JBCS



14:54, sáb out 25

Acesso Aberto/TP



Artigo


Extração de Corantes Têxteis Utilizando Sistemas Aquosos Bifásicos Compostos por 2-Propanol e Sais de Sulfato
Extraction of Textile Dyes Using Two-Phase Aqueous Systems Composed of 2-Propanol and Sulfate Salts

Juliana Gomes PimentelI; Olga Reinert Ramos GandolfiII; Vanessa Santos SampaioI; Lizzy Ayra Alcântara VeríssimoIII; Luciano Brito RodriguesIV; Cristiane Martins VelosoV; Rafael da Costa Ilhéu FontanIV; Renata Cristina Ferreira BonomoIV,*

I. Departamento de Ciências Exatas e Naturais, Universidade Estadual do Sudoeste da Bahia, 45700-000 Itapetinga - BA, Brasil
II. Laboratório de Engenharia de Processos, Universidade Estadual do Sudoeste da Bahia, 45700-000 Itapetinga - BA, Brasil
III. Departamento de Ciências de Alimentos, Universidade Federal de Lavras, 37200-000 Lavras - MG, Brasil
IV. Departamento de Tecnologia Rural e Animal, Universidade Estadual do Sudoeste da Bahia, 45700-000 Itapetinga - BA, Brasil
V. Departamento de Ciências Naturais, Universidade Estadual do Sudoeste da Bahia, 45083-900 Vitória da Conquista - BA, Brasil

Recebido em: 17/09/2021
Aceito em: 25/04/2022
Publicado em: 08/06/2022

Endereço para correspondência

*e-mail: bonomorcf@yahoo.com.br

RESUMO

Aqueous Two Phase Systems (ATPS) composed of 2-propanol + inorganic salt (Na2SO4/MgSO4) + water, at different temperatures T = (20, 30, 40 and 50) °C were applied in the partition studies of the textile dyes Yellow, Blue Royal and Red Dianix CC. The thermodynamic parameters of the free transfer energy (ΔGtr), enthalpy (ΔHtr) and entropy (ΔStr), respectively, were determined for dye partitioning, using the Van't Hoff equation. The values of the partition coefficients of textile dyes Yellow, Royal Blue and Red Dianix CC, ranged from 14.21 to 1610.00, 15.15 to 994.00 and 17.32 to 311.75, respectively; and with dye extraction yields ranging from 93.17 to 99.93; 94.53 to 99.89 and 97.19 to 99.64, respectively. Based on the ΔGtr results, it was verified that the dyes partition process was thermodynamically spontaneous, in all evaluated systems. For the 2-propanol + sodium sulfate ATPS, there was a prevalence of the enthalpic contribution over the entropic contribution (ΔHtr > ΔStr), while for the 2-propanol + magnesium sulfate systems, a greater predominance of the entropic contribution was observed (ΔHtr < ΔStr). The recovery yields (Y) values obtained were above 90% for all systems.

Palavras-chave: liquid-liquid extraction; partition; textile dyes; thermodynamic parameters; wastewaters.

INTRODUÇÃO

Os corantes sintéticos são extensivamente utilizados na indústria têxtil, gráfica, fotográfica, curtimento de couro, papel, plásticos, alimentos, cosméticos, impressão, entre outros, para a coloração de seus produtos.1

Os corantes azóico são comumente usados no setor têxtil por serem resistentes a biodegradação, à fotodegradação e à ação de agentes oxidantes.2,3 Contudo, durante o processamento de coloração têxtil, cerca de 10 a 15% de corantes azo são descartados nas correntes de efluentes.4,5 A maior preocupação com relação aos efluentes têxteis está associada aos produtos da degradação dos azocorantes, como aminas aromáticas que possuem alto poder carcinogênico e mutagênico,6-8 além da possível recuperação e reutilização de águas residuais pela indústria têxtil, devido à escassez de água limpa e atendimento a regulamentação cada vez mais rigorosa relativamente à sua descarga.9

Dessa forma, o desenvolvimento de técnicas alternativas com eficácia de remoção e custos estratégicos é uma prioridade no tratamento de corantes azóico contido nos efluentes,10,11 haja visto que os efluentes industriais tipicamente com substâncias incapazes de serem removidas pelos métodos convencionais de tratamento, devido à alta solubilidade e baixa biodegradabilidade, tais como os corantes têxteis, e regulamentados devidos sua alta toxicidade, necessitam atender aos regulamentos e aplicar assim tecnologias que reduzam a poluição antes da descarga.

