JBCS



20:31, sáb out 25

Acesso Aberto/TP



Artigo


Diterpenos Ent-Abietanos de Euphorbia phosphorea (Euphorbiaceae)
Ent-Abietane Diterpenes From Euphorbia phosphorea (Euphorbiaceae)

Roseana A. R. MeirelesI; Lucas S. AbreuII; Joanda Paolla R. e SilvaI; Andreza B. S. CavalcantiI; Renata Priscila B. de MenezesI; Gabriela Cristina S. RodriguesI; Valnês S. Rodrigues JuniorIII, IV; José Iranildo M. de MeloV; Massuo Jorge KatoVI; Vicente Carlos de O. CostaI; Marcus Tullius ScottiI; Josean F. TavaresI,*

I. Centro de Ciências da Saúde, Universidade Federal da Paraíba, 58051-900 João Pessoa - PB, Brasil
II. Departamento de Química Orgânica, Instituto de Química, Universidade Federal Fluminense, Campus do Valonguinho, 24020-150 Niterói - RJ, Brasil
III. Instituto Nacional de Ciência e Tecnologia em Tuberculose, 90619-900 Porto Alegre - RS, Brasil
IV. Centro de Biotecnologia, Universidade Federal da Paraíba, 58051-900 João Pessoa - PB, Brasil
V. Departamento de Biologia, Centro de Ciências Biológicas e da Saúde, Universidade Estadual da Paraíba, 58429-500 Campina Grande - PB, Brasil
VI. Departamento de Química Fundamental, Instituto de Química, Universidade de São Paulo, 055058-000 São Paulo - SP, Brasil

Recebido em: 11/12/2021
Aceito em: 06/06/2022
Publicado em: 19/08/2022

Endereço para correspondência

*e-mail: josean@ltf.ufpb.br

RESUMO

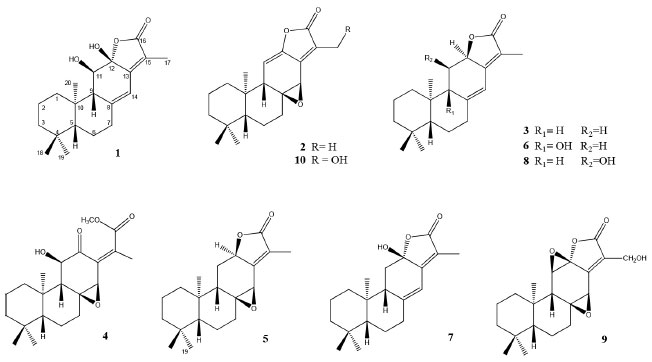
Phytochemical study of the roots of Euphorbia phosphorea Mart. (Euphorbiaceae) was carried out through chromatographic techniques, resulting in the isolation of a new ent-abietane diterpene named 11β,12β-dihydroxy-ent-abieta-8(14),13(15)-dien-16,12α-olide (1), and of nine known ent-abietane diterpenes jolkinolide A (2), jolkinolide E (3), euphorin H (4), euphopilolide (5) jolkinolide F (6), ent-12-hydroxy-12[R]-abieta-8(14),13(15)-dien-16,12-olide (7), ent-11α-hydroxyabieta-8(14),13(15)-dien-16,12α-olide (8), 17-hydroxyjolkinolide B (9) and caudicifolin (10). The structures of all compounds were established using spectroscopic techniques such as 1D and 2D NMR, and the structure of the compound 1 was established also with MS, IR and ECD. All compounds were submitted to an in silico study through of a predictive model and then submitted to in vitro tests against Mycobacterium tuberculosis and M. smegmatis for evaluation of their antimycobacterial activity. Compounds 5 and 9 showed mycobacterial growth inhibition with MIC values of 62.5 µM against M. tuberculosis and M. smegmatis, respectively.

Keywords: Euphorbiaceae; Euphorbia; ent-abietane diterpenes; tuberculosis; Mycobacterium.

Palavras-chave: Euphorbiaceae; Euphorbia; ent-abietane diterpenes; tuberculosis; Mycobacterium.

