JBCS



14:54, sáb out 25

Acesso Aberto/TP



Revisão


Norbornadieno: Síntese e Aplicações
Norbornadiene: Synthesis and Applications

Anni C. S. Gomes; Antonio J. Demuner*; Bryan N. S. Pinto; Elson S. Alvarenga

Departamento de Química, Universidade Federal de Viçosa, 36570-900 Viçosa - MG, Brasil

Recebido em: 08/01/2022
Aceito em: 25/04/2022
Publicado em: 18/05/2022

Endereço para correspondência

*e-mail: ademuner@ufv.br

RESUMO

Bicyclo[2.2.1]hepta-2,5-diene or norbornadiene (NBD) is a bicyclic hydrocarbon molecule used in many fields of chemistry since its first synthesis in 1950. NBD is the precursor of Aldrin, an agrochemical that was commonly used as an insecticide until the end of the XX century. Norbornadiene is capable of interconverting into its isomer, quadricyclane (QC), by the incidence of ultraviolet light. After that, the QC can release heat to return to the initial stage of NBD. To increase the energy efficiency and to enable the reaction to occur at the solar light, chemists have synthesized a wide variety of NBD derivatives. Papers in more than seventy years have studied and reported the physical and chemical properties of those compounds and their applications as rocket fuel, solar energy cell, homogeneous catalysis, and agrochemicals published between 1950 and 2021. Even computational chemistry has been used to investigate the NBD derivatives synthetic routes, elucidation, and application. In addition, this review describes other applications of norbornadiene.

Palavras-chave: norbornadiene; cage compounds; photochemistry; agrochemical.

INTRODUÇÃO

O biciclo[2.2.1]hepta-2,5-dieno (1) é um alqueno de sistema dieno homoalílico,1,2 reportado pela primeira vez na década de 1950 como composto químico sintético.3-5A semelhança estrutural desse biciclo com o borneol (1a), produto natural encontrado em plantas na ilha de Bornéu, no sudeste da Ásia,3 tornou essa molécula conhecida como norbornadieno (NBD) (Figura 1). O NBD e seus derivados sintéticos podem ser obtidos através da reação de Diels-Alder entre o ciclopentadieno e um alquino substituído.6

 


Figura 1. Estrutura química do norbornadieno e do borneol

 

Um dos primeiros relatos da utilização do NBD (1) ocorreu ainda na década de 1950 como precursor do inseticida aldrin (2). Tal agroquímico, pertencente ao grupo dos organoclorados, foi amplamente utilizado na década de 1950 para controle de insetos do solo, principalmente cupins.7,8 A síntese desse pesticida (2) foi realizada através de duas reações de Diels-Alder subsequentes (Esquema 1). A primeira etapa consistiu na formação do norbornadieno (1), seguida da obtenção do aldrin (2). O mecanismo de ação do aldrin (2), quando em contato com os insetos, consiste na sua oxidação levando à formação do composto tóxico dieldrin (3) (Esquema 1).

 


Esquema 1. Síntese do aldrin e a oxidação para o dieldrin7

 

Apesar da vasta utilização do aldrin (2) como inseticida, os problemas de toxicidade provenientes de sua utilização, levaram a sua proibição no mercado. Mesmo após mais de meio século de sua proibição, ainda é possível encontrar resquícios do inseticida no meio-ambiente, tamanha sua capacidade de persistência. Para enfrentar esse problema, muitas pesquisas foram realizadas visando entender o mecanismo de degradação do aldrin (2) e seus subprodutos.9-11 Um estudo teórico de decomposição de dieldrin (3) foi realizado e verificou-se que ocorre, inicialmente, uma retro Diels-Alder com formação do hexaclorociclopentadieno e óxido de norbornadieno.9 A elevada energia de ativação necessária para ocorrer a primeira etapa dessa reação é a causa para a persistência desse composto no meio ambiente, por anos. A etapa subsequente corresponde à decomposição do óxido de NBD, que ocorre a baixas temperaturas.

Desde a sua descoberta, o NBD (1) vem sendo utilizado com diversas aplicações, destacando-se ao longo dos anos como uma molécula de grande interesse científico, com características únicas como: alta simetria, estrutura molecular diferenciada e elevada reatividade.1,12 Assim, este trabalho tem como objetivo abordar as principais aplicações deste biciclo e seus derivados. Os tópicos tratados como aplicações do norbornadieno envolvem: Reações fotoquímicas, Química teórica, Precursor de novos compostos, Polímeros, Líquidos hipergólicos e Agroquímicos.

 

APLICAÇÕES DO NORBORNADIENO

Reações fotoquímicas

Uma das principais características do NBD (1) envolve sua capacidade de armazenar energia. Sob a influência da luz, NBD (1) é interconvertido no seu isômero, tetraciclo[3.2.0.02,7.04,6]heptano ou quadriciclano (QC) (4) (Esquema 2), através de reação de cicloadição [2+2].13-17 Nessa reação fotoquímica, a energia liberada pode ser captada, permitindo a utilização do norbornadieno (1) como uma célula voltaica.

 


Esquema 2. Formação do QC (4) a partir do norbornadieno (1)

 

A descoberta desse fato foi desafiadora, pois inicialmente, os cientistas associavam erroneamente o potencial de armazenamento de energia ao QC (4), embora não soubessem sua rota sintética. Cristol e Snell,18 relatam em seu trabalho que ao submeter o ácido norbornadieno-2,3-dicarboxílico (5) à presença da radiação ultravioleta, observou-se a interconversão desta molécula no ácido quadriciclano-2,3-dicarboxílico (6) (Esquema 3).

 


Esquema 3. Transformação do ácido norbornadieno-2,3-dicarboxílico em ácido quadriciclano-2,3-dicarboxílico na presença de luz ultravioleta

 

A conversão de NBD (1) à QC (4) é termodinamicamente desfavorável, pois o produto dessa reação (QC) é uma molécula altamente tensionada (78,7 kcal/mol), devido aos dois anéis de três membros e um anel de quatro membros presentes em sua estrutura molecular. O alívio dessa tensão anelar do quadriciclano (4) ocorre com liberação de energia ao meio na forma de calor.19,20 Esse é o processo chave para a utilização do norbornadieno como célula voltaica.15,21,22 Portanto, enquanto a reação de produção do QC (4), (reação de conversão) é endotérmica, o processo inverso é exotérmico (-89,3 kJ mol-1).23,24 Quando essa energia é liberada, produzindo novamente o NBD (1), ela pode ser captada para convertê-la em energia química.20,25,26

A principal vantagem da utilização do norbornadieno (1) como uma célula voltaica reside na sua segurança em evitar reações indesejadas. A grande parte dos combustíveis utilizados para esse fim é submetida a uma série de reações químicas, envolvendo múltiplas etapas, contendo uma variedade de espécies moleculares, como rearranjos e/ou transferências de elétrons, as quais podem levar facilmente a reações colaterais, indesejáveis e de difícil controle. Assim, como alternativa a esses problemas, a busca de sistemas de armazenamento de energia, que apresentam isomerização, permitindo a conversão de energia armazenada em uma única molécula, tem sido o alvo de muitas pesquisas nos últimos anos.27

A luz solar não é suficiente para realizar a interconversão do norbornadieno (1) em QC (4), pois essa reação ocorre somente na presença de radiação ultravioleta, o que limita a utilização do norbornadieno (1). A fim de aumentar a utilização desses compostos, trabalhos têm focado em reações de derivados do norbornadieno (1) com a adição de grupos substituintes cromóforos à ligação dupla, com o objetivo de possibilitar a interconversão fotoquímica na região do espectro do visível para esse grupo de moléculas.14,20 Vários grupos substituintes são adicionados com a finalidade de formar um sistema ideal para conversão e armazenamento de energia, levando à formação do sistema de armazenamento de Energia Térmica Molecular (do inglês, Molecular Solar Thermal - MOST). As principais características desse sistema são: (I) absorção das moléculas na região do espectro do visível; (II) alto rendimento quântico para a fotoisomerização; (III) elevada densidade de armazenamento de energia; (IV) alta estabilidade cinética do fotoisômero metaestável e (VI) alta ciclabilidade.15,28

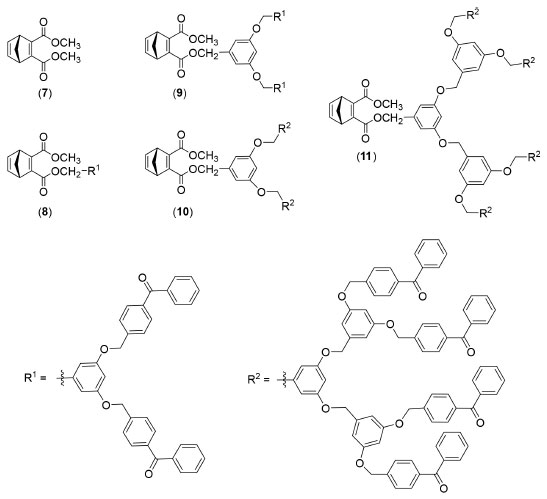
Os estudos sobre compostos orgânicos que apresentam os requisitos para um sistema MOST têm ganhado destaque nos últimos anos.22,29-31 Nesse sentido, uma reação com uma série de dendrímeros utilizando benzofenona e NBD 1,4-substituídos foi realizada.32 O aumento da extensão da conjugação buscava elevar o comprimento de onda máximo de absorção (λmáx) dos compostos. Nesse trabalho, os pesquisadores sintetizaram cinco derivados do NBD (7-11, Figura 2), cujo sistema de conjugação foi aumentado gradativamente, sendo em seguida analisadas as propriedades fotofísicas e fotoquímicas desses compostos.