Dentre as possíveis operações para extração de corantes têxteis destacam-se os métodos físicos de tratamento adsorção9,12 e as tecnologias de membranas,8 cujas desvantagens residem nos elevados custos operacionais e aplicados em processo que tem baixa concentração de poluentes.13

Uma técnica com potencial de substituição aos processos terciários de tratamento de efluentes têxteis, com potencial de recuperação dos corantes e das correntes de efluentes tratados é a extração líquido-líquido por Sistemas Aquosos Bifásicos (SAB). Os SAB podem ser reciclados e economicamente viáveis, envolvem tempos curtos de processamento e escalável para aplicação em processo industrial.1

Os SAB constituem um método efetivo para extração de solutos, cuja formação ocorre pela segregação dos componentes formadores dos SAB, geralmente dois componentes, sendo os mais comumente usados, polímero/sal, polímero/polímero, líquido iônico/sal e o mais recente álcool/sal. Dessa forma, a partir das interações entre os componentes formadores dos SAB, originam-se os diagramas de fases. Neles, há a construção da curva que divide região bifásica da monofásica, denominada curva binodal ou de equilíbrio. A partir dessa curva são denominadas as linhas de amarração (LA), que são retas que ligam os pontos no diagrama de fases em equilíbrio que caracterizam vários pontos da região bifásica do diagrama de fases. Dessa forma, o SAB caracteriza-se por ser um processo de separação de baixo custo, baixa ou nenhuma toxicidade e eficiente, permitindo atingir elevado grau de pureza e rendimento de recuperação.12,14

A utilização de SAB constituídos de álcool para a extração de corantes sintéticos têxteis começou a ser relatada recentemente por Wang et al.,15 que estudaram a separação de Rodamina B e Laranja de Metila em SAB constituídos de álcool (etanol, 1-propanol ou 2-propanol), sal (K2HPO4, K3C6H5O7 ou (NH4)3C6H5O7) e água.

SAB formados por álcool e sais inorgânicos para partição de corantes têxteis tornam-se interessantes, devido à afinidade dessas moléculas orgânicas por fase que também possui característica orgânica, além da busca por constituintes que sejam de baixo custo, com processo de recuperação simplificado e com o mínimo de degradação para o meio ambiente.12,16,17

O objetivo deste trabalho foi estudar o comportamento da partição dos corantes têxteis Amarelo, Azul Royal e Vermelho Dianix CC em SAB composto por 2-propanol + sal (Na2SO4/MgSO4) + água em diferentes temperaturas (20, 30, 40, 50) °C. Foram determinados o rendimento de extração (Y) dos corantes têxteis e avaliado o efeito do tipo de sal e da temperatura sobre o coeficiente de partição (K). A equação de Van't Hoff foi utilizada para a determinação dos parâmetros termodinâmicos de transferência variação da energia livre de Gibbs (ΔGtr), entalpia (ΔHtr) e entropia (ΔStr), para partição dos corantes nos sistemas avaliados.

 

PARTE EXPERIMENTAL

Materiais e métodos

Reagentes

Sulfato de magnésio e sulfato de sódio (Cinética, São Paulo, Brasil), 2-propanol (Fmaia, Minas Gerais, Brasil) foram utilizados. Os corantes usados foram o Amarelo Dianix CC, Azul Royal Dianix CC e o Vermelho Dianix CC (Dystar, São Paulo, Brasil). Todos os reagentes químicos forma utilizados sem purificação adicional. A água utilizada foi destilada.

Preparação das curvas de calibração

As soluções estoque dos corantes amarelo (100 mg L-1), azul royal (150 mg L-1) e vermelho Dianix CC (100 mg.L-1) foram preparados previamente com 2-propanol 5% (v/v). Por meio de uma varredura em espectrofotômetro (Biochrom Libra S70, UK) determinou-se o comprimento de onda em que cada corante absorveu o máximo de energia radiante (amarelo Dianix CC: 431 nm, azul royal Dianix CC: 624 nm e vermelho Dianix CC: 524 nm). As curvas de calibração foram construídas na faixa de concentração de 10 mg L-1 a 100 mg L-1 (amarelo Dianix CC), 10 mg L-1 a 150 mg L-1 (azul royal Dianix CC) e 10 mg L-1 a 100 mg L-1 (vermelho Dianix CC).

