JBCS



12:30, sáb out 25

Acesso Aberto/TP



Artigo

Biodegradable sodium carboxymethyl cellulose membranes containing Melaleuca essential oils for wound care material

Silvane Holanda SoaresI; Hugo Cavalcante PeixotoI; Edlene Ribeiro PrudencioII; Rosa Helena LucheseII; Robson AraújoIII; Ana Paula Duarte MoreiraIII; Leonardo Sales AraújoIII; Luiz Henrique Guerreiro RosadoIV; Rommel Sauerbronn da CunhaV; Rosane Nora CastroVI; Renata Nunes OliveiraI,*

I. Departamento de Engenharia Química, Universidade Federal Rural do Rio de Janeiro, 23897-000 Seropédica - RJ, Brasil
II. Departamento de Engenharia de Alimentos, Universidade Federal Rural do Rio de Janeiro, 23897-000 Seropédica - RJ, Brasil
III. Departamento de Engenharia de Materiais e Metalurgia, Universidade Federal do Rio de Janeiro, 21941-594 Rio de Janeiro - RJ, Brasil
IV. Departamento de Farmácia, Universidade Federal Rural do Rio de Janeiro, 23897-000 Seropédica - RJ, Brasil
V. Bioleucx®, CNPJ 26.720.053/0001-70, 18150-000 Ibiúna - SP, Brasil
VI. Instituto de Química, Universidade Federal Rural do Rio de Janeiro, 23897-000 Seropédica - RJ, Brasil

Recebido em: 17/01/2022
Aceito em: 18/04/2022
Publicado em: 18/05/2022

Endereço para correspondência

*e-mail: nunes@ufrrj.br

RESUMO

NaCMC is a biocompatible polymer that can be crosslinked with citric acid to form a gel matrix. Melaleuca oils have antimicrobial and anti-inflammatory properties with potential for wound healing. The goal of this work was to investigate the characteristics of NaCMC-Melaleuca oils gels. The gels were characterized by FTIR, TGA, mechanical analysis, and in vitro swelling and S. aureus inhibition tests. The oils were characterized using chromatography, presenting high values of (1,8-cineol/terpinen-4-ol), and evaluated for confirmation of their effect against S. aureus. The samples showed physical interactions between NaCMC, citric acid and the Melaleuca oils. Erosion in saline solution was higher in the gels with oils, attributable to interference with crosslinking. The membranes presented high contribution of relaxation mechanism and low contribution of Fickian diffusion regarding the swelling ability. The presence of the oils increased thermal stability and diminished gel fraction and mechanical properties, indicating that the oils interact with the matrix anchoring the chains. Although melaleuca oils themselves were active against S. aureus and CA was responsible for the NaCMC hydrogels activity, the incorporation of melaleuca oils in NaCMC gels was not reported previously. This report indicates that NaCMC hydrogel may be a proper matrix for essential oils incorporation.

Palavras-chave: NaCMC membrane; Melaleuca essential oil; tea tree oil; wound dressing material; gel.

INTRODUCTION

Physically or chemically crosslinked gels, widely applied in wound-care dressings,1 can be synthesized with one or more biocompatible polymers, to control the delivery of therapeutic substances. Sodium carboxymethyl cellulose (NaCMC), which is used as gel material, is derived from cellulose. It is a polysaccharide of natural origin, insoluble in water. Cellulose, when it undergoes nucleophilic reactions, it turns into sodium carboxymethyl cellulose (NaCMC).2 There are two main reactions in this process: alkali cellulose reaction and esterification (sodium hydroxide treatment followed by monochloroacetic acid reaction).3 The NaCMC chain might present, substituting the hydrogen position in hydroxyl groups, the - CH2CO2Na group. The amount of these groups in these positions would stand for the degree of substitution, which affect the polymer's degree of solubility in water. High degree of substitution would mean high solubility.4,5

NaCMC is an ionic polymer, biodegradable, biocompatible, and economically producible.6-8 Its high degree of water solubility is the results of bonds between molecules' breakdown when in water.9 However, it can be crosslinked to keep its structural integrity when hydrated. Among the NaCMC crosslinkers available, there is epichlorohydrin, which acts through esterification of hydroxyl groups. However, there are concerns about potentially carcinogenic byproducts.6 For dressings, a crosslinker that is non-toxic and non-aggressive to the human body is citric acid.10 Chemical crosslinking points are formed by citric acid (CA) and NaCMC through ester bonds, due to free carboxylic and hydroxyl groups. In the physical crosslinking, the chains of NaCMC and CA are connected by ionic interactions, improving the material's mechanical properties.2,11 NaCMC gels contribute to collagen growth stimulus, as well as epithelial cells growth.12 However, NaCMC is unable to control bacterial colonization and since wound infection represents risk to patients, especially immuno-compromised ones,13 dressings containing antimicrobial agents are of interest.

