|
|
| Radiação térmica e a fórmula de Planck Thermal radiation and Planck's formula |
|
Lucas Matheus Alves Gontijo; Clóves Gonçalves Rodrigues*
Escola Politécnica, Pontifícia Universidade Católica de Goiás, 74605-010 Goiânia - GO, Brasil Recebido em: 15/04/2022 *e-mail: cloves@pucgoias.edu.br In this paper, theoretical and experimental research on blackbody thermal radiation is discussed and historically ordered. The main thermal radiation equations following Planck's revolutionary idea are obtained using the formalism of statistical mechanics. These equations, already well known, are deduced in a very detailed and didactic way in order to facilitate the reader's understanding. The consequent results of Planck's formula for blackbody radiation are analyzed: the limits of the average energy for frequencies tending to zero and infinity, Stefan's law and Wien's displacement law. INTRODUÇÃO Pela sua importância como marco inicial da mecânica quântica, a radiação de corpo negro quase sempre é introduzida no capítulo inicial de livros textos padrões adotados no ensino desta disciplina em cursos de graduação em física e química, tanto os de bacharelado quanto os de licenciatura. No entanto, a maioria carece de uma apresentação um pouco mais histórica e mais ampla sobre o assunto e que apresente os cientistas envolvidos em seu desenvolvimento. Alguns textos carecem também de deduções mais detalhadas, ficando estas somente a cargo do professor que ministra a disciplina. Neste trabalho procuramos sanar um pouco estas carências, apresentando um ordenamento histórico sobre as pesquisas teóricas e experimentais da radiação térmica de corpo negro, e em seguida discutindo de forma bem detalhada e didática a demonstração das principais equações apresentadas sobre o tema nos livros textos padrões. Seguindo a ideia revolucionária de Planck são detalhadas: a fórmula de Planck para a radiação de corpo negro, os limites da energia média para frequências tendendo a zero e infinito, a lei de Stefan e a lei do deslocamento de Wien.
RADIAÇÃO TÉRMICA: UM BREVE HISTÓRICO No ano de 1823 o químico e físico dinamarquês Hans Christian Oersted (1777-1851), Figura 1(a), foi um dos primeiros interessados em medir de forma sistemática a radiação térmica.1 Avanços na medição da radiação térmica foram obtidos com a invenção do bolômetro, em um estágio ainda bastante primitivo, no ano de 1851, pelo físico sueco Adolf Ferdinand Svanberg (1806-1857).
![]() Figura 1. (a) Hans Oersted (1777-1851): descobriu que correntes elétricas podem criar campos magnéticos. (b) Balfour Stewart (1828-1887): fez pesquisas em meteorologia e campo magnético terrestre. (c) Gustav Kirchhoff (1824-1887): suas principais contribuições científicas foram no campo dos circuitos elétricos, na espectroscopia, na emissão de radiação dos corpos negros e na teoria da elasticidade. Fonte: <http://labdeeletronica.com.br/o-campo-magnetico-como-ele-foi-descoberto/>
No ano de 1858 o físico escocês Balfour Stewart (1828-1887), Figura 1(b), realizando experiências sobre absorção e emissão de radiação térmica em placas de sal de rocha, enunciou: "o poder de emissão de cada tipo de substância é igual ao seu poder de absorção, para cada comprimento de onda do calor radiante".2 Das várias publicações científicas de Balfour Stewart pode-se destacar as seguintes: "Observations with a Rigid Spectroscope, Heating of a Disc by Rapid Motion in Vacuo", "Thermal Equilibrium in an Enclosure Containing Matter in Visible Motion" e "Internal Radiation in Uniaxal Crystals". Novas experiências sobre a emissão (e) e absorção (a) do calor de materiais3 foram realizadas no ano de 1859 pelo físico alemão Gustav Robert Kirchhoff (1824-1887),4Figura 1(c). Kirchhoff deduziu por meio dos resultados obtidos nessas experiências que a relação entre a absorção e a emissão de calor era uma função do comprimento de onda λ da radiação absorvida ou emitida pelo corpo em uma temperatura absoluta T. Em 1860 o conceito de corpo negro foi introduzido por Kirchhoff: "corpo negro é o corpo que absorve toda a radiação que nele incide".4 O físico e matemático britânico James Clerk Maxwell (1831-1879), Figura 2(a), demonstrou no ano de 1860 que as velocidades das moléculas de um gás são distribuídas segundo a lei das distribuições dos erros, que foi formulada pelo astrônomo, físico e matemático alemão John Karl Friedrich Gauss (1777-1855), Figura 2(b), no ano de 1795. Segundo essa lei, a energia cinética das moléculas é proporcional à temperatura absoluta T do gás. No ano de 1872 esta lei foi generalizada pelo físico austríaco Ludwig Eduard Boltzmann (1844-1906), Figura 2(c), ficando conhecida como "lei de Maxwell-Boltzmann".5
![]() Figura 2. (a) James Clerk Maxwell (1831-1879): mais conhecido por ter dado forma final à teoria moderna do eletromagnetismo. (b) Friedrich Gauss (1777-1855): referido como "príncipe da matemática". (c) Ludwig Boltzmann (1844-1906): defensor da teoria atômica numa época em que esta ainda era bem controversa. (d) Heinrich Rudolf Hertz (1857-1894): demonstrou experimentalmente a radiação eletromagnética, como previsto teoricamente por Maxwell. Fonte: <https://twitter.com/royalsociety/status/1139080060261011456>
Já no ano de 1865 James Clerk Maxwell provou matematicamente que um distúrbio eletromagnético num meio uniforme deveria se propagar como uma onda. Tais ondas foram posteriormente denominadas de "ondas eletromagnéticas". Maxwell demonstrou também que a velocidade de propagação dessas ondas eletromagnéticas seria igual à velocidade da luz no vácuo. No ano de 1873 tais resultados, conjuntamente com a teoria eletromagnética desenvolvida por Maxwell, foram publicados em seu livro intitulado "Tratado sobre Eletricidade e Magnetismo".6 Somente mais tarde, no ano de 1887, a teoria de Maxwell foi confirmada experimentalmente pelo físico alemão Heinrich Rudolf Hertz (1857-1894), Figura 2(d), que produziu em seu laboratório as primeiras ondas eletromagnéticas, Figura 3. Essas ondas ficaram conhecidas como "ondas hertzianas", em homenagem a Heinrich Hertz.7