Experimento de partição

Para experimento de partição foram utilizados sistemas formados por Álcool Isopropílico + Sulfato de Sódio (Na2SO4) + água; Álcool Isopropílico + Sulfato de Magnésio (MgSO4) + água. Os diagramas de fase desses sistemas estão previamente descritos na literatura.18

Inicialmente, as soluções estoques de sulfato de magnésio (25% m/m) e sulfato de sódio (25% m/m) foram preparadas. Para obtenção dos sistemas com as concentrações determinadas por Pimentel et al.,18 foram calculadas as massas necessarias de 2-propanol, solução estoque do sal e agua para uma massa final de 50 g, de acordo com a concetração das soluçoes estoques. Os tubos foram agitados usando vortex seguido pela centrifugação a 4000 x g por 15 min para garantir a separação de fase completa e depois deixado em banho termostático (Tecnal TE-184, Brazil) na temperatura de trabalho pré-definida (20, 30, 40 e 50) °C por 24 h para que o equilíbrio fosse alcançado. Em seguida, as fases foram coletadas e os experimentos de partição foram realizados em tubos de centrífuga de 15 mL, usando 3 g das fases pré-equilibradas superior e inferior (a relação de fases foi fixada para evitar efeitos no coeficiente de partição devido a possíveis alterações nas propriedades extensivas das fases). Alíquotas de 200 µL da solução estoque dos corantes foram adicionadas aos tubos, posteriormente foram misturados em vortex por 2 min e centrifugados a 4000 x g por 15 minutos. Os tubos foram mantidos por 24 h na temperatura de estudo para que o equilíbrio fosse alcançado. Amostras das fases superior e inferior foram coletadas para determinação da concentração dos corantes.

Determinação da concentração dos corantes

A concentração total do corante foi determinada diretamente pelo método espectrofotométrico. A absorbância foi medida a 431 nm (amarelo Dianix CC), 624 nm (azul royal Dianix CC) e 524 nm (vermelho Dianix CC). Para evitar a interferência de componentes de fase, as amostras foram analisadas em relação a brancos contendo a mesma composição de fase, mas sem o corante têxtil.

Determinação dos parâmetros de extração

O coeficiente de partição do corante têxtil (K) foi calculado pela razão da concentração do corante têxtil (mg mL-1) na fase superior (CT) pela concentração na fase inferior (CB):

O rendimento de extração (Y) dos corantes foi determinado como a proporção dos corantes particionados na fase superior para a quantidade total de corantes no sistema, e expresso como porcentagem:

Termodinâmica da partição

Os coeficientes de partição foram determinados para quatro temperaturas. A partir dos valores de K, foi aplicada uma aproximação da equação de Van´t Hoff, d lnK/dT = ΔH/RT2 relacionando ln K com 1/T através de uma expressão polinomial, representada pela Eq. (3):

em que a, b e c são os parâmetros de ajuste da equação polinomial do gráfico ln K versus 1/T; K é coeficiente de partição. De acordo com Griffin et al.,7os três parâmetros a,b e c podem ser usados na Eq. (4), derivado das relações de Kirchoff:

Assim, pôde-se determinar a variação de entalpia de transferência, ΔHtr, associada ao processo de partição pela Eq. (5):

A variação da energia livre de Gibbs de transferência, ΔGtr, foi determinada a partir da Eq. (6):

E a entropia de transferência, ΔStr, determinada a partir da Eq. (7):

em cada ΔHtr denota a mudança de entalpia padrão (J mol-1) e ΔStr (J mol-1 K-1) denota a mudança da entropia padrão acompanhando o processo de partição.

Determinação da massa específica

A massa específica das fases foi determinada nas mesmas temperaturas de equilíbrio, utilizando-se um densímetro digital de bancada Anton Paar DMA-5000 (Anton-Paar, Graz, Áustria) com uma precisão de ± 5 × 10-6 g cm-3 e repetibilidade de + 1 × 10-6 g cm-3 na faixa de operação 0 a 3 g cm-3. A faixa de temperatura do equipamento é de 273,15 K a 363,15 K com uma precisão de + 0,01 K e repetibilidade de + 0,001 K.

