à porta amostra por meio de uma fina camada de carbono com faixa de ampliação de 2.000 vezes. Os espectros de absorção no infravermelho das amostras foram realizados usando espectrofotômetro de infravermelho por transformada de Fourier (FTIR), marca Shimadzu, modelo IRAFFinity-1, na faixa de frequência de 400 a 4000 cm-1 e uma resolução espectral de 4 cm 1. As amostras foram analisadas em formato de pastilha após sua mistura com brometo de potássio (KBr). A análise termogravimétrica (TGA/DTG) das amostras foi realizada em um analisador térmico, marca TA Instruments, modelo SDT Q600, com taxa de aquecimento de 10 °C min-1, iniciando a análise de 30 °C até 900 °C, utilizando atmosfera de nitrogênio com uma vazão de gás de 50 mL min-1 e aproximadamente 5 mg de amostra em um cadinho de alumina.

Reação de transesterificação

A reação de transesterificação do óleo de girassol foi realizada de acordo com Gondim31 por meio da rota metílica e catálise heterogênea. As condições reacionais variaram na porcentagem de catalisador em relação à massa do óleo (6% e 8%), razão mássica metanol: óleo (15:1 e 30:1) e temperatura (60 °C e 90 °C) e tempo fixo de 6 horas. Foram realizadas 8 de biodiesel estando essas variações de condições listadas na Tabela 1.

 

 

As reações foram realizadas em um balão de fundo chato de 500 mL conectado a um condensador, sob agitação constante. Ao fim da reação, a mistura foi filtrada para a remoção do catalisador heterogêneo. Em seguida, o filtrado foi vertido em um balão de separação, fornecendo um tempo de espera de 24 h para que todas as fases existentes fossem separadas. Após a separação completa das fases, os subprodutos mais densos foram removidos do balão e o biodiesel foi lavado primeiramente com solução salina 10%, seguida por sucessivas lavagens com água destilada aquecida a 40 °C. Por fim, o biodiesel foi seco a 100 °C por 3 h.

Caracterização do Óleo e do Biodiesel de girassol

O óleo e as amostras de biodiesel de girassol obtidas em diversas condições foram analisados por índice de acidez, viscosidade, densidade, análise termogravimétrica (TGA/DTG) e infravermelho por transformada de Fourier (FTIR). A análise termogravimétrica (TGA/DTG) do óleo e dos biodiesels foi realizada em um analisador térmico, marca TA Instruments, modelo SDT Q-600 com taxa de aquecimento de 10 °C min-1, iniciando a análise em 30 °C até 600 °C, utilizando atmosfera de nitrogênio com um fluxo de gás de 50 mL min-1 e 10 mg de amostra em um cadinho de alumina. Os espectros de absorção no infravermelho do óleo e dos biodiesels foram realizados usando o espectrofotômetro de infravermelho por transformada de Fourier (FTIR) Shimadzu IRAffinity-1 na faixa de frequência de 700 a 4000 cm-1. As análises das amostras foram realizadas inserindo 0,1 mL de amostra em pastilha de alumina.

O índice de acidez foi realizado de acordo com método ASTM D664 por meio da titulação. Em um erlenmeyer, de 125 mL, foram colocados 25 mL da solução (2:1) de éter e álcool etílico com 3 gotas de fenolftaleína (indicador) e em uma bureta foi colocada uma solução de NaOH 0,1 N. Primeiramente foi realizada a titulação do branco e em seguida, nesse mesmo sistema titulado, foi colocado 2 g da amostra para uma seguinte titulação. Para realizar os cálculos do índice de acidez, os dados obtidos do experimento foram substituídos na Equação 1.

em que: IA = índice de acidez; VA = volume (mL) da solução de NaOH a 0,1N gasto na titulação da amostra; VB = volume (mL) da solução de NaOH gasto na titulação da solução solvente (branco); Ct = concentração (N) da solução de NaOH obtida na padronização e m = massa (g) da amostra.

As análises de viscosidade e massa específica foram realizadas simultaneamente através do viscosímetro, marca Anton Paar, modelo SVM 3001 Stabinger Viscometer, conforme metodologias ASTM D4052 para a massa específica e ASTM D445 para a viscosidade. A análise foi realizada inserindo-se 2 mL da amostra no equipamento, preenchendo duas células, uma para analisar a viscosidade e outra para analisar a massa específica. Os resultados são obtidos após a espera do tempo de estabilização das temperaturas de análises de 20 °C para a massa específica e 40 °C para a viscosidade.

