JBCS



15:03, sáb out 25

Acesso Aberto/TP



Artigo


Metais em sedimentos da interface talude-plataforma continental da bacia potiguar em área de exploração de petróleo e gás natural offshore, NE Brasi
Metals in sediments from the shelf-slope interface off the potiguar basin offshore oil exploration area, NE Brazil

Luiz D. LacerdaI,*; Jose M. O. GodoyII; Rodrigo A. GonçalvesII; Marcia F. RochaIII; Breno F. DutraIII

I. Instituto de Ciências do Mar, Universidade Federal do Ceará, 60165-081 Fortaleza - CE, Brasil
II. Departamento de Química, Pontifícia Universidade Católica do Rio de Janeiro 22451-900, Rio de Janeiro - RJ, Brasil
III. Centro de Pesquisas Leopoldo Américo Miguez de Mello, Petrobras, 21941-915 Rio de Janeiro - RJ, Brasil

Recebido em: 16/03/2022
Aceito em: 27/07/2022
Publicado em: 20/10/2022

Endereço para correspondência

*e-mail: ldrude1956@gmail.com

RESUMO

Marine sediments collected in November 2009 and July 2011 at depths ranging from 150 m to 2,000 m in the Potiguar Basin, northeastern Brazil, were analyzed for their main sedimentological characteristics (contents of carbon, nitrogen and their stable isotopes) and metals (Al, Fe, Mn, As, Cr, Cu, Ni, Pb, V and Zn) concentrations and their spatial distribution. Sediments were relatively rich in organic matter (C-org: 0.21% to 0.56%) and metals concentrations increased with depth, suggesting an accumulation of fine and terrigenous sediments eroded and transported from the continental shelf to the slope region. Metals concentrations were higher than those observed in coarser shelf sediments, because of sorting of fine-grained sediments. Iron (Fe), Cr and Cu distribution, although presenting this general pattern, also suggests some changes along the transport. Fe and Cr, probably in discrete minerals, are less affected by accumulation in deeper sediments. The high enrichment in Cu, however, suggests additional sources directly to slope sediments, probably by biological productivity and deposition through the water column. The concentrations of all metals are lower or fall close to the lowest range of concentrations reported for slope sediments from other marine regions worldwide and no evidence of anthropogenic contribution was evident.

Palavras-chave: metals; geochemistry; offshore oil exploration; slope sediments

INTRODUÇÃO

Sedimentos marinhos profundos têm certas características que resultam em uma taxa, relativamente, alta de acumulação de metais.1 Ao contrário dos sedimentos mais grossos e sob um regime hidrodinâmico mais forte da plataforma continental, os sedimentos de talude são, geralmente, de granulometria mais fina, precisamente como resultado da erosão e transporte de materiais depositados na plataforma continental. Além do acúmulo preferencial de sedimentos finos em regime hidrodinâmico mais fraco, o processo digenético de minerais em sedimentos de águas profundas também pode promover a migração de metais através da água intersticial, acumulando-se na interface sedimento-água.2 As principais fontes de metais para sedimentos mais profundos incluem: 1: erosão e transporte de material terrígeno trazido pelos rios para a plataforma continental; 2: deposição atmosférica e sedimentação ao longo da coluna de água; 3: liberação in situ de metais associados a efluentes antropogênicos; 4: a diagêneses dos minerais presentes em camadas de sedimentos mais profundas; 5: deposição de restos orgânicos da biota marinha. Todas essas fontes também podem conter metais de origem antrópica.