NaCMC gels present high drug loading capacity, including the antibiogel drugs, since the porosity of these materials might contribute to the diffusion.14,15 Gels incorporating active pharmaceutical ingredients can accelerate healing time and protect the epidermis from external agents.16 Ibuprofen sodium salt (analgesic and anti-inflammatory drug) was incorporated to NaCMC gel and successfully delivered.10 NaCMC dressing containing silver (antibiotic) is available commercially.17 Nonetheless, there is increasing interest in replacing synthetic drugs by active natural compounds. The potential use of these natural products depends on, for example, the extent and character of the wound site. Hydrophilic gels can be loaded with natural oils which present antimicrobial properties.18 Gelatin or PVA gels loaded with Zataria multiflora essential oil showed antioxidant and antibacterial activities, where the essential oils remained encapsulated along the polymers' chains.19 Among the available essential oils for wound care there are Melaleuca oils.20

Melaleuca is a botanical genus, referring to species that come from the Myrtaceae family, from Australia, Malaysia, or Polynesia.21 Melaleuca alternifolia oil, commonly known as "tea tree" oil, consists mostly of cyclic monoterpenes,16,21 being medicinally used due to its antifungal, antioxidant, antimicrobial activities.22,23 Melaleuca oils usually present bactericide properties due to the presence of terpinen-4-ol, 1,8 cineole and α-terpineol. These substances affect the bacteria cell wall and inhibit glucose-dependent respiration.24,25 Alginate gel containing melaleuca oil for wound care was active against E. coli and it was considered potential material for dressing.26 Nonetheless, attention is recommended since allergy could occur.27 Chitosan preparation containing melaleuca oil stimulated wound reepithelization and hair follicles growth.28

The goal of the present work is to develop NaCMC-melaleuca oil membranes and to characterize them microstructural and morphologically, thermally, and microbiologically. NaCMC-melaleuca oil gels were not previously reported until the present date. The oils increased the samples' thermal stability and diminished the gel fraction, showing that the oils might interact with the matrix anchoring the polymer chains. All gels, including those not having melaleuca oils, were active against S. aureus.

 

EXPERIMENTAL PART

The materials used were sodium carboxymethyl cellulose - NaCMC (Sigma-Aldrich / USA, Mw 250,000 Dalton, substitution degree of 0.80-0.95 and viscosity of 400-800 cP); Citric acid anhydrous - CA/Brazil (São Lázaro®); Melaleuca alternifolia and Melaleuca armillaris essential oils (Bioleucx®) from the city of Piedade-Sao Paulo/Brazil, and sterile saline solution (Sorimax®)/Brazil.

Chromatographic analysis

The chromatographic analysis of the bioactive oils was performed in a gas chromatography system coupled to mass spectrometry (GC MS, GC-17A / QP2010 Plus, Shimadzu / USA), HP-5MS capillary column, at 60 °C for 1 minute. It was then heated to 290 °C (10 °C min-1) and held at this temperature for 10 minutes. The injector temperature was 220 °C, interface of 310 °C, source of ions at 250 °C and impact energy of 70 eV. The carrier gas was helium with a flow rate of one mL min-1, split ratio 1:30 and 1.0 μL of bioactive oil injected with dichloromethane. The mass spectra were acquired in the scan range of 40-500 µm. Identification of the components of the essential oils was performed by comparison to the library database (Nist08).

Samples manufacturing

For gel samples, 3g of NaCMC was added to 100 ml of distilled water under mechanical stirring for 90 min at room temperature. Then, for each 25 mL of NaCMC solution under magnetic stirring, 0.08 g of anhydrous citric acid was added for physical crosslinking.29 The prepared solutions were poured in ø90 mm petri dishes. Samples were dried in oven for 24 h at 50 °C. The NaCMC samples were then submitted to permeation by Melaleuca oil, 1 ml of melaleuca oil per sample, for 20 days for complete absorption (samples were named as: NaCMC-MA (NaCMC-Melaleuca armillaris oil) and NaCMC-MTT (NaCMC-Melaleuca alternifolia oil).30 All samples were crosslinked by citric acid.

Physico-chemical analysis

The physic-chemical evaluation of the samples was performed by Fourier Transform Infrared Spectroscopy - FTIR, using Vertex 70 instrument, Bruker®/USA, wavenumber range of 400 cm-1 - 4000 cm-1.

Mechanical tests

For the tensile tests, three samples of each composition were cut into rectangular shape (30 mm x 10 mm x 1 mm). The tests were performed using an EMIC DL 10000 testing machine ITW®/USA, load cell of fifty kgf, crosshead rate of 3 mm/min until failure. The elastic modulus of the samples (E) and their failure strength were calculated.

Thermal analysis

Thermal analysis was performed using a TGA Q50/Q500 instrument (TA Instruments Co./USA). Approximately (3,1 ± 0,9) mg of each gel were evaluated under a continuous N2 gas flow (30 mL min-1), at a heating rate of 10 °C min-1, between 25 °C and 400 °C.

In vitro analysis

The swelling behavior of the samples (triplicates for each composition) was found by measuring the samples weight. The initial weight of the dried samples (Mn) and their swollen weight (for 1 h, 2 h, 3 h, 4 h, 24 h, 48 h, 72 h, 96 h) in saline solution (9 mg of NaCl in 1 mL of purified water per 1 mL, pH 6.0) at room temperature (Mo). The adsorbed saline solution was removed with filter paper. After 4 days in saline solution, the samples were dried in oven (overnight at 50 °C) and their dry weight was measured (Mf). The swelling degree (SD), weight loss (WL) and gel fraction (GF) were calculated according to equations 1-3.31 The results of swelling degree were evaluated to describe the swelling kinetics of all samples.32 The dominant mechanism of swelling was evaluated by the equation 4, where Mt/M is the amount of saline solution uptake at each time interval (t), k1 and k2 are constants. The diffusion exponent was determined according to the size of the samples, following the steps proposed by Peppas-Sahlin method.32

