JBCS



14:52, sáb out 25

Acesso Aberto/TP



Educação


Estudo Teórico e Experimental de Estrutura e Reatividade Relacionado ao Metabolismo e Toxicidade do Paracetamol
Theoretical and Experimental Study of Structure and Reactivity Related to Metabolism and Toxicity of Paracetamol

Rosivaldo S. BorgesI,*; Wanda S. CostaI; Ellen P. C. GurrãoI; Luiz H. C. HolandaI; Alanna C. L. F. SousaI; Joyce K. L. ValeI; Cláudio N. AlvesII; Albérico B. F. da SilvaIII

I. Faculdade de Farmácia, Instituto de Ciências da Saúde, Universidade Federal do Pará, 66075-110 Belém - PA, Brasil
II. Laboratório de Planejamento e Desenvolvimneto de Fármacos, Instituto de Ciências Exatas e Naturais, Universidade Federal do Pará, 66075-110 Belém - PA, Brasil
III. Instituto de Química de São Carlos, Universidade de São Paulo, 13560-970 São Carlos - SP, Brasil

Recebido em: 21/04/2022
Aceito em: 19/05/2022
Publicado em: 21/07/2022

Endereço para correspondência

*e-mail: rosborg@ufpa.br

RESUMO

An experimental and theoretical approach on oxidative metabolism of paracetamol was applied for the pharmaceutical chemistry learning. Classical reactions, functional group identification, structural parameter, and chemical reactivity using frontier orbitals and Fukui index were used explaining the main products between N-acetyl-p-benzosemiquinone (NAPQI) and thiolic compounds. The chemoprotection mechanisms by N-acetyl-cysteine on high dosage of paracetamol are consistent with theoretical and experimental results. The methods also described the relationship between the chemical reactivity of quinone-imine system and the induced-toxicity of paracetamol by Michael reaction. These results can be applied in experimental pharmaceutical chemistry teaching.

Palavras-chave: paracetamol; NAPQI; reactivity; metabolism; toxicity mechanism; theoretical.

INTRODUÇÃO

A química farmacêutica e medicinal foi mais valorizada nos novos projetos pedagógicos de farmácia em função dos avanços tecnológicos na área, que incorporaram novas metodologias e especialmente por seu caráter multidisciplinar. Isso representa um grande avanço para uma área de conhecimento farmacêutico outrora optativa. No entanto, essa valorização foi acompanhada de redução da carga horária para as disciplinas experimentais, uma tendência generalizada atualmente nos cursos de graduação em farmácia a fim de atender ao perfil humanista, a implantação de disciplinas clínicas1 e possibilitar a implantação dos cursos de ensino a distância (EAD).2

A inovação em fármacos e medicamentos necessita de literatura atualizada e qualquer sugestão de aulas práticas de química farmacêutica e medicinal são sempre bem vindas, devido a possibilidade de aplicar conceitos teóricos sobre geração de processos e produtos farmacêuticos,3 que além de aumentar o impacto do aprendizado, tem boa aceitação por parte dos alunos de graduação, seguindo a regra de aprender fazendo.4 No entanto, a limitação de tempo pode tornar a realização de aulas práticas inviável, havendo a necessidade de atividades versáteis e rápidas, que apresentem algumas possibilidades para interrupções sem perda de qualidade nos resultados finais.

Nos últimos anos, a introdução de técnicas de modelagem molecular e métodos simulação computacional no ensino química e farmacêutico permitiu a caracterização e predição de diversas propriedades relacionadas à reatividade química, forma, modo de ligação e interação de fragmentos e substituintes moleculares com macromoléculas, determinação de propriedades físico-químicas e a definição de um grande número de propriedades atômicas e moleculares de moléculas bioativas.5

No entanto, esses métodos tornam-se muito mais eficientes quando usados em conjunto com modelos experimentais. Assim, este trabalho descreve um estudo experimental e teórico da relação entre propriedades teóricas e reatividade química que possam explicar a conexão entre o metabolismo oxidativo e a toxicidade de fármacos. Neste estudo, o paracetamol (PAR) foi utilizado como modelo por ser um medicamento conhecido como um dos analgésicos mais consumidos no mundo, que possui ampla aplicação no desenvolvimento de aulas práticas de química e química farmacêutica, com abordagens entre as áreas de preparação industrial e tecnologia farmacêutica.6-13