![]() Figura 3. Esquema do experimento de Hertz. Fonte: <https://corrosion-doctors.org/Biographies/HertzBio.htm>
O físico austríaco Josef Stefan (1835-1893), Figura 4(a), no ano de 1879 obteve um importante resultado no que diz respeito à radiação térmica.8 Fazendo medidas da área sob as curvas dos espectros radiantes obtidos em seus experimentos de esfriamento de corpos, Josef Stefan obteve a seguinte lei:
![]() Figura 4. (a) Josef Stefan (1835-1893): ensinou física na Universidade de Viena, foi vice-presidente da Academia de Ciências de Viena e membro de várias instituições científicas da Europa. (b) Eugen Cornelius Joseph von Lommel (1837-1899): conhecido pelo polinômio de Lommel e a função de Lommel; foi orientador de Johannes Stark, Nobel de Física de 1919. Fonte: <https://mathshistory.st-andrews.ac.uk/Biographies/Stefan_Josef>
![]() em que T é a temperatura absoluta do corpo (medida em kelvin) e R é a energia por unidade de tempo por unidade de área, isto é, a potência pela área. R é denominado de intensidade da radiação emitida por um corpo em uma dada temperatura T. A lei empírica de Stefan, utilizando uma notação matemática atual, é expressa por: ![]() sendo I(λ,T) uma função matemática desconhecida na época e que dependia da temperatura do corpo, T, e do comprimento de onda, λ, da radiação emitida pelo corpo. Pode-se dizer, então, que o grande desafio dos cientistas daquela época era determinar qual era esta função I(λ,T). Uma função com estas características já tinha sido ventilada por Robert Kirchhoff no ano de 1859. O físico alemão Eugen Lommel (1837-1899), Figura 4(b), em 1878 (ou seja, um ano antes do anúncio da lei de Stefan), foi um dos primeiros a tentar determinar qual era esta função I(λ,T). Para esse fim, Eugen Lommel considerou que as vibrações térmicas de um sólido podiam ser expressas por um modelo mecânico. Suas tentativas, no entanto, fracassaram. Um dos primeiros cientistas a demonstrar a lei empírica de Stefan de forma matemática foi Ludwig Eduard Boltzmann em 1884. Utilizando a termodinâmica de Nicolas Léonard Sadi Carnot9 (1796-1832) conjuntamente com a teoria eletromagnética de Maxwell, Ludwig Boltzmann considerou que a radiação eletromagnética dentro de uma cavidade (corpo negro) era similar a um gás.10 Dessa forma, Ludwig Boltzmann demonstrou que: ![]() sendo σ uma constante que passou a ser chamada posteriormente de constante de Stefan-Boltzmann. Deve ser enfatizado que em sua demonstração não era necessário o conhecimento da função I(λ,T).10 Dois anos depois (no ano de 1886) da demonstração de Boltzmann, o astrônomo e físico americano Samuel Pierpont Langley (1834-1906), Figura 5, iniciou medidas do espectro da radiação do corpo negro com um bolômetro inventado por ele mesmo em 1878, Figura 5.
![]() Figura 5. Samuel Pierpont Langley (1834-1906): publicou em 1890 suas observações sobre os raios infravermelhos junto com Frank Washington Very, sendo posteriormente a base para a formulação dos primeiros cálculos sobre o efeito estufa, realizados por Svante Arrhenius. Ao lado esquerdo esquema do bolômetro utilizado em suas pesquisas. Fonte: <https://www.slideserve.com/anson/adam-woodcraft-woodcraft-lowtemp-supa-university-of-edinburgh>
Um dos importantes feitos de Samuel Langley foi medir a intensidade da radiação eletromagnética solar na faixa de vários comprimentos de onda, incluindo a faixa do espectro infravermelho. Samuel Langley observou que o máximo da intensidade de cada radiação se deslocava com o aumento de temperatura.11 O físico alemão Wilhelm Wien (1864-1938),12Figura 6, demonstrou matematicamente em 1893, a observação experimental realizada por Samuel Langley, ficando conhecida como lei do deslocamento de Wien.13 Essa lei pode ser assim representada:
![]() Figura 6. Wilhelm Carl Werner Otto Fritz Franz Wien (1864-1938): trabalhou no laboratório de Hermann von Helmholtz e em 1886 recebeu seu Ph.D. com uma tese sobre a difração da luz em cima de metais e sobre a influência de diversos materiais sobre a cor da luz refratada. Fonte: <https://history.aip.org/phn/11811011.html>
![]() O físico alemão Louis Paschen (1865-1940), Figura 7(a), e Wilhelm Wien foram os primeiros a determinar de forma empírica a função I(λ,T) em 1896.14 Ambos obtiveram, independentemente, a seguinte equação:15
![]() Figura 7. (a) Louis Karl Heinrich Friedrich Paschen (1865-1940), estabeleceu a chamada "curva de Paschen". (b) Joseph Larmor (1857-1942): em 1903, foi nomeado professor lucasiano de matemática em Cambridge, cargo que manteve até sua aposentadoria em 1932. Fonte: <https://artuk.org/discover/artworks/sir-joseph-larmor-18571942-169020>
![]() sendo c1 e c2 constantes. O físico e matemático inglês Joseph Larmor (1857-1942), Figura 7(b), em 1897, realizou um importante trabalho teórico para um melhor entendimento do espectro de radiação de corpo negro. Joseph Larmor mostrou que ondas eletromagnéticas são emitidas quando uma carga elétrica é acelerada. Assim, o espectro de radiação contínuo emitido por um corpo negro em uma dada temperatura seria proveniente do movimento aleatório das cargas superficiais aceleradas.16 As primeiras medidas precisas17 da intensidade do espectro de radiação de corpo negro em função do comprimento de onda λ, Figura 8, foram realizadas em 1899 pelos físicos alemães Otto Richard Lummer (1860-1925) e Ernst Pringsheim (1859-1917), Figura 9. Eles usaram um instrumento semelhante aos espectrômetros de prismas usados nas medidas dos espectros ópticos, porém, utilizaram materiais especiais que eram necessários para que os prismas e lentes fossem transparentes à radiação térmica de comprimento de onda relativamente alto.18 Nas curvas apresentadas na Figura 8, é possível verificar o deslocamento para a esquerda do ponto máximo de cada curva para cada uma das temperaturas indicadas. Esse comportamento é denominado de "deslocamento de Wien".