The Mueller-Hinton diffusion method was used to evaluate the oils bactericide activity. In this test, the inoculum of the microorganism was obtained an S. aureus culture grown on PCA agar (Plate Count Agar), based on a standard agar for counting bacteria in which S. aureus was cultivated for 18 h. It was then suspended in 3 mL of peptone water to obtain an isotonic medium and adjusted to McFarland scale 5, which was evaluated according to turbidity, resulting in a concentration of ~1.5 x 108 CFU mL-1 of S. aureus in the agar plate. Dilutions were then carried out to obtain suspensions of approximately 106 CFU mL-1.33 A solution of 'Mueller-Hinton agar' was obtained by diluting 5.7 g of agar for each 250 mL of media, being heated, and poured on a sterilized Petri dish, exactly 20 mL in each dish. After the solution got consistency, it was placed in an oven at 30 ± 1 °C for 24 h. To obtain the S. aureus agar plates, 0.1 mL aliquots of the suspension was poured on each Petri dish, spread with the aid of a Drigalsky loop. Using a sterile drill, three wells of 7.5 mm in diameter were drilled, and these were filled with fifty µL of each oil (The oils were exposed to room conditions for 20 days, to meet the time of oils application on gels, and then they were evaluated), where ampicillin was used as the known antibiotic control. The plates were kept steady for 24 h. The diameter of the halos was then measured in millimeters, which is related to the sensitivity of the oils and the speed of its diffusion in the agar. The samples can be considered:34 sensitive, characterized when an infection from a certain strain can be treated using the dose of the antimicrobial agent; intermediate; when it is possible to administer a drug above the normal limit (related to drugs with low pharmacotoxicity); resistant, which implies that resistant strains cannot be inhibited by usual concentrations of antimicrobial agents and it is likely to develop microbial resistance mechanisms.

The antimicrobial activity of Na-CMC samples was performed against strains of S. aureus. The test performed was an adaptation of the ASTM 2180-07 (2012) standard, which consists of a quantitative analysis of the effect of antimicrobial agents (free or combined with polymers), according to the inoculum in the agar paste. The procedure for the cultivation of Staphylococcus aureus strains is similar to the previously reported, consisting in the adjustment of turbidity on the 5 McFarland scale to obtain a suspension at 108 CFU mL-1 of S. aureus. After that, one milliliter of this suspension is transferred to 100 mL of the agar paste to obtain a suspension of 106 CFU mL-1. Dilutions were made to obtain suspensions of 10-1, 10-2, 10-3 and 10-4 (dilution factor) in 0.1% peptone saline solution. The inhibition factor of the samples against the S. aureus microorganisms was evaluated from the most concentrated suspension to the lowest one, adding a vortex for phase separation and extraction of the agar. Samples were cut (10 mm x 10 mm) and sterilized by exposure to ultraviolet (UV) radiation for 15 min (each surface). The gels were moistened with sterile saline (0.85%) and 0.75 mL of inoculated agar slurry was evenly spread over each sample. Plating was performed in duplicate in each dilution (10-1, 10-2, 10-3 and 10-4). Then the plates were incubated at 36 ºC ± 1 ºC for 24 h and removed for counting of the colonies of according to equation 5.

 

RESULTS AND DISCUSSION

GC-MC analysis of essential oils

The constituents found in Melaleuca armillaris, and Melaleuca alternifolia oils and their percentage are presented in Table 1. The main components are oxygenated monoterpenes, specially 1,8-cineole, terpinolene and terpinen-4-ol,22,35 where Melaleuca armillaris is rich in 1,8-cineol (34.85%), terpinen-4-ol (13.99%) and α-terpineol (9.68%), which may raise antioxidant properties.36,37 The Melaleuca alternifolia presented 1.04% of terpinen-4-ol and 78.80% of 1,8-cineol. These oils' antimicrobial and antioxidant properties are related to high values of the ratio 1,8-cineol/terpinen-4-ol,38 since these substances affect the bacteria's cytoplasmatic wall stability.35

 

 

FTIR analysis

The samples FTIR (Figure 1(a)) is shown as well as their images (Figures 1 (b-d)). The NaCMC FTIR spectrum showed its characteristic bands, which were found in all gel samples, although a few of them present varied intensity. There are bands at 3779-3297 cm-1 (O-H stretching, contribution of NaCMC and CA), 2919 cm-1 (C-H stretching), 1715 cm-1 (C=O stretching of CA's carboxylic acid and of NaCMC), 1578 cm-1 (carboxylate C=O stretching; COO- stretching), 1430 cm-1 (-CH2 scissoring), 1327 cm-1 (-OH bending), 1223 cm-1 (sugar ring vibration), 1030 cm-1 (C-O-C stretching; sugar ring vibration), 890 cm-1 (C-O-C stretching).11,29,39,40 The presence of crosslinking can be observed by the band at approximately 1715 cm-1 (indicated by arrow in Figure 1), which is the result of the ester bond formed between CA and NaCMC,29,41Figure 1(e). The samples crosslinking was verified by FTIR, Figure 1, where NaCMC powder was evaluated, as well as NaCMC membrane crosslinked with citric acid (CA). The FTIR spectrum of the membrane with CA differed considerably from the NaCMC powder spectrum. A band at 1716 cm-1 is present in the NaCMC membrane crosslinked with citric acid (CA) spectrum due to the overlapping of the ester bond (between anhydride of CA and the non-substituted hydroxyl groups of NaCMC)10 and C=O stretching, contribution of NaCMC and CA. It is an ester bond formed between -OH groups of NaCMC and -COOH groups of CA, showing the crosslinking effect.42

 


Figure 1. (a) FTIR analysis of the samples: NaCMC, NaCMC-MA (NaCMC-Melaleuca armillaris), NaCMC-MTT (NaCMC-Melaleuca alternifolia); and NaCMC-powder, the non-crosslinked raw material for all membranes. Images of the membranes (b)NaCMC, (c)NaCMC-MTT and (c)NaCMC-Ma. (e) The scheme of NaCMC crossliking by citric acid (CA)