Incialmente, é preciso entender o metabolismo oxidativo do PAR (Figura 1). O glucuronídeo (PAR-Glc) e o sulfato (PAR-S) são seus metabólitos urinários identificados até o momento, resultantes das reações de glucuronidação e sulfatação, constituindo-se nas vias principais de biotransformação, formados por conjugações mediadas pelas enzimas uridina difosfato do ácido glucurônico (UDPGA) e fosfoadenosil-fosfosulfato (PAPS), respectivamente, que por serem mais solúveis em água que o composto original, são excretados principalmente pela via urinária (ambos) e uma pequena parte pela via biliar (PAR-Glc).14-16 Os derivados do metabolismo oxidativo são gerados em menor proporção pela reação via citocromo P450 formando a N-acetil-p-benzoquinona imina (NAPQI)17-22 como o intermediário eletrofílico reativo, responsável pela toxidade do PAR e um intermediário radicalar, a N-acetil-p-benzosemiquinona imina (NAPSQI).23 Além deles, outras formas oxidadas já foram identificadas em pacientes intoxicados com altas doses de PAR, tais como p-benzoquinona e 3-hidroxiparacetamol.24,25

 


Figura 1. Reações e enzimas envolvidas no metabolismo do paracetamol

 

Outro mecanismo que precisa ser compreendido é a quimioproteção realizada por compostos sulfidrilicos.26 Em doses terapêuticas de PAR, o intermediário reativo NAPQI é formado em baixa quantidade, pois na presença de glutationa reduzida (GSH), a NAPQI pode ser reduzida a PAR por um mecanismo de doação de hidrogênio ou se ligar covalentemente com glutationa (GSH) para formar conjugados 3-glutationa-S-il-paracetamol (PAR-SG) sem efeitos adversos significantes. No entanto, altas doses de PAR e outras condições em que a produção de NAPQI seja maior que os níveis de GSH, ocorre uma depleção de GSH e aumento de glutationa reduzida (GSSG) com toxidade hepática.27,28 Assim, as prováveis vias de reação da NAPQI são a formação de adutos com proteínas, oxidação de sulfidrila de proteínas, ligação covalente com DNA no fígado e rins e rompimento da homeostase celular pela peroxidação lipídica devido ao efeito pró-oxidante.29,30

Estudos clínicos indicam que o efeito pró-oxidante do PAR pode ser minimizado por um mecanismo citoprotetor baseado na eliminação de forma quinona-imina e a administração de antídotos como N-acetil-cisteína ou metionina concomitantemente ao paracetamol, esses derivados de enxofre são precursores de GSH e reagem de forma semelhante.31,32 Portanto, nesta proposta de aula prática de química farmacêutica experimental, um estudo teórico e experimental da reatividade química do paracetamol simulando seu metabolismo oxidativo foi realizado através de reações clássicas simples e facilmente identificadas para caracterizar os mecanismos envolvidos.

 

METODOLOGIA

Reagentes e solventes

Acetaminofen ou paracetamol (PAR), tetracetato de chumbo (Pb(AcO)4), N-acetil-cisteína (NAC) e bromo são reagentes obtidos da Sigma-Aldrich; etanol, acetona, acetato de etila e tetracloreto de carbono são solventes da marca Dinâmica. Alternativamente, o paracetamol pode ser extraído do medicamento genérico do laboratório Medley usando uma mistura de etanol-acetona (1:1) e N-acetil-cisteína da marca EMS pode ser utilizada nas reações de quimioproteção.

Produção do derivado quinona-imina

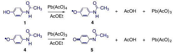
A N-acetil-p-benzoquinona-imina (NAPQI) foi preparada pela oxidação do paracetamol (1:1) usando Pb(AcO)4 como agente oxidante em acetato de etila. A reação é agitada por uma hora até gradualmente mudar de cor do incolor para uma solução amarelada (Figura 2). Após a filtração do sólido, o solvente é evaporado e os cristais recolhidos apresentam um p.f. próximo de 74.5 °C. O Pb(AcO)4 foi escolhido com base nos resultados da literatura em comparação com outros oxidantes,33 representando o sistema citocromo P-450 responsável pela oxidação do paracetamol.

 


Figura 2. Reação de oxidação do paracetamol, identificação, redução e adição da NAPQI

 

Estudo de reatividade química

De acordo com a Figura 2, após a reação de oxidação do paracetamol (1) e a formação de N-acetil-p-benzoquinona imina (NAPQI), a NAPQI foi identificada pela reação de grupo alceno com bromo (Br2) diluído em tetracloreto de carbono. As reações de redução (1) e adição na NAPQI foram realizadas no sistema α,β-insaturado (12) e no carbono ipso (13).

Identificação do derivado quinona-imina

A N-acetil-p-benzoquinona-imina (NAPQI) foi identificada pela descoloração da solução de bromo em tetracloreto de carbono. A solução do paracetamol foi usada como controle negativo, uma vez que esse composto, por ser aromático, não reage com o bromo nas mesmas condições.