INTRODUÇÃO

O gênero Euphorbia, o maior da família Euphorbiaceae, é composto por cerca de 2160 espécies e apresenta maior distribuição em regiões tropicais.1 Espécies desse gênero têm sido estudadas e uma grande quantidade e diversidade de diterpenos foram isolados.2-6 Esses diterpenos têm apresentado atividades biológicas, como anti-inflamatória, antiviral, anticancer,1-3 além de atividade antituberculose de ent-abietanos contra cepas de Mycobacterium tuberculosis e de M. smegmatis.5,7

A tuberculose (TB), doença transmissível causada pelo bacilo M. tuberculosis, ainda é uma das principais causas de morte em todo o mundo, com registros de 1,2 milhão de óbitos devido à doença em 2019.8 No Brasil, em 2020 foram registrados cerca de 67 mil novos casos, colocando o país entre os 30 países com maior carga de TB.9 Alguns fatores contribuem para os altos índices de TB apresentados mundialmente, como o abandono do tratamento antes da cura e, consequentemente, o desenvolvimento de cepas resistentes aos fármacos de primeira e segunda linha, gerando assim a necessidade de encontrar novas substâncias antimicobacterianas para combate dessas cepas.10 Euphorbia phosphorea Mart. é uma rara euforbiácea cactóide do Brasil, encontrada na caatinga e usada na medicina popular para tratamento de úlceras serosas e inflamações.11-13 Da sua resina foram isolados os triterpenos lupeol, lupenona, taraxerona, acetato de taraxerol e olean-13(18)-en-3-ona.11

Continuando nossas pesquisas com espécies do semiárido, neste estudo, foi realizada uma investigação fitoquímica das raízes de E. phosphorea. Através de técnicas cromatográficas foram isolados dez diterpenos, sendo um inédito, o ent-abietano 11β,12β-dihidróxi-ent-abieta-8(14),13(15)-dien-16,12α-olídeo (1), e nove conhecidos (2-10). Também foram realizados testes in silico e in vitro para avaliação da atividade antimicobacteriana de todos os diterpenos isolados, contra cepas de M. tuberculosis H37Ra e de M. smegmatis mc2155.

 

PARTE EXPERIMENTAL

Procedimentos experimentais gerais

Para separação por cromatografia líquida de média pressão (CLMP) foi utilizado equipamento BUCHI modelo Sepacore flash system X-50 e como fase estacionária sílica gel (40-63 µm, 230-400 mesh, SiliCycle®). As frações obtidas foram analisadas por cromatografia em camada delgada (CCD) utilizando placas de alumínio pré-revestidas com sílica gel F254 (SiliCycle®), visualizados sob luz UVGL-58 Mineralight® com dois comprimentos de onda (254 and 365 nm) e agrupadas de acordo com a similaridade de eluição. A cromatografia líquida de alta eficiência (CLAE) analítica foi realizada em instrumento Shimadzu Prominence equipado com uma bomba de solvente binária LC-20AT, auto-injetor SIL-20A, sistema degaseificador DGU-20A, detector DAD SPD-M20A, sistema de controle CBM-20A e as colunas de fase reversa 100 10 C18 (250 mm × 4,6 mm preenchida com partículas de 10 µm) ou ACE 5 C18 (250 mm × 4,6 mm e partículas de 5 µm). Para purificação das frações por CLAE foram realizadas separações em escala semi-preparativa e preparativa. Para a primeira técnica foi utilizado um equipamento Shimadzu composto por bomba LC-10AD vp, válvula solenoide FCV-10AL vp, injetor manual Rheodyne, desgaseificador DGU-14A, detector UV-vis SPD-10A vp, controlador de sistema SLC-10A vp e uma coluna semi-preparativa Venusil XBP C18 (250 mm × 10 mm e partículas de 10 µm). Para escala preparativa a purificação foi realizada em um equipamento Shimadzu contendo duas bombas LC-6AD, injetor manual Rheodyne, detector DAD SPD-M10A vp, controlador de sistema SLC-10A vp e coluna preparativa ACE 5 C18 (250 mm × 21,2 mm e partículas de 5 µm). O fluxo empregado para as purificações foi de 3,5 mL min-1 para a escala semipreparativa e 8,0 mL min-1 para a preparativa, realizando-se, para ambas, injeções de 100 µL de amostra para cada corrida cromatográfica.

O espectro de massas de alta resolução com ionização por electrospray (EMAR-IES) foi obtido em equipamento Bruker modelo micrOTOF II, operando no modo positivo. Os espectros de RMN de 1H, 13C e bidimensionais foram adquiridos no espectrômetro Bruker AVANCE III HD (400 MHz e 100 MHz para 1H e 13C, respectivamente) usando CDCl3 como solvente e utilizando sinais do CHCl3 residual (δH 7,24 e δC 77,0) como padrão de referência para os deslocamentos químicos. As análises de infravermelho foram realizadas nos espectrômetros PerkinElmer Frontier FT-IR, com pastilhas de KBr e número de onda medido em cm-1. A rotação óptica foi obtida em aparelho JASCO DIP-370.

Material vegetal

As raízes de E. phosphorea foram coletadas no Parque das Pedras (7º04'36" S, 36º03'40" W), localizado no município de Pocinhos, Paraíba, Brasil em maio de 2017. O registro de acesso ao Sistema Nacional de Gestão do Patrimônio Genético e do Conhecimento Tradicional Associado (SisGen) foi obtido sob o número A22E9B0. A identificação botânica foi realizada pelo Dr. José Iranildo Miranda de Melo e uma exsicata foi depositada no Herbário Manuel de Arruda Câmara da Universidade Estadual da Paraíba, sob código HACAM 883.