 


Figura 2. Derivados do norbornadieno (NBD) contendo grupos cromóforos

 

A hipótese de formação desses compostos não foi confirmada, pois o aumento do λmáx não foi diretamente proporcional ao aumento do número de grupos cromóforos, sendo verificada somente elevação da intensidade de absorção.32 Os compostos obtidos não atenderam aos objetivos dos autores, visto que seus valores de λmáx chegaram próximos de 360 nm - não sendo ideais para um sistema MOST, além de apresentarem baixos valores de rendimento quântico de conversão. Em outro trabalho, ao se utilizar a mesma estratégia na obtenção de novos derivados do NBD, foram obtidos resultados similares.33 Mesmo adicionando porções triazólicas ao norbornadieno (1) não foram obtidos compostos com alteração nos máximos de absorção.34

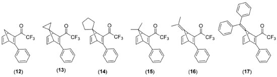
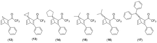
Na busca do sistema MOST, todas as posições possíveis de substituição foram estudadas. Alguns trabalhos indicaram influência da ponte no máximo de absorção dos compostos, além do fato de ter uma relação direta com o tempo de meia vida do isômero QC (4).30 Uma gama de substituições na ponte (posição 7, Figura 3) foi realizada e a conclusão foi que a adição de grupos alquílicos menores está associada à uma módica melhora do λmáx e ao aumento da estabilidade térmica do QC (4).35 Apesar disso, a adição de grupos volumosos para formar os compostos 16 e 17 (Figura 3), apresentou melhores resultados em relação ao máximo de absorção. Como desvantagem, os grupos volumosos facilitaram a degradação desses compostos em temperaturas próximas a 25 ºC, inviabilizando suas aplicações. Em suma, pode ser observado que à medida que a substância atinge maiores máximos de absorções o tempo de meia vida diminui.30

 


Figura 3. Variação na substituição da posição C7 de derivados de norbornadieno

 

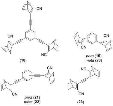
A síntese de compostos contendo duas ou três unidades de um NBD é outra possibilidade para obtenção de moléculas que podem absorver na região do visível. A síntese desse tipo de composto é visada devido à maior quantidade de NBD presente nas estruturas.36 Em busca de alcançar tais sistemas, foram sintetizados compostos com duas ou três unidades de derivados de NBD (18-23, Figura 4)37 inspirados nas moléculas produzidas anteriormente por Quant et al.15

 


Figura 4. Compostos com duas ou três unidades de derivados de norbornadieno

 

Manso et al.,37 verificaram que substituições na posição para fornecem valores de absorbância maiores devido à conjugação linear entre o cromóforo e o NBD, proporcionando um extenso sistema de conjugação quando comparado com compostos meta-substituídos.32 Os compostos contendo duas ou três unidades de NBD (1) apresentaram absorções semelhantes, contudo o composto contendo três unidades de NBD (1) proporcionou maior absortividade molar. Os autores realizaram teste de ciclabilidade dos compostos 19 e 21 em seus máximos de absorção. Foram obtidos 71 ciclos para o composto 21 com taxa de decomposição de 0,16% por ciclo a 50 ºC. Já para o derivado 19 foram obtidos 12 ciclos com decomposição de 0,11% por ciclo a 70 ºC. Dessa maneira, os resultados mostraram que a decomposição de ambas as moléculas 19 e 21 é baixíssima, como almejado. Outro ponto relatado pelos pesquisadores refere-se às densidades de energia calculadas para os compostos, as quais excederam o valor calculado para o precursor (300 kJ/kg), destacando o seu potencial de aplicação molecular futura.

Compostos heterocíclicos catiônicos também são utilizados em associação ao NBD (1), uma vez que apresentam valores de absorção superiores aos hidrocarbonetos. Os derivados sintetizados por Bren et al.17 apresentam absorção máxima em 580 nm, valor próximo ao desejável para um sistema MOST. Entretanto, esses sistemas catiônicos não se adequam como candidatos para sistema de absorção de energia solar, uma vez que são degradados até mesmo em baixos níveis de umidade (24-26, Esquema 4).

 


Esquema 4. Degradação de compostos catiônicos

 

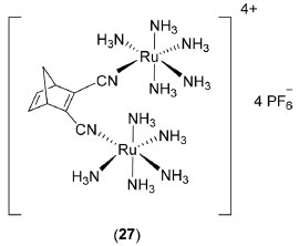
Em 1996, foi sintetizado um derivado de NBD com absorção máxima de 700 nm.38 O composto é um complexo de rutênio (II) com o norbornadieno-2,3-dicarbonitrila (27, Figura 5). Apesar da sua absorção máxima desejada, o composto apresentou rendimento quântico aquém do esperado e uma elevada complexidade sintética.

 


Figura 5. Complexo de 2,3-dicianonorbornadieno Rutênio(II) (27)

 

Alguns derivados de NBD encontrados na literatura estão relacionados na Tabela 1, juntamente com seus máximos de absorção, rendimento quântico e tempo de meia vida.

 

 

Química teórica

Uma das principais linhas de pesquisa para a aplicação do norbornadieno (1) está relacionada com a sua utilização para a produção de células fotovoltaicas. Para auxiliar o desenvolvimento dessa importante área, pesquisas em química computacional com o NBD (1) têm sido desenvolvidas ao longo dos anos.14,16,28,42 O estudo teórico desse sistema é uma maneira "simplificada" de se encontrar o sistema MOST mais próximo ao ideal e aplicá-lo, posteriormente, à síntese real desses compostos.

Estudos teóricos em torno do mecanismo de isomerização foram realizados com o objetivo de elucidar a rota de transformação fotoquímica para obtenção de análogos desse sistema com grande potencial para geração de energia.19,21

Dentro desse contexto, foram investigados os parâmetros teóricos de absorção de energia referentes a diferentes substituições nas posições dos carbonos C1, C2 e C7 (Figura 1) na molécula do NBD (1), com a adição de grupos doadores ou retiradores de elétrons.13 Os resultados demonstraram que a posição C2 foi a posição de substituição que apresentou os melhores efeitos. Desse modo, grupos retiradores de elétrons em tal posição mostraram-se promissores para aplicações futuras na obtenção de células fotovoltaicas.

Outro estudo teórico propôs o encapsulamento do NBD (1) com o fulereno, resultando em compostos endofulerenos.43 Esse estudo de encapsulamento foi realizado utilizando cálculos computacionais de teoria do funcional da densidade (Density Functional Theory, DFT) levando em consideração dois aspectos: o tamanho da gaiola de encapsulamento (C70, C80, C90, C100 e C120) e a interferência termodinâmica da reação de isomerização. Os autores verificaram que, quando encapsulado, o isômero QC (4) torna-se mais estável do que o NBD (1). Todavia, tais dados teóricos ainda precisam ser confirmados por dados experimentais. Por fim, os autores ressaltaram a dificuldade para a síntese de compostos orgânicos encapsulados, uma vez que não há relatos na literatura sobre obtenção de endofulerenos em ausência de íon ou metal.

Além dos trabalhos referentes à utilização dos derivados de norbornadieno (1) como energia renovável, podemos citar o estudo teórico de análise da estrutura de ligações, apesar de ainda ser um tema pouco explorado.42-47

Precursor de novos compostos

Devido à sua estrutura única e alta reatividade, o NBD (1) é utilizado como um bloco construtor para síntese de novos compostos.48,49 O NBD (1) apresenta um comportamento único com a finalidade de rearranjo fotoquímico di-π-metano.50 Essa característica permite que o NBD (1) se associe a outras moléculas orgânicas para formar ciclopentadienos, 2,2-bipiridinas, compostos cíclicos, polímeros etc.

Como já mencionado, a síntese do norbornadieno e seus derivados ocorre através de uma reação de Diels-Alder entre o ciclopentadieno e alquinos. A reação contrária, conhecida como retro Diels-Alder, é considerada como um método de síntese para a obtenção do ciclopentadieno, útil na área de síntese orgânica e na química organometálica.51,52 Nas reações de retro Diels-Alder, a utilização de norbornadienos substituídos na presença de 1,2,4,5-tetrazina-3,6-dicarboxílico (DET) é um método conhecido para a obtenção de ciclopentadieno.48,53 Nessa síntese, pode haver a formação dos isômeros 1,5-H e/ou 1,3-H substituído (Esquema 5).