![]() Figura 8. Medidas obtidas por Lummer e Pringsheim, em 1899, da intensidade do espectro de corpo negro versus comprimento de onda. Extraído da Ref. 17
![]() Figura 9. (a) Otto Richard Lummer (1860-1925): realizou estudos sobre luminotecnia e espectro do corpo negro; em 1884 foi assistente de Hermann von Helmholtz em Berlim. (b) Ernst Pringsheim (1859-1917): realizou pesquisas sobre calor e radiação luminosa; é conhecido por ser o primeiro a desenvolver o radiômetro, um instrumento útil para medir a radiação infravermelha. Fonte: <https://alchetron.com/Otto-Lummer>
O matemático e físico inglês Lord Rayleigh (1842-1919), Figura 10(a), continuou a busca pela função I(λ,T) que se ajustasse aos resultados experimentais.19 No mês de junho de 1900, Lord Rayleigh notou que a fórmula de Paschen-Wien só era válida para pequenos valores de λ. Assim, Rayleigh considerou que a intensidade da radiação térmica era proporcional à frequência de vibração dos modos normais de vibração dos osciladores moleculares que compunham as paredes do corpo negro. Seguindo esse caminho Rayleigh chegou à seguinte expressão:
![]() Figura 10. (a) John William Strutt (1842-1919), mais conhecido como Lord Rayleigh: recebeu o Nobel de Física, em 1904, por pesquisas sobre a densidade de gases e pela descoberta do argônio, em pesquisa realizada em conjunto com o químico inglês Sir William Ramsay. (b) Heinrich Rubens (1865-1922): obteve seu doutorado em 1889 na Universidade Humboldt, sob a orientação de Kundt, com a tese intitulada "O Reflexo Seletivo de Metais". (c) Ferdinand Kurlbaum (1857-1927): estudou matemática e física em Heidelberg e em Berlim com Hermann Helmholtz; em 1887 concluiu sua dissertação sobre a determinação do comprimento de onda das linhas de Fraunhofer. (d) Max Karl Planck (1858-1947): considerado o pai da física quântica e um dos físicos mais importantes do século XX. Fonte: <http://www.explicatorium.com/biografias/lord-rayleigh.html>
![]() sendo c2 e c3 constantes. Porém, os físicos alemães Heinrich Leopold Rubens (1865-1922), Figura 10(b), e Ferdinand Kurlbaum (1857-1927), Figura 10(c), apresentaram no mês de outubro de 1900 um trabalho experimental mostrando que a fórmula obtida por Lord Rayleigh só era válida para grandes valores de λ. Assim, a fórmula de Lord Rayleigh divergia para pequenos valores de λ, ou seja, não era válida para grandes valores de frequências do espectro da radiação emitida pelo corpo negro. Tal divergência entre os resultados experimentais para altos valores de frequência com a fórmula teórica de Rayleigh foi denominada de "catástrofe do ultravioleta". O físico alemão Max Karl Planck (1858-1947), Figura 10(d), apresentou no dia 19 de outubro de 1900 um trabalho à Sociedade de Física de Berlim em que analisava as fórmulas de Paschen-Wien e de Lord Rayleigh para a curva de radiação do corpo negro.17 Como a fórmula de Paschen-Wien se ajustava à curva experimental da radiação de corpo negro para pequenos valores de λ e a fórmula de Lord Rayleigh se ajustava à curva experimental para grandes valores de λ, Max Planck fez uma interpolação com as duas fórmulas, obtendo de forma heurística a seguinte expressão:20 ![]() sendo c1 e c2 constantes. Na próxima seção será demonstrado que essa fórmula obtida por Max Planck se reduz à fórmula de Rayleigh para grandes valores de λ e à fórmula de Paschen-Wien para pequenos valores de λ. Max Planck utilizou inicialmente todas as ferramentas disponíveis da termodinâmica pré-Boltzmann para tentar solucionar o impasse existente entre as fórmulas teóricas e os resultados experimentais para a radiação de corpo negro. Porém, obviamente não obteve sucesso nessa empreitada. Sabe-se também que, seguindo por esse caminho da física clássica Max Planck não encontrou nenhum erro na demonstração de Lord Rayleigh. O que Max Planck fez, então, foi adotar uma interpretação probabilística da entropia proposta por Boltzmann no ano de 1877. Porém, para conseguir chegar ao resultado desejado, Max Planck adotou em sua demonstração a hipótese que os osciladores moleculares das paredes do corpo negro vibravam com uma frequência ν, porém, de maneira discreta, da seguinte forma:20 ![]() sendo h uma constante e n um número inteiro (n = 1,2,3 .). Planck imaginou que a hipótese da constante h seria apenas um artifício matemático, e que num determinado momento dos cálculos quando tomasse h → 0 essa constante seria eliminada. Porém, Max Planck verificou que só era factível de conseguir uma equação que se ajustava aos resultados experimentais se a constante h fosse finita, isto é, a constante h não podia tender a zero. Dessa forma, Max Planck apresentou à Sociedade de Física de Berlim, no dia 14 de dezembro de 1900, a sua demonstração apresentando os valores das constantes c1, c2 e h: ![]() sendo k a constante de Boltzmann e c a velocidade da luz no vácuo. O valor de h apresentado por Max Planck foi o melhor valor que ele obteve para que a sua teoria ficasse o melhor possível ajustada aos dados experimentais, estando bem próximo do valor atualmente aceito de 6,62607015×10-34 J s.21 Apesar do bom acordo da fórmula de Max Planck com os dados experimentais, a ideia adotada por Max Planck em sua dedução (que a energia variava de forma discreta, e não de forma contínua) não foi imediatamente bem recebida pela comunidade científica da época. Até mesmo o próprio Max Planck tinha dúvidas em relação à hipótese por ele adotada. E mesmo depois da apresentação da fórmula de Max Planck, os físicos da época persistiram no uso da física clássica para tentar obter uma função I(λ,T) sem empregar a hipótese de discretização da energia utilizada por Max Planck. Dessa forma, Lord Rayleigh apresentou no mês de maio de 1905 (utilizando a Física Clássica) a seguinte fórmula:22 I(λ,T) = 64πkT / λ4. No entanto, existia um pequeno erro na dedução realizada por Lord Rayleigh. O erro foi corrigido pelo físico britânico James Jeans (1877-1946), Figura 11(a), que logo em seguida, no mês de julho de 1905, apresentou a equação: ![]() Esta última equação ficou conhecida, então, como "fórmula de Rayleigh-Jeans". Ainda no ano de 1905, o físico alemão Albert Einstein (1879-1955),23Figura 11(b), apresenta um trabalho no qual utiliza a hipótese de discretização da energia adotada por Max Planck para explicar o fenômeno do efeito fotoelétrico. Dessa forma, o efeito fotoelétrico torna-se uma maneira experimental e independente das experiências de radiação de corpo negro para determinação da constante h, evidenciando que a constante h não era apenas um artifício matemático para obtenção da fórmula de Planck.