Extração e isolamento

As raízes de E. phosphorea foram secas em estufa de ar circulante a 45 °C por 72 h e, em seguida, trituradas produzindo 995,0 g de pó. Esse material foi então submetido ao processo de extração por maceração com n-hexano (3 L), durante 72 h por 3 vezes. Em seguida, a solução extrativa obtida foi filtrada e concentrada sob pressão reduzida em evaporador rotativo a uma temperatura média de 40 °C, resultando em 65,7 g de extrato hexânico. Uma alíquota desse extrato (7,0 g) foi fracionada por CLMP usando sílica gel e gradientes dos solventes Hex:AcOEt (100:0 → 0:100) e AcOEt:MeOH (100:0 → 30:70), resultando em 101 frações de 50 mL que após análise em CCD foram agrupadas em 28 (Hx1 Hx28). A fração Hx11 (787,3 mg) obtida em Hex:AcOEt (85:15) foi purificada por CLAE semi-preparativa com sistema gradiente de água e acetonitrila, de 40 a 100% em 80 minutos a 215 nm, dando origem aos compostos 2 (7,4 mg, tR 52,1 min) e 3 (6,1 mg, tR 63,2 min). A fração Hx15 (243,5 mg) obtida em Hex:AcOEt (80:20) também foi purificada por CLAE semi-preparativa com gradiente de água e acetonitrila de 30 a 100% em 140 minutos a 220 nm, fornecendo os compostos 4 (7,4 mg, tR 75,8 min) e 5 (4,5 mg, tR 85,3 min). A fração Hx18 (177,8 mg) eluída em Hex:AcOEt (70:30) foi purificada por CLAE preparativa com sistema gradiente de água e acetonitrila de 50 a 80% em 60 minutos e foi obtido o composto 6 (1,6 mg, tR 53 min). A fração Hx20 (51 mg) obtida em Hex:AcOEt (60:40) foi purificada por CLAE semi-preparativa com sistema gradiente de água e acetonitrila de 45 a 75% em 65 minutos a 215 nm e foi obtido o composto 7 (2,6 mg, tR 55,2 min). A fração Hx22 (156,2 mg) obtida em Hex:AcOEt (40:60) foi purificada por CLAE preparativa com sistema isocrático de água e acetonitrila 43:57 durante 15 min, seguido de sistema isocrático de água e acetonitrila 58:42 por 50 min e foram obtidos os compostos 8 (1,5 mg, tR 70 min), 9 (1,8 mg, tR 49 min), 1 (1,2 mg, tR 53 min) e 10 (2,2 mg, tR 65 min).

Banco de dados

A partir do banco de dados ChEMBL foram selecionadas estruturas químicas de produtos naturais, sintéticos e de medicamentos utilizados na terapêutica no tratamento da tuberculose para a construção do modelo preditivo (ChEMBL ID: CHEMBL360). Os compostos foram classificados a partir da pCIM (-log(CIM)), ressaltando que a CIM (Concentração Inibitória Mínima) representa a concentração mínima necessária para limitar o crescimento visível de uma bactéria. Compostos com pCIM > 4,74 foram considerados ativos, e com pCIM < 4,73 foram considerados inativos. Essa divisão é realizada de modo a ter um número necessário de amostras para se criar um padrão e aumentar a probabilidade de acerto do modelo em selecionar moléculas ativas, ou seja, quanto maior o pCIM menor a concentração do composto químico e consequentemente mais potente é sua atividade, contudo, é necessário ter um número suficiente de amostras para que o modelo possa distinguir os compostos ativos dos inativos.

Para todas as estruturas foram utilizados códigos SMILES como dados de entrada para o Marvin 18.10.0, 2018, ChemAxon14 (http://www.chemaxon.com). Usou-se ainda o software Standardizer JChem 18.10.0, 2018, ChemAxon15 o qual converte as diversas estruturas químicas em representações canônicas personalizadas, ou seja, altera a forma de escrever o anel aromático de modo a incluir todas as formas ressonantes. Essa padronização é de suma importância para criar bibliotecas de compostos consistentes, além de obter as estruturas em formas canônicas, adicionar hidrogênios, aromatizar, gerar o 3D e salvar os compostos em formato SDF.