 

RESULTADO E DISCUSSÃO

Caracterização do catalisador

Os difratogramas de raios-X das amostras Zeólita, KI/Zeólita e K2O/ZEÓLITAsão exibidos na Figura 1. Os picos presentes no difratograma da ZEÓLITAem 2θ = 9,76°, 13,52°, 19,70°, 22,42°, 25,73°, 26,44° e 27,64° (JCPDS File Card N. 80-0645) indicam a presença das zeólitas do tipo Mordenita e em 2θ = 9,8°, 12,2°, 13,3°, 17,3°, 19,1°, 22,7°, 26,1°, 28,2°, 28,5°, 30,2°, 31,9°, 32,8° (JCPDS File Card N. 25-1349) são atribuídos a presença da zeólita do tipo Clinoptilolita.32,33 Esses picos intensos mostram que a ZEÓLITAapresenta alta cristalinidade.34 Na amostra KI/Zeólita, são observados picos em 2θ = 21,7°, 25,2° e 35° (JCPDS File N 04 0471) sugerindo a presença do iodeto de potássio na zeólita.35,36 Por outro lado, o catalisador K2O/apresentou picos referente ao óxido em 2θ = 23,9°, 28,7°, 31°,39°, 46, 48 , 57 e 59° (JCPDS 47-1701) indicando a presença do K2O no suporte zeolítico.37-39 Nota-se uma diminuição na intensidade dos picos referentes à zeólita após o processo de impregnação indicando a existência de uma perturbação da estrutura do suporte.40 Esse comportamento também foi reportado por Hartono et al.41 que avaliou a impregnação de KOH na zeólita natural para posterior conversão em K2O.

 


Figura 1. Difratograma da Zeólita (a); KI/Zeólita (b); K2O/Zeólita. KI= Iodeto de Potássio; K2O= Óxido de Potássio; M= Mordenita; C= Clinoptilolita

 

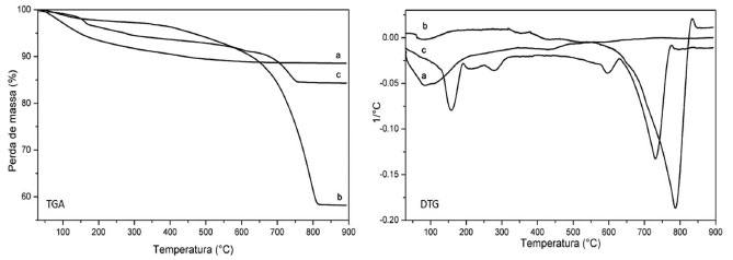
As curvas TGA/DTG da Zeólita, KI/Zeólita e K2O/Zeólita estão apresentadas na Figura 2. As curvas das amostras Zeólita, KI/Zeólita e K2O/Zeólita apresentam três perdas de massa abaixo de 500 °C, cujos valores são de 6,2%, 1,5% e 3,1%, respectivamente. O primeiro evento foi observado no intervalo de temperatura entre 50 a 190 °C, correspondente à água absorvida mediante pontes de hidrogênio na superfície da zeólita.42

 


Figura 2. Curva da TGA e DTG da Zeólita (a), KI/Zeólita (b) e K2O/Zeólita (c)

 

O segundo e terceiro eventos foram considerados no intervalo de 316 °C a 479 °C para Zeólita e KI/Zeólita e 188 °C a 326 °C para K2O/Zeólita, correspondente à água fissisorvida e as moléculas de água associada aos íons de cálcio presente na estrutura do material, ao qual necessita de uma temperatura mais elevada para desidratação, respectivamente.43 A ausência de perda de massa não relacionada com a água presente no material indica que essa zeólita apresenta elevada estabilidade térmica.44 As amostras KI/Zeólita e K2O/Zeólita apresentaram uma quarta e uma quinta perda de massa em um intervalo de 500 °C a 800 °C correspondentes à decomposição tanto do KI, antes da calcinação, quanto do K2O formado após o processo de calcinação, apontando como indicativo da presença destes no suporte.26 Os dados de perda de massa de cada amostra estão resumidos na Tabela 2.

 

 

Os espectros na região do infravermelho para as amostras Zeólita, KI/Zeólita e K2O/Zeólita estão apresentados na Figura 3.