Estudo da reatividade química experimental da quinona-imina

A reatividade da N-acetil-p-benzoquinona-imina (NAPQI) como um reagente eletrofilico foi avaliada pela reação com a N-acetil-cisteína (NAC) em uma relação de 1:2 em meio etanólico. A reação ao ser agitada por 1 hora passa por uma descoloração seja pela redução da NAPQI ou pela formação de adutos de NAC. Essa descoloração pode ser observada pela perda de coloração da NAPQI, que é consumida por sua redução ou formação do aduto com o tiol da NAC. Além da identificação qualitativa pela mudança de coloração relativa a perda do sistema carbonila α,β-insaturado, esta reação pode também ser observado no UV-Vis pelo acompanhamento da leitura da NAPQI em 254 nm, caso tenha um espectrofotômetro disponível.34

Estudo teórico da reatividade química da quinona-imina

Os parâmetros teóricos envolvidos nas reações de oxidação do paracetamol e na reatividade química de seus metabólitos oxidados foram estudadas usando a modelagem molecular, cujos programas de cálculos teóricos encontram-se nos pacotes de química computacional Hyperchem 7.5, ChemOffice 05 e Gaussian 09.35-37 Os métodos utilizados para a otimização da estrutura molecular foram de forma sequencial em fase gasosa, a mecânica molecular (MM+), seguido pelo método semi-empírico PM3 (terceira parametrização) e Hartree-Fock (HF/6-31G*). A última geometria obtida no nível DFT/B3LYP/6-31G(d,p) foi utilizada para a obtenção dos parâmetros moleculares eletrônicos de reatividade química, tais como os orbitais moleculares de fronteira, HOMO (orbital molecular ocupado de mais alta energia), LUMO (orbital molecular desocupado de mais baixa energia), cargas atômicas de Mulliken, potencial eletrostático (CHELPG) e índices de Fukui calculados para a forma eletrofílica NAPQI usando as palavras pop=reg, a fim de localizar as posições mais reativas.36-41 Posteriormente, o efeito do solvente foi utilizado para os mesmos compostos, usando o Modelo de Polarização Contínua (PCM) com o objetivo de averiguar se as energias relativas e os indices de reatividade se mantinham com a simulação do solvente.42

 

RESULTADOS E DISCUSSÃO

Purificação do paracetamol

Caso o paracetamol (1) não esteja disponível no almoxarifado e não haja disponibilidade de recursos para sua compra, ele pode ser obtido a partir da extração por solvente de comprimidos comerciais em uma mistura água-etanol na proporção (1:1). Após a filtração da suspensão, o solvente do filtrado deve ser sido evaporado e o residuo branco obtido após a recristalização em etanol, se apresenta como um pó granuloso branco com rendimento de 92% e ponto de fusão na faixa de 170-172 oC, comparável ao padrão da Sigma-Aldrich (170-172 oC).43

Formação da N-Acetil-p-Benzoquinona Imina - NAPQI

A oxidação do paracetamol (1) para produzir a N-acetil-p-benzoquinona imina (5) pode ser realizada usando acetato de etila ou acetona como solvente para a reação com o Pb(AcO)4 (tetra-acetato de chumbo). O rendimentos é cerca de 64% e o produto pode ser caracterizado pelo seu ponto de fusão. Os subprodutos da reação são di-acetato de chumbo e ácido acético, devem ser guardados adequadamente para o descarte (Figura 3). Além disso, devido à toxicidade ambiental, os derivados do chumbo devem ser substituidos por novos reagentes com capacidade oxidativa similar ao citocromo P-450 tais como óxido de prata (AgO), periodato de sódio (NaIO4), cromato de sódio (NaCrO4) e dicromato de potássio (K2Cr2O7).

 


Figura 3. Reação de oxidação do paracetamol

 

A caracterização do produto pode ser realizada usando um método físico simples de análise como o ponto de fusão, permitindo que o experimento seja realizado em qualquer laboratório de química farmacêutica. A principal característica indicativa da formação de NAPQI é a formação de um produto alaranjado intenso, indicado pela formação de compostos com sistema carbonila e imina α,β-insaturados e pela deslocalização de elétrons entre os grupos carbonila, imina e acetila com os grupos alcenos. Assim, o Pb(AcO)4 deve reagir com o paracetamol (1) por abstração de um hidrogênio radical (H) preferencialmente da posição fenólica formando ácido acético, tri-acetato de chumbo e N-acetil-p-benzosemiquinona imina (4). Esse mecanismo foi previamente elucidado por métodos de HF e DFT.44-46 A segunda abstração de H, desta vez do N-H do grupamento acetamida da semiquinona (4) libera outra molécula de ácido acético, di-acetato de chumbo e a NAPQI (5). Esse mecanismo usando uma molécula inorgânica é muito similar ao que pode ocorrer enzimaticamente nos sistemas biológicos, pela oxidação no sistema microssomal hepático contendo uma oxidase do tipo citocromo P450.47