 

RESULTADOS E DISCUSSÃO

Fatores que afetam a partição de corantes têxteis

Nas Tabelas 1 a 3, são apresentados os valores dos comprimentos das linhas de amarração (CLA); dos coeficientes de partição (K) e os valores de rendimento de extração (Y%) para os corantes têxteis, Amarelo Dianix CC, Azul Royal Dianix CC e Vermelho Dianix CC. Pode-se observar que todos os corantes particionaram para a fase superior, dos sistemas aquosos formados por 2-propanol + Na2SO4 + H2O e 2-propanol + MgSO4 + H2O nas temperaturas de estudo. Com o aumento do CLA, houve aumento do K para quase todos os sistemas. À medida que aumenta a composição das linhas de amarração (LA), a quantidade de álcool envolvido na separação dos corantes, Amarelo Dianix CC, Azul Royal Dianix CC e Vermelho Dianix CC, também aumenta, resultando em um maior coeficiente de partição. Portanto, quase todas as moléculas alvo podem ser recuperadas na fase rica em álcool. Esse processo de transferência de massa dos corantes para a fase superior dos SAB configura processo de salting-out. O mesmo é relatado no trabalho de Wang et al.15 em que se discuti os efeitos da concentração das substâncias formadoras de fase e da temperatura na formação dos SAB usados para extrair Rodamina B e laranja de metila em solução aquosa, assim como, nos estudos de Sanglard et al.19 também observaram que o aumento da composição das LA conduziu os experimentos, sob temperatura de 25 °C, para maiores valores do K e da eficiência de extração (EE), sob sistemas com álcoois, apresentando altos valores de partição do corante têxtil Remazol Brilhante Azul R para as fases ricas em álcoois.

 

 

 

 

 

 

Para que se possa entender melhor o comportamento de partição de solutos em SAB, devem-se compreender as interações intermoleculares que ocorrem no processo de transferência entre as fases, para que se possa discutir o fator que rege a partição de cada um desses corantes na fase rica em álcool. A diferença de potencial eletrostático entre as fases coexistentes, repulsão entrópica, e interações hidrofóbicas são fatores que afetam a partição das espécies em SAB. O corante é uma molécula hidrofóbica, que é devido ao grupo azo. Sua afinidade com a fase superior do sistema foi maior no sistema formado com sulfato de sódio, que é um sal mais hidrofóbico que o sulfato de magnésio. Considerando que ambos os sais deste trabalho possuem o mesmo ânion [(SO4)2-], o efeito salting-out observado entre os diferentes sais deve ser então determinado pela natureza dos cátions, [Na+] e [Mg2+]. Íons com densidades de carga mais altas tem maior capacidade de hidratação, ou seja, espera-se que íons duplamente carregados sejam mais eficazes na eliminação do 2-propanol, hidrofílico, do que o íon com uma densidade de carga mais baixa.20 Dessa forma, o cátion [Mg2+] tende a formar uma camada de hidratação maior do que o cátion [Na+]. Esses dados podem ser comprovados observando a maior concentração de [Na+] nas fases superiores dos sistemas quando comparado com [Mg2+]. Portanto, estabelece-se uma fase completa hidrofílica e outra hidrofóbica, levando ao aumento da diferença de potencial eletrostático entre essas fases, determinando assim a preferência dos corantes para a fase hidrofóbica.

Em relação à eficiência de extração, esta esteve intimamente ligada ao coeficiente de partição, pois a razão do volume entre as fases superior e inferior, dados observados na Tabela 4, e os valores das densidades das fases, observados na Tabela 5, foram próximos à unidade, não interferindo de forma significativa para o valor do rendimento de extração; assim, a tendência que o K aumentou, maior foi o rendimento de extração para os corantes nas fases superiores. Dessa forma, pode-se dizer que os sistemas estudados são adequados para a concentração desses corantes têxteis nas fases superiores, uma vez que os coeficientes de partição são bem maiores que a unidade.