 


Figura 3. Espectro de FTIR da Zeólita (a), KI/Zeólita (b) e K2O/Zeólita (c)

 

Nos espectros de todas as amostras estão presentes bandas na região de 3700 cm-1 a 3100 cm-1 e a banda 1640 cm-1 atribuídas às vibrações de alongamento e flexão dos grupos hidroxilas da água absorvida no material, respectivamente.45 Nas amostras KI/Zeólita e K2O/Zeólita observa-se que a banda 1640 cm-1 apresentou diminuição de sua intensidade com relação a Zeólita sendo um indicativo da substituição das interações das moléculas de água pelas interações com o KI e K2O, respectivamente.46 A absorção em destaque na região de 1055 cm-1, para a amostra Zeólita, é caracterizada pelas ligações T-O-Si (T=Si ou Al), no entanto para as amostras KI/Zeólita e K2O/Zeólita essas bandas apresentam deslocamento para as regiões em 1047 cm-1 e 1013 cm-1, respectivamente. Esse comportamento sugere a presença do KI e K2O na estrutura do suporte.47 Por fim, as bandas 766 cm-1 e 470 cm-1 equivalem às vibrações de estiramento e reflexão das ligações O-Si-O e das vibrações de torções das ligações Al-O-Si, na devida ordem.42

As imagens de microscopia eletrônica de varredura (MEV) da Zeólita e K2O/Zeólita foram ilustradas na Figura 4 (a) e 4 (b), nesta ordem. De acordo com a imagem da Zeólita observa-se a presença de aglomerados de estrutura lamelar, bem como grãos de tamanhos diferenciados,48 além de apresentar uma superfície irregular com elevada rugosidade fornecendo uma alta quantidade de cavidades na estrutura do material, propriedades estas da Zeólita Clinoptilolita.49 Observam-se também a presença de aglomerados esféricos, aglomerados de faces cristalinas e uma estrutura cristalina em forma de agulha, características da Zeólita Mordenita.44,50

 


Figura 4. Microscopia eletrônica de varredura da Zeólita (a) 2000x e K2O/Zeólita (b) 2000x

 

Observa-se também que a Zeólita (Figura 4a) apresenta poros, bordas afiadas com diversos espaços vazios entre as partículas e a K2O/Zeólita (Figura 4b) mostra esses poros e espaços vazios, ao qual podem ser ocupados por potássio durante a impregnação. Essa ocorrência também foi relatada no estudo da impregnação do KOH para posterior conversão em K2O na Zeólita por Taslim et al.46

Os valores dos elementos presentes no K2O/Zeólita obtida pela espectroscopia por energia dispersiva (EDS) estão listados na Tabela 4. Nota-se que a quantidade de potássio no material é elevada enquanto o teor de iodeto é praticamente desprezível, apontando como indicativo da eficiência do processo de calcinação da conversão do KI em K2O.

 

 

 

 

Biodiesel - reação de transesterificação

O produto obtido (biodiesel) a partir da reação de transesterificação em condições reacionais citadas na Tabela 1 foi avaliado por análise térmica com finalidade de determinar o percentual de conversão de triglicerídeo em ésteres.

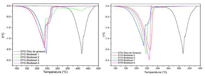
O percentual de conversão dos triglicerídeos em ésteres foi avaliado, mediante a diferença do ponto médio de volatilização observados através das Figuras 5 e 6 do óleo de girassol e dos biodiesels. A curva referente ao óleo de girassol apresentou uma única perda de massa de 99,96%, no intervalo de temperatura de 290 °C a 475 °C, relativo à decomposição dos triglicerídeos.51 Os ensaios realizados com as amostras de biodiesel exibiram comportamentos distintos do perfil termogravimétrico do óleo vegetal, apresentando entre duas ou três etapas de perda de massa. Para todas as amostras, a primeira perda de massa ocorre na faixa de temperatura de 96 °C a 295 °C, corresponde à decomposição térmica dos ésteres metílicos.52 As amostras que apresentaram os maiores valores de perda de massa nessa região foram as amostras biodiesel 2, 5 e 8 com valores de 98,9%, 95,9% e 97,9%, por essa ordem.

 


Figura 5. TGA do Óleo de Girassol e do Biodiesel 1; Biodiesel 2; Biodiesel 3; Biodiesel 4; Biodiesel 5; Biodiesel 6; Biodiesel 7; Biodiesel 8

 

 


Figura 6. DTG do Óleo de Girassol e do Biodiesel 1; Biodiesel 2; Biodiesel 3; Biodiesel 4; Biodiesel 5; Biodiesel 6; Biodiesel 7; Biodiesel 8

 

O segundo evento de perda de massa presente em todas as amostras de biodiesel, exceto nas amostras de biodiesels 2 e 8, foi verificado na faixa de 240 a 360 °C e refere-se a decomposição térmica dos diglicerídeos.53 Enquanto que a terceira etapa de perda de massa, presente nas amostras de biodiesels 1 com perda de massa de 9,0% e biodiesel 4 com perda de massa de 19,0%, correspondente à faixa de temperatura de 360 a 480 °C, relaciona-se aos triglicerídeos que não converteram-se em ésteres durante a reação de transesterificação.54 Os dados estão resumidos na Tabela 5.