 

When loaded with the Melaleuca oils, the NaCMC spectrum presents a few changes, as shown by rectangles in Figure 1. The band at 3293 cm-1 (O-H stretching) is more intense, as is the band at 1715 cm-1, which is attributed to contributions from Melaleuca's carbonyl C=O groups,43 presence of α-terpinene44 and ester bond between CA and NaCMC.29,41 There are bands related to Melaleuca oils, such as the bands at 1539 cm-1 (terpinolene); 1422 cm-1 (CH2- and -CH3 scissoring due to terpineol, limonene); 1385 cm-1 (CH2- and -CH3 scissoring of 1,8-cineole, terpinen-4-ol, terpinolene); and 1300 cm-1 (C-C bonds of 1,8-cineole).44,45 In the NaCMC gels containing oils there are more intense bands at 1083 cm-1 (γ-terpinene); 950 cm-1 (γ-terpinene); 889 cm-1 (terpinen-4-ol); 824 cm-1 (γ-terpinene), 785 cm-1 (γ-terpinene), all related to melaleuca oils.44,46 The NaCMC band at 1223 cm-1 is slightly displaced to low wavenumber (1210 cm 1), indicating a probable physical interaction between NaCMC and the melaleuca oils.43 Similar physical interaction was observed by FTIR bands' displacement on samples of soluble dietary fiber/sodium carboxymethyl cellulose/thyme essential oil.47

Mechanical analysis

The NaCMC sample presented average failure strength, strain, and young modulus higher than the others (Figure 2). The melaleuca oils have a plasticizer effect, where their location between the NaCMC, interfering with the CA crosslinking effect. In addition, water should be removed from the reacting system to dislocate the equilibrium towards crosslinking.48 Regarding the effect of essential oils, adding frankincense oil to carboxymethyl cellulose-chitosan biguanidine hydrochloride gels increased slightly the samples' mechanical properties (young modulus and failure strength) due to the low plasticizing effect and contribution to the system crosslinking.49 The opposite trend was encountered in the present work, probably indicating plasticizer effect of melaleuca oils in Na-CMC gels. Nonetheless, interaction between NaCMC chains and melaleuca oils cannot be fully discarded. The presence of oil in NaCMC diminished the samples young mudulus, which can be attributted to the presence of oil between NaCMC chains diminishing the chains interactions/entanglements. Gellan gum and coconut oil (VCO) gels prepared by microemulsion presented young modulus and failure strngth dependent on the amount of oil.50 The authors state that "the addition of VCO microemulsion that contains lauric acid (C12 ≈ 78%) and a hydroxyl group is responsible for promoting the formation of hydrogen bonds between gellan gum and VCO microemulsion. This bonding replaces the hydrogen bonds between gellan gum chains and thus decreases the intermolecular bonds along polymer chains."50 Melaleuca alternifolia (MTT) oil, in average, diminished young modulus more than Melaleuca armillaris (MA) oil, although they can be considered statistically similar (p>0.05). The young modulus of the samples containing oil is significantly lower that NaCMC young modulus.

 


Figure 2. Samples' (a) mechanical profile; (b) Young Modulus and Failure strength

 

Thermal Analysis

The NaCMC gel presented thermal decomposition in four steps, Figure 3. The first one, from room temperature to 150°C (weight loss of 11.5%) is related to the loss of free and bound water.51 The second and main degradation step occurs between 150 °C and 206 °C (weight loss of 38.5%) and would be due to degradation of the NaCMC main backbone chain, cleavage of bonds C-C and C=O, and degradation of the citric acid crosslinks.40,52,53 The third step, from 206 °C to 240 °C (8.9% of weight loss) is probably due to non-reacted citric acid degradation.54 The last step (up to 240 °C) leads to the formation of carbonaceous residue,55 28.8% of weight loss. NaCMC and Melaleuca Armillaris oil were connected by hydrogen bonds, decreasing the polymer chains flexibility. Nonetheless, Melaleuca alternifolia oil probably was located between the NaCMC chains, diminishing the crosslinking points and facilitating the weight loss.40 The third degradation step (at ~217 °C) presented higher weight loss than the NaCMC sample, probably interference of oils with NaCMC crosslinking,40 as indicated by FTIR and swelling analysis. The samples residues were similar, but the oils increase the samples thermal stability. Several steps of degradation are expected in Na-CMC samples, e.g., in soluble dietary fibre/sodium carboxymethyl cellulose/thyme essential oil three degradation steps were observed, the first one related to residual water evaporation, the last two degradation steps related to random thermal degradation of glycoside bonds in polysaccharides, followed by decomposition into fatty acids.47 Essential oils usually degrade (thermal degradation) from 100 °C to 200 °C.56,57 The second event of degradation (derivative curves' inflection) is related to both, NaCMC and the essential oils, but the oils addition led to a slight displacement of the TGA curves toward high temperatures,58 although the Tonset indicates the opposite. The Tonset displacement toward similar or low temperatures might be a contribution of the oils decomposition.56,57 Chitosan membranes loaded with ginger and cinnamon essential oils presented higher thermal estabillity with the increase of the amount of essential oils: "with the lowest amount of ginger oil, the structure of the polymer changed but, when adding more EO, the structure forms a more homogeneous structure, which increases the thermal stability."59 Nonetheless, the increase of essential oil in the membranes diminished the samples failure strength, which would due to "the partial replacement of stronger polymer-polymer interactions by weaker polymer-oil interactions in the network of membranes incorporated with essential oil."59