![]() Figura 11. (a) Sir James Jeans (1877-1946): uma de suas descobertas mais importantes é o comprimento de Jeans, que é o raio crítico de uma nuvem interestelar no espaço, o qual depende da massa, tamanho e densidade da nuvem. Uma nuvem menor que o comprimento de Jeans não terá gravidade suficiente para superar as forças de gases exógenos, enquanto que uma nuvem maior que o comprimento de Jeans se colapsará numa estrela. (b) Albert Einstein (1879-1955) aos 26 anos; laureado com o Nobel de Física de 1921 por suas contribuições à física teórica e pela descoberta da lei do efeito fotoelétrico, fundamental no estabelecimento da teoria quântica. Fonte: <https://pt.wikipedia.org/wiki/James_Hopwood_Jeans#/media/Ficheiro:James_Hopwood_Jeans.jpg>
O físico americano Robert Millikan (1868-1953), Figura 12, realizando exaustivas experiências sobre o efeito fotoelétrico determinou experimentalmente no ano de 1914 um valor para h de 6,57×10-27 erg s, um valor bem próximo do encontrado por Planck no ano de 1900.24 Outros experimentos realizados após o ano de 1914 também evidenciaram a constante h, como o efeito Compton em 1923 e a criação de fótons no processo de produção de raios X por Bearden, Johnson e Watts na universidade Johns Hopkins em 1951.
![]() Figura 12. (a) Robert Andrews Millikan (1868-1953) em 1920: mais conhecido por ser o primeiro cientista a determinar o valor da carga do elétron, através da "experiência de Milikan"; examinou o efeito fotoelétrico exaustivamente e mostrou que determinadas radiações tinham como origem uma fonte extraterrestre, sendo o inventor do nome "raios cósmicos" para este tipo de radiação. Recebeu o Nobel de Física de 1923. Fonte: <https://pt.wikipedia.org/wiki/Robert_Andrews_Millika>
Deve-se ainda salientar algumas descobertas importantes que não foram citadas acima: i) o físico e matemático suíço Johann Jakob Balmer (1825-1898), Figura 13(a), no ano de 1885 e o físico sueco Johannes Robert Rydberg (1854-1919), Figura 13(b), no ano de 1890, propuseram uma fórmula empírica para determinar o comprimento de onda das linhas espectrais do hidrogênio na região visível, Figura 13(c). A fórmula de Balmer serviu como modelo para as fórmulas de outras séries espectrais, sendo fundamental na espectrografia atômica; ii) em 1908, Paschen descobriu as raias (ou linhas) espectrais do hidrogênio na região do infravermelho.
![]() Figura 13. (a) Johann Jakob Balmer (1825-1898): descobridor da fórmula que determina o comprimento de onda das linhas espectrais do átomo de hidrogênio. (b) Robert Rydberg (1854-1919) e (c) detalhe da fórmula de Rydberg de um pedaço do documento original. Fonte: <https://wikiciencias.casadasciencias.org/wiki/index.php/Johannes_Robert_Rydberg>
Tratemos em mais detalhes a explicação desses espectros. A radiação eletromagnética emitida por átomos livres está concentrada em um conjunto de comprimentos de onda discretos. Cada um desses comprimentos de onda é designado de "linha" devido à imagem produzida em um detector (uma chapa fotográfica, por exemplo) de um equipamento típico para medir espectros atômicos ser uma linha, como a imagem mostrada na Figura 14.
![]() Figura 14. As quatro linhas de emissões do hidrogênio visíveis no espectro na série de Balmer. Fonte: <https://brasilescola.uol.com.br/quimica/espectros-eletromagneticos-estrutura-atomo.htm>
Os espectros dos elementos foram inicialmente explicados por meio de expressões matemáticas que envolviam séries de números inteiros. A primeira expressão foi encontrada por Johann Jakob Balmer, que estudou a regularidade das posições das linhas do hidrogênio. Ele chegou à seguinte expressão: ![]() sendo n1 = 2 e n2 > 2, e λ o comprimento de onda da radiação eletromagnética emitida pela linha. Nesta expressão, ℛ é conhecida como constante de Rydberg, em homenagem ao físico Johannes Robert Rydberg, e vale segundo o "Committee on Data for Science and Technology"25 1,0973731568508×107 m-1. Variando o valor de n2, podia-se encontrar a frequência de diversas raias do espectro do hidrogênio, Figura 15. Essa sequência de raias é conhecida como a série de Balmer. Mais tarde, foi possível medir raias espectrais na região do ultravioleta e foi descoberto que, colocando n1 = 1 e fazendo n2 > 1, era possível explicar estas outras raias. Essa ficou conhecida como a série de Lyman, em homenagem ao físico americano Theodore Lyman (1874-1954), Figura 16(a). Várias outras séries foram sendo descobertas, Figura 15, e nesse sentido podemos destacar: Louis Karl Heinrich Friedrich Paschen (1865-1947), Frederick Sumner Brackett (1896-1988) e August Herman Pfund (1879-1949), Figura 16.