 

 

Na Figura 7 apresentam-se os espectros na região do infravermelho correspondente ao óleo de girassol e os biodiesels. De acordo com os espectros, observa-se, tanto para o óleo quanto para os biodiesels, a presença das bandas na região entre 2852 cm -1 a 3011 cm-1 sendo atribuídas as vibrações de alongamento simétricas e assimétricas das ligações C-H dos grupos metil.55 O espectro do óleo de girassol mostrou uma banda em 1741 cm-1, por outro lado, nos espectros dos biodiesels essa banda foi observada em menores números de onda em 1738 cm-1 devido à formação de ésteres metílicos de cadeias menores do que as cadeias dos ésteres do óleo. Essas bandas são correspondentes às vibrações das ligações C=O dos grupos ésteres.56 As bandas 1466 cm-1 e 1161 cm-1 presentes no óleo de girassol são atribuídas à deformação angular das ligações C-H dos alcanos e ao alargamento da ligação C-O do grupo éster, respectivamente.54 O aparecimento bandas 1461 cm-1 e 1432 cm-1 nos espectros de biodiesel estão relacionados com as vibrações de deformação da ligação C-H dos grupos CH3 e CH2.57 Outras bandas em 1195, 1166 e 1016 cm-1 correspondem às vibrações de alongamento O-CH3, à formação de ésteres metílicos de ácidos graxos e vibrações das ligações C-O e C-O-C no espectro do biodiesel, respectivamente.58,59 A absorção na região de 983 cm-1 descreve a deformação das ligações insaturadas (HC=CH) fora do plano (Tabela 6).60

 

 

 


Figura 7. Espectros de FTIR do Óleo de Girassol e do Biodiesel 1; Biodiesel 2; Biodiesel 3; Biodiesel 4; Biodiesel 5; Biodiesel 6; Biodiesel 7; Biodiesel 8

 

A inexistência de absorções na região entre 3200 cm-1 e 3640 cm 1, que caracteriza o estiramento de ligações O-H tanto para água como para álcool, sugere a eficiência na lavagem do biodiesel para remoção de álcool bem como no processo de sua secagem para a remoção da água.61

Os valores obtidos dos ensaios dos parâmetros físico-químicos do óleo de girassol e dos biodiesels são apresentados na Tabela 7. Os valores de índice de acidez correspondentes ao biodiesel estão dentro do limite imposto pela Resolução ANP N° 45/2014, de 0,5 mg KOH/g, entretanto, seus valores foram iguais ou maiores que o óleo vegetal, isso pode ser atribuído ao fato da instabilidade do biodiesel à oxidação. Os óleos vegetais possuem antioxidantes naturais, os tocoferóis, no entanto, quando esses óleos sofrem reações para serem convertidos a biodiesel, esses antioxidantes são eliminados tornando o biodiesel instável à oxidação, resultando na elevação do seu índice de acidez.62 O valor do índice de acidez para o óleo de girassol apresentou discordância com os valores de Hoha et al.63 em que apresentou índice médio de 0,35 mg KOH/g. Por outro lado, os valores de índice de acidez dos biodiesels apresentaram valores próximos dos dados de Westhuizen e Focke64 em que constaram para as duas amostras de biodiesel sintetizadas 0,1 e 0,06 mg KOH/g.

 

 

Um biodiesel de alta viscosidade acarreta diversos problemas em um motor Diesel, como exemplo, atomização ineficiente, formação de depósitos no motor.65 Em relação à massa específica, um valor muito elevado desta, resultará em uma combustão incompleta e emissões de partículas.66

Os valores de viscosidade e massa específica do óleo de girassol e dos biodiesels exibidos na Tabela 7 mostram que o óleo de girassol apresenta valores maiores de viscosidade e massa específica comparada aos valores dos biodiesels, de 34,8 mm2 s-1 e 917,6 kg m-3, respectivamente. Esses valores estão próximos dos valores de Jain67 de 31,3 mm2 s-1 e 914,6 kg m-3, respectivamente. As amostras que apresentaram valores de viscosidade dentro do limite imposto foram as amostras 2, 3, 5, 6, 7 e 8. Em relação à densidade, todas as amostras de biodiesel apresentaram seus valores dentro do limite, exceto a amostra de biodiesel 4. O biodiesel 2 foi a única amostra que obteve os menores valores de viscosidade e massa específica dentro das normas recomendadas, de 4,7 mm2 s-1 e 882 kg m-3, constatando com os resultados da análise Termogravimétrica (TGA/DTG), uma vez que a amostra de biodiesel 2 apresentou maior perda de massa relacionada à decomposição dos ésteres metílicos (98,9%). Os valores de viscosidade e massa específica desse biodiesel estão próximo dos valores de Tutunea e Dumitru68 em que constataram valores de 4,7 mm2 s-1 e 868 kg m-3.