 


Esquema 5. Métodos de obtenção de ciclopentadienos

 

Dalkılıç e Daştan48 investigaram os fatores que influenciam as reações de obtenção de ciclopentadieno e constataram que a regiosseletividade está diretamente associada à substituição do NBD (1). Naquele trabalho, os autores verificaram que a substituição com grupos doadores de elétrons necessita de baixas temperaturas e apenas o produto 1,5-H dissubstituído foi obtido nessas condições. Foi demonstrado que condições mais drásticas são necessárias para a obtenção de ciclopentadienos substituídos provenientes de NBD substituídos com grupos retiradores de elétrons. Nesse caso, uma mistura de isômeros de ciclopentadienos é obtida. Outro fato relevante nesse tipo de reação é que o norbornadieno pode ser usado como intermediário de reação na síntese de bipiridinas.54-56 Bipiridinas são empregadas em muitas áreas, por exemplo: ligantes de coordenação;57,58 química supramolecular;59 materiais sensores de luminescência60 e materiais ópticos não-lineares.61 A síntese desses compostos contendo duas unidades de piridina é realizada a partir de 1,2,4-triazinas, juntamente com um aza-dienófilo, como o NBD (1), fornecendo altos rendimentos em baixo tempo reacional.

As reações de cicloadição são amplamente usadas para a obtenção de compostos orgânicos covalentes, em especial a formação de compostos cíclicos. Tais compostos, comumente encontrados em produtos naturais, são fisiologicamente ativos, a exemplo dos anéis com quatro membros.62 Por apresentarem diversas características físico-químicas de interesse farmacológico, substâncias cíclicas são modelos para a descoberta de novas drogas, tendo destaque os compostos que apresentam ciclobutano. No ramo da síntese orgânica, esses compostos são importantes intermediários reacionais para clivagem ou expansão do anel. A síntese de compostos que contém anéis de quatro membros é rara, necessitando de irradiação de luz63 ou ácidos de Lewis.64 Um método para a síntese desses compostos foi desenvolvido utilizando o organocatalisador N-oxil-2,2,6,6-tetrametilpiperidina (TEMPO).65 Nesse trabalho, a associação do catalisador com a molécula de NBD levou à formação de compostos tricíclicos com o ciclobutano funcionalizado em sua estrutura. Os pesquisadores verificaram as condições reacionais desse tipo de sistema e concluíram que a utilização de NBD substituído com grupos muito volumosos diminui o rendimento reacional. Ainda nesse trabalho, os autores demonstraram que a adição do co-catalisador azabisisobutironitrila (AIBN) elevou os rendimentos da reação. A reação estudada está representada no Esquema 6, enquanto o mecanismo proposto pelos autores está representado no Esquema 7.

 


Esquema 6. Cicloadição intermolecular [2+2] de ésteres de NBD catalisada por TEMPO

 

 


Esquema 7. Mecanismo proposto para a cicloadição intermolecular [2+2] de ésteres de NBD catalisada por TEMPO

 

Compostos fulerênicos vêm despertando grande interesse dos químicos por apresentarem aplicações práticas e promissoras, como no uso de semicondutores em sistemas orgânicos solares, assim como o NBD (1).43,66 Diante desses fatos, a reação entre o fulereno C60 e norbornadienos-2,3-dissubstituídos foi realizada para avaliar o efeito de substituintes na posição 3 do norbornadieno sobre a fotoisomerização e o rendimento quântico.66 Inicialmente, a síntese dispõe de uma reação de Diels-Alder para a formação do NBD substituído com grupo aldeído (Esquema 8). Em seguida, o grupo de interesse foi reduzido e esterificado. A última etapa envolve a adição do fulereno C60 pela reação de Bingel-Hirsch. Os derivados sintetizados são híbridos do NBD, fulereno e ácido malônico, com extensa conjugação. Nesse trabalho, os autores não investigaram os parâmetros de absorção dos compostos obtidos nem seus rendimentos quânticos.

 


Esquema 8. Rota sintética dos metanofulerenos contendo norbornadieno dissubstituído

 

O HCTD (heptaciclo[6.6.0.02,6.03,13.04,11.05,9.010,14]tetradecano) (38) é um composto cíclico de gaiola, no qual todos os carbonos fazem parte de uma estrutura de anéis de cinco membros fundidos.67 Por apresentarem uma elevada complexidade, a síntese do HCTD (38) e seus derivados é desafiadora, sendo que os primeiros trabalhos sobre essa síntese apresentavam rendimentos baixíssimos.68 Geralmente, o NBD (1) é o material de partida utilizado na síntese dos HCTD (38). Ao final do século XX, o surgimento de novos catalisadores de rutênio permitiu que essa reação fosse realizada com rendimentos aceitáveis. Foi averiguado que um dos motivos para o baixo rendimento na síntese do HCTD (38) anteriormente reportado, estava relacionado à obtenção de misturas de isômeros de compostos contendo duas unidades do NBD (1), como por exemplo o de meia gaiola, PCTD (pentaciclo[6.6.0.02,6.03,13.010,14]tetradeca-4,11-dieno) (39). Mitsudo et al.,69 em sua pesquisa com novos catalisadores de rutênio (Esquema 9) (como o Ru(1-2:5-6-η-cicloctadieno)(1-6-η-ciclooctatrieno), também conhecido como [Ru(cod)(cot)]), observaram a influência do solvente utilizado na reação ante a proporção de HCTP (38) e PCDT (39) obtidos. Solventes como tetraidrofurano (THF) e dimetilformamida (DMF) favorecem a obtenção de PCTD (39) com rendimentos na faixa dos 90%, contra rendimentos de menos de 5% para o HCTD (38). Em contrapartida, ao utilizar dimetilsulfóxido (DMSO), o rendimento do HCTD (38) aumenta para a casa dos 65%, e o rendimento do PCTD (39) cai para valores próximos a 23%.

 


Esquema 9. Reação catalítica para a formação de HCTD (38) e PCTD (39)

 

Lim e Dong70 avaliaram a influência de catalisadores e da substituição da ponte metilênica nas reações de obtenção de HCTD (38). A estratégia adotada para a formação de HCTD substituídos pode ser modificada para a obtenção de novos derivados de HCTD (Esquema 10). Os autores relatam que a substituição na ponte influencia diretamente o rendimento reacional e a adição de grupos muito volumosos afetam negativamente o rendimento. Derivados de HCTD são formados em bons rendimentos pela ciclodimerização de NBD substituídos por t-BuO e OTBS no carbono 7. No entanto, NBD com o grupo substituinte OBn apresentou baixo rendimento, devido à coordenação do grupo fenila com o catalizador de rutênio. O uso de tolueno como co-solvente dificultou a complexação do grupo fenila do substrato NBD com o rutênio, resultando em aumento de rendimento.

 


Esquema 10. Formação de HCTD substituídos

 

Conforme mencionado anteriormente, o NBD (1) pode ser utilizado como etapa chave na construção de uma grande quantidade de compostos cíclicos. Com esse intuito, Vázquez-Romero et al.71 utilizaram o NBD (1) em conjunto com o trimetilsililacetileno como reagentes de partida na reação de Pauson-Khand de forma enantiosseletiva, utilizando o ligante quiral N-benzil-N-difenilfosfina-tert-butil-sulfonamida, para formar a ciclopentenona (47). Posteriormente a ciclopentenona (47) foi utilizada para a síntese dos produtos naturais (-)-abacavir (48a) e (-)-carbovir (48b) (Esquema 11).

 


Esquema 11. Síntese do (-)-abacavir (48a) e (-)-carbovir (48b) a partir do NBD (1)

 

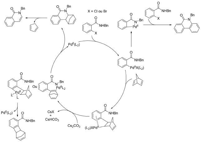
Diversos produtos farmacêuticos e produtos naturais contêm grupos indólicos.54,72 Diante do grande interesse nesse grupo de moléculas, Thansandote et al.73 propuseram a síntese de derivados indólicos do NBD utilizando complexo de paládio como catalisador (Esquema 12). Os produtos foram obtidos com rendimentos de 51 a 98%. O método de síntese proposto pelos autores fornece uma nova rota altamente eficiente para sintetizar indóis ou isoquinolinonas substituídos com o mecanismo envolvendo complexo de Paládio (Esquema 13).