Descritores Volsurf+ v.1.0.7

Descritores moleculares foram gerados e usados para prever as propriedades biológicas e físico-químicas das moléculas dos dois bancos de dados depois que as moléculas foram transformadas em uma representação molecular, ou seja, foram escritas de modo que o programa reconheça as estruturas químicas e possa realizar o cálculo dos descritores moleculares. O software VolSur+ v.1.0.716,17 pode calcular 128 descritores moleculares usando campos de interação molecular (MIF, do inglês Molecular Interaction Fields) por meio das seguintes sondas: N1 (sonda doadora de ligação de hidrogênio), O (sonda receptora de ligação de hidrogênio), OH (sonda de água) e DRY (sonda hidrofóbica), esses MIFs são calculados ao redor da molécula alvo.

Modelos Random Forest

Utilizou-se o Knime 4.4.0 the Konstanz Information Miner Copyright, 2003-2020, www.knime.org18 para geração e análise do modelo de predição in silico. O banco de moléculas com as atividades conhecidas, banco obtido a partir do ChEMBL, juntamente com seus descritores moleculares foi importado do programa Volsurf+ v.1.07, particionado em dois conjuntos de moléculas, um para treino e outro para teste do modelo, representando 80 e 20% de todos os compostos, respectivamente. Essa partição foi realizada de maneira estratificada, ou seja, mantendo a proporção de moléculas ativas e inativas nos dois conjuntos.

O modelo foi criado utilizando a técnica de validação externa quíntupla (do inglês "5-fold external validation"), cujo grupo de treino foi particionado cinco vezes, criando cinco bancos com a mesma proporção de moléculas ativas e inativas. Assim, foram criados cinco modelos para a validação externa. Nessa validação o conjunto de teste foi utilizado para avaliar os modelos criados. Em seguida foi realizada a análise de performance como sendo a média dos cinco modelos.19,20 Para a criação desse modelo de predição foi utilizado o algoritmo Random Forest (RF), selecionando os parâmetros de 100 florestas e 1550953075932 sementes na geração de números aleatórios para o modelo.

Na avaliação da performance do modelo foi analisada a sensibilidade (taxa de verdadeiro positivo, ou seja, taxa de ativos), especificidade (taxa de verdadeiro negativo, ou seja, taxa de inativos), precisão (previsibilidade geral), valor preditivo positivo (VPP) e valor preditivo negativo (VPN), bem como a avaliação da curva ROC (do inglês Receiver Operating Characteristics), que descreve o desempenho real do modelo.

Também foi utilizado o coeficiente de correlação de Matthews (MCC - "Matthews correlation coeficiente"), para avaliar o modelo globalmente a partir dos resultados obtidos na matriz de confusão. O MCC é um coeficiente de correlação entre as classificações binárias observadas e preditivas. Isso resulta em um valor entre -1 e +1, onde um coeficiente de +1 representa uma previsão perfeita, 0 é nada mais que uma previsão aleatória e -1 indica desacordo total entre previsão e observação.21,22

O coeficiente de correlação de Matthews pode ser calculado a partir da seguinte fórmula:

em que VP é o valor do verdadeiro positivo, VN é o valor do verdadeiro negativo, FP é o valor dos falsos positivos e FN dos falsos negativos.

O domínio de aplicabilidade (APD) foi utilizado para analisar os compostos dos conjuntos de testes, avaliando se suas previsões eram confiáveis. O APD é baseado em distâncias euclidianas e medidas de similaridade entre os descritores do conjunto de treinamento são usadas para definir o domínio da aplicabilidade; portanto, se um composto do conjunto de teste tiver distâncias e semelhanças além desse limite, sua previsão não será confiável. O cálculo do APD é realizado através da fórmula:

em que d e σ são as distâncias euclidianas e o desvio médio padrão, respectivamente, dos compostos no conjunto de treinamento. Z é um valor de corte empírico e, neste trabalho, o valor de Z foi usado como 0,5.22,23

Atividade antimicobacteriana

Para a realização dos testes de avaliação da atividade antimicobacteriana foram utilizadas as drogas controle: rifampicina (RIF) e moxifloxacino (MOX), adquiridas da Sigma-Aldrich, e isoniazida (INH), obtida da ACROS Organics. As cepas de M. tuberculosis (H37Ra) e M. smegmatis (mc2155) foram cultivadas conforme descrito por Taneja e colaboradores.24 Os ensaios foram realizados em triplicata, utilizando microplacas de poliestireno com 96 poços em fundo em U.25

Todas as amostras, incluindo as usadas como controle positivo, foram sempre mantidas em meio Middlebrook 7H9 + ADC + DMSO 2.5%. As soluções controle (RIF, MFX e INH) foram preparadas na concentração de 1 mmol L-1 em DMSO. Enquanto os diterpenos foram solubilizados em DMSO a uma concentração de 20 mmol L-1 e depois diluídos em caldo Middlebrook 7H9 para atingir uma concentração de 500 µmol L-1. Diluições seriadas foram realizadas mantendo a concentração final de DMSO em 2,5% para todos os poços.