As Figuras 8 e 9 explanam a relação da porcentagem de conversão do óleo de girassol e todas as amostras de seus respectivos biodiesels com a viscosidade e a massa específica, respectivamente. Constata-se que as relações da porcentagem de conversão com a massa específica e a viscosidade são inversamente proporcionais, pois no primeiro ponto, correspondente ao óleo de girassol cuja porcentagem de conversão a alquil ésteres foi zero, obteve os maiores valores de massa específica e viscosidade, enquanto no ponto 3, correspondente ao biodiesel de maior porcentagem de conversão (Biodiesel 2), apresentou os menores valores de massa específica e viscosidade. Esses altos valores correspondentes ao óleo de girassol são justificados devido ao tamanho da cadeia hidrocarbônica dos triglicerídeos. Por ser uma molécula de tamanho elevado, a probabilidade de ocorrer "emaranhamento" com outras moléculas de triglicerídeos será maior, dificultando seu escoamento, enquanto o biodiesel, por possuir uma molécula de tamanho menor em relação ao triglicerídeo, possuirá maior facilidade em escoar.69

 


Figura 8. Gráfico entre a relação da % de conversão e da massa específica do Óleo de girassol (A); Biodiesel 1 (B); Biodiesel 2 (C); Biodiesel 3 (D); Biodiesel 4 (E); Biodiesel 5 (F); Biodiesel 6 (G); Biodiesel 7 (H); Biodiesel 8 (I)

 

 


Figura 9. Gráfico entre a relação da % de conversão e da viscosidade do Óleo de girassol (A); Biodiesel 1 (B); Biodiesel 2 (C); Biodiesel 3 (D); Biodiesel 4 (E); Biodiesel 5 (F); Biodiesel 6 (G); Biodiesel 7 (H); Biodiesel 8 (I)

 

 

CONCLUSÕES

Partindo-se da Zeólita natural, mostrou-se viável o processo de impregnação por excesso de solvente, devido a presença do KI e K2O apresentando propriedades semelhantes às expostas nos estudos. Os resultados de diversas técnicas de caracterização como difração de raios-X, análise térmica, espectroscopia na região infravermelho indicam a presença de picos característicos dos tipos de zeólitas estudada neste trabalho, a Clinoptilolita e Mordenita para a amostra Zeólita, além de apresentar indicativos da presença das fases KI e K2O, evidenciando a efetividade do processo de impregnação escolhido, bem como a não alteração da estrutura inicial das zeólitas. Por meio da decomposição térmica dos materiais, observa-se na faixa de temperatura de 500-800 oC a degradação do KI e K2O, resultados esses corroborados pelas regiões de absorção características encontradas na região do infravermelho. Vale ressaltar que a indicação da ocorrência da conversão do KI em K2O ocasionada pelo processo de calcinação, e esse indício foi apresentado através do estudo com a energia dispersiva de raios-X.

Os resultados das análises realizadas no óleo de girassol e nos biodiesels obtidos pela reação de transesterificação metílica na presença de um catalisador heterogêneo apontaram que o óleo de girassol e o catalisador K2O/Zeólita natural apresentaram-se aptos para serem utilizados na obtenção de biodiesel; uma vez que das 8 amostras de biodiesel analisadas. Apenas uma amostra apresentou decomposição térmica dos ésteres metílicos com baixo percentual perda de massa (57,03%); por outro lado, a maior perda de massa corresponde a essa decomposição foi de 98,96% correspondente a amostra biodiesel 2. As mudanças de algumas bandas no espectro na região do infravermelho das amostras de óleo de girassol e dos biodiesels também sugeriram a conversão após a reação de transesterificação do óleo.

As demais amostras que apresentaram alto teor de conversão foram: biodiesel 5 e 8 (95,9% e 97,92%, respectivamente). Verificando que as condições reacionais favoráveis de %catalisador, metanol:óleo, e temperatura para altas conversões: 6% de K2O/Zeólita, 30:1, e 90 °C (biodiesel 2); 8% K2O/Zeólita, 15:1, e 60 °C (biodiesel 5); 8% K2O/Zeólita, 30:1, e 90 °C (biodiesel 8). Por outro lado, as condições que desfavorecem são: 6% K2O/Zeólita, 30:1, e 60 °C (biodiesel 4).