 


Esquema 12. Derivados indólicos de NBD

 

 


Esquema 13. Reação de formação derivados indólicos e proposta de seu ciclo catalítico

 

O ciclo catalítico inicia com Pd(0) que é formado in situ a partir de Pd(OAc)2. Após a adição oxidativa do substrato para formar uma espécie de Pd(II), duas vias são possíveis. Carbopaladação com norbornadieno ocorre para fornecer os indóis ou isoquinolinonas substituídos. Na presença de uma base, o hidrogênio da amida ou da posição orto do anel aromático é abstraído para formar um anel de sete ou cinco membros, respectivamente. O anel de sete membros elimina paládio para formar o aduto com o norbornadieno que elimina ciclopentadieno para formar isoquinolinonas. O anel de cinco membros sofre eliminação redutiva para fornece o anel de quatro membros.73

A expansão do anel de NBD (1) é uma proposta utilizada para a formação de 2-azabiciclo[3.2.1]octadienos, frequentemente encontrados em alcaloides.49 A metodologia que utiliza NBD (1) é recorrente na literatura pela facilidade de obtenção de NBD funcionalizados e, consequentemente, os 2-azabiciclo[3.2.1]octano. Porém, a regiosseletividade da reação ainda não é bem definida, sendo possível a formação de até quatro produtos diferentes (Esquema 14).

 


Esquema 14. Utilização do NBD (1) para obtenção de compostos com anéis de sete membros

 

Emelda e Bergmeier49 descreveram diferentes condições reacionais para entender a regiosseletividade da reação de formação de 2-azabiciclo[3.2.1]octadienos. Os autores investigaram diferentes substituições no anel de NBD (1) envolvendo grupos doadores e retiradores de elétrons. Naquele trabalho, foi constatado que a produção de compostos monossubstituídos com grupos doadores de elétrons gera apenas um regioisômero, com rendimento de 50%. Quando a substituição ocorre com grupos retiradores de elétrons uma mistura é obtida e os rendimentos reacionais diminuem drasticamente. Os compostos dissubstituídos, por sua vez, apresentam uma melhor regiosseletividade e rendimentos de 33 a 98%, dependendo da substituição do anel. Portanto, os autores concluíram que a regiosseletividade está diretamente relacionada ao tipo de substituição do NBD (1).

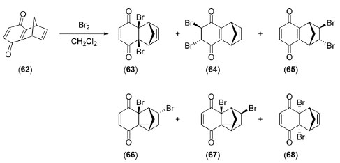
A reação de bromação de alquenos é um assunto de grande relevância em síntese orgânica, devido à capacidade do bromo em formar produtos trans. Entretanto, a bromação de sistemas rígidos, como o norbornadiendo e benzonorbornadieno, apresenta particularidades e os rendimentos dos compostos formados têm influência direta da temperatura.74 Dentro desse contexto, Essiz et al.75 estudaram a reação de bromação e epoxidação de NBD fundido com a benzoquinona (62). A reação de bromação de 62 foi realizada em cinco temperaturas (-78, -50, 0, 25, 77 ºC) e avaliada, tanto experimentalmente quanto por cálculos teóricos de química computacional, em relação à regiosseletividade dos produtos formados. Os autores obtiveram seis produtos dessa bromação, sendo a proporção de rendimento entre eles grandemente influenciada pela temperatura da reação (Esquema 15). Temperaturas mais elevadas favoreceram a formação dos produtos 63 e 64, ao passo que temperaturas mais baixas favoreceram os compostos 65, 66 e 67. A molécula 68 apresenta traços de 1% ou menos em todas as temperaturas avaliadas. A Tabela 2 apresenta o rendimento das moléculas 63-68 em relação a temperatura empregada durante a síntese.75

 

 

 


Esquema 15. Bromação do NBD fundido com a benzoquinona (62)

 

Para a reação de epoxidação do NBD fundido à benzoquinona (62) conduzida à temperatura ambiente, Essiz et al.75 utilizaram os agentes epoxidantes, ácido meta-cloroperbenzóico (m-CPBA) e dimetildioxirano (DMDO). Devido à presença de três duplas ligações C-C na molécula 62, era esperado que a epoxidação formasse até seis produtos, dado que a molécula 62 possui faces diastereotópicas e o grupo epóxi poderia atacar de ambos os lados das duplas ligações. Independentemente do agente epoxidante utilizado, a síntese levou apenas a epoxidação da dupla ligação C2-C3, original do NBD (1), resultando na formação de dois produtos, sendo o produto exo (69) o majoritário e o produto endo (70) o minoritário (Esquema 16). Ao estudar essa reação com ferramentas da química computacional, os dados teóricos obtidos apontam que apenas esses dois produtos poderiam ser formados nessa epoxidação. Os cálculos teóricos demonstram que, para a reação realizada em diclorometano, a energia de ativação para a epoxidação da ligação dupla C2-C3 é de 14,0 e 15,9 kcal/mol para o produto exo (69) e endo (70) respectivamente, enquanto para as demais duplas ligações - não obstante a orientação do grupo epóxi no produto final - é superior a 22 kcal/mol, o que desfavorece fortemente a formação de tais produtos. Sendo assim, os resultados dos cálculos teóricos vão ao encontro dos resultados obtidos experimentalmente.

 


Esquema 16. Epoxidação do NBD fundido com a benzoquinona (62)

 

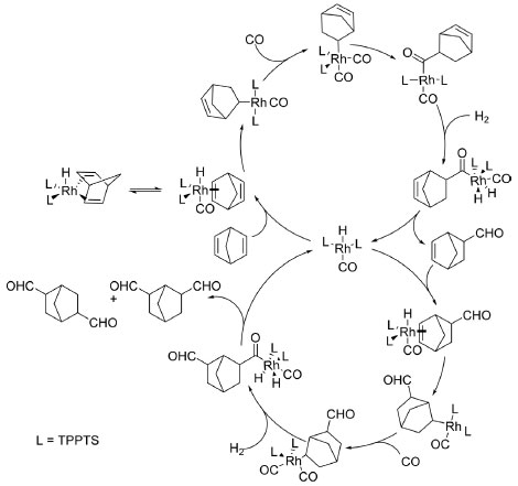
O NBD (1) também foi utilizado para a melhor compreensão da reação de hidroformilação,2,76 que apresenta grande importância prática para a indústria. Os produtos dessa reação, além de serem utilizados na síntese de plásticos e fármacos, também se destacam na indústria de química fina.77 A estrutura do NBD permitiu a formação de produtos mono e diformilas (Esquema 17), cuja proposta mecanística foi descrita por Yang et al.2

 


Esquema 17. Reação de hidroformilação do NBD (1)

 

Esse mecanismo de hidroformilação do NBD (1) foi realizado utilizando HRh(CO)(TPPTS)3 (TPPTS: sal trissódico de tri(m-sulfonilfenil)fosfina), como catalisador (Esquema 18). Os autores testaram diferentes condições reacionais, na presença e ausência de surfactantes, além de verificar a reciclagem da solução aquosa utilizada para reação. Os resultados indicaram uma alta seletividade na formação do dialdeído em condições brandas e baixos tempos reacionais. A presença de surfactantes de cadeia longa exerce um pequeno efeito sobre a reação, e a fase aquosa pode ser reutilizada até seis vezes sem a perda de eficiência do catalisador.2

 


Esquema 18. Ciclo catalítico proposto para a reação de hidroformilação do NBD (1)

 

Outra área de pesquisa que vem se destacando é a utilização de derivados triazólicos de NBD como receptores aniônicos. Essa aplicação vem se destacando nos últimos anos e as unidades aromáticas e compostos rígidos vêm sendo amplamente utilizados na síntese de hospedeiros aniônicos. Assim, compostos como o NBD (1) e norborneno (NBE, 74) são candidatos em potencial para esse estudo. Haridas et al.78 sintetizaram uma série de compostos (Figura 6) contendo unidades de amida-triazol de NBD (1) e NBE (74) e obtiveram respostas colorimétricas sobre alguns íons. Os autores verificaram que a planaridade e rigidez do norbornadieno o tornam incapaz de gerar estrutura capturadora de alguns ânions. Os autores sugeriram que derivados de NBE (74), por serem menos maleáveis, são mais adequados para esse fim, corroborados por estudos de modelagem. Além disso, esses receptores híbridos peptídeo-triazol são excelentes sensores colorimétricos para a detecção de ânions a olho nu.

 


Figura 6. Compostos sintetizados testados como receptores aniônicos

 

Polímeros

Os polímeros de NBD apresentam uma gama de aplicações fotoquímicas.79-81 A polimerização de olefinas cíclicas por metátese por abertura de anel (Ring-opening metathesis polymerization, ROMP) é um método eficiente para a síntese de polímeros e copolímeros, além da obtenção de materiais poliméricos com estruturas complexas e funcionalizadas.80,82 O ROMP é uma polimerização de coordenação, na qual ocorre deformação anelar na olefina polimerizada, com liberação de energia, que é a força motriz da reação. De modo geral, as poliolefinas apresentam alto peso molecular, além de ser uma classe importante de termoplásticos sintéticos.