 

 

 

 

Parâmetros termodinâmicos da partição dos corantes têxteis

O comportamento de partição dos solutos nos SAB deve ser compreendido em termos das interações intermoleculares que ocorrem no processo de transferência. As interações álcool-sal e álcool-água são dependentes das concentrações de sal e do álcool, da hidratação do solvente orgânico usado e dos corantes. Além disso, as interações de cada componente do SAB com o soluto particionante também determinam o comportamento da transferência. Todas estas interações são expressas no parâmetro termodinâmico chamado de energia livre de Gibbs de transferência, ΔGtr Eq. (6).

O parâmetro ΔGtr pode ser definido como a variação da energia livre de Gibbs do sistema quando um mol do soluto particionado se transfere da fase inferior para a fase superior do sistema.

Através das Tabelas 6 a 8, observa-se a variação de ΔGtr para os comprimentos das linhas de amarração (CLA) indicadas nas quatro temperaturas de estudo para os três corantes, azul royal Dianix CC, amarelo Dianix CC e vermelho Dianix CC, verificando que o processo de transferência para todos os tipos de solutos foi espontâneo, pois para esse estado de equilíbrio foi apresentado uma menor energia livre possível. Observa-se também que com o aumento do CLA, para os SAB formados para os dois tipos de sais em todas as temperaturas, o ΔGtr é reduzido, ou seja, a partição dos corantes aumenta à medida que aumenta a diferença entre as propriedades termodinâmicas intensivas das fases, não sendo verificado esse comportamento para as temperaturas de 30 °C e 40 °C, do sistema formado por MgSO4, para a partição do Azul Royal Dianix CC e para as temperaturas de 40 °C, Na2SO4, e 30 °C, 40 °C e 50 °C K, do sistema formado por MgSO4, para a partição do Vermelho Dianix CC. O aumento das diferenças intensivas das fases torna o processo de transferência menos favorecido.

 

 

 

 

 

 

Para os valores de entalpia de transferência (ΔHtr), foram obtidos graficamente a partir dos dados dos coeficientes de partição dos corantes determinados nas diferentes temperaturas e tratados pela equação de Van´t Hoff.

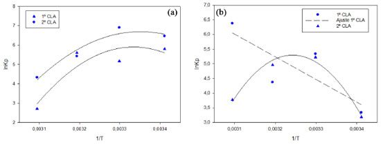
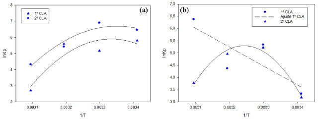
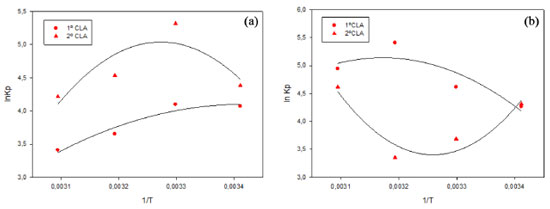
As Figuras 1 a 3 apresentam o ln K versus 1/T para os corantes Amarelo Dianix CC, Azul Royal Dianix CC e Vermelho Dianix CC nos SAB formados por 2-propanol + Na2SO4 + H2O e 2-propanol + MgSO4 + H2O para os CLA apresentados. O coeficiente angular associado é equivalente à razão -ΔHtr/R, uma vez que se tem assumido ser a variação de entalpia de transferência do soluto invariável com a variação da temperatura.

 


Figura 1. Ln K versus 1/T para o corante Amarelo Dianix CC em SAB composto por a) Álcool e Sulfato de Sódio, b) Álcool e Sulfato de Magnésio, em diferentes valores de CLA

 

 


Figura 2. Ln K versus 1/T para o corante Azul Dianix CC em SAB composto por a) Álcool e Sulfato de Sódio, b) Álcool e Sulfato de Magnésio, em diferentes valores de CLA

 

 


Figura 3. Ln K versus 1/T parao corante Vermelho Dianix CC em SAB composto por a) Álcool e Sulfato de Sódio, b) Álcool e Sulfato de Magnésio, em diferentes valores de CLA

 