 


Figure 3. TGA analysis of all samples. *RT = room temperature

 

In vitro Analysis

NaCMC gels showed high swelling degree compared to the loaded gels, where the NaCMC gel presents network's high free volume related to the saline solution absorption, Figure 4.51 The NaCMC gels with Melaleuca armillaris or Melaleuca alternifolia oils presented similar behavior, both presented high weight loss / membrane erosion (physical process involving diffusion and dissolution)60 compared to NaCMC gel (p <0.05). The absence of swelling would be due to the hydrophobic character of the gels containing oil.41,61 The NaCMC gel presented high gel fraction, indicating that it has more effective crosslinking than the samples with oil, although phase separation could also result in high crosslinking.62 The oils seem to interfere with the interaction between NaCMC and CA molecules, which could result in plasticizer effect. Nevertheless, the oils might have some affinity with NaCMC groups, which was indicated by FTIR analysis (as mentioned before, The NaCMC band at 1223 cm-1 is slightly displaced to low wavenumber in the presence of melaleuca oils, indicating physical interaction between NaCMC and the oils).43

 


Figure 4. (a) Swelling analysis of the samples and (b) gel fraction and weight loss of the samples

 

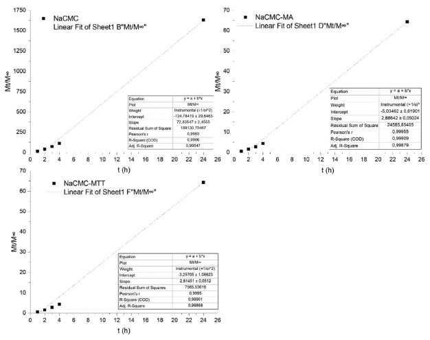
The gels swelling ability diminished with the addition of the melaleuca oils. A similar effect was observed in NaCMC-summer savory essential oil samples, where the hydrophobicity of essential oils increased the samples' surface contact angle (the NaCMC-essential oils surfaces were more hydrophobic).63 The samples swelling degree was evaluated according to the release kinetics mechanism, since small molecules release and swelling ability of gels could obey the same kinetic mechanism.64 The dominant mechanism of swelling was evaluated by the Peppas-Sahlin method.32 The gels presented high contribution of relaxation mechanism and low contribution of Fickian diffusion regarding the swelling capacity, independent of the sample's composition.32 In addition, since the equilibrium of swelling degree occurred until 24 h, when applying the values of k1 and k2 of the samples to these swelling degrees, the R2 of all samples analysis was R2 = 0.99, indicating that relaxation mechanism was dominant,32,65Figure 5.

 


Figure 5. Swelling degree kinetics analysis of NaCMC, NaCMC-MA and NaCMC-MTT samples

 

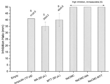
The inhibition of the oils (compared to ampicillin) was evaluated in duplicate using two inoculum of S. aureus66 The oils inhibition values (halos) were classified sensitive (the inhibition halos were superior to 29 mm), Figure 6. The inhibition of ampicillin and of the oils were superior to the one tabulated.66 Melaleuca alternifolia oil showed higher S. aureus inhibition than ampicillin. This oil could disturb the permeability of the bacteria membranes,67,68 probably due to terpenes, e.g. terpinen-4-ol, which usually induce changes in the cellular permeability.38 Melaleuca armillaris oil (MA) presented a satisfactory result compared to ampicillin,66 however it was not as effective as Melaleuca alternifolia oil (MTT).

 


Figure 6. Samples' inhibition halos of S. aureus

 

The bacteria count on gels samples were not performed due to the non-formation of inhibition halos, Figure 6. All samples showed high activity against S. aureus. According to Wong and Ramli,69 pages 374 and 375, "The S. aureus is a facultative anaerobic bacterium. Its growth in folds could be inhibited by compression force or acidity incurred by bacterial metabolites and/or waste products instead of oxygen tension.", which explains how the polymer can act toward bacteria69 Nonetheless, all samples were crosslinked with citric acid, which also has antimicrobial properties. The effect of citric acid on S. aureus organisms is detailed by Al-Rousan et al.,70 page 65, "the antimicrobial activity of an organic acid depends on its pKa value and thus, they are more active under acidic conditions because of the presence of a higher proportion of the organic acid in the undissociated form, which can pass through the bacterial membrane and cause a reduction in internal cell pH following the dissociation of hydrogen ions." Therefore, incorporation of melaleuca oils in such matrices would require further evaluation based on healing effects, which were not considered in this study. Since melaleuca oils present monoterpenes in their composition, these oils might be antioxidant and stimulate wound healing.28 Future works might focus on the gels healing and antioxidant properties. According to the ISO 4730, the melaleuca oil should contain at least 5% of α-Terpinene, 0.5% of Limonene, 0.5% of p-Cymene, 10% of γ-Terpinene, 1.5% of Terpinolene, 30% of Terpinen-4-ol, and 1.5% of α-Terpineol to reach proper quality,71 substances that might contribute to the oil's antioxidant activity.72 Chitosan membranes loaded with tea tree (melaleuca) oil applied on rats wounds showed high granulation tissue, angiogenesis and hair folicles compared to the control.28 Melaleuca oil healing properties might be related to its anti-inflammatory, antimicrobial and antioxidant characteristics.73

 