Caracterização da N-Acetil-p-Benzoquinona Imina - NAPQI

Além do ponto de fusão, a N-acetil-p-benzoquinona imina (NAPQI) pode ser caracterizada por um estudo de reatividade química. O principal grupo reacional facilmente caracterizável é a função química alceno, que pode ser determinada pela capacidade de reação em suas duplas ligações, descolorindo a solução de bromo em tetracloreto.48 A reação positiva da solução de NAPQI em acetato de etila foi evidenciada pelo descoramento da solução de bromo, indicando que houve a formação do produto oxidado, uma vez que tanto a solução de bromo, quanto a solução de NAPQI ficam incolor devido à reação, indicando a perda da conjugação do sistema carbonila e imina α,β-insaturados, formando um produto tetrabromado (9) ou dibromado (9a), como descrito na Figura 4. O PAR, pode ser usado como controle negativo, uma vez que não há reação entre a solução de bromo e o PAR nas mesmas condições, que pode ser observado pela persistência da coloração castanha da solução de bromo.

 


Figura 4. Reação de identificação da NAPQI

 

Assim, a perda das duplas alcênicas mostra a diferença de reatividade química entre NAPQI (carbonos sp2 alcênicos) e PAR (carbonos sp2 aromáticos), uma vez que alcenos reagem rapidamente com soluções de bromo (de cor vermelha), sem aquecimento, tornando-as incolor, através de reações de adição a dupla carbono-carbono (C=C), enquanto que compostos fenólicos não reagem nestas condições devido ao seu caráter aromático, necessitando do uso de catalisadores para promover uma reação de substituição eletrofílica no anel benzênico.48 Os cálculos teóricos para as geometrias do PAR (1) e seu derivado oxidado NAPQI (5) que relacionam suas distâncias de ligação estão descritos na Tabela 1.

 

 

Os valores em angstrons (Å) das ligações carbono-carbono (C=C) estão entre 1,39 e 1,40 evidenciam o caráter aromático do PAR, enquanto as ligações carbono-nitrogênio (C-N) e carbono-oxigênio (C-O) apresentam valores de 1,43 e 1,37 Å, que são característicos dos grupos funcionais amina e fenol, respectivamente. Na NAPQI, todavia, podemos evidenciar a perda do caráter aromático uma vez que suas ligações carbono-carbono apresentarem valores entre 1,48 e 1,34 Å para as ligações simples de alcano (C-H) e duplas de alceno (C=C), respectivamente, enquanto as ligações carbono-nitrogênio do grupamento imina (C=N) e carbono-oxigênio do grupo cetona (C=O) apresentam valores de 1,30 e 1,22 Å.

Esses resultados podem ser relacionados de acordo com a reatividade química do derivado quinona-imina formado pela oxidação do paracetamol, indicando que a presença de duas ligações duplas alcênicas são as responsáveis pela reatividade com a solução de bromo. Desse modo, as diferenças nas distâncias de ligação nas ligações C=C do paracetamol (PAR) e N-acetil-p-benzoquinona imina (NAPQI), com as distintas mudanças de aromáticas para alifáticas e alcênicas, explicam a diferença de reatividade entre PAR e NAPQI.

Reatividade química de N-acetil-p-benzoquinona imina (NAPQI) como eletrófilo

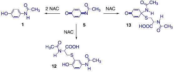
A reatividade química do sistema eletrofílico N-acetil-p-benzoquinona imina (NAPQI) foi avaliada por sua reação com N-acetil-cisteína (NAC), usada como nucleófílo devido aos seus grupos tiolícos, descoloriu a solução alaranjada de NAPQI para uma solução amarelo-pálido, indicando a perda da conjugação do sistema quinona-imina e carbonila α,β-insaturados. Estudos prévios indicam que a NAPQI (5) pode reagir de três diferentes formas: i) redução da NAPQI (5) a PAR (1) pela adição de hidrogênios no nitrogênio iminíco e na carbonila da cetona e moléculas de NAC reduzidas se convertem em NAC oxidada; ii) reação ao sistema α,β-insaturado nas posições C3 ou C5 via adição de Michael, formando um aduto semelhante ao que ocorre em um sistema biológico (12);49 ou iii) adição ao carbono ipso C1 (13) do sistema imina preferencialmente sobre a cetona (Figura 5).