![]() Figura 15. Principais séries do espectro do átomo de hidrogênio. As linhas horizontais representam os níveis de energia do átomo de hidrogênio, com a linha inferior representado o estado fundamental deste átomo. Fonte: <https://pt.wikipedia.org/wiki/Espectro_do_%C3%A1tomo_de_hidrog%C3%AAnio>
![]() Figura 16. (a) Theodore Lyman (1874-1954): fez importantes estudos em fenômenos relacionados com redes de difração. (b) Frederick Brackett (1896-1988): trabalhou como observador no Observatório Monte Wilson até 1920, tendo se dedicado a estudar a radiação infravermelha do Sol. (c) August Herman Pfund (1879-1949): inventou o telescópio Pfund, que é um método para alcançar um ponto focal fixo do telescópio, independentemente de onde a linha de visão do telescópio está posicionada. (d) Niels Bohr (1885-1962): seus trabalhos foram decisivos para compreensão da estrutura atômica e da física quântica. Fonte: <https://pt.wikipedia.org/wiki/Niels_Bohr>
Alguns anos mais tarde, todas essas séries de linhas espectrais foram elegantemente explicadas pelo físico dinamarquês Niels Henrik David Bohr (1885-1962), Figura 16(d). No seu modelo de átomo, Bohr postulou que os elétrons só podiam girar em órbitas bem definidas em redor do núcleo atômico e que cada órbita possuía uma energia total (energia potencial eletrostática mais energia cinética) bem determinada. Os elétrons ficam indefinidamente nessas órbitas, podendo ir para outra órbita, desde que obedeçam ao princípio da conservação de energia. Assim, por exemplo, quando um elétron passa de um nível para outro nível de menor energia, há emissão de energia em forma de onda eletromagnética.26 Pela medida dos espectros dos elementos, pode-se, conhecendo as frequências das raias, determinar a diferença de energia entre dois níveis. Analisando todas as raias espectrais, foi possível montar o esquema dos possíveis níveis de energia dos diversos elementos.
DEMONSTRAÇÃO DAS PRINCIPAIS EQUAÇÕES DA RADIAÇÃO TÉRMICA Após essa breve introdução histórica, essa seção se dedica à demonstração e análise das principais equações sobre a radiação de corpo negro apresentadas na seção anterior. A Teoria de Planck da Radiação de Corpo Negro Numa reunião da Sociedade Alemã de Física, no dia 14 de dezembro de 1900, Max Planck apresentou o seu artigo "Sobre a Teoria da Lei de Distribuição do Espectro Normal".17,20 Ao tentar solucionar a discrepância entre a teoria e a experiência, Planck foi levado a considerar a hipótese de uma violação da lei de equipartição da energia sobre a qual a teoria clássica se baseava. Esse artigo de Planck, que a princípio atraiu pouca atenção, foi o início de uma revolução na Física. A data de sua apresentação é considerada como sendo a do nascimento da física quântica, embora somente vinte e cinco anos depois a mecânica quântica moderna, base da nossa concepção atual da natureza, tenha sido desenvolvida por Schroedinger e outros. Diversos caminhos convergiram nessa concepção, cada um deles mostrando um dos aspectos em que falhava a física clássica. A Figura 17 ilustra os resultados experimentais para a densidade de energia ρT(ν) em função da frequência ν de uma cavidade de corpo negro para três diferentes temperaturas: 1.000 K, 1.500 K e 2.000 K. A curva tracejada, a qual leva à denominada "catástrofe do ultravioleta", foi obtida usando a fórmula teórica de Rayleigh-Jeans para uma temperatura de 2.000 K.
![]() Figura 17. ρT(ν) em (10-17 J / m3 Hz) versus frequência em (1014 Hz) para três valores de temperatura. A curva tracejada foi obtida usando a fórmula teórica de Rayleigh-Jeans para uma temperatura de 2000 K
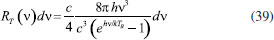
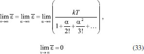
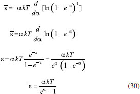
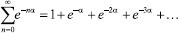
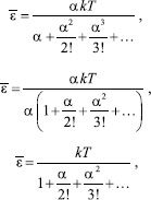
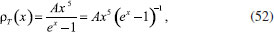
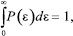
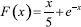
As retas tracejadas em vermelho na Figura 17 mostram o pico (máximo) de cada função para a correspondente temperatura. O ponto em que cada uma destas retas toca o eixo X é, então, a frequência para a qual a radiância espectral é máxima. Chamamos esta frequência de νmax. Nota-se claramente nas curvas apresentadas na Figura 17 um deslocamento para a direita do pico de cada curva com o aumento da temperatura. Naturalmente, se a densidade de energia, ρT, for plotada em função do comprimento de onda λ ao invés da frequência ν, ou seja, se ρT = ρT(λ), o pico irá se deslocar para a esquerda com o aumento da temperatura, como mostrado na Figura 8, pois, λ e ν são inversamente proporcionais, e neste caso teremos um λmax correspondente para cada pico. Esse comportamento é chamado de "lei do deslocamento de Wien". Para baixas frequências notava-se pelos resultados experimentais que a energia total média ε ¯ tende a kT quando a frequência ν se aproxima de zero, isso é: ![]() A discrepância para altas frequências poderia ser eliminada se por algum motivo houvesse um corte, isso é, se a energia total média tendesse a zero quando a frequência tendesse ao infinito, ou seja: ![]() Planck descobriu que nas circunstâncias que predominam no caso da radiação de corpo negro, a energia média das ondas estacionárias é uma função da frequência, ou seja: ![]() com as propriedades indicadas pelas expressões (14) e (15). Isso contradiz a lei de equipartição da energia que associa à energia média ε ¯ um valor independente da frequência. A origem da lei de equipartição surge de um resultado mais compreensível da teoria cinética clássica: a distribuição de Boltzmann, dada por: ![]() que diz que o número provável de entes n(ε) de um sistema em equilíbrio a uma temperatura T que estão em um estado de energia ε é proporcional a e-ε/kT. O valor de A irá