De acordo com valores obtidos de massa específica e viscosidade para as 8 amostras de biodiesels, as amostras de biodiesels 2, 3, 5, 6, 7 e 8, apresentaram os valores dentro dos limites especificados pela ANP - Resolução 45/2014; entretanto, apenas o biodiesel 2 apresentou os menores valores dentro do limite das especificações.

A partir desses resultados, foi possível determinar a melhor condição reacional de transesterificação: a razão óleo:metanol de 1:30; temperatura de 90 °C; 6% de catalisador durante o tempo de 6 horas de reação.

 

REFERÊNCIAS

1. Thangaraj, B.; Solomon, P. R.; Muniyandi, B.; Ranganathan, S.; Lin, L.; CleanEnergy 2019, 3, 2.

2. Zik, N. A. F. A.; Sulaiman, S.; Jamal, P.; Renewable Energy 2020, 155, 267.

3. Fauzan, N. A.; Tan, E. S.; Pua, F. L.; Muthaiyah, G.; S. Afr. J. Chem. Eng. 2020, 32, 56.

4. Borges, M. E.; Diaz, L. A.; Renewable Sustainable Energy Rev. 2012, 16, 2839.

5. Gondim, A. D.; Santos, M. F. V.; Oliveira, T. P.; Peixoto, C. G. D.; Batista, A. C. M.; Fernandes Jr, V. J.; Holos 2017, 1, 241.

6. Busić, A.; Kundas, S. P.; Morzak, G.; Belskaya, H.; Marđetko.; Santek, M. I.; Komes, D.; Novak, S.; Santek, B.; Food Technol. Biotechnol. 2018, 56, 152.

7. Saba, T.; Estephane, J.; Khoury, B. E.; Khoury, M. E.; Khazma, M.; Zakhem, H. E.; Aouad, S.; Renewable Energy 2016, 90, 301.

8. Clohessy, J.; Kwapinski, W.; Appl. Sci. 2020, 10, 918.

9. Adedoyin, A. J.; Abiodun, O. E.; Frank, O. I.; International Journal of Scientific Research in Science, Engineering and Technology 2019, 6, 2395.

10. Tahvildari, K.; Anaraki, Y. N.; Fazaeli, R.; Mirpanji, S.; Delrish, E.; J. Environ. Health Sci. Eng. 2015, 13, 73.

11. Carlucci, C.; Degennaro, L.; Luisi, R.; Catalysts 2019, 9, 75.

12. Yoo, S. J.; Lee, H.; Veriansyah, B.; Kim, J.; Kim, J.; Lee, Y.; Bioresour. Technol. 2010, 101, 8686.

13. Liu, K.; Huang, X.; Pidko, E. A.; Hensen, E. J. M.; Green Chem. 2017, 19, 3014.

14. Nayebzadeh, H.; Saghatoleslami, N.; Haghighi, M.; Tabasizadeh, M.; Int. J. Self-Propag. High-Temp. Synth. 2019, 28, 18.

15. Hussain, H. M.; Mohammed, A. A. K.; IOP Conf. Ser.: Mater. Sci. Eng. 2019, 518, 062002.

16. Samart, C.; Karnjanakom, S.; Chaiya, C.; Reubroycharoen, P.; Sawangkeaw, R.; Charoenpanich, M.; Arabian J. Chem. 2019, 12, 2028.

17. Chen, C.; Cai, L.; Zhang, L.; Fu, W.; Hong, Y.; Gao, X.; Jiang, Y.; Li, L.; Yan, X.; Xu, G.; Chem. Eng. J. 2020, 382, 122839.

18. Al-Jammal, N.; Al-Hamamre, Z.; Alnaief, M.; Renewable Energy 2016, 93, 449.

19. Ghesti, G. F.; Macedo, J. L.; Dias, J. A.; Dias, S. C. L.; Quim. Nova 2012, 25, 119.

20. Sinaga, M. S.; Pandia, S.; Tarigan, T. F.; Tiffani, W. G.; IOP Conference Series: Earth and Environmental Science 2018, 205, 012031.

21. Fritiana, N.; Husin, H.; Yantin, D.; Pontas, K.; Alam, P. N.; Ridho, M.; Iskandar.; IOP Conference Series: Earth and Environmental Science 2018, 334, 012011.