Evidências de influência antrópica em sedimentos de grandes profundidades foram relatadas em várias regiões oceânicas. Por exemplo, Lacerda et al.3 relataram a influência continental nas concentrações de Hg em profundidades de 1.000 a 2.000 metros em sedimento do talude adjacente à plataforma continental sudeste do Brasil, e associaram essa influência ao transporte de material de origem continental trazidos pelos principais rios da região, inclusive do Hg utilizado na época como fungicida na bacia do rio Paraíba do Sul. Angelidis et al.4 encontraram altas concentrações de metais em sedimentos de até 2.800 metros de profundidade no Mar Mediterrâneo e as relacionaram à contribuição antrópica através da deposição atmosférica.5,6 Esses autores também encontraram enriquecimento de metais traço de origem antrópica em sedimentos profundos associados aos cânions dos rios na costa de Portugal, no Atlântico Norte. No entanto, devido às taxas de sedimentação muito baixas registradas na região do talude (geralmente ≤ 0,003 cm ano-1),7 praticamente todas as contribuições antropogênicas originadas nos últimos 500 anos estariam retidas nos primeiros 2 centímetros da superfície do sedimento, o que complica a identificação de fontes individuais, particularmente aquelas associadas ao período de industrialização mais recente, situação típica da maior parte da costa brasileira. Assim, as baixas taxas de sedimentação tornam essa identificação praticamente impossível.

Uma alternativa para identificar as principais fontes de metais em sedimentos do talude é o uso de relações geoquímicas, associadas à análise estatística multivariada, para uma série de diferentes elementos químicos presentes nos sedimentos.8,9 Dessa forma, uma avaliação periódica das concentrações e distribuição de metais no talude poderia fornecer subsídios para eventualmente identificar influências antropogênicas.

No caso da Bacia Potiguar, as atividades de produção offshore de petróleo e gás natural descartam efluentes, como aqueles originados na perfuração a partir de lamas e fluidos, e através da erosão de equipamentos de perfuração, produção e transporte, além de eventuais vazamentos. Esses efluentes podem conter metais com potencial de afetar negativamente o ambiente marinho.9,10,11 Neste estudo apresentamos e discutimos a concentração e distribuição de metais em sedimentos de talude adjacente a plataforma continental da Bacia Potiguar, área significativa de produção offshore de petróleo e gás natural no Nordeste do Brasil.

 

MATERIAL E MÉTODOS

Enquadramento ambiental

A Plataforma Continental e Talude do Nordeste Oriental Brasileiro é uma região marinha altamente energética devido à influência combinada de uma corrente de borda ocidental, ventos alísios, flutuações de mesomarés e descargas de água doce de vários rios de pequeno e médio porte. É uma região de dinâmica rica e é a origem de muitas características importantes da circulação do Oceano Atlântico. Entre 3ºN e 5ºS um típico perfil do Atlântico Sul mostra a dominância da Água Tropical (TW) encontrada da superfície a cerca de 70 m de profundidade. Entre 70 m e 100 m ocorre uma camada mista com Água Central do Atlântico Sul (SACW) dominando a coluna de água até uma profundidade de 700 m. Abaixo desta camada é observada a presença da Água Intermediária Antártica (AAIW).12 Nesse cenário encontra-se a Bacia Potiguar, a principal bacia de exploração de petróleo e gás natural do NE Brasil.

A zona costeira adjacente à Bacia Potiguar é caracterizada por uma planície costeira relativamente estreita (50 a 100 km) composta por sedimentos grosseiros siliclásticos terciários da Formação Barreiras e limitados no interior pelos afloramentos de granito do Escudo Pré-Cambriano Brasileiro. Essa geologia é a principal fonte de materiais continentais para o oceano. A bacia de drenagem continental total da região é de cerca de 200.000 km2 e as descargas fluviais para o oceano são pequenas atingindo cerca de apenas 200 m3 s-1. O clima varia de úmido, com pluviosidade anual de 1.000 a 1.200 mm, em cadeias de montanhas e vales costeiros, até semiárido, com pluviosidade anual de 500 a 700 mm nas planícies interiores, as chamadas Depressões Sertanejas. Os solos costeiros são podsols e oxisols dentro de extensos campos de dunas e praias arenosas.13 Manguezais dominam estuários e lagoas costeiras. A plataforma continental mostra baixa declividade até 70 m de profundidade (1:670 a 1:1.000) e largura que varia de 40 km no extremo leste a 100 km no setor oeste.14,15

Foram realizados dois cruzeiros oceanográficos, em novembro de 2009 e abril de 2011 na região do talude da Bacia Potiguar (RN-CE) quando foram coletadas amostras de sedimentos superficiais em 20 estações, localizadas na Malha Amostral do Talude (Figura 1) e distribuídas entre quatro isóbatas MT5 (150 m); MT6 (400 m); MT7 (1.000 m) e MT8 (2.000 m). Em cada isóbata foram amostradas 5 (cinco) estações, sendo coletadas 3 (três) amostras por estação, totalizando 60 amostras por campanha.