depender da situação física a ser considerada. Para um sistema de osciladores harmônicos simples n(ε)dε é proporcional ao número provável de osciladores com energia no intervalo de (ε) a (ε+dε), visto que os estados de um oscilador harmônico simples são distribuídos uniformemente em energia. Assim, n(ε)dε é proporcional à probabilidade P(ε)dε de encontrar um oscilador em particular com energia nesse intervalo. Dessa forma: ![]() desde que a constante A seja determinada adequadamente. Sendo P(ε)dε a probabilidade de encontrar um oscilador em particular com energia entre (ε) e (ε+dε), a integral ∫ 0 ∞ P ( ε ) d ε deve ser igual a 1, pois essa integral representa a probabilidade de encontrá-lo com qualquer energia. Assim, ![]() e usando a Eq. (18), ![]() e resolvendo a integral tem-se: ![]() e inserindo este valor de A na Eq. (18) tem-se então uma forma especial da distribuição de Boltzmann,27 ![]() na qual k representa a constante de Boltzmann e P(ε)dε é a probabilidade de encontrar um dado ente de um sistema com energia no intervalo entre (ε) e (ε+dε), quando o número de estados de energia para o ente nesse intervalo independe de ε. Supõe-se que o sistema contém um grande número de entes do mesmo tipo em equilíbrio térmico a uma temperatura T. As energias dos entes do sistema considerado (um conjunto de ondas estacionárias oscilando em movimento harmônico simples em equilíbrio térmico em uma cavidade de corpo negro) são governadas pela Eq. (19). A função de distribuição de Boltzmann nos dá as informações completas sobre as energias dos entes no sistema considerado, incluindo é claro, o valor médio das energias ε ¯ . Esse valor médio pode ser obtido pela forma padrão da seguinte maneira: ![]() O denominador do lado direito da Eq. (20) é a probabilidade de encontrar o ente com qualquer energia e, portanto, será igual a um se a função P(ε) estiver normalizada, como é o presente caso. Já o integrando do numerador da Eq. (20) é a energia ε com peso dado pela probabilidade que o ente tem de ser encontrado com essa energia. Integrando-se sobre todas as energias possíveis, obtém-se o valor médio dessa energia. A grande contribuição de Planck surgiu quando ele descobriu que poderia obter o corte necessário indicado pela expressão (15) se ele modificasse o cálculo que leva de P(ε) até ε ¯ , tratando a energia ε como se ela fosse uma variável discreta em vez de uma variável contínua, como sempre foi considerado na Física Clássica. Quantitativamente, isso pode ser feito reescrevendo a expressão (20) em termos de uma soma, em vez de uma integral, ou seja: ![]() Planck supôs que a energia ε poderia ter apenas certos valores discretos, em vez de qualquer valor, e que os valores discretos de energia eram uniformemente distribuídos. Assim Planck tomou: ![]() como o conjunto de valores possíveis de energia. Aqui Δε é o intervalo constante entre valores possíveis e sucessivos de energia. Planck descobriu que ele poderia obter ε ¯ = K T quando a diferença entre energias sucessivas Δε era pequena, e ε ¯ = 0 quando Δε era grande. Como ele precisava obter o primeiro resultado para baixos valores da frequência ν, e o segundo para grandes valores de ν, ele precisava fazer de Δε uma função crescente de ν. Alguns cálculos lhe mostravam que se poderia tomar a relação mais simples possível entre Δε e ν e com essa propriedade. Assim Planck supôs que essas grandezas fossem proporcionais: ![]() Escrevendo a expressão (23) em forma de equação em vez de proporcionalidade, tem-se: ![]() em que h é uma constante de proporcionalidade. De início Planck achava que a constante h se cancelaria em algum momento e a expressão final não dependeria de h. Mas não foi isso que aconteceu. Inicialmente Planck tinha dúvidas se a constante h era simplesmente um artifício matemático ou se possuía algum significado físico. Levando-se em conta a Eq. (24) pode-se expressar a Eq. (22) da seguinte forma: ![]() sendo n = 0,1,2,3,4,.. Dessa forma a distribuição de Boltzmann dada pela Eq. (19) fica ![]() Deve-se ressaltar aqui que Planck não alterou a distribuição de Boltzmann. O que Planck fez foi tratar a energia das ondas estacionárias eletromagnéticas, oscilando senoidalmente com o tempo, como grandeza discreta em vez de contínua. Para calcular a energia média ε ¯ substituímos as Eqs. (25) e (26) na Eq. (21): ![]() Fazendo na equação anterior α = hν / kT, tem-se: ![]() ![]() Note que: ![]() e assim a Eq. (27) pode ser escrita como: ![]() Vejamos mais detalhadamente o somatório contido no argumento da função ln dessa última expressão. Tem-se que28 ![]() e fazendo nesta última equação x = e-α, tem-se: ![]() e lembrando que x = e-α, a equação anterior fica: ![]() Substituindo a Eq. (29) na Eq. (28) tem-se: ![]() ![]() Lembrando que α = hν / kT a equação anterior fica: ![]() e finalmente ![]() Analisemos os limites dessa função para ν → 0 e ν → ∞. Fazer ν → 0 e ν → ∞ é o mesmo que fazer α → 0 e α → ∞ na Eq. (30). Assim: a) Para ν → 0 (ou α → 0) Tem-se:28 ![]() e se α << 1 pode-se fazer: e α ≃ 1 + α , e a Eq. (30) fica: ![]() ou seja: ![]() b) Para ν → ∞ (ou α → ∞) Pela Eq. (30): ![]() ![]() e tomando o limite de ν → ∞ nesta última expressão: ![]() Dessa forma, verifica-se que a expressão obtida por Planck para dada pela Eq. (31) satisfaz às condições experimentais indicadas pelas expressões (14) e (15). Em uma carta endereçada à Robert Williams Wood (1868-1955), Figura 18, Planck chamou o seu limitado postulado de "um ato de desespero". Planck escreveu: "Eu sabia que o problema (do equilíbrio entre matéria e radiação) é de fundamental significado para a Física; eu sabia a fórmula que reproduz a distribuição de energia no espectro normal; uma interpretação teórica tinha que ser encontrada a qualquer custo, não interessando quão alto".29