 


Figura 5. Reações de redução e adição ao carbono ipso e sistema α,β-insaturado da NAPQI

 

De fato, dois destes mecanismos (i e ii) foram inicialmente postulados e posteriormente caracterizados em sistemas biológicos com glutationa (GSH), uma vez que esse tripeptídeo contém os aminoácidos glicina, cisteína e ácido glutâmico e o grupo tiol (-SH) da cisteína caracteriza a GSH como um reagente nucleofílico semelhante a NAC (10). Desse modo, o grupo SH é o responsável pelas possíveis formas de reação da NAPQI (5) com NAC. Nossas proposições mecanísticas foram previamente observadas em derivados 3,5- e 2,6-dimetilados do paracetamol.33 Além disso, os resultados de redução estão de acordo com o efeito quimioprotetor da NAC em intoxicações com o PAR (1) já descritos na literatura (Figura 6).1-5

 


Figura 6. Reação de inibição da formação da NAPQI

 

Os três mecanismos químicos propostos para as reações da NAPQI (5) formada no metabolismo oxidativo do PAR (1) com a NAC (10) e explicar a reação de quimioproteção podem ser discutidos com os discentes pelo mecanismo de redução. Esses mecanismos são similares aos que ocorrem na toxidade do paracetamol, inciando pelo metabolismo oxidativo via citocromo P-450, seguido pela reação de redução da NAPQI (5) formando PAR (1) com o consumo de GSH reduzida, redução dos níveis de GSH e aumento de glutationa oxidade (GSSG), as quais são relacionadas com eventos deletérios no organismo como peroxidação lipidica e hepatotoxidade, enquanto o ataque ao carbono ipso, por proteínas contendo grupos ricos em elétrons como tiol (-SH) de cisteína, hidroxila (-OH) de serina e amina (-NH2) de lisina, como uma forma de aduto reversível. A adição ao sistema carbonila α,β-insaturados, formando como derivado um aduto de NAPQI (5) e glutationa via adição de Michael são os principais metabólitos encontrados contendo o grupo S, do tipo cisteinil e mercapturato. Dessa forma, em uma intoxicação com o PAR (1) todos esses eventos químicos estão envolvidos e são também governados pela reatividade química.49

Regiosseletividade na reatividade da N-acetil-p-benzoquinona imina (NAPQI) como eletrófílo

Dentre os parâmetros que podem estar implicados nas propriedades de ADMET (absorção, distribuição, metabolismo, excreção e toxicidade) do paracetamol e seus metabólitos, o parâmetro eletrônico obtido a partir das energias dos orbitais de fronteira é o mais utilizado. Os valores de HOMO e LUMO estão relacionados com a capacidade doadora de elétrons (nucleofilicidade) ou aceptora (eletrofilicidade), respectivamente. O PAR (1) apresentou valores para o HOMO e LUMO de -5,48 e -0,08 eV, enquanto que a NAPQI (5) apresentou valores de -7,04 e -3,43 eV, com valores de Gap de 5,40 e 3,60 eV, respectivamente, indicando o maior caráter aceptor de elétrons e maior reatividade química da NAPQI como reagente eletrofílico (Figura 7).

 


Figura 7. HOMO (abaixo) e LUMO (acima) do PAR (1) e NAPQI (5)

 

Os resultados em sistema aquoso usando PCM para o PAR (1) mostrou valores para HOMO e LUMO de -5,60 e -0,22 eV, enquanto que a NAPQI (5) apresentou valores de -7,12 e -3,35 eV, com valores de Gap de 5,38 e 3,76 eV, respectivamente. Desse modo, não houve uma diferença significante entre os dois ambientes, em fase gasosa e aquosa.

Além disso, embora esses valores representem um índice de reatividade global, a análise das contribuições de grupos pode indicar a reatividade local nas posições mais favoráveis para reagir tanto como nucleófilo quanto como eletrófilo.50 De acordo com as superfícies de HOMO e LUMO (Figura 7) pode-se observar uma contribuição nos grupos fenol e acetamida do PAR (1), assim como nos grupos cetona e aceto-imina da NAPQI (5) e sobre os carbonos aromáticos. No entanto, o grupo imina é mais núcleofílico que o grupo cetona, enquanto os carbonos ipso e a carbonila da acetamida apresentam maior contribuição. Desse modo, não é possível demonstrar a posição mais reativa para a formação de metabólitos tóxicos do PAR (1) e seu derivado quinona-imina (5). Portanto os índices globais não são compatíveis com a reatividade destes compostos.