 


Figura 1. Localização e mineralogia simplificada das estações de coleta de sedimentos de fundo na região do talude adjacente à plataforma continental da Bacia Potiguar no nordeste brasileiro

 

A localização dos pontos de coleta de sedimentos e suas profundidades encontram-se na Figura 1 de acordo com a notação: MT51 a MT55 (150 m); MT61 a MT65 (400 m); MT71 a MT75 (1.000 m) e MT81 a MT85 (2.000 m). As amostras foram coletadas com o auxílio de busca fundo tipo Van Veen. Três subamostras coletadas nos primeiros 2 cm de sedimento, a fim de reduzir efeitos de eventuais diferenças nas taxas de sedimentação entre as estações, foram recolhidas em sacos plásticos de cada amostra, devidamente etiquetadas para transporte ao laboratório sob refrigeração. Todo o procedimento amostral seguiu protocolos limpos a fim de evitar contaminação externa e contaminação cruzada.

No laboratório, as amostras foram devidamente armazenadas em freezer, até a realização das análises. O carbono orgânico total foi quantificado em um analisador elementar Flash 2000 (Thermo Finnigan) após remoção prévia do carbono inorgânico com 1,0 M HCl, enquanto as concentrações de Nitrogênio total foram quantificadas em um analisador elementar.16 Subamostras descarbonatadas foram separadas e envidas ao laboratório da Universidade de Davis, CA, para análise de isótopos de carbono e nitrogênio por espectrometria de massa e combustão simultânea. A incerteza na determinação do δ15N e δ13C foi de 0,3 e 0,2 partes por mil, respectivamente.

As determinações de Al, Fe, Mn, As, Cr, Cu, Ni, Pb, V e Zn foram realizadas em sedimento com tamanho de grão menor que 2 mm. Alíquotas de cerca de 2 g de sedimento úmido foram colocadas em tubos de polipropileno de 50 mL, previamente pesados e secos em estufa (100 ºC) até peso constante, sendo então determinado o peso do sedimento seco. Após, foram acrescentados 10 mL de ácido nítrico subdestilado a cada tubo e deixado em repouso por 12 h à temperatura ambiente e posteriormente aquecidos a 70 ºC em chapa de aquecimento, por 5 h. Seguiu-se a adição de 1 mL de peróxido de hidrogênio e após 1 h em repouso, os tubos contendo as amostras foram levados a um banho de ultrassom, por 1 h. Seguiu-se ao aquecimento a 70 ºC, por 1 h e repouso por 12 h. Em seguida as amostras foram centrifugadas por 3 min, a 3000 rpm. Separado o sobrenadante e o resíduo lixiviado com 10 mL de água ultra purificada, centrifugado e o sobrenadante acrescentada ao extrato anterior. O volume final do extrato foi levado a 20 mL com água ultra purificada e os extratos levado à análise. As determinações foram realizadas em um espectrômetro de massa, com plasma de Argônio indutivamente acoplado, marca Agilent, modelo 7500CX.

Foram sempre utilizados materiais novos e/ou descontaminados pela lavagem sucessiva com detergente neutro, água deionizada e imersão em banho de ácido nítrico 10% v/v, por pelo menos 24 h. Após o processo de descontaminação, imediatamente antes do uso, os materiais foram lavados copiosamente com água deionizada e água ultrapura e secos em estufa, protegidos da poeira e sem contato com superfícies metálicas. O ácido nítrico subdestilado foi obtido por subdestilação de ácido nítrico PA em um subdestilador, marca MASSEN, modelo PFA-PTFE Subboliler ECO-IR. Os reagentes foram sempre PA, e as soluções de calibração preparadas a partir de soluções padrão 1.000 mg L 1 Merck.