22. Li, X.; Zuo, Y.; Zhang, Y.; Fu, Y.; Guo, Q.; Fuel 2013, 113, 435.

23. Evangelista, J. P. C.; Gondim, A. D.; Souza, L.; Araujo, A. S.; Renewable Sustainable Energy Rev. 2016, 59, 887.

24. Muciño, G. E. G.; Romero, R.; Ramírez, A.; Ramos, M. J.; Baeza-Jiménez, R.; Natividad, R.; Int. J. Chem. React. Eng. 2016, 14, 929.

25. Amalia, S.; Khalifah, S. N.; Baroroh, H.; Muiz, A.; Rahmatullah, A.; Aini, N.; Hs, M. R. A.; Umam, M. N.; Isnaini, I. A.; Suryana, R.; AIP Conf. Proc. 2019, 2120, 080016-1.

26. Evangelista, J. P. C.; Chellappa, T.; Coriolano, A. C. F.; Fernandes Jr, V. J.; Souza, L. d. Araujo, A. S.; Fuel Process. Technol. 2012, 104, 90.

27. Xie, W.; Li, H.; J. Mol. Catal. A: Chem. 2006, 255, 1.

28. Noiroj, K.; Intarapong, P.; Luengnaruemitchai, A.; Jai-In, S.; Renewable Energy 2009, 34, 1145.

29. Boz, N.; Degirmenbasi, N.; Kalyon, D. M.; Appl. Catal., B 2009, 89, 590.

30. Jairam, S.; Kolar, P.; Sharma-Shivappa, R.; Osborne, J. A.; Davis, J. P.; Bioresour. Technol. 2012, 104, 329.

31. Gondim, A. D.; Tese de Doutorado, Universidade Federal do Rio Grande do Norte, Brasil, 2009.

32. Prasetyo, W. E.; Kusumaningsih, T.; Firdaus, M.; Synth. Commun. 2019, 49, 3352.

33. Safari, S.; Khoshbin, R.; Karimzadeh, R.; RSC Adv. 2019, 9, 16797.

34. Kurniawan, T.; Muraza, O.; Hakeem, A. S.; Al-Amer, A. M.; Cryst. Growth Des. 2017, 17, 3313.

35. Islam, A. Em Biodiesel Production with Green Technologies; Islam, A., Ravindra, P., eds.; Springer International Publishing: New York, 2016, cap. 5.

36. Galvão, L. P. F. C.; Barbosa, M. N.; Araujo, A. S.; Júnior, V. J. F.; Santos, A. G. D.; Junior, G. E. L.; Quim. Nova 2012, 35, 41.

37. Santoso, A.; Sumari.; U, U, Z.; A, T. N.; IOP Conf. Ser.: Mater. Sci. Eng. 2019, 515, 012042.

38. Zhang, P.; Chen, X.; Leng, Y.; Dong, Y.; Jiang, P.; Fan, M.; Fuel 2020, 272, 117680.

39. Ma, G.; Hu, W.; Pei, H.; Jiang, L.; Ji, Y.; Mu, R.; Environ. Technol. 2015, 36, 622.

40. Silva, F. M. N.; Lima, E. G.; Barbosa, T. L. A.; Rodrigues, M. G. F.; Mater. Sci. Forum 2019, 958, 11.

41. Hartono, R.; Wijanarko, A.; Hermansyah, H.; Journal of Applied Engineering Science 2019, 626, 431.

42. Montes-Luna, A. J.; Fuentes-López, N. C.; Perera-Mercado, Y. A.; Pérez-Camacho, O.; León, G. C.; García-Rodriguez, S. P.; García-Zamora, M.; Superficies Vacio 2015, 28, 5.

43. Ezber, Ç.; Akbelen, M.; Eskişehir Technical University Journal of Science and Technology A - Applied Sciences and Engineering 2019, 20, 114.

44. Sakizci, M.; Tanriverdi, L. Ö.; Turkish Journal of Chemistry 2015, 39, 970.

45. Supamathanon, N.; Khabuanchalad, S.; Mater. Today: Proc. 2019, 17, 1412.

46. Taslim, T.; Iskandinata, I.; Parinduri, S. Z. D. M.; Ningsih, P. R. W.; Taruna, N.; International Journal of Engineering Research and Technology 2019, 12, 1452.