CONCLUSIONS

The evaluated melaleuca oils present high values of (1,8-cineol/terpinen-4-ol), which result in antimicrobial properties against S. aureus. Regarding the structure of the gels, the crosslinking of sodium carboxymethyl cellulose with citric acid and the physical interactions between NaCMC and the melaleuca oils were found. When immersed in saline solution, the samples presented erosion, which was high in the samples that have oils, since the oils interfere with the polymer crosslinking. There was physical interaction between the components. The oils slightly displaced the samples' thermal degradation curve, specifically the main degradation step, toward elevated temperatures, and diminished the gel fraction and mechanical properties, showing that the oils might be found between the polymer chains and also interact with the matrix, anchoring the polymer chains. All gels, including those not having melaleuca oils, were active against S. aureus, meaning that the justification for incorporating the oils should not just be for antibacterial effect. Although melaleuca oils were active against S. aureus and CA was responsible for the NaCMC hydrogels activity, the incorporation of melaleuca oils in NaCMC gels was not reported previously. The present report indicates that NaCMC hydrogel may be a proper matrix for essential oils incorporation, nonetheless, it may be an initial contribution to this technology.

 

ACKNOWLEDGEMENTS

The authors thank professor G.B. McGuinness from the Dublin City University; professor M.C. Mancini from UFRRJ. O presente trabalho foi realizado com apoio do CNPq, Conselho Nacional de Desenvolvimento Científico e Tecnológico - Brasil, funding grant (405922/2016-7). The authors thank Fundação Carlos Chagas Filho de Amparo à Pesquisa do Estado do Rio de Janeiro - Brasil (FAPERJ). This study was financed in part by the Coordenação de Aperfeiçoamento de Pessoal de Nível Superior - Brasil (CAPES) - Finance Code 001.

 

REFERÊNCIAS

1. Parhi, R.; Adv. Pharm. Bull. 2017, 7, 515. [Crossref].

2. Kamel, S.; Ali, N.; Jahangir, K.; Shah, S. M.; El-Gendy, A. A.; Express Polym. Lett. 2008, 2, 758. [Crossref].

3. Kanikireddy, V.; Varaprasad, K.; Jayaramudu, T.; Karthikeyan, C.; Sadiku, R.; Int. J. Biol. Macromol. 2020, 164, 963. [Crossref].

4. Lopez, C. G.; Rogers, S. E.; Colby, R. H.; Graham, P.; Cabral, J. T.; J. Polym. Sci., Part B: Polym. Phys. 2015, 53, 492. [Crossref].

5. Kono, H.; Oshima, K.; Hashimoto, H.; Shimizu, Y.; Tajima, K.; Carbohydr. Polym. 2016, 146, 1. [Crossref].

6. Kanafi, N. M.; Rahman, N. A.; Rosdi, N. H.; Mater. Today Proc. 2019, 7, 721. [Crossref].

7. Sharratt, W. N.; Lopez, C. G.; Sarkis, M.; Tyagi, G.; O'Connell, R.; Rogers, S. E.; Cabral, J. T.; Gels 2021, 7, 44. [Crossref].

8. Badry, R.; Ezzat, H. A.; El-Khodary, S.; Morsy, M.; Elhaes, H.; Nada, N.; Ibrahim, M.; J. Mol. Struct. 2021, 1224, 129013. [Crossref].

9. Wang, S.; Kuang, X.; Li, B.; Wu, X.; Huang, T.; J. Appl. Polym. Sci. 2013, 127, 612. [Crossref].

10. Juncu, G.; Stoica-Guzun, A.; Stroescu, M.; Isopencu, G.; Jinga, S. I.; Int. J. Pharm. 2016, 510, 485. [Crossref].

11. Ghorpade, V. S.; Yadav, A. V.; Dias, R. J.; Mali, K. K.; Pargaonkar, S. S.; Shinde, P. V.; Dhane, N. S.; Int. J. Biol. Macromol. 2018, 118, 783. [Crossref].

12. Silva, V. C.; Silva, A. M. G. S.; Basílio, J. A. D.; Xavier, J. A.; do Nascimento, T. G.; Naal, R. M. Z. G.; del Lama, M. P.; Leonelo, L. A. D.; Mergulhão, N. L. O. N.; Maranhão, F. C. A.; Silva, D. M. W.; Owen, R.; Duarte, I. F. B.; Bulhões, L. C. G.; Basílio, I. D.; Goulart, M. O. F.; Molecules 2020, 25, 5811. [Crossref].

13. Yeo, C. K.; Vikhe, Y. S.; Li, P.; Guo, Z.; Greenberg, P.; Duan, H.; Tan, N. S.; Chan-Park, M. B.; ACS Appl. Mater. Interfaces 2018, 10, 20356. [Crossref].

14. Ali, N. H.; Amin, M. C. I. M.; Ng, S.-F.; J. Biomater. Sci., Polym. Ed. 2019, 30, 629. [Crossref].

15. Akalin, G. O.; Pulat, M.; J. Nanomater. 2018, 2018, 1. [Crossref].

16. Başer, K. H. C.; Buchbauer, G.; Handbook of Essential Oils. Science, Technology and Applications; 2009.

17. Assadian, O.; Arnoldo, B.; Purdue, G.; Burris, A.; Skrinjar, E.; Duschek, N.; Leaper, D. J.; Int. Wound J. 2015, 12, 351. [Crossref].