Para a comprovação do método foi analisado o material de referência certificado: MESS-3 "Marine Sediment Reference Materials for Trace Metals and other Constituents" do National Research Council, Canadá. Essa amostra também foi analisada em duplicata. Os resultados da recuperação para cada metal são apresentados no Material Suplementar (Tabela 1S). A recuperação média do padrão certificado foi de 93% e variou de 82% para Fe a 106% para Cu, confirmando a exatidão da metodologia empregada. Os limites de detecção e de quantificação do procedimento analítico adotado calculado a partir da fórmula: LD = 3s/S; s = desvio padrão de dez leituras do branco da amostra, são apresentados no Material Suplementar (Tabela 2S).

 

 

 

 

RESULTADOS E DISCUSSÃO

Características sedimentológicas

As concentrações de C e N, sua composição isotópica e a razão molar C/N observadas nos sedimentos coletados nas duas campanhas (novembro/2009 e abril/2011) (Tabela 2), não apresentaram diferenças significativas entres as duas campanhas de amostragem (P < 0,05; n = 56). A quase totalidade das amostras incluíam sedimentos caracterizados como lamas terrígenas, com exceção de 6 estações (MT51; MT52; MT54; MT61; MT62 e MT81) constituídas por areias litoclásticas finas a muito finas e areias litoclásticas.8 As lamas terrígenas conservam relativamente bem as assinaturas dos aportes exógenos de materiais aos sedimentos oceânicos. Os sedimentos são relativamente ricos em matéria orgânica, com concentração de carbono aumentando de 0,22% para 0,56% e 0,50% (novembro/2009) e de 0,21% para 0,45% e 0,46% (abril/2011), respectivamente na isóbata de 150 metros e nas isóbatas de 1.000 e 2.000 metros de profundidade. A abundância relativa em carbono orgânico, entretanto refere-se quando comparada aos sedimentos típicos da costa nordeste brasileira, caracterizada por sedimentos arenosos, ricos em carbonatos biogênicos e com baixos conteúdos de matéria orgânica, e relativamente pobres em carbono orgânico, em relação a sedimentos de talude do sudeste brasileiro.1,8,16 Por outro lado, as concentrações de C, N e razões C/N são similares ou levemente superiores aos valores relatados em sedimentos oceânicos profundos.17 Em ambas as campanhas, as concentrações de nitrogênio total também aumentaram com a profundidade, variando de 0,03 a 0,08% (novembro/2009) e 0,03 a 0,07% e 0,06% (abril/2011), respectivamente na isóbata de 150 m e nas isóbatas de 1.000 e 2.000 m. Ocorreu um leve enriquecimento de carbono em relação ao nitrogênio resultando em um aumento na razão C/N de ~7% da isóbata de 150 m para a de 2.000 m. Esse enriquecimento também foi relatado em sedimentos de deposição mais antiga,7 sugerindo sedimentos empobrecidos em N. Os resultados obtidos no talude da Bacia Potiguar, entretanto, sugerem uma perda relativa de N por processos digenéticos, uma vez que o conteúdo total de N é maior nas amostras mais profundas. A razão isotópica permaneceu relativamente constante, variando de -18,78‰ a -19,83‰. Essa razão isotópica indica dominância de uma matéria orgânica de origem autóctone ao longo do talude. E pouca contribuição terrígena. Novamente, esse resultado difere da região sudeste, onde aportes continentais apreciáveis através de rios resultam em razão isotópica de sedimentos de talude variando entre -20‰ e -21‰.7