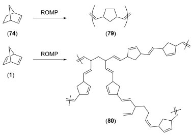
As olefinas NBD (1) e NBE (74) vêm se destacando nos últimos anos para a síntese de polímeros via ROMP (Esquema 19).82 A presença do NBD (1) como um agente reticulante altera as propriedades físicas do plástico, tais como estabilidade térmica, morfologia e fragilidade. Os polímeros de NBE (74) são termoplásticos, amorfos e dispostos de uma forma caótica.79,80,82 A síntese via ROMP de NBD (1) é menos favorável termodinamicamente quando comparada com a do NBE (74). Em muitos casos dessa síntese pode ocorrer a formação de uma ligação dupla de coordenação que envenena o complexo inicial ou as espécies catalisadoras da reação, impedindo a sua propagação.

 


Esquema 19. Formação de polímeros a partir do NBD (1) e NBE (74) via ROMP

 

Tendo conhecimento que NBD (1) e NBE (74), isolados, não são materiais poliméricos eficazes, a investigação da síntese desses polímeros é de suma importância, bem como a verificação da proporção dos precursores. Os catalisadores mais comuns nesse tipo de reação são complexos baseados em Rutênio-aminas. No entanto, esses complexos apresentam elevado impedimento estéreo, além de impedir a dupla coordenação do NBD, afetando negativamente o rendimento dos polímeros. Objetivando contornar esse problema, Ferraz et al.79 realizaram a polimerização do sistema NBD/NBE, catalisada por complexos do tipo [RuCl2(=CHPh)(PCy3)2]. Naquele trabalho, os autores verificaram que a reatividade das espécies de Ru(I) ocorre devido ao efeito eletrônico doador-σ e ao impedimento estéreo do PCy3 como ligante auxiliar. Esse fato também poderia justificar a melhor reatividade do NBD (1) em comparação com o NBE (74), que tem ligação direta com a morfologia que estes polímeros apresentam. Materiais poliméricos à base de NBD (1) apresentam poros muito pequenos. Em contrapartida, o tamanho dos poros aumenta quando NBE (74) é utilizado.79,80

Líquidos hipergólicos

Outro fato interessante associado ao NBD (1) está relacionado ao desenvolvimento de propulsores líquidos hipergólicos, que podem ser utilizados como combustível em foguetes, satélites e espaçonaves.23 Atualmente, a hidrazina e seus derivados metilados são utilizados para esse fim.81 Entretanto, esses compostos apresentam dificuldade de manuseio, já que são extremamente tóxicos e têm alto risco de explosão.83 Na busca de combustíveis hipergólicos, verificou-se que o QC (4) apresenta alta densidade 0,982 g mL-1, sendo um líquido incolor, inflamável, com temperatura de ebulição igual a 108 ºC e temperatura de fusão inferior a 40 ºC.23 Analisando a estrutura química do QC (4) verifica-se que, devido à alta tensão, a mesma possui energia de 44,35 MJ kg-1. Esse valor energético supera as médias estimadas para combustíveis para jatos, que atualmente utilizam exo-triciclo[5.2.1.0]decano, usualmente chamado de JP-10, com energia de 42,10 MJ kg-1.

Os primeiros relatos são de que o QC (4) possui um excelente poder combustível hipergólico apresentando pequeno tempo de atraso na ignição (ignition delay - ID) e alto impulso, ideal para aplicações práticas.23 Foram testadas combinações de oxidante e partículas coloidais energéticas, objetivando aumentar a energia de combustão. O tempo de ID do QC (4) e o oxidante N2O4 foi de 29 ms. A adição de partículas coloidais de boro reduziu o ID para 18 ms. Os resultados obtidos foram satisfatórios, pois para aplicações práticas de combustíveis hipergólicos deseja-se que o tempo ID não ultrapasse 50 ms. Além disso, os autores testaram a toxicidade do QC (4) por ingestão oral em coelhos. Satisfatoriamente, esse composto não ocasionou a morte de coelhos mesmo após 24 horas de exposição. Como desvantagem, os autores relataram que atualmente o preço de obtenção desse combustível é duas vezes maior do que os convencionais. Em contrapartida, QC (4) apresenta melhor propulsão e segurança em relação aos demais.

Devido a esta atividade potencial do QC (4), pesquisadores buscam desvendar quais são os fatores associados à pirólise desse composto.84-86 Nesse sentido, Wang et al.87 realizaram estudos referentes à pirólise do QC (4), incluindo um experimento a diferentes pressões, para agregar informações sobre a isomerização e pirólise do QC (4) sob alta pressão. Esse estudo permitiu o entendimento completo referente à cinética química e ao mecanismo da pirólise, acrescentando informações sobre o potencial de aplicação do QC (4) como combustível de alta densidade. Os autores verificaram que a cinética envolvida é de primeira ordem e, com base nos cálculos teóricos e nos resultados da pirólise, propuseram um mecanismo de decomposição do QC (4). A primeira etapa envolve a isomerização do QC (4) para o NBD (1). Essa reação ocorre de maneira rápida, sendo identificada antes de 598 K sob 1,0 Mpa, apresentando energia de ativação igual a 68,50 ± 5,95 kJ mol-1. Subsequentemente, ocorre a decomposição do NBD (1) por três vias principais:

I. Retro-Diels-Alder: Reação de formação do acetileno e do ciclopenta-1,3-dieno;

II. Isomerização em cicloepta-1,3,5-trieno;

III. Isomerização em tolueno, ocorrendo sob a pressão de 1,0-2,0 MPa.

Os autores relataram, através de cálculos das energias de ativação, a influência da pressão nas reações. A pressão foi diretamente proporcional à inibição da isomerização do QC (4) em NBD (1). Em contrapartida, as reações de isomerização do NBD (1) em cicloepta-1,3,5-trieno e tolueno são estimuladas com o aumento da pressão.

Agroquímicos

A busca por novos agroquímicos, mais seletivos e menos tóxicos, tem sido um tópico de interesse muito forte na ciência no século XXI. Dentro desse contexto, os compostos em forma de gaiola têm recebido especial atenção em função da sua estrutura molecular e potencialidade de interagir de forma específica com receptores biológicos, bem como sua capacidade de encapsular moléculas menores em seu interior.88-91

A síntese de compostos bicíclicos contendo anel lactônico foi realizada por nosso grupo de pesquisa visando à obtenção de novos inseticidas e herbicidas.88,89 As lactonas da Figura 7 foram sintetizadas pela reação de Diels-Alder entre ciclopentadieno e furan-2(5H)-ona. Os derivados com emprego de lactonas endo (81) e exo (82) foram preparados por reações de epoxidação, cloração, bromação, hidrogenação e abertura dos epóxidos com diferentes álcoois (Figura 8) sendo em seguida avaliados com relação à potencial atividade inseticida e herbicida.88-91

 


Figura 7. Estruturas das lactonas sintetizadas pela reação de Diels-Alder utilizadas como modelo para o preparo dos agroquímicos

 

Nos ensaios biológicos, os compostos mais ativos no controle de Diaphania hyalinata foram os obtidos a partir do aduto exo e os que contêm átomos de halogêneo em sua estrutura.92

Os compostos apresentados na Figura 8 foram avaliados in vitro com relação à potencial atividade herbicida. Todos os compostos apresentaram atividade herbicida sendo que 90, 99, 100, 101 e 102 foram os mais ativos contra plântulas de pepino (Cucumis sativus), sorgo (Sorghum bicolor), cebola (Allium cepa) e picão preto (Bidens pilosa). Esses resultados revelaram que norbornadienos representam uma boa plataforma estrutural para a descoberta de novos compostos com propriedades fitotóxicas.93-95

 


Figura 8. Compostos sintetizados e avaliados quanto a potencial atividade inseticida e herbicida

 

Em outro trabalho envolvendo reações de Diels-Alder, com dienófilos, foram obtidos derivados a partir da foto-oxidação do furfuraldeído 103 (Esquema 20).96

 


Esquema 20. Síntese dos compostos anti-endo (104), anti-exo (105) e sin-endo (106) a partir do furfuraldeído (103)

 

O substituinte ligado ao carbono γ da lactona α,β-insaturada exerce impedimento sobre uma das faces p, forçando o dieno a se aproximar do lado oposto do dienófilo tornando essa reação diasterosseletiva na maioria das situações. Quatro produtos podem ser formados nessa reação: dois adutos endo e dois adutos exo; podendo ser diferenciados também como anti e sin de acordo com a posição relativa do grupo substituinte do carbono γ com relação ao átomo de carbono adjacente. Nessa reação foram isolados os produtos anti-endo (104), anti-exo (105) e sin-endo (106) que foram caracterizados pelos métodos espectrométricos associados com cálculos computacionais dos deslocamentos químicos de ressonância magnética nuclear de hidrogênio e de carbono 13.96

O tratamento de alquenos com bromo (Br2) leva à adição dos átomos de bromo em faces opostas da ligação dupla na grande maioria dos casos (adição anti), fornecendo dibrometos vicinais. Entretanto, algumas exceções que levam a compostos cis foram observadas para alquenos com ligações duplas conjugadas com uma das faces impedidas ou que possuem uma conformação particular que possibilite a participação de outros grupos funcionais na reação de bromação.97

A obtenção do composto cis-dibromado (107) foi explicada por dois mecanismos diferentes (Esquema 21).97 Na proposta 1 o oxigênio do grupo acetil ataca o carbono C5 do íon bromônio. Em seguida, o íon brometo é direcionado para a face oposta àquela do grupo acetil levando à adição sin dos átomos de bromo formando o produto cis. Na proposta 2, o oxigênio da carbonila interage com o carbono C4 favorecendo a quebra da ligação C3a-C4 e a formação da ligação C3a-C5 sendo conhecido como rearranjo de Wagner-Meerwein.98 Ambos os mecanismos parecem contribuir para a formação do produto cis-dibromado em alto rendimento (91%), uma vez que Teixeira et al.94 obtiveram o produto cis-dibromado em 48% de rendimento a partir de uma ftalida similar não substituída.