De acordo com as Tabelas 6 a 8 o processo é entalpicamente favorecido para os sistemas formados por Na2SO4, a exceção da temperatura 20 °C e 30 °C para o corante amarelo Dianix CC; da temperatura de 20 °C para o corante azul royal Dianix CC e nos 2º CLA das temperaturas 20 °C e 30 °C do vermelho Dianix CC. Pode ser observado ainda para a ΔHtr nesses sistemas (Na2SO4), o aumento em módulo com o aumento do CLA, ou seja, ocorre uma maior liberação de energia quando os sistemas são preparados a partir de composições globais mais altas. Esse comportamento de ΔHtr indica que, à medida que aumenta a segregação dos componentes formadores do sistema, as interações que são formadas devido à transferência dos corantes (amarelo, azul royal e vermelho Dianix CC) para a fase superior é mais estável que aquelas que são rompidas. Porém, esse comportamento não foi verificado para a transferência do azul royal na temperatura de 40 °C e 50 °C e para o vermelho na temperatura de 30 °C.

Ainda para os sistemas formados por Na2SO4, a entropia de transferência do amarelo Dianix CC aumenta com o aumento do CLA, exceto nas temperaturas de 40 °C e 50° C, que diminuem, justificando que nas temperaturas de 20 °C e 30 °C maior foi o ganho entrópico associado à desorganização do sistema. Para a entropia de transferência do azul royal, Tabela 8, ocorre à diminuição em todas as temperaturas, sendo observado o contrário para o corante vermelho Dianix CC, Tabela 6.

Para os sistemas formados por MgSO4 nas temperaturas 20 °C e 30 °C, o processo é entalpicamente desfavorável (endotérmico) e entropicamente favorável para a transferência do amarelo Dianix CC (Tabela 7). Já nas temperaturas de 40 °C e 50 °C, para o amarelo Dianix CC, o processo entálpico e entrópico é exotérmico, caracterizando o processo como entalpicamente favorável. Na Tabela 7, em quase todas as temperaturas de estudo, o processo é entalpicamente desfavorável e entropicamente favorável, observando o mesmo comportamento com os dados da Tabela 8. Ainda foi observado que a entalpia e entropia, considerando também em módulo, para esse sal formador, aumentam com o aumento do CLA, ou seja, maior foi à liberação ou absorção de energia quando os sistemas foram preparados em composições globais mais elevadas, exceto para a temperatura de 40 °C da Tabela 7.

A distribuição de solutos entre as fases dos SAB pode ser compreendida em termos de distribuição/formação das interações intermoleculares que ocorrem ao longo do processo de transferência dos corantes estudados.21,22 Portanto, a variação da entalpia associada ao processo de transferência dos corantes envolve principalmente quatro pares de termos de interação (Eq. (8)):

em que ΔHi-j representa a entalpia de interação entre os componentes i e j. Esses componentes são água (W), sal (S), álcool (ALC) e corante (C). No processo de transferência dos corantes da fase inferior (rica em sal) para a fase superior (rica em álcool), interações são formadas entre corantes/álcool e água/sal. Assim, os termos ΔHW-S e ΔHC-ALC contribuem para a redução da entalpia total do sistema, nos casos em que estes promovem a liberação de energia. Os termos ΔHC-S e ΔHW-ALC representam interações que são perdidas no processo de transferência e, portanto, contribuem para o aumento de entalpia do sistema. Baseado nos resultados negativos de ΔHtr, a seguinte relação entre os termos de interação pode ser obtida:

A partir da relação acima se pode analisar a influência do cátion sobre o fator entálpico de transferência dos corantes estudados nos SAB do tipo álcool-sal. Assim, baseado na análiese dos valores de ΔHtr negativos dos corantes para os sistemas formados por Na2SO4 e MgSO4, mostra que a presença do cátion sódio em detrimento do cátion magnésio promove uma maior liberação de energia, isso por que, a interação A-S é mais forte para o primeiro sistema do que no segundo, e promove uma maior liberação de energia.