Para determinação da CIM contra M. tuberculosis as suspensões micobacterianas das cepas H37Ra foram diluídas em meio 7H9 a uma densidade óptica teórica (DO 600 nm) de 0,003 e incubadas por 7 dias a 37 ºC. Em seguida, foram adicionados 30 µL de solução de resazurina a 0,02% e incubadas novamente incubação por 48 h a 37 graus para análise do crescimento bacteriano por redução de resazurina. A leitura dos resultados considerou azul para cepas mortas e rosa para cepas viáveis. INH, RIF e MOX foram utilizados como controle positivo.26

Para a avaliação da CIM para cepas de M. smegmatis mc2155, foram utilizados os mesmos parâmetros acima, diferenciando nas suspensões micobacterianas que foram diluídas a uma densidade óptica teórica (DO 600 nm) de 0,0005, e o período de incubação de 24 h, a 37 ºC. A leitura dos resultados também considerou azul para cepas mortas e rosa para cepas viáveis. MOX foi usado como controle positivo.24,26

 

RESULTADOS E DISCUSSÃO

O estudo químico do extrato hexânico das raízes de E. phosphorea levou ao isolamento de dez compostos (1-10) (Figura 1), sendo um novo diterpeno 11β,12β-dihidróxi-ent-abieta-8(14),13(15)-dien-16,12α-olídeo (1) e nove compostos relatados anteriormente na literatura. Suas estruturas químicas foram determinadas com base na análise de dados espectroscópicos de RMN uni e bidimensionais, espectrometria de massas de alta resolução com ionização por electrospray (EMAR-IES), infravermelho (IV), dicroísmo circular eletrônico (ECD, do inglês Eletronic Circular Dichroism) e comparação com dados na literatura. Os dados de RMN de 1H e 13C do composto 1 estão compilados na Tabela 1.

 

 

 


Figura 1. Diterpenos ent-abietanos isolados de E. phosphorea

 

O composto 1 foi obtido como cristais incolores, com rotação óptica [α]25 - 8,5 (c 0,001, MeOH). Sua fórmula molecular foi determinada por EMAR-IES que mostrou o pico do íon [M+H]+ com m/z 333,2054 (calcd. para C20H29O4, 333,2060) compatível com a fórmula molecular C20H28O4. O espectro de infravermelho mostrou bandas de absorção para grupamentos hidroxila em 3488 e 3446 cm 1, e em 1744 e 1603 cm-1 para uma γ-lactona α,β,γ,δ-insaturada. O espectro de RMN de 1H (CDCl3, 400 MHz) mostrou sinais para três metilas (δH 0,71, 0,82, 0,89), um grupo metil vinílico (δH 1,85), um grupo oximetínico (δH 3,85, J = 6,4 Hz) e um hidrogênio olefínico (δH 6,19). O espectro de RMN de 13C (CDCl3, 100 MHz) indicou a presença de 20 carbonos, associados a quatro metilas, cinco carbonos metilênicos, quatro carbonos metínicos e sete carbonos não hidrogenados. Os sinais em δC 113,1 (C-14), 119,9 (C-15), 152,2 (C-13), 153,5 (C-8) e 172,9 (C-16) indicaram a presença do grupo γ-lactona α,β,γ,δ-insaturada semelhante aos diterpenos ent-abietanos isolados anteriormente em espécies de Euphorbia. Também foram observados os sinais em δC 70,2 (C-11) e 102,0 (C-12), sugerindo que o composto 1 seria semelhante ao composto conhecido 11β-hidróxi-12β-metóxi-ent-abieta-8(14),13(15),-dien-16,12α-olídeo isolado de E. ebracteolata27 apresentando como diferença a presença de um grupo hidroxila em C-12 (δC 102,0), enquanto o composto relatado por Liu e colaboradores apresenta um grupo metoxila em C-12 (δC 105,3). Os espectros de RMN de 1H e de 13C apresentaram ainda os deslocamentos δH 2,24 (td, J =14,0; 6,1 Hz, H-7ax), 2,50 (ddd, J = 14,0, 4,6, 1,8 Hz, H-7eq), característicos de hidrogênios metilênicos, e δC 36,4 para o carbono metilênico C-7. Foram observadas as correlações por HMBC dos hidrogênios metilênicos H-7ax (δH 2,24) com C-6 (δC 23,3), C-8 (δC 153,5) e C-14 (δC 113,1) e H-7eq com C-5 (δC 54,2), C-8 (δC 153,5), C-9 (δC 59,0) e C-14 (δC 113,1), do hidrogênio oximetínico H-11 (δH 3,85) com C-9 (δC 59,0), C-10 (δC 40,7) e C-12 (δC 102,0), do hidrogênio vinílico H-14 (δH 6,19) com C-7 (δC 36,4), C-8 (δC 153,5), C-9 (δC 59,0) e C-12 (δC 59,0), e entre os hidrogênios alílicos da metila C-17 (δH 1,85) com C-13 (δC 152,2), C-15 (δC 119,9) e C-16 (δC 172,9). A estereoquímica relativa de C-11 foi determinada por NOESY, atribuindo a hidroxila em C-11 com orientação β a partir das correlações entre os hidrogênios da metila C-20 e H-11, indicando para H-11 orientação α (Figura 2). Foram observadas também correlações dos hidrogênios desta mesma metila (C-20) com H-6ax, dos hidrogênios da metila C-19 com H-11, e de H-5/H-7ax/H-9. Em relação a configuração absoluta do composto 1, o espectro experimental de ECD obtido em CHCl3 (Figura 3S) apresentou efeito Cotton negativo em aproximadamente 285 nm, semelhantes ao observado para o espectro de ECD do eupholide C.28 As diferenças estruturais entre os compostos, uma hidroxila em C-7 e um grupo metoxi em C-12 em eupholide C, não interferem significativamente nos cromóforos dos compostos e por isso pode-se inferir que ambos os compostos possuem a mesma orientação espacial dos átomos. Logo, foi determinado a configuração absoluta do composto 1 como 5R, 9S, 10R, 11R, 12R. Com base nesses dados, foi possível propor 1 como um novo diterpeno ent-abietano denominado 11β,12β-dihidróxi-ent-abieta-8(14),13(15)-dien-16,12α-olídeo. Os demais compostos conhecidos foram identificados como: jolkinolídeo A (2),29 jolkinolídeo E (3),29 euforina H (4),30 eufopilolídeo (5),31 jolkinolídeo F (6),32 ent-12-hidróxi-12[R]-abieta-8(14),13(15)-dien-16,12-olídeo (7),33 ent-11α-hidroxiabieta-8(14),13(15)-dien-16,12α-olídeo (8),29 17-hidroxijolkinolídeo B (9),6 caudicifolina (10)29,34 (Tabelas 1S, 2S e 3S).