18. Brandelero, R. P. H.; Almeida, F. M. de; Alfaro, A.; Quim. Nova 2015, 38, 877. [Crossref].

19. Kavoosi, G.; Bordbar, Z.; Dadfar, S. M.; Dadfar, S. M. M.; J. Appl. Polym. Sci. 2017, 134, 45351. [Crossref].

20. Negut, I.; Grumezescu, V.; Grumezescu, A.; Molecules 2018, 23, 2392. [Crossref].

21. Vieira, T. R.; Barbosa, L. C. A.; Maltha, C. R. A.; Paula, V. F.; Nascimento, E. A.; Quim. Nova 2004, 27, 536. [Crossref].

22. Silva, C. J.; Barbosa, L. C. A.; Maltha, C. R. A.; Pinheiro, A. L.; Ismail, F. M. D.; Flavour Fragr. J. 2007, 22, 474. [Crossref].

23. Brophy, J. J.; Craven, L. A.; Doran, J. C.; Melaleucas: their botany, essential oils and uses; 2013.

24. Assmann, C. E.; Cadoná, F. C.; Bonadiman, B. da S. R.; Dornelles, E. B.; Trevisan, G.; da Cruz, I. B. M.; Biomed. Pharmacother. 2018, 103, 1253. [Crossref].

25. Low, W. L.; Martin, C.; Hill, D. J.; Kenward, M. A.; Int. J. Antimicrob. Agents 2011, 37, 162. [Crossref].

26. Catanzano, O.; Straccia, M. C.; Miro, A.; Ungaro, F.; Romano, I.; Mazzarella, G.; Santagata, G.; Quaglia, F.; Laurienzo, P.; Malinconico, M.; Eur. J. Pharm. Sci. 2015, 66, 20. [Crossref].

27. Storan, E. R.; Nolan, U.; Kirby, B.; Contact Dermatitis 2016, 74, 309. [Crossref].

28. Labib, R. M.; Ayoub, I. M.; Michel, H. E.; Mehanny, M.; Kamil, V.; Hany, M.; Magdy, M.; Moataz, A.; Maged, B.; Mohamed, A.; PLoS One 2019, 14, e0219561. [Crossref].

29. Dharmalingam, K.; Anandalakshmi, R.; Int. J. Biol. Macromol. 2019, 134, 815. [Crossref].

30. Onaciu; Munteanu; Moldovan; Moldovan; Berindan-Neagoe; Pharmaceutics 2019, 11, 432. [Crossref].

31. Taylor, R. .; Schultz, J. S.; Handbook of Chemical and Biological Sensors; CRC Press, 1996.

32. Peppas, N. A.; Sahlin, J. J.; Int. J. Pharm. 1989, 57, 169. [Crossref].

33. Bauer, A. W.; Kirby, W. M. M.; Sherris, J. C.; Turck, M.; Am. J. Clin. Pathol. 1966, 45, 493. [Crossref].

34. CLSI; Clin. Lab. Stand. Inst. 2005, 25, 1.

35. Halcon, L.; Milkus, K.; Am. J. Infect. Control 2004, 32, 402. [Crossref].

36. Chabir, N.; Romdhane, M.; Valentin, A.; Moukarzel, B.; Marzoug, H. N. B.; Brahim, N. B.; Mars, M.; Bouajila, J.; J. Med. Food 2011, 14, 1383. [Crossref].

37. Farag, R. S.; Shalaby, A. S.; El-Baroty, G. A.; Ibrahim, N. A.; Ali, M. A.; Hassan, E. M.; Phytother. Res. 2004, 18, 30. [Crossref].

38. Pazyar, N.; Yaghoobi, R.; Bagherani, N.; Kazerouni, A.; Int. J. Dermatol. 2013, 52, 784. [Crossref].

39. Chen, J.; Duan, H.; Pan, H.; Yang, X.; Pan, W.; Int. J. Biol. Macromol. 2019, 128, 700. [Crossref].

40. Ghorpade, V. S.; Yadav, A. V.; Dias, R. J.; Carbohydr. Polym. 2017, 164, 339. [Crossref].

41. Namazi, H.; Rakhshaei, R.; Hamishehkar, H.; Kafil, H. S.; Int. J. Biol. Macromol. 2016, 85, 327. [Crossref].

42. Bhowmik, M.; Dharmalingam, K.; Halder, S.; Muthukumar, P.; Anandalakshmi, R.; J. Appl. Polym. Sci. 2022, 139, 51607. [Crossref].

43. Pereira dos Santos, E.; Nicácio, P. H. M.; Coêlho Barbosa, F.; Nunes da Silva, H.; Andrade, A. L. S.; Lia Fook, M. V.; de Lima Silva, S. M.; Farias Leite, I.; Materials (Basel). 2019, 12, 2223. [Crossref].

44. Tankeu, S.; Vermaak, I.; Kamatou, G.; Viljoen, A.; Phytochem. Anal. 2014, 25, 81. [Crossref].

45. Gallart-Mateu, D.; Largo-Arango, C. D.; Larkman, T.; Garrigues, S.; de la Guardia, M.; Talanta 2018, 189, 404. [Crossref].

46. Rytwo, G.; Zakai, R.; Wicklein, B.; J. Spectrosc. 2015, 2015, 1. [Crossref].

47. Lin, D.; Zheng, Y.; Wang, X.; Huang, Y.; Ni, L.; Chen, X.; Wu, Z.; Huang, C.; Yi, Q.; Li, J.; Qin, W.; Zhang, Q.; Chen, H.; Wu, D.; Int. J. Biol. Macromol. 2020, 165, 1241. [Crossref].

48. Mali, K. K.; Dhawale, S. C.; Dias, R. J.; Dhane, N. S.; Ghorpade, V. S.; Indian J. Pharm. Sci. 2018, 80, 657. [Crossref].