Uma outra propriedade relacionada com a reatividade global relacionada com a capacidade doadora de elétrons de uma molécula é o potencial de ionização (PI), uma propriedade relacionada com a capacidade de doar um elétron e formar um cátion radical livre, indicando a redução do caráter elétron doador da NAPQI (5) comparado com o PAR (1), com valores de 201.56 e 165.21 kcal/mol, respectivamente. Os menores valores de PI demonstram uma maior capacidade doadora de elétrons. A diferença no caráter doador de elétrons entre NAPQI e PAR é de 36,36 kcal/mol. De igual modo, os resultados para o PI em sistema aquoso usando PCM não foram muito diferentes das energias dos orbitais de fronteira. O PAR (1) e a NAPQI (5) apresentaram valores de 123,97 e 158,57 kcal/mol, respectivamente, com uma diferença de 34,59 kcal/mol.

Ademais, de acordo com o nível de experiência dos alunos, outros conceitos podem ser adicionados ao estudo de reatividade química, tais como a dureza e moleza da teoria de Pearson.51,52

No entanto, todos os valores descritos até este momento são relacionados as propriedades que explicam apenas a reatividade global da NAPQI. Assim, para explicar a reatividade local desse composto, as cargas moleculares de Mulliken e CHELPG, juntamente com os índices de Fukui para a NAPQI podem ser utilizados, cujos valores em fase gasosa estão descritos na Tabela 2.

 

 

Os valores de cargas de Mulliken e CHELPG foram capazes de distinguir as posições mais reativas para os carbonos carbonílicos (C4 e C9) e imínico (C1), mas não foram capazes de explicar a reatividade química da NAPQI na posição 3 com a NAC, como um sitema de Michael, mas foi corretamente nessa posição (0,287) pelos índices de Fukui, explicando a formação do intermediário de adição eletrofilica responsável pela toxicidade hepática e carcinogenicidade do paracetamol.53-55 Os resultados para os demais compostos sugerem que outros efeitos como a protonação enzimática podem alterar as posições reativas desse intermediário tóxico.33

 

CONCLUSÕES

Esta proposta de estudo busca relacionar o metabolismo oxidativo do paracetamol com seus aspectos estruturais e moleculares. Os mecanismos moleculares foram avaliados usando métodos teóricos de modelagem molecular e experimentais. Os resultados mostraram que paracetamol pode ser empregado como um bom modelo de estudo de metabolismo, reatividade química e toxicidade, relacionados com os dados da literatura. As propriedades químicas teóricas do paracetamol e seus derivados oxidados e conjugados podem ser correlacionados usando modelos experimentais e teóricos. Os descritores moleculares utilizados nesta proposta mostraram que as propriedades biológicas estão relacionados com a reatividade química. As reações químicas e os índices teóricos de reatividade química explicaram os mecanismos de quimioproteção pela N-acetil-cisteína e a reatividade do sistema quinona-imina de NAPQI com a toxicidade induzida pelo paracetamol. Os resultados podem ser aplicados em uma classe experimental de ensino químico e farmacêutico.

 

AGRADECIMENTOS

Ao CNPq pelo apoio financeiro.

 

REFERÊNCIAS

1. https://www.in.gov.br/materia/-/asset_publisher/Kujrw0TZC2Mb/content/id/19363913/do1-2017-10-20-resolucao-n-6-de-19-de-outubro-de-2017-19363904, acessada em junho 2022.

2. https://www.in.gov.br/en/web/dou/-/portaria-n-544-de-16-de-junho-de-2020-261924872, acessada em junho 2022.

3. Caille, S.; Cui, S.; Faul, M. M.; Mennen, S. M.; Tedrow, J. S.; Walker, S. D. J. Org. Chem. 2019, 84, 4583. [Crossref]

4. Angonesi, D.; Ciência & Saúde Coletiva. 2008, 13, 629. [Crossref]

5. Carvalho, I.; Pupo, M. T.; Borges, A. D. L.; Bernardes, L. S. C. Quim. Nova. 2003, 26, 428. [Crossref]

6. Salles, M. O.; Araujo, W. R.; Paixão, T. R. L. C.; J. Braz. Chem. Soc. 2016, 27, 54. [Crossref]

7. Santos, A. M.; Vicentini, F. C.; Deroco, P. B.; Rocha-Filho, R. C.; Fatibello-Filho, O.; J. Braz. Chem. Soc. 2015, 26, 2159. [Crossref]

8. De Oliveira, R.; Pissetti, F. L.; Lucho, A. M. S.; Quim. Nova 2016, 39, 146. [Crossref]

9. Ruela, A. L. M.; Araújo M. B.; Pereira G. R.; Quim. Nova 2009, 32, 165. [Crossref]

10. França, M. D.; Santos, L. M.; Silva, T. A.; Borges, K. A.; Silva, V. M.; Patrocinio, A. O. T.; Trovó, A. G.; Machado, A. E. H.; J. Braz. Chem. Soc. 2016, 27, 1094. [Crossref]