A ΔStr relaciona com aumento ou redução das possibilidades de distribuição dos componentes presentes no sistema que ocorre devido à transferência de moléculas dos corantes Dianix CC da fase inferior para a fase superior. Através das Tabelas 6 a 8, observamos que para ambos os sistemas (Na2SO4 ou MgSO4), nas temperaturas de 20 °C e 30 °C para o amarelo Dianix CC ocorre um aumento de entropia (ΔStr>0), para o azul royal Dianix no sistema constituído por Na2SO4 pode-se afirmar que é quase por completo entropicamente desfavorável e favorável para o sistema formado por MgSO4, sendo este mesmo comportamento observado para o Vermelho Dianix CC. Desse modo, é razoável considerar que o valor do ΔStr medido está relacionado ao processo de transferência de todas as espécies químicas presentes no sistema que são afetadas pela passagem do soluto da fase inferior para a fase superior, conforme é mostrado através da Equação 10:

em que ΔSc é a variação da entropia devido às moléculas dos corantes e ΔSesp.quim a variação da entropia devido às espécies químicas que se deslocam de uma fase para a outra.

Da Equação 10 tem-se que o primeiro termo, da esquerda para a direita, tem uma contribuição negativa, uma vez que o corante está saindo de uma região com maior densidade numérica e indo para uma região de menor densidade numérica. Já o outro termo tem uma contribuição positiva para a variação da entropia de transferência, pois tais espécies químicas (moléculas de água ou íons), que tem as interações quebradas devido à chegada do soluto, irão migrar para uma região de maior densidade numérica, aumentando assim a entropia configuracional do sistema.

Conclui-se que para o processo de transferência dos corantes para a fase superior dos SAB, em relação à temperatura, para o amarelo Dianix CC, o fator entálpico favorece as temperaturas de 40 °C e 50 °C e o fator entrópico para as temperaturas de 20 °C e 30 °C. Para o azul royal Dianix CC, nos sistemas formados por Na2SO4, o fator entálpico favorece as temperaturas de 30 °C a 50 °C, e o fator entrópico somente a temperatura de 20 °C; e nos sistemas formados por MgSO4, o fator entálpico favorece apenas os 2º CLA das temperaturas de 40 °C e 50 °C e o fator entrópico é favorecido nas temperaturas de 20 °C, 30 °C e para os 1º CLA das temperaturas de 40 °C e 50 °C. Para o vermelho Dianix CC, nos sistemas constituídos por Na2SO4, o fator entálpico favorece os 1º CLA das temperaturas de 20 °C e 30 °C e as temperaturas de 40 °C e 50 °C, sendo entropicamente favorável apenas para a temperatura de 20 °C e o 2º CLA da de 30 °C. E para os sistemas formados pelo eletrólito MgSO4, foi quase por completo entropicamente favorável.

 

CONCLUSÕES

Os SAB foram aplicados com sucesso para a separação seletivadas moléculas dos corantes têxteis (Amarelo Dianix CC, Azul Royal Dianix CC e Vermelho Dianix CC). Para todos os sistemas as moléculas de interesse particionadas migraram-se para a fase superior (K>1,0).

Verificou-se a ótima eficiência de extração das partículas-alvo. Observando que para o sistema Álcool Isopropílico + Sulfato de Sódio + água o ponto global com maior eficiência de extração do corante Amarelo Dianix CC foi a que apresentou maior comprimento da linha de amarração (CLA) e na maior temperatura de estudo, para o Azul Royal Dianix, o ponto global de maior recuperação foi o que apresentou maior CLA na temperatura de 30 °C. Para o Vermelho Dianix CC esse ponto ficou estabelecido no maior CLA da temperatura de 50 °C. Já para o sistema Álcool Isopropílico + Sulfato de Magnésio + água esse ponto caracterizou-se para o corante Amarelo Dianix CC no maior CLA e na temperatura de 30 °C, para o Azul Royal esse ponto ficou definido no maior CLA da temperatura de 50 °C e para o corante Vermelho Dianix CC no menor CLA da temperatura de 40 °C.

A variação da energia livre de Gibbs para o processo de transferência de todos os tipos de corantes foi espontâneo. Os sistemas formados pelo sal Na2SO4, o processo de transferência dos corantes foi quase totalmente dirigido entalpicamente e para os sistemas formados por MgSO4 melhor dirigido entropicamente. Os sistemas em estudo tem grande potencial para separações seletivas e recuperar corantes têxteis.

 

AGRADECIMENTOS

Os autores agradecem o apoio financeiro do CNPq (Conselho Nacional de Desenvolvimento Científico e Tecnológico) e da FAPESB (Fundação de Ámparo à Pesquisa do Estado da Bahia) para este trabalho.