 


Esquema 21. Mecanismo para formação do composto cis-bromado (107)

 

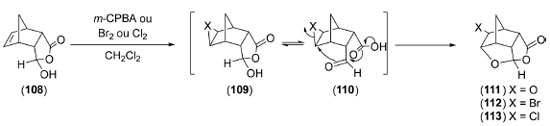
O mecanismo para formação dos compostos gaiola 111, 112 e 113 a partir de 108 é demonstrado no Esquema 22.99 Em seguida, será explicado o mecanismo usando 111 como exemplo, mas o mesmo mecanismo é válido para 112 e 113. Na primeira etapa ocorre a formação do epóxido na face exo para a formação do intermediário 109 (na formação dos compostos 112 e 113 são formados os intermediários bromônio e clorônio respectivamente). O intermediário 110 encontra-se em equilíbrio com o lactol 109. Quando o oxigênio da carbonila do ácido carboxílico ataca a carbonila do aldeído (109) para restituir a lactona, o oxigênio do aldeído ataca o carbono do epóxido (ou bromônio e clorônio no caso dos compostos 112 e 113 respectivamente) resultando na molécula 111.

 


Esquema 22. Mecanismo para formação do composto gaiola

 

A atividade inseticida dos análogos mostrados na Figura 9 foi avaliada contra as pragas D. hyalinata e Ascia monuste. As substâncias que apresentaram maior toxicidade em A. monuste foram 114, 115 e, em D. hyalinata, foram 114 e 118. Pequenas variações na dose dos compostos 118 e 121 promoveram maiores variações na mortalidade de A. monuste e D. hyalinata, respectivamente. Os compostos 114, 115, 118 e 121 apresentaram características importantes para atuarem como potenciais inseticidas, pois mataram as pragas rapidamente e não foram tóxicos contra o predador S. saevissima.97,99

 


Figura 9. Substâncias empregadas nos ensaios com Diaphania hyalinata e Ascia monuste

 

A atividade nematicida foi verificada sobre Meloidogyne incognita com derivados de norbornadieno obtidos pela síntese de etino com ácido maleico. Os resultados foram promissores.92,100

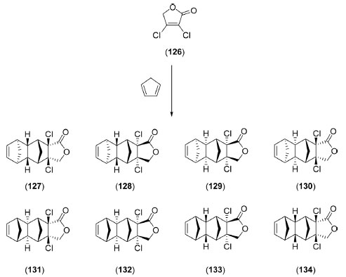
Tão importante quanto à síntese de novas moléculas é a sua correta elucidação. Para realizar tal tarefa, a química computacional tem sido utilizada nos últimos anos em conjunto com a espectroscopia de Ressonância magnética nuclear (RMN) para viabilizar e acelerar a elucidação de novas moléculas bioativas, como os agroquímicos. Por meio de cálculos de DFT e um conjunto de estruturas candidatas previamente estabelecidas pelo pesquisador, é possível obter uma série de dados de RMN teóricos, os quais podem ser comparados com os dados de RMN experimentais - utilizando métodos estatísticos, como o DP4, CP3 e MAE (mean absolute error) - a fim de se obter o melhor ajuste entre os dados experimentais e teóricos. Dessa forma, é possível obter a melhor estrutura candidata que se adequa aos dados experimentais.101,102 Dentro do contexto dos derivados de NBD, Resende et al.96 utilizaram cálculos de DFT, juntamente com espectros de RMN, para diferenciar três diastereoisômeros derivados do norbornadieno resultantes da reação entre ciclopentadieno e a lactona 126 à temperatura ambiente (Esquema 20). A análise demonstrou de forma inequívoca que os três diastereoisômeros formados eram o anti-endo (104), anti-exo (105) e syn-endo (106). Teixeira e Alvarenga94 utilizaram essa mesma metodologia para elucidação de isobenzofuranonas dibromadas.

Demonstrando a versatilidade do uso de cálculos de DFT para a elucidação de diastereoisômeros de derivados do NBD, Pinto et al.103 realizaram a síntese de um novo análogo de isobenzofuranonas utilizando uma rota sintética com duas reações de Diels-Alder em seguida (Esquema 23). Devido ao mecanismo da reação de Diels-Alder e as faces enantiotópicas dos reagentes, era possível a formação de até oito diastereoisômeros (127-134), contudo apenas um diastereoisômero foi isolado. Após a obtenção dos dados experimentais e teóricos de RMN, foi possível indicar a estrutura 130 como a estrutura correta para o produto dessa síntese.

 


Esquema 23. Oito possíveis produtos na reação de Diels-Alder entre a ciclopentadieno e a lactona 126

 

CONCLUSÕES

Este trabalho apresentou as principais aplicações do norbornadieno (1) como candidato em potencial no ramo de células fotovoltaicas até a utilização em reações anabólicas. Intermediário-chave na obtenção de diversas moléculas e macromoléculas, o NBD (1) é capaz de formar compostos com maiores espectros de ação e/ou com atividades superiores aos seus precursores. Norbornadieno (1) é uma molécula versátil, com diversas aplicações industriais, e a cada dia desperta o interesse dos pesquisadores para novas descobertas.

Este trabalho apresentou também a potencial aplicação dos norbornadienos e dos compostos gaiola como inseticidas e herbicidas.

 

AGRADECIMENTOS

Ao Conselho Nacional de Desenvolvimento Científico e Tecnológico (CNPq) pelo suporte financeiro e pela concessão das bolsas de pesquisa (AJD, ESA).

À Fundação de Amparo à Pesquisa de Minas Gerais (FAPEMIG) pelo suporte financeiro.

À Coordenação de Aperfeiçoamento de Pessoal de Nível Superior (CAPES) pela concessão da bolsa de doutorado (ACSG).

 

REFERÊNCIAS

1. Jensen, J. O.; J. Mol. Struct. THEOCHEM 2005, 715, 7. [Crossref]

2. Yang, X.; Liang, H.; Fu, H.; Zheng, X.; Yuan, M.; Li, R.; Chen, H.; Appl. Organomet. Chem. 2016, 30, 335. [Crossref]

3. Lennartson, A.; Roffey, A.; Moth-Poulsen, K.; Tetrahedron Lett. 2015, 56, 1457. [Crossref]

4. Plate, A. F.; Pryanishnikova, M. A.; Bull. Acad. Sci. USSR Div. Chem. Sci. 1956, 5, 753. [Crossref]

5. Hine, J.; Brown, J. A.; Zalkow, L. H.; Gardner, W. E.; Hine, M.; J. Am. Chem. Soc. 1955, 77, 594.

6. Orrego-Hernández, J.; Hölzel, H.; Quant, M.; Wang, Z.; Moth-Poulsen, K.; Eur. J. Org. Chem. 2021, 2021, 5337. [Crossref]

7. Matolcsy, G.; Nádasy, M.; Andriska, V.; Pesticide Chemistry; 1st ed.; Academiai Kiado: Budapest, 1988.

8. Dinda, M.; Chakraborty, S.; Kanti Si, M.; Samanta, S.; Ganguly, B.; Maiti, S.; Ghosh, P. K.; RSC Adv. 2014, 4, 54558. [Crossref]

9. Dharmarathne, N. K.; Mackie, J. C.; Lucas, J.; Kennedy, E. M.; Stockenhuber, M.; Proc. Combust. Inst. 2019, 37, 1143. [Crossref]

10. Nestorovska-Krsteska, A.; Zdravkovski, Z.; Int. J. Mol. Sci. 2006, 7, 35. [Crossref]

11. Geldenhuys, W. J.; Malan, S. F.; Bloomquist, J. R.; Marchand, A. P.; Van der Schyf, C. J.; Med. Res. Rev. 2005, 25, 21. [Crossref]