11. Gandhi, S. V.; Ranher, S. S.; Deshpande, P. B.; Shah, D. K.; J. Braz. Chem. Soc. 2011, 22, 1068. [Crossref]

12. Moreira, T. S.; Cid, Y. P.; Pierre, M. B. R.; de Sousa, V. P.; Kummerle, A. E.; Fraga, C. A. M.; Quim. Nova 2009, 32, 1324. [Crossref]

13. De Oliveira, R. G.; Alencar-Filho, E. B.; Vasconcellos, M. L. A. A.; Quim. Nova 2014, 37, 69.

14. Hinson, J. A.; Pohl, L. R.; Monks, T. J.; Gillette, J. R.; Guengerich, F. P.; Drug Metab. Dispos. 1980, 24, 289. [Crossref]

15. Chen, W.; Koenigs, L. L.; Thompson, S. J.; Peter, R. M.; Rettie, A. E.; Trager, W. F.; Sidney, D. N.; Chem. Res. Toxicol. 1998, 11, 295. [Crossref]

16. Moore, M.; Thor, H.; Moore, G.; Nelson, S.; Moldéus, P.; Orrenius, S.; J. Biol. Chem. 1985, 260, 13035. [Crossref]

17. Chen, C.; Krausz, K. W.; Idle, J. R.; Gonzalez, F. J.; J. Biol. Chem. 2008, 283, 4543. [Crossref]

18. Bessems, J. G.; Gaisser, H. D.; Te Koppele, J. M.; Van Bennekom, W. P.; Commandeur, J. N.; Vermeulen, N. P.; Chem.-Biol. Interact. 1995, 98, 237. [Crossref]

19. Hinson, J. A.; Roberts, D. W.; Benson, R. W.; Dalhoff, K.; Loft, S.; Poulsen, H. E.; Lancet 1990, 335, 732. [Crossref]

20. Tone, Y.; Kawamata, K.; Murakami, T.; Higashi, Y.; Yata, N.; J. Pharmacobio-Dyn. 1990, 13, 327. [Crossref]

21. Thomas, S. H. L.; Pharmacol. Ther. 1993, 60, 91. [Crossref]

22. Pfeiffer, E.; Metzler, M.; Chem.-Biol. Interact. 1996, 102, 37. [Crossref]

23. Van de Straat, R.; Vromans, R. M.; Bosman, P.; de Vries, J.; Vermeulen, N. P. E.; Chem.-Biol. Interact. 1988, 64, 267. [Crossref]

24. Bessems, J. G. M.; De Groot, M. J.; Baede, E. J.; Te Koppele, J. M.; Vermeulen, N. P. E.; Xenobiotica 1998, 28, 855. [Crossref]

25. Bessems, J. G. M; Vermeulen, N. P. E.; Crit. Rev. Toxicol. 2001, 31, 55. [Crossref]

26. Al-Mustafa, Z. H.; Al-Ali, A. K.; Qaw, F. S.; Abdul-Cader, Z.; Toxicology 1997, 121, 223. [Crossref]

27. Penna, A.; Buchanan, N.; Br. J. Clin. Pharmacol. 1991, 32, 143. [Crossref]

28. Thomas, S. H.; Pharmacol. Ther. 1993, 60, 91. [Crossref]

29. Larrauri, A.; Fabra, R.; Gómez-Lechón, M. J.; Trullenque, R.; Castellet, J. V.; Mol. Toxicol. 1987-1988, 1, 301. [Crossref]

30. Jones, A. L.; Clin. Toxicol. 1998, 36, 277. [Crossref]

31. Jalan, R.; Williams, R.; Bernuau, J.; Lancet 2006, 368, 2195. [Crossref]

32. Jaeschke, H.; EBioMedicine 2019, 46, 9. [Crossref]

33. Fernando, C. R.; Calder, I. C.; Ham, K. N.; J. Med. Chem. 1980, 23(11), 1153. [Crossref]

34. Dahlin, D. C.; Nelson, S. D.; J. Med. Chem. 1982, 25(8), 885. [Crossref]

35. Hyperchem, release 7.5 professional, Hypercube, Inc. Gainesville, Florida, USA, disponível em http://www.hypercubeusa.com/, acessada em junho 2022.

36. Chemoffice, Manual. CambridgeSoft Corporation, 2005, disponível em http://www.cambridgesoft.com/, acessada em junho 2022.