 


Figura 2. Principais correlações observadas no mapa de correlação HMBC (setas em vermelho) e NOESY (setas em azul) do composto 1

 

Modelo preditivo para M. tuberculosis

Na análise do modelo de predição RF, foi observado que o modelo preditivo para M. tuberculosis construído obteve bons resultados de desempenho, com uma acurácia de 77%. A curva ROC e o MCC também obtiveram resultados satisfatórios, curva ROC foi de 0,86 e MCC a 0,56, revelando um modelo com boas taxas de classificação, performance e robustez. É importante lembrar que modelos perfeitos possuem valores de performance de 1 (100%).

Uma curva ROC demonstra de maneira tridimensional a performance de um modelo e representa a sensibilidade (verdadeiro positivos) em função dos falsos positivos (1 - especificidade). É calculado então a área sob a curva (AUC) aonde seus valores vão de 0 a 1. Quanto mais próximo de 1 do eixo Y melhor é o acerto do modelo.35,36 A Tabela 2 descreve as características do modelo quanto ao poder preditivo e a Figura 3 revela a performance e robustez do modelo através da curva ROC.

 

 

 


Figura 3. Curva ROC, verdadeiros positivos versus falsos positivos, gerado para o modelo RF AUC - área sob a curva

 

Com o alto desempenho do modelo criado, foi realizada então a triagem das dez moléculas isoladas de E. phosphorea, a fim de selecionar aquelas potencialmente ativas contra M. tuberculosis. O modelo RF foi capaz de selecionar cinco moléculas com potencial ativo variando entre 51 e 61%, dentro do domínio de aplicabilidade, sendo a molécula cinco aquela que apresentou a maior probabilidade de potencial ativo. Apesar das probabilidades estarem baixas é importante lembrar que o corte realizado no modelo para moléculas ativas foi elevado, ou seja, as moléculas foram consideradas ativas no modelo quando possuíam pMIC > 4,76. Os compostos 4, 5, 8, 9 e 10 apresentaram probabilidade de serem ativos no modelo RF. Na Tabela 3 encontra-se o valor de predição para cada uma das moléculas analisadas.

 

 

Atividade antimicobacteriana

Os dez compostos isolados de E. phosphorea apresentaram baixa atividade frente as cepas de M. tuberculosis H37Ra e M. smegmatis mc2155 (Tabela 3). Entre todos os compostos, o composto 5 apresentou inibição do crescimento com a menor concentração (CIM = 62,5 µmol L-1), validando o modelo preditivo que indicava esse composto com a maior probabilidade de apresentar atividade contra para M. tuberculosis. O composto 9 foi o único entre os testados a apresentar resposta inibitória contra M. smegmatis, também com CIM de 62,5 µmol L-1.