![]() Figura 18. Robert Wood (1868-1955): físico e inventor americano; fez contribuições essenciais para o campo da óptica sendo pioneiro na fotografia infravermelha e ultravioleta. Fonte: <https://en.wikipedia.org/wiki/Robert_W._Wood>
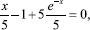
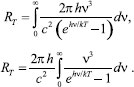
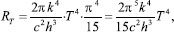
Por mais de uma década, Planck tentou encaixar a ideia quântica dentro da teoria clássica. Em cada tentativa ele parecia recuar de sua ousadia original, mas sempre gerava novas ideias e técnicas que a teoria quântica mais tarde adotou. Aparentemente, o que finalmente o convenceu da correção e do profundo significado de uma hipótese quântica foi o fato dessa hipótese levar a uma formulação mais exata da terceira lei da termodinâmica e do conceito estatístico da entropia. Inserindo o resultado obtido expresso na Eq. (31) na expressão para a densidade de energia do espectro do corpo negro:29 ![]() tem-se: ![]() Essa última expressão será importante para a demonstração da Lei de Stefan a seguir. A Lei de Stefan Seja a quantidade RT(ν), denominada de radiância espectral, que é definida de forma que RT(ν)dν seja igual à energia emitida por unidade de tempo em radiação de frequência compreendida no intervalo de ν a ν + dν por unidade de área de uma superfície a uma temperatura absoluta T. Portanto, a unidade de radiância espectral RT(ν) será no sistema internacional de unidades: W / (m2 Hz). Ressalta-se que a dependência observada experimentalmente para RT(ν) em função de ν e T é semelhante à mostrada na Figura 17 para ρT(ν). A "radiância" RT é definida como a integral da radiância espectral RT(ν) sobre todas as frequências ν. Assim a radiância RT será a energia total emitida por unidade de tempo por unidade de área por um corpo negro a uma temperatura T. Portanto, a unidade no sistema internacional de unidades de RT será: ![]() A radiância RT pode, então, ser obtida pela expressão: ![]() Como visto na seção 2, a lei de Stefan foi enunciada pela primeira vez em 1879 sob a forma de uma equação empírica: ![]() em que o fator σ = 5,67×10-8 W / m2 K4 é chamado de constante de Stefan-Boltzmann. Vejamos como obter teoricamente essa lei empírica de Stefan utilizando a ideia de Planck. Sabe-se que a radiância espectral RT(ν) está relacionada com a densidade de energia pela expressão:29 ![]() Substituindo na Eq. (38) a expressão para a densidade de energia dada pela Eq. (35), a qual foi obtida utilizando a fórmula de Planck, tem-se: ![]() Introduzindo a expressão (39) na Eq. (36) tem-se: ![]() Fazendo a transformação: ![]() com: ![]() a integral assume a forma: ![]() A solução da integral da expressão anterior é tabelada30 e o seu resultado é: ![]() e assim a radiância RT fica: ![]() e finalmente: ![]() a qual é igual à forma empírica dada na expressão (37), sendo ![]() A Lei do Deslocamento de Wien A Figura 17 mostra também que a radiância espectral RT(ν) se desloca para maiores frequências à medida que a temperatura T do corpo negro aumenta. Esse resultado é chamado de lei do deslocamento de Wien: ![]() em que νmax é a frequência ν na qual RT(ν) tem seu valor máximo para uma dada temperatura absoluta T. Quando T cresce, νmax se desloca para frequências mais altas. Como c = λν, sendo c a velocidade da luz, a lei de deslocamento de Wien expressa em (43) pode ser escrita como: ![]() em que λmax é o comprimento de onda λ no qual a radiância espectral RT(ν) atinge o seu valor máximo para uma dada temperatura T do corpo negro e cW é a constante de Wien cujo valor determinado experimentalmente é:31 ![]() Vejamos como determinar teoricamente essa lei experimental do deslocamento de Wien seguindo a ideia de Planck. Primeiro é necessário expressar o espectro de corpo negro de Planck em função do comprimento de onda λ em vez da frequência ν. Assim, é conveniente colocar a expressão da densidade de energia ρT(ν), Eq. (35), em função do comprimento de onda λ, ou seja, determinar ρT(ν). A quantidade ρT(ν) é definida a partir da igualdade: ![]() sendo que o sinal menos deve ser introduzido porque ρT(λ) e ρT(ν) são ambas quantidades positivas, porém, dν e dλ tem sinais opostos: um acréscimo na frequência ν causa um decréscimo correspondente no comprimento de onda λ. Da relação: ![]() tem-se: ![]() Substituindo a Eq. (48) na Eq. (46) tem-se: ![]() Fazendo-se ν = c / λ na Eq. (35) e a substituindo na Eq. (49) tem-se: ![]() Assim a densidade de energia ρT(λ) é: ![]() Fazendo nesta última equação a seguinte transformação: ![]() ela assume a seguinte forma: ![]() em que: ![]() Derivando a Eq. (52) em relação a x: ![]() e igualando essa última expressão a zero para determinar o ponto de máximo da função ρT(x): ![]() Multiplicando essa última expressão por: e-x / 5, tem-se: ![]() e rearranjando essa última equação ![]() Neste ponto pode-se solucionar a equação anterior pelo método gráfico, fazendo: ![]() e ![]() e plotando as duas funções F(x) e G(x) num mesmo gráfico como mostra a Figura 19.
Plotando F(x) e G(x) no mesmo gráfico, podemos determinar o ponto x0 em que essas duas curvas se cruzam, isso é, o ponto onde F(x) = G(x), obtendo que: ![]() Voltando à Eq. (51): ![]() Substituindo os valores de h, c, k, e x0 tem-se: ![]() sendo o valor à direita da expressão (55) a constante de Wien, cw, apresentada em (45). Assim, fica demonstrada a lei do deslocamento de Wien seguindo a ideia de Planck. A Eq. (53) pode ser facilmente solucionada também utilizando de recursos computacionais disponíveis atualmente, como os softwares Mathematica,32 Maple,33 etc. Por exemplo, com o uso do software Mathematica, a simples linha de comando: ![]() dá como solução: ![]() ressaltando que x = 0 também é uma solução da Eq. (53), porém, física e matematicamente inconsistente com a própria definição de x dada pela Eq. (51).