49. Salama, H. E.; Abdel Aziz, M. S.; Sabaa, M. W.; Int. J. Biol. Macromol. 2019, 139, 1162. [Crossref].

50. Muktar, M. Z.; Bakar, M. A. A.; Amin, K. A. M.; Che Rose, L.; Wan Ismail, W. I.; Razali, M. H.; Abd Razak, S. I.; in het Panhuis, M.; Polymers (Basel) 2021, 13, 3281. [Crossref].

51. Capanema, N. S. V.; Mansur, A. A. P.; de Jesus, A. C.; Carvalho, S. M.; de Oliveira, L. C.; Mansur, H. S.; Int. J. Biol. Macromol. 2018, 106, 1218. [Crossref].

52. Kavousi, H. R.; Fathi, M.; Goli, S. A. H.; Int. J. Food Prop. 2017, 1. [Crossref].

53. Benhalima, T.; Ferfera-Harrar, H.; Int. J. Biol. Macromol. 2019, 132, 126. [Crossref].

54. Thomas, L. V.; Arun, U.; Remya, S.; Nair, P. D.; J. Mater. Sci. Mater. Med. 2009, 20, 259. [Crossref].

55. Hossieni-Aghdam, S. J.; Foroughi-Nia, B.; Zare-Akbari, Z.; Mojarad-Jabali, S.; Motasadizadeh, H.; Farhadnejad, H.; Int. J. Biol. Macromol. 2018, 107, 2436. [Crossref].

56. Liandra de Andrade de Siqueira, G.; Lazzarotto, M.; Fernandes, M.; da Silveira, A. C.; Rosa da Silveira Lazzarotto, S.; da Silva Carvalho Filho, M. A.; Lacerda, L. G.; Luiz De Queiroz, D.; Gomes Miguel, O.; Braz. J. Therm. Anal. 2016, 5, 1. [Crossref].

57. Damasceno, E.; Almeida, R.; Carvalho, S.; Vieira, S.; Mano, V.; Guimarães, L.; Quim. Nova 2019, 43, 16. [Crossref].

58. Souza, V. G. L.; Pires, J. R. A.; Rodrigues, C.; Rodrigues, P. F.; Lopes, A.; Silva, R. J.; Caldeira, J.; Duarte, M. P.; Fernandes, F. B.; Coelhoso, I. M.; Fernando, A. L.; Coatings 2019, 9, 700. [Crossref].

59. Noshirvani, N.; Ghanbarzadeh, B.; Gardrat, C.; Rezaei, M. R.; Hashemi, M.; Le Coz, C.; Coma, V.; Food Hydrocoll. 2017, 70, 36. [Crossref].

60. Engineer, C.; Parikh, J.; Raval, A.; Trends Biomater. Artif. Organs 2011, 25, 79.

61. Hu, D.; Qiang, T.; Wang, L.; Wound Med. 2017, 16, 15. [Crossref].

62. Duan, J.; Jiang, J.; Int. J. Polym. Sci. 2017, 2017, 1. [Crossref].

63. Abdollahi, M.; Damirchi, S.; Shafafi, M.; Rezaei, M.; Ariaii, P.; Int. J. Biol. Macromol. 2019, 126, 561. [Crossref].

64. Lee, P. I.; J. Control. Release 1985, 2, 277. [Crossref].

65. Pinho, E.; Calhelha, R. C.; Ferreira, I. C. F. R.; Soares, G.; Polym. Adv. Technol. 2019, 30, 863. [Crossref].

66. Clinical and Laboratory Standards Institute (NCCLS); Performance Standards for Antimicrobial Susceptibility Testing; Fifteenth Informational Supplement, 2005.

67. Cox, S. D.; Mann, C. M.; Markham, J. L.; Bell, H. C.; Gustafson, J. E.; Warmington, J. R.; Wyllie, S. G.; J. Appl. Microbiol. 2001, 88, 170. [Crossref].

68. Hammer, K. A.; J. Antimicrob. Chemother. 2004, 53, 1081. [Crossref].

69. Wong, T. W.; Ramli, N. A.; Carbohydr. Polym. 2014, 112, 367. [Crossref].

70. Al-Rousan, W. M.; Olaimat, A. N.; Osaili, T. M.; Al-Nabulsi, A. A.; Ajo, R. Y.; Holley, R. A.; Food Microbiol. 2018, 73, 61. [Crossref].

71. ISO 4730:2004(E); Int. Stand. 2004, 1.

72. Yasin, M.; Younis, A.; Javed, T.; Akram, A.; Ahsan, M.; Shabbir, R.; Ali, M. M.; Tahir, A.; El-Ballat, E. M.; Sheteiwy, M. S.; Sammour, R. H.; Hano, C.; Alhumaydhi, F. A.; El-Esawi, M. A.; Plants 2021, 10, 2105. [Crossref].

73. Zawawi, W. F. A. W. M.; Azahari, F. A. S. M.; Azhari, H.; Jemon, K.; In-Vivo Wound Healing Activity of Melaleuca Essential Oil-Based Cream, Semantic Scholar, 2017, available at https://www.utm.my/ipsb/files/2017/08/IN-VIVO-WOUND-HEALING-ACTIVITY-OF-MELALEUCA-ESSENTIAL.pdf, accessed at May 2022.

On-line version ISSN 1678-7064 Printed version ISSN 0100-4042
Qu�mica Nova
Publica��es da Sociedade Brasileira de Qu�mica
Caixa Postal: 26037 05513-970 S�o Paulo - SP
Tel/Fax: +55.11.3032.2299/+55.11.3814.3602
Free access

GN1