 

CONCLUSÕES

A investigação química do extrato hexânico das raízes de E. phosphorea levou ao isolamento de um novo diterpeno 11β,12β-dihidróxi-ent-abieta-8(14),13(15)-dien-16,12α-olídeo (1) e nove compostos conhecidos jolkinolídeo A (2), jolkinolídeo E (3), euforina H (4), eufopilolídeo (5), jolkinolídeo F (6), ent-12-hidróxi-12[R]-abieta-8(14),13(15)-dien-16,12-olídeo (7), ent-11α-hidroxiabieta-8(14),13(15)-dien-16,12α-olídeo (8), 17-hidroxijolkinolídeo B (9) e caudicifolina (10), todos relatados pela primeira vez na espécie. Os compostos apresentaram baixa atividade frente as cepas de Mycobacterium. O composto 5 apresentou resposta contra M. tuberculosis com a menor concentração, corroborando com o resultado apresentado no estudo in silico.

 

MATERIAL SUPLEMENTAR

Os espectros de IV, de RMN uni e bidimensionais, e de EMAR-IES estão disponíveis em http://quimicanova.sbq.org.br, na forma de arquivo PDF, com acesso livre.

 

AGRADECIMENTOS

Os autores agradecem à Coordenação de Aperfeiçoamento de Pessoal de Nível Superior (CAPES) (código de financiamento 001) e ao Conselho Nacional de Desenvolvimento Científico e Tecnológico (CNPq) pelo suporte financeiro e bolsas de pesquisa, ao Laboratório Multiusuário de Caracterização e Análise (LMCA-UFPB) e ao Centro Analítico de Instrumentação da Universidade de São Paulo (Central Analítica IQ-USP) pela aquisição dos espectros, e ao Instituto Nacional de Ciência e Tecnologia Tuberculose (INCT-TB) pela colaboração.

 

REFERÊNCIAS

1. Zhang, J.; He, J.; Cheng, Y.; Zhang, P.; Yan, Y.; Zhang, W.; Xu, J.; Org. Chem. Front. 2019, 6, 2312. [Crossref]

2. Vasas, A; Hohmann, J.; Chem. Rev. 2014, 114, 8579. [Crossref]

3. Yuan, W. J.; Gao, W. F.; Zhao, J. Y.; Zhang, Y.; Chen, D. Z.; Li, S. L.; Di, Y. T.; Hao, X. J.; Fitoterapia 2020, 144, 104583. [Crossref]

4. Xu, Y; Tang, P; Zhu, M.; Wang, Y; Sun, D.; Li, H.; Chen, L.; Phytochemistry 2021, 190, 112846. [Crossref]

5. Shi, Q. W.; Su, X. H.; Kiyota, H.; Chem. Rev. 2008, 108, 4295. [Crossref]

6. Che, C. T.; Zhou, T. X.; Ma, Q. G.; Qin, G. W.; Williams, I. D.; Wu, H. M.; Shi, Z. S.; Phytochemistry 1999, 52, 117. [Crossref]

7. Wang, C. J.; Yan, Q. L.; Ma, Y. F.; Sun, C. P.; Chen, C. M.; Tian, X. G.; H. Y.; Wang, C.; Deng, S.; Ma, X. C.; J. Nat. Prod. 2017, 80, 1248. [Crossref]

8. https://www.who.int/publications/i/item/9789240037021, acessada em agosto 2022.

9. https://www.gov.br/saude/pt-br/media/pdf/2021/marco/24/boletim-tuberculose-2021_24.03, acessada em agosto 2022.

10. Gupta, R.; Thakur, B.; Singh, P.; Singh, H. B.; Sharma, V. D.; Katoch, V. M.; Chauhan, S. V. S.; Indian J. Med. Res. 2010, 131, 809. Referência disponível através do link https://pubmed.ncbi.nlm.nih.gov/20571171/

11. https://www.maxwell.vrac.puc-rio.br/7219/7219.PDF, acessada em agosto 2022.