Distribuição de metais

A Tabela 2 apresenta as médias das concentrações dos metais nos sedimentos coletados nas diferentes isóbatas: mais rasas; de 150 m e 400 m; incluindo as estações MT51 a MT65; e mais profundas de 1.000 m e 2.000 m; estações MT71 a MT85. Não houve diferenças significativas entre as concentrações dos metais entre as duas campanhas (P > 0,05). Nas duas campanhas, os metais mais abundantes foram o Al e o Fe, com concentrações médias variando entre 3.204 µg g-1 (150 m) e 10.283 µg g-1 (2.000 m) e entre 1.592 µg g-1 (400 m) e 2.922 µg g-1 (2.000 m), para Al e Fe respectivamente. Em todas as isóbatas o Al foi mais abundante que o Fe, resultado que contrasta com a distribuição destes dois elementos em áreas mais rasas, onde as concentrações de Fe são, via de regra, maiores que as de Al, excetuando as lamas terrígenas encontradas em bolsões na plataforma continental tipicamente arenosa, onde também predomina o Al em relação ao Fe,9 confirmando assim a prevalência de sedimentos argilosos finos, de origem continental, na região do Talude.

Em ordem de abundância após o Al e o Fe seguem-se as concentrações de Mn > Zn > Cu ≥ As ≥ Cr ≥ V > Pb ≥ Ni. As concentrações de médias Mn, Zn, Cu, variaram de 19,7 a 152 µg g-1; 5,6 a 20,8 µg g-1 e 1,3 a 23,8 µg g-1, respectivamente. Levantamentos das concentrações de metais em sedimentos da plataforma continental da Bacia Potiguar (Profundidade < 100 m) foram publicados anteriormente,8,9 o que permite uma boa comparação entre os sedimentos dessas duas regiões. As concentrações de dos metais Al, Fe, Mn, Cu, Zn e Pb são maiores que aquelas encontradas em sedimentos sob as águas mais rasas na plataforma continental da Bacia Potiguar. As concentrações dos demais metais (Cr, V, Pb e Ni), que foram aqueles que apresentaram as menores concentrações, foram similares àquelas encontradas em outros setores da plataforma continental mais rasa da Bacia Potiguar.

Outra diferença importante entre os sedimentos do talude e aqueles da plataforma continental é a baixa variabilidade das concentrações de metais, mesmo considerando todas as isóbatas analisadas. As concentrações de todos os metais são relativamente constantes em cada isóbata, com desvios padrão geralmente menores que 20% da média, e inclusive menores que 10% nas estações coletadas nas isóbatas mais profundas. Comparativamente, as concentrações médias de metais em sedimentos da plataforma mais rasa (até 100 m) na Bacia Potiguar, apresentam desvios padrão geralmente são bem maiores que 50%.8,9

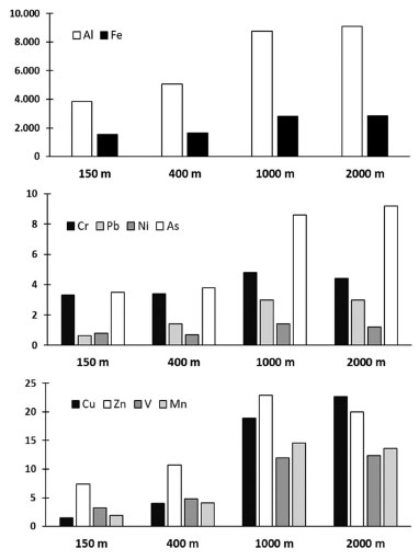
A Figura 2 apresenta a distribuição espacial das concentrações medias dos metais em todas as estações amostradas levando em consideração as duas campanhas, uma vez que as concentrações nas respectivas estações não foram significativamente diferentes entre os dois períodos amostrados. É nítido o aumento significativo nas concentrações de todos os metais, com exceção do Fe e do Cr, das isóbatas mais rasas, 150 m (MT51 - MT55) e 400 m (MT61 - MT65), para as mais profundas, 1.000 m (MT71 - MT75) e 2.000 m (MT81 - MT85). Para os metais Fe e Cr, embora ocorra um aumento de concentração, a variabilidade intrínseca em cada isóbata não permite uma diferenciação estatisticamente significativa entre os dois grupos de estações rasas e profundas. Esses metais, entretanto, encontram-se bastante