12. Nişancı, B.; Dalkılıç, E.; Güney, M.; Daştan, A.; Beilstein J. Org. Chem. 2009, 5, 4. [Crossref]

13. Edjlali, L.; Vessally, E.; Abbasian, M.; Russ. J. Phys. Chem. A 2011, 85, 816. [Crossref]

14. Brummel, O.; Waidhas, F.; Bauer, U.; Wu, Y.; Bochmann, S.; Steinrück, H.-P.; Papp, C.; Bachmann, J.; Libuda, J.; J. Phys. Chem. Lett. 2017, 8, 2819. [Crossref]

15. Quant, M.; Lennartson, A.; Dreos, A.; Kuisma, M.; Erhart, P.; Börjesson, K.; Moth-Poulsen, K.; Chem. Eur. J. 2016, 22, 13265. [Crossref]

16. Brummel, O.; Besold, D.; Döpper, T.; Wu, Y.; Bochmann, S.; Lazzari, F.; Waidhas, F.; Bauer, U.; Bachmann, P.; Papp, C.; Steinrück, H.-P.; Görling, A.; Libuda, J.; Bachmann, J.; ChemSusChem 2016, 9, 1424. [Crossref]

17. Bren, V. A.; Dubonosov, A. D.; Minkin, V. I.; Chernoivanov, V. A.; Russ. Chem. Rev. 1991, 60, 451. [Crossref]

18. Cristol, S. J.; Snell, R. L.; J. Am. Chem. Soc. 1958, 80, 1950. [Crossref]

19. Bauer, U.; Mohr, S.; Döpper, T.; Bachmann, P.; Späth, F.; Düll, F.; Schwarz, M.; Brummel, O.; Fromm, L.; Pinkert, U.; Görling, A.; Hirsch, A.; Bachmann, J.; Steinrück, H.-P.; Libuda, J.; Papp, C.; Chem. Eur. J. 2017, 23, 1613. [Crossref]

20. Spivack, K. J.; Walker, J. V.; Sanford, M. J.; Rupert, B. R.; Ehle, A. R.; Tocyloski, J. M.; Jahn, A. N.; Shaak, L. M.; Obianyo, O.; Usher, K. M.; Goodson, F. E.; J. Org. Chem. 2017, 82, 1301. [Crossref]

21. Dreos, A.; Wang, Z.; Tebikachew, B. E.; Moth-Poulsen, K.; Andréasson, J.; J. Phys. Chem. Lett. 2018, 9, 6174. [Crossref]

22. Dreos, A.; Börjesson, K.; Wang, Z.; Roffey, A.; Norwood, Z.; Kushnir, D.; Moth-Poulsen, K.; Energy Environ. Sci. 2017, 10, 728. [Crossref]

23. Pan, L.; Feng, R.; Peng, H.; E, X.; Zou, J.-J.; Wang, L.; Zhang, X.; RSC Adv. 2014, 4, 50998. [Crossref]

24. Oueslati, A.; Abdelhedi, I.; Mercier, R.; Drockenmuller, E.; Ben Romdhane, H.; J. Polym. Sci. Part A: Polym. Chem. 2013, 51, 4650. [Crossref]

25. Fang, J.; Liu, Q.; Guo, S.; Lei, J.; Energy Procedia 2018, 152, 1063. [Crossref]

26. Petersen, A. U.; Jevric, M.; Moth-Poulsen, K.; Eur. J. Org. Chem. 2018, 2018, 4465. [Crossref]

27. Vessally, E.; Aryana, S.; Russ. J. Phys. Chem. A 2016, 90, 136. [Crossref]

28. Kuisma, M.; Lundin, A.; Moth-Poulsen, K.; Hyldgaard, P.; Erhart, P.; ChemSusChem 2016, 9, 1786. [Crossref]

29. Jevric, M.; Petersen, A. U.; Mansø, M.; Kumar Singh, S.; Wang, Z.; Dreos, A.; Sumby, C.; Nielsen, M. B.; Börjesson, K.; Erhart, P.; Moth-Poulsen, K.; Chem. Eur. J. 2018, 24, 12767. [Crossref]

30. Jorner, K.; Dreos, A.; Emanuelsson, R.; El Bakouri, O.; Fdez. Galván, I.; Börjesson, K.; Feixas, F.; Lindh, R.; Zietz, B.; Moth-Poulsen, K.; Ottosson, H.; J. Mater. Chem. A 2017, 5, 12369. [Crossref]

31. Gray, V.; Lennartson, A.; Ratanalert, P.; Börjesson, K.; Moth-Poulsen, K.; Chem. Commun. 2014, 50, 5330. [Crossref]

32. Chen, J.; Li, S.; Zhang, L.; Liu, B.; Han, Y.; Yang, G.; Li, Y.; J. Am. Chem. Soc. 2005, 127, 2165. [Crossref]

33. Chen, J.; Chen, J.; Li, S.; Zhang, L.; Yang, G.; Li, Y.; J. Phys. Chem. B 2006, 110, 4663. [Crossref]

34. Miladi, I. A.; Mudraboyina, B. P.; Oueslati, A.; Drockenmuller, E.; Romdhane, H. Ben; J. Polym. Sci., Part A: Polym. Chem. 2014, 52, 223. [Crossref]

35. Dreos, A.; Wang, Z.; Udmark, J.; Ström, A.; Erhart, P.; Börjesson, K.; Nielsen, M. B.; Moth-Poulsen, K.; Adv. Energy Mater. 2018, 8, 1703401. [Crossref]

36. Mansø, M.; Tebikachew, B. E.; Moth-Poulsen, K.; Nielsen, M. B.; Org. Biomol. Chem. 2018, 16, 5585. [Crossref]

37. Mansø, M.; Petersen, A. U.; Wang, Z.; Erhart, P.; Nielsen, M. B.; Moth-Poulsen, K.; Nat. Commun. 2018, 9, 1945. [Crossref]

38. Lainé, P.; Marvaud, V.; Gourdon, A.; Launay, J. P.; Argazzi, R.; Bignozzi, C. A.; Inorg. Chem. 1996, 35, 711. [Crossref]

39. Hirao, K.; Ando, A.; Hamada, T.; Yonemitsu, O.; J. Chem. Soc. Chem. Commun. 1984, 300. [Crossref]

40. Maruyama, K.; Tamiaki, H.; Kawabata, S.; J. Org. Chem. 1985, 50, 4742. [Crossref]

41. Nagai, T.; Fujii, K.; Takahashi, I.; Shimada, M.; Bull. Chem. Soc. Jpn. 2001, 74, 1673. [Crossref]

42. Mu, W. H.; Fang, D.-C.; Xia, S. Y.; Cheng, R. J.; Chass, G. A.; Chem. Eur. J. 2016, 22, 15396. [Crossref]

43. Sabirov, D. S.; Terentyev, A. O.; Shepelevich, I. S.; Bulgakov, R. G.; Comput. Theor. Chem. 2014, 1045, 86. [Crossref]

44. Norberg, D.; Larsson, P.-E.; Salhi-Benachenhou, N.; Org. Biomol. Chem. 2006, 4, 4241. [Crossref]

45. Khoury, P. R.; Goddard, J. D.; Tam, W.; Tetrahedron 2004, 60, 8103. [Crossref]

46. Serhan, Z.; Aroulanda, C.; Lesot, P.; J. Phys. Chem. A 2016, 120, 6076. [Crossref]

47. Tebikachew, B. E.; Li, H. B.; Pirrotta, A.; Börjesson, K.; Solomon, G. C.; Hihath, J.; Moth-Poulsen, K.; J. Phys. Chem. C 2017, 121, 7094. [Crossref]

48. Dalkılıç, E.; Daştan, A.; Tetrahedron 2015, 71, 1966. [Crossref]

49. Emelda, N.; Bergmeier, S. C.; Tetrahedron Lett. 2008, 49, 5363. [Crossref]

50. Altundas, R.; Dastan, A.; Ünaldi, N. S.; Güven, K.; Uzun, O.; Balci, M.; Eur. J. Org. Chem. 2002, 2002, 526. [Crossref]

51. Betoré, M. P.; Casado, M. A.; García-Orduña, P.; Lahoz, F. J.; Polo, V.; Oro, L. A.; Eur. J. Inorg. Chem. 2016, 2016, 3489. [Crossref]

52. Almenara, N.; Ibarlucea, L.; Mendicute-Fierro, C.; Seco, J. M.; Rodríguez-Diéguez, A.; Garralda, M. A.; Huertos, M. A.; Dalton Trans. 2016, 45, 18502. [Crossref]

53. Warrener, R.; Harrison, P.; Molecules 2001, 6, 353. [Crossref]

54. Altuna-Urquijo, M.; Gehre, A.; Stanforth, S. P.; Tarbit, B.; Tetrahedron 2009, 65, 975. [Crossref]

55. Savchuk, M. I.; Starnovskaya, E. S.; Shtaitz, Y. K.; Kopchuk, D. S.; Nosova, E. V.; Zyryanov, G. V.; Rusinov, V. L.; Chupakhin, O. N.; Russ. J. Gen. Chem. 2018, 88, 2213. [Crossref]