COMENTÁRIOS FINAIS Neste trabalho foram discutidas e ordenadas historicamente as pesquisas teóricas e experimentais sobre a radiação térmica de corpo negro. Foi possível obter pelo formalismo da mecânica estatística as principais equações da radiação térmica seguindo a ideia revolucionária de Planck. Essas equações, já bem conhecidas, foram deduzidas de forma bem detalhada e o mais didática possível a fim de facilitar o entendimento do leitor. Os consequentes resultados da fórmula de Planck para a radiação de corpo negro foram analisados: os limites da energia média para frequências tendendo a zero e infinito, a lei de Stefan e a lei do deslocamento de Wien. Finalizando, ressaltamos que a radiação de corpo negro corresponde historicamente ao gérmen dos conceitos da mecânica quântica, a qual é de fundamental importância para o desenvolvimento de atuais e futuras tecnologias, como por exemplo: tecnologias quânticas, "quantum 2.0", qubits, portas lógicas quânticas, computadores quânticos, e muitas outras.
REFERÊNCIAS 1. Brain, R. M.; Cohen, R. S.; Knudsen, O.; Hans Christian Oersted and the Romantic Legacy in Science (Boston Studies in the Philosophy of Science, v. 241), Springer: New York, 2007. 2. Stewart, B.; Gee, W. W. H.; Lessons in Elementary Practical Physics. Macmillan: UK, 1885. 3. Stepanov, B. I.; J. Appl. Spectrosc. 1977, 27, 1099. [Crossref] 4. Hockey, T.; The Biographical Encyclopedia of Astronomers, Springer Nature: Berlin, 2009. ISBN 978-0-387-31022-0. 5. Damião, G. J.; Rodrigues, C. G.; Physicae Organum 2021, 7, 134. 6. Maxwell, J. C. A Treatise on Electricity and Magnetism (v. 1, v. 2), Forgotten Books: London, 2012. 7. Hertz, H. R.; Mulligan, J. F.; Heinrich Rudolf Hertz: A Collection of Articles and Addresses. Routledge: Abingdon, 1994. 8. Crepeau, J. C.; Exp. Therm. Fluid Sci. 2007, 31, 795. [Crossref] 9. Gontijo, L. M. A.; Rodrigues, C. G.; História da Ciência e Ensino: Construindo Interfaces 2021, 24, 19. 10. Kubo, R.; Thermodynamics: an advanced course with problems and solutions, North-Holland Publishing Company: Amsterdam, 1968. 11. Loettgers, A.; Physics in Perspective 2003, 5, 262. [Crossref] 12. Lundqvist, S.; Nobel Lectures in Physics, World Scientific: Singapore, 1998. 13. Wien, W.; Phil. Mag. 1897, S43, 214. [Crossref] 14. Mehra, J.; H. Rechenberg. The Historical Development of Quantum Theory, v. 1, Springer-Verlag: New York, 1982. 15. Paschen, F.; Annalen der Physik 1889, 273, 69. [Crossref] 16. Larmor, J.; Phil. Trans. Roy. Soc. 1897, 190, 205. [Crossref] 17. Studart, N. A, Rev. Bras. Ensino Fis. 2000, 22, 523. 18. Kangro, H.; Early History of the Planck's Radiation Law, Taylor & Francis: London, 1976. 19. Lindsay, R. B.; Men of Physics Lord Rayleigh - The Man and His Work, Pergamon Press: New York, 1970. 20. Kangro, H.; Planck's Original Papers in Quantum Physics, Taylor & Francis: London, 1972. 21. CODATA; The NIST Reference on Constants, Units, and Uncertainty, NIST, disponível em https://physics.nist.gov/cgi-bin/cuu/Value?h, acessada em agosto 2022. 22. Rayleigh, L.; Phil. Mag. 1900, 49, 539. [Crossref] 23. Infeld, L.; Einstein, A.; A evolução da física, Zahar: Rio de Janeiro, 1980. 24. Millikan, R. A.; Phys. Rev. 1916, 7, 355. [https://dx.doi.org/10.1103/PhysRev.7.355] 25. CODATA; The NIST Reference on Constants, Units, and Uncertainty, NIST, disponível em https://physics.nist.gov/cgi-bin/cuu/Value?ryd, acessada em agosto 2022. 26. Born, M. Física Atômica, 4ª edição. Fundação Calouste Gulbenkian: Lisboa, 1965. 27. Reif, F.; Fundamentals of Statistical and Thermal Physics, McGraw-Hill: New York, 1965. 28. Rodrigues, C. G.; Tópicos de física matemática para licenciatura, Editora Livraria da Física: São Paulo, 2017. 29. Eisberg, R.; Resnick, R.; Quantum Physics of Atoms, Molecules, Solids, Nuclei, and Particles, 2nd ed., John Wiley e Sons: New York, 1985. 30. Gradshteyn, I. S.; Ryzhik, I. M.; Table of integrals, series, and products, Elsevier: Massachusetts, 2007. 31. CODATA; The NIST Reference on Constants, Units, and Uncertainty, NIST, disponível em https://physics.nist.gov/cgi-bin/cuu/Value?bwien|search_for=Wien, acessada em agosto 2022. 32. Wolfram, S.; Mathematica, disponível em https://www.wolfram.com/mathematica, acessada em agosto 2022. 33. Maple, disponível em https://www.maplesoft.com/, acessada em agosto 2022. |
On-line version ISSN 1678-7064 Printed version ISSN 0100-4042
Qu�mica Nova
Publica��es da Sociedade Brasileira de Qu�mica
Caixa Postal: 26037
05513-970 S�o Paulo - SP
Tel/Fax: +55.11.3032.2299/+55.11.3814.3602
Free access