 

REFERÊNCIAS

1. Alencar, L. V. T. D.; Passos, L. M. S.; Martins, M. A. R.; Barreto, I. M. A.; Soares, C. M. F.; Lima, A. S.; Souza, R. L.; Sep. Purif. Technol. 2020, 253, 117502. [Crossref].

2. Ferreira, A. M.; Coutinho, J. A. P.; Fernandes, A. M.; Freire, M. G.; Sep. Purif. Technol. 2014, 128, 58. [Crossref].

3. Kasiri, M. B.; Safapour, S.; Environ. Chem. Lett. 2014, 12, 1. [Crossref]

4. Pandey, A.; Singh, P.; Iyengar, L.; Int. Biodeterior. Biodegradation 2007, 59, 73. [Crossref]

5. Solanki, K.; Subramanian, S.; Basu, S.; Bioresour. Technol. 2013, 131, 564. [Crossref].

6. Aguedach, A.; Brosillon, S.; Morvan, J.; Appl. Catal., B 2005, 57, 55. [Crossref]

7. Hao, O. J.; Kim, H.; Chiang, P.-C.; Crit. Rev. Environ. Sci. Technol. 2000, 30, 449. [Crossref]

8. Koyuncu, I.; Güney, K.; Encycl. Membr. Sci. Technol. 2013, 1. [Crossref]

9. Lu, P. J.; Chien, C. W.; Chen, T. S.; Chern, J. M.; Chem. Eng. J. 2010, 163, 28. [Crossref].

10. Chen, A.-H.; Chen, S.-M.; J. Hazard. Mater. 2009, 172, 1111. [Crossref]

11. Robinson, T.; McMullan, G.; Marchant, R.; Nigam, P.; Bioresour. Technol. 2001, 77, 247. [Crossref]

12. Galán, J.; Rodríguez, A.; Gómez, J. M.; Allen, S. J.; Walker, G. M.; Chem. Eng. J. 2013, 219, 62. [Crossref].

13. Holkar, C. R.; Jadhav, A. J.; Pinjari, D. V.; Mahamuni, N. M.; Pandit, A. B.; J. Environ. Manage. 2016, 182, 351. [Crossref]

14. Griffin, S. T.; Dilip, M.; Spear, S. K.; Huddleston, J. G.; Rogers, R. D.; J. Chromatogr. B 2006, 844, 23. [Crossref].

15. Wang, Y.; Liu, Y.; Han, J.; Hu, S.; Sep. Sci. Technol. 2011, 46, 1283. [Crossref]

16. Wang, Y.; Yan, Y.; Hu, S.; Han, J.; Xu, X.; J. Chem. Eng. Data 2010, 55, 876. [Crossref]

17. Guo, W.; Ma, J.; Wang, Y.; Han, J.; Li, Y.; Song, S.; Thermochim. Acta 2012, 546, 8. [Crossref]

18. Pimentel, J. G.; Bicalho, S. F.; Gandolfi, O. R. R.; Verissimo, L. A. A.; de Sousa Castro, S.; Souza, E. A.; Veloso, C. M.; Fontan, R. da C. I.; Sampaio, V. S.; Bonomo, R. C. F.; Fluid Phase Equilib. 2017, 450, 184. [Crossref]

19. Sanglard, M. G.; Farias, F. O.; Sosa, F. H. B.; dos Santos, T. P. M.; Igarashi-Mafra, L.; Mafra, M. R.; Fluid Phase Equilib. 2018, 466, 7. [Crossref].

20. Cienfuegos, N. E. C.; Santos, P. L.; García, A. R.; Soares, C. M. F.; Lima, A. S.; Souza, R. L.; Food Bioprod. Process. 2017, 106, 1. [Crossref].

21. Boaglio, A.; Bassani, G.; Picó, G.; Nerli, B.; J. Chromatogr. B 2006, 837, 18. [Crossref]

22. Su, C.-K.; Chiang, B. H.; Process Biochem. 2006, 41, 257. [Crossref]

On-line version ISSN 1678-7064 Printed version ISSN 0100-4042
Qu�mica Nova
Publica��es da Sociedade Brasileira de Qu�mica
Caixa Postal: 26037 05513-970 S�o Paulo - SP
Tel/Fax: +55.11.3032.2299/+55.11.3814.3602
Free access

GN1