47. Liu, B.; Zhu, C.; Zhuang, K.; Shuai, L.; Li, D.; Long, W.; Xing, F.; Fang, Y.; Nanomaterials 2020, 10, 63.

48. Mansouri, N.; Rikhtegar, N.; Panahi, H. A.; Atabi, F.; Shahraki, B. K.; Environ. Prot. Eng. 2013, 39, 139.

49. Hubner, P.; Donati, N.; Quines, L. K. M.; Tessaro, I. C.; Marcilio, N. R.; Mater. Sci. Eng., C 2020, 107, 110215.

50. Cysneiro, O. M. S.; Silva, B. J. B.; Silva, A. O. S.; Alencar, S. L.; Santos, R. B.; Soares, P. F. M.; Mendonça, T. R. D.; Sousa Júnior, L. V.; Santos, J. R.; Sci. Plena 2016, 12, 043101.

51. Guimarães, A. K. V.; Jesus, A. A.; Oliveira, H. N. M.; Barros Neto, E. L.; Gondim, A. D.; Chiavone-Filho, O.; Brazilian Journal of Petroleum and Gas 2018, 12, 107.

52. Díaz-Ballote, L.; Gómez-Hernández, K.; Vega-Lizama, E. T.; Ruiz-Gómez, M. A.; Maldonado, L.; Hernández, E.; Quim. Nova 2018, 41, 492.

53. Soares, C. M.; Itavo, L. C. V.; Dias, A. M.; Arruda, E. J.; Delben, A. A. S. T.; Oliveira, S. L.; Oliveira, L. C. S.; Fuel 2010, 89, 3725.

54. Lacerda, J. G. P.; Candeia, R. A.; Sales, L. L. M.; Araújo, A. S.; Cunha, A. F. P.; Wanderley, A. F.; Campos, A. F.; J. Therm. Anal. Calorim. 2019, 137, 2045.

55. Babakura, M.; Yelwa, J. M.; Ibrahim, A.; Aliyu, B. M.; Yahaya, J. Y.; Umar, J. B.; Auwal, M. M.; Ogabidu, A. O.; International Journal of Science and Management Studies 2019, 2, 101.

56. Silva, H. R. G.; Quintella, C. M.; Maira, M.; J. Braz. Chem. Soc. 2017, 28, 2348.

57. Matwijczuk, A.; Zając, G.; Kowalski, R.; Kachel-Jakubowska, M.; Gagoś, M.; Pol. J. Environ. Stud. 2017, 26, 2643.

58. Hariram, V.; Godwin, J. J.; Seralathan, S.; Int. J. Ambient Energy 2017, 40, 1.

59. Elango, R. K.; Sathiasivan, K.; Muthukumaran, C.; Thangavelu, V.; Rajesh, V. T.; Tamilarasan, K.; Microchem. J. 2019, 145, 1162.

60. Korkut, Ö.; Erenturk, S.; Biofuels, Bioprod. Biorefin. 2015, 9, 326.

61. Focke, W. W.; Westhuizen, I. V. D.; Grobler, A. B. L.; Nshoane, K. T.; Reddy, J. K.; Luyt, A. S.; Fuel 2012, 94, 227.

62. McCormick, R. L.; Ratcliff, M.; Moens, L.; Lawrence, R.; Fuel Process. Technol. 2007, 88, 651.

63. Hoha, G. V.; Nistor, C. E.; Costᾰchescu, E.; Pᾰsᾰrin, B.; Scientific Papers - Animal Science Series: Lucrări Ştiinţifice - Seria Zootehnie 2017, 67, 124.

64. Westhuizen, I. V. D.; Focke, W.; Fuel 2018, 219, 126.

65. Macedo, T. O.; Pereira, R. G.; Pardal, J.; Soares, A. S.; Lameira, V. J.; International Journal of Chemical and Molecular Engineering 2013, 7, 251.

66. Ismail, S. A. A.; Ali, R. F. M.; Sci. Technol. Adv. Mater. 2015, 16, 034602.

67. Verma, D.; Fortunati, E.; Jain, S.; Zhang, X. Em The production of biodiesel using Karanja (Pongamia pinnata) and Jatropha (Jatropha curcas) oil; Jain, S., ed.; Woodhead Publishing: Sawston, 2019, cap. 17.

68. Tutunea, D.; Dumitru, I.; IOP Conf. Ser.: Mater. Sci. Eng. 2017, 252, 012085.

69. Rinaldi, R.; Garcia, C.; Marciniuk, L. L.; Rossi, A. V.; Schuchardt, U.; Quim. Nova 2007, 30, 1374.

On-line version ISSN 1678-7064 Printed version ISSN 0100-4042
Qu�mica Nova
Publica��es da Sociedade Brasileira de Qu�mica
Caixa Postal: 26037 05513-970 S�o Paulo - SP
Tel/Fax: +55.11.3032.2299/+55.11.3814.3602
Free access

GN1