37. Frisch, M. J.; Trucks, G. W.; Schlegel, H. B.; Scuseria, G. E.; Robb, M. A.; Cheeseman, J. R.; Scalmani, G.; Barone, V.; Petersson, G. A.; Nakatsuji, H.; Li, X.; Caricato, M.; Marenich, A. V.; Bloino, J.; Janesko, B. G.; Gomperts, R.; Mennucci, B.; Hratchian, H. P.; Ortiz, J. V.; Izmaylov, A. F.; Sonnenberg, J. L.; Williams-Young, D.; Ding, F.; Lipparini, F.; Egidi, F.; Goings, J.; Peng, B.; Petrone, A.; Henderson, T.; Ranasinghe, D.; Zakrzewski, V. G.; Gao, J.; Rega, N.; Zheng, G.; Liang, W.; Hada, M.; Ehara, M.; Toyota, K.; Fukuda, R.; Hasegawa, J.; Ishida, M.; Nakajima, T.; Honda, Y.; Kitao, O.; Nakai, H.; Vreven, T.; Throssell, K.; Montgomery, J. A., Jr.; Peralta, J. E.; Ogliaro, F.; Bearpark, M. J.; Heyd, J. J.; Brothers, E. N.; Kudin, K. N.; Staroverov, V. N.; Keith, T. A.; Kobayashi, R.; Normand, J.; Raghavachari, K.; Rendell, A. P.; Burant, J. C.; Iyengar, S. S.; Tomasi, J.; Cossi, M.; Millam, J. M.; Klene, M.; Adamo, C.; Cammi, R.; Ochterski, J. W.; Martin, R. L.; Morokuma, K.; Farkas, O.; Foresman, J. B.; Fox, D. J.; Gaussian 09, Gaussian, Inc., Wallingford CT, 2016.

38. Stewart, J. J. P.; J. Comput. Chem. 1989, 10, 221. [Crossref]

39. Geerlings, P.; De Proft, F.; Langenaeker W.; Chem. Rev. 2003, 103, 1793. [Crossref]

40. Becke, A. D.; Phys. Rev. A 1988, 38, 3098. [Crossref]

41. Lee, C.; Yang, W.; Parr, R. G.; Phys. Rev. B 1988, 37, 785. [Crossref]

42. Cossi, M.; Scalmani, G.; Rega, N.; Barone, V.; J. Chem. Phys. 2002, 117, 43. [Crossref]

43. Baptistella, L. H. B.; Giacomini, R. A.; Imamura, P. M.; Quim. Nova 2003, 26, 284. [Crossref]

44. Silva, J. R.; Queiroz, L. M. D.; Queiroz, A. N.; Souza, P. J. C.; Borges, R. S.; J. Comp. Theor. Nanosci. 2011, 8, 670. [Crossref]

45. Diniz, J. E. M.; Borges, R. S.; Alves, C. N.; J. Struc. Mol. (THEOCHEM) 2003, 673, 93. [Crossref]

46. Alves, C. N.; Borges, R. S.; Da Silva, A. B. F.; Int. J. Quant. Chem. 2006, 106, 2617. [Crossref]

47. Isin, E. M.; Guengerich, F. P.; Anal. Bioanal. Chem. 2008, 392, 1019. [Crossref]

48. Gonzalez, F. J.; Gelboin, H. V.; Environ. Health Perspect. 1992, 98, 81. [Crossref]

49. Castañeda-Arriaga, R.; Pérez-González, A.; Galano, A.; ACS Omega 2018, 3, 18582. [Crossref]

50. Eitzinger, A.; Mayer, R. J.; Hampel, N.; Mayer, P.; Waser, M.; Ofial, A. R.; Org. Lett. 2020, 22, 2182. [Crossref]

51. da Silva, R. R.; Santos, J. M.; Ramalho, T. C.; Figueroa-Villar, J. D.; J. Braz. Chem. Soc. 2006, 17, 223. [Crossref]

52. Molski, M.; Toxicol. Lett. 2021, 349, 30. [Crossref]

53. Humer, D.; Spadiut, O.; Monatsh. Chem. 2021, 152, 1389. [Crossref]

54. Leeming, M. G.; Gamon, L. F.; Wille, U.; Donald, W. A.; O'Hair, R. A. J.; Chem. Res. Toxicol. 2015, 28, 2224. [Crossref]

55. Singh, B.; Das, R. S.; Can. J. Chem. 2020, 98, 98. [Crossref]; Bergman, K.; Müller, L.; Teigen, S. W.; Mutat Res. 1996, 349, 26. [Crossref]

On-line version ISSN 1678-7064 Printed version ISSN 0100-4042
Qu�mica Nova
Publica��es da Sociedade Brasileira de Qu�mica
Caixa Postal: 26037 05513-970 S�o Paulo - SP
Tel/Fax: +55.11.3032.2299/+55.11.3814.3602
Free access

GN1