12. Fenner, R; Betti, A. H.; Mentz, L. A.; Rates, S. M. K.; Rev. Bras. Cienc. Farm. 2006, 42, 369. [Crossref]

13. Cartaxo, S. L.; Dissertação de Mestrado, Universidade Regional do Cariri, Brasil, 2009.

14. ChemAxon. Marvin; ChemAxon Ltd.; Budapeste, Hungria, 2021.

15. ChemAxon. Standardizer Software; ChemAxon Ltd.; Budapeste, Hungria, 2021.

16. Crivori, P.; Cruciani, G.; Carrupt, P.-A.; Testa, B.; J. Med. Chem. 2000, 43, 2204 [Crossref]

17. Cruciani, G.; Pastor, M.; Guba, W.; Eur. J. Pharm. Sci. 2000, 11, S29 [Crossref]

18. Berthold, M. R.; Cebron, N.; Dill, F.; Gabriel, T. R.; Kötter, T.; Meinl, T.; Ohl, P.; Thiel, K.; Wiswedel, B.; ACM SIGKDD Explorations Newsletter 2009, 11, 26. [Crossref]

19. Salzberg, S. L.; Machine Learning 1994, 16, 235. [Crossref]

20. Hall, M.; Frank, E.; Holmes, G.; Pfahringer, B.; Reutemann, P.; Witten, I. H. ACM SIGKDD Explorations Newsletter 2008, 11, 10. [Crossref]

21. Matthews, B. W.; Biochim. Biophys. Acta, Protein Struct. 1975, 405, 442. [Crossref]

22. Barros, R. P. C.; Scotti, L.; Scotti, M. T.; Curr. Top. Med. Chem. 2019, 19. [Crossref]

23. Scotti, M. T.; Scotti, L.; Ishiki, H. M.; Peron, L. M.; de Rezende, L.; do Amaral, A. T.; Chemom. Intell. Lab. Syst. 2016, 154, 137. [Crossref]

24. Taneja, N. K.; Tyagi, J. S.; J. Antimicrob. Chemother. 2007, 60, 288. [Crossref]

25. Kumari, M.; Tiwari, N.; Chandra, S.; Subbarao, N.; Int. J. Comput. Biol. Drug Des. 2018, 11, 209. [Crossref]

26. Muradás, T. C.; Abbadi, B. L.; Villela, A. D.; Macchi, F. S.; Bergo, P. F.; de Freitas, T. F.; Sperotto, N. D. M.; Timmers, L. F. S. M.; de Souza, O. N.; Picada, J. N.; Fachini, J.; da Silva, J. B.; de Albuquerque, N. C. P.; Habenschus, M. D.; Carrão, D. B.; Rocha, B. A.; Barbosa Junior, F.; de Oliveira, A. R. M.; Mascarello, A.; Neuenfeldf, P.; Nunes, R. J.; Morbidoni, H. R.; Campos, M. M.; Basso, L. A.; Rodrigues-Junior, V. S.; PloS One 2018, 13, e0202568. [Crossref]

27. Liu, Z. G; Li, Z. L.; Li, D. H.; Li, N.; Bai, J.; Zhao, F.; Meng, D. L.; Hua, H. M.; Bioorg. Med. Chem. Lett. 2016, 26, 1. [Crossref]

28. Li, D. W.; Deng, X. P.; He, X.; Han, X. Y.; Ma, Y. F.; Huang, H. L.; Yu, Z. L.; Feng, L.; Wang, C.; Ma, X. C.; Phytochemistry 2021, 183, 112593. [Crossref]

29. Lal, A. R.; Cambie, R. C.; Rutledge, P. S.; Woodgate, P. D.; Phytochemistry 1990, 29, 2239. [Crossref]

30. Kuang, X.; Li, W., Kanno, Y., Yamashita, N., Kikkawa, S., Azumaya, I.; Nemoto, K; Asada, Y.; Koike, K.; J. Nat. Med. 2016, 70, 412. [Crossref]

31. Zhang, X. D.; Ni, W; Yan, H.; Li, G. T.; Zhong, H. M.; Li, H.; Liu, H. Y.; Chem. Biodiversity 2014, 11, 760. [Crossref]

32. Maru, N.; Chikaraishi, N.; Yokota, K.; Kawazoe, Y.; Uemura, D.; Chem. Lett. 2013, 42, 756. [Crossref]

33. Sutthivaiyakit, S.; Thapsut, M.; Prachayasittikul, V.; Phytochemistry 2000, 53, 947. [Crossref]

34. Satti, N. K.; Suri, O. P.; Dhar, K. L.; Atal, C. K.; Kawasaki, T.; Miyahara, K.; Kawano, S.; Phytochemistry 1986, 25, 1411. [Crossref]

35. Hand, D. J.; Till, R. J.; Machine Learning 2001, 45, 171. [Crossref]

36. Fawcett, T.; Pattern Recognition Letters 2006, 27, 861. [Crossref]

On-line version ISSN 1678-7064 Printed version ISSN 0100-4042
Qu�mica Nova
Publica��es da Sociedade Brasileira de Qu�mica
Caixa Postal: 26037 05513-970 S�o Paulo - SP
Tel/Fax: +55.11.3032.2299/+55.11.3814.3602
Free access

GN1