56. Kozhevnikov, V. N.; Shabunina, O. V.; Kopchuk, D. S.; Ustinova, M. M.; König, B.; Kozhevnikov, D. N.; Tetrahedron 2008, 64, 8963. [Crossref]

57. Constable, E.; Coord. Chem. Rev. 1989, 93, 205. [Crossref]

58. Kaes, C.; Katz, A.; Hosseini, M. W.; Chem. Rev. 2000, 100, 3553. [Crossref]

59. Mamula, O.; Coord. Chem. Rev. 2003, 242, 87. [Crossref]

60. Keefe, M.; Benkstein, K. D.; Hupp, J. T.; Coord. Chem. Rev. 2000, 205, 201. [Crossref]

61. Maury, O.; Guégan, J. P.; Renouard, T.; Hilton, A.; Dupau, P.; Sandon, N.; Toupet, L.; Bozec, H. Le; New J. Chem. 2001, 25, 1553. [Crossref]

62. Fan, Y. Y.; Gao, X. H.; Yue, J. M.; Sci. China Chem. 2016, 59, 1126. [Crossref]

63. Xu, Y.; Smith, M. D.; Krause, J. A.; Shimizu, L. S.; J. Org. Chem. 2009, 74, 4874. [Crossref]

64. Hashimoto, T.; Kuzuyama, T.; Curr. Opin. Chem. Biol. 2016, 35, 117. [Crossref]

65. Kyokane, S.; Tanaka, Y.; Sei, Y.; Shiotsuki, M.; Tetrahedron Lett. 2017, 58, 4755. [Crossref]

66. Tuktarov, A. R.; Akhmetov, A. R.; Khuzin, A. A.; Dzhemilev, U. M.; J. Org. Chem. 2018, 83, 4160. [Crossref]

67. Zieliński, A.; Marset, X.; Golz, C.; Wolf, L. M.; Alcarazo, M.; Angew. Chem., Int. Ed. 2020, 59, 23299. [Crossref]

68. Bird, C. W.; Colinese, D. L.; Cookson, R. C.; Hudec, J.; Williams, R. O.; Tetrahedron Lett. 1961, 2, 373. [Crossref]

69. Mitsudo, T.; Suzuki, T.; Zhang, S. W.; Imai, D.; Fujita, K.; Manabe, T.; Shiotsuki, M.; Watanabe, Y.; Wada, K.; Kondo, T.; J. Am. Chem. Soc. 1999, 121, 1839. [Crossref]

70. Lim, H. N.; Dong, G.; Org. Lett. 2016, 18, 1104. [Crossref]

71. Vázquez-Romero, A.; Rodríguez, J.; Lledó, A.; Verdaguer, X.; Riera, A.; Org. Lett. 2008, 10, 4509. [Crossref]

72. Gupta, L.; Talwar, A.; Chauhan, P. M. S.; Curr. Med. Chem. 2007, 14, 1789. [Crossref]

73. Thansandote, P.; Hulcoop, D. G.; Langer, M.; Lautens, M.; J. Org. Chem. 2009, 74, 1673. [Crossref]

74. Tutar, A.; Taşkesenligil, Y.; Çakmak, O.; Abbasoǧlu, R.; Balci, M.; J. Org. Chem. 1996, 61, 8297. [Crossref]

75. Essiz, S.; Dalkilic, E.; Sari, O.; Dastan, A.; Balci, M.; Tetrahedron 2017, 73, 1640. [Crossref]

76. Dong, C.; Ji, M.; Yang, X.; Yao, J.; Chen, H.; J. Organomet. Chem. 2017, 833, 71. [Crossref]

77. Franke, R.; Selent, D.; Börner, A.; Chem. Rev. 2012, 112, 5675. [Crossref]

78. Haridas, V.; Bijesh, M. B.; Dhawan, S.; Shandilya, A.; Sens. Actuators, B 2017, 245, 903. [Crossref]

79. Ferraz, C. P.; Fonseca, L. R.; Tomazetti, V.; Silva, F. C. S.; Lima-Neto, B. S.; Carvalho, V. P.; New J. Chem. 2016, 40, 9424. [Crossref]

80. Fonseca, L. R.; Sá, J. L. S.; Carvalho, V. P.; Lima-Neto, B. S.; Polym. Bull. 2018, 75, 3705. [Crossref]

81. Oueslati, A.; Ben Romdhane, H.; Martin, V.; Schiets, F.; Mercier, R.; Chaâbouni, R.; J. Polym. Sci., Part A: Polym. Chem. 2011, 49, 1988. [Crossref]

82. Raptopoulos, G.; Kyriakou, K.; Mali, G.; Scarpellini, A.; Anyfantis, G.; Mavromoustakos, T.; Pitsikalis, M.; Paraskevopoulou, P.; Polymers 2017, 9, 141. [Crossref]

83. Zhang, Y.; Gao, H.; Joo, Y. H.; Shreeve, J. M.; Angew. Chem., Int. Ed. 2011, 50, 9554. [Crossref]

84. Hammond, G. S.; Turro, N. J.; Fischer, A.; J. Am. Chem. Soc. 1961, 83, 4674. [Crossref]

85. Striebich, R. .; Lawrence, J.; J. Anal. Appl. Pyrolysis 2003, 70, 339. [Crossref]

86. Wohlwend, K.; Maurice, L. Q.; Edwards, T.; Striebich, R. C.; Vangsness, M.; Hill, A. S.; J. Propuls. Power 2001, 17, 1258. [Crossref]

87. Wang, H.; Gong, S.; Wang, L.; Zhang, X.; Liu, G.; Fuel 2019, 239, 935. [Crossref]

88. Farias, E. S.; Silva, E. M. P.; Teixeira, M. G.; Ferreira, J. S.; Alvarenga, E. S.; Picanço, M. C.; J. Environ. Sci. Health, Part B 2018, 53, 49. [Crossref]

89. Teixeira, M. G.; Alvarenga, E. S.; Pimentel, M. F.; Picanço, M. C.; J. Braz. Chem. Soc. 2015, 26, 2279. [Crossref]

90. Resende, G. C.; Alvarenga, E. S.; Araújo, T. A.; Campos, J. N.; Picanço, M. C.; Pest Manage. Sci. 2016, 72, 1772. [Crossref]

91. Moraes, F. C.; Alvarenga, E. S.; Demuner, A. J.; Viana, V. M.; J. Mol. Struct. 2018, 1164, 109. [Crossref]

92. Demuner, A. J.; Alvarenga, E. S.; Gomes, A. C. S.; Buonicontro, D. S.; Fonseca, A. R.; BR PI 1020200018205, 2020.

93. Moraes, F. C.; Alvarenga, E. S.; Amorim, K. B.; Demuner, A. J.; Pereira-Flores, M. E.; Pest Manage. Sci. 2016, 72, 580. [Crossref]

94. Teixeira, M. G.; Alvarenga, E. S.; Magn. Reson. Chem. 2016, 54, 623. [Crossref]

95. Farias, E. S.; Araújo, T. A.; Resende, G. C.; Campos, J. N. D.; Pimentel, M. F.; Alvarenga, E. S.; Picanço, M. C.; Chem. Biodivers. 2019, 16, e1800557. [Crossref]

96. Resende, G. C.; Alvarenga, E. S.; Willoughby, P. H.; J. Mol. Struct. 2015, 1101, 212. [Crossref]

97. Resende, G. C.; Tese de doutorado, Universidade Federal de Viçosa, Brasil, 2006.

98. Moulay, S.; Chem. Educ. Res. Pract. 2002, 3, 33. [Crossref]

99. Resende, G. C.; Alvarenga, E. S.; Magn. Reson. Chem. 2016, 54, 968. [Crossref]

100. Gomes, A. C. S.; Demuner, A. J.; Alvarenga, E. S.; Gondim, J.; Fonseca, A.; Buonicontro, D. S.; Pilau, E.; Silva, E.; J. Braz. Chem. Soc. 2020, 31, 1805. [Crossref]

101. Costa, F. L. P.; Albuquerque, A. C. F.; Fiorot, R. G.; Lião, L. M.; Martorano, L. H.; Mota, G. V. S.; Valverde, A. L.; Carneiro, J. W. M.; Santos Junior, F. M.; Org. Chem. Front. 2021, 8, 2019. [Crossref]

102. Grimblat, N.; Sarotti, A. M.; Chem. Eur. J. 2016, 22, 12246. [Crossref]

103. Pinto, B. N. S.; Teixeira, M. G.; Alvarenga, E. S.; Magn. Reson. Chem. 2020, 58, 559. [Crossref]

On-line version ISSN 1678-7064 Printed version ISSN 0100-4042
Qu�mica Nova
Publica��es da Sociedade Brasileira de Qu�mica
Caixa Postal: 26037 05513-970 S�o Paulo - SP
Tel/Fax: +55.11.3032.2299/+55.11.3814.3602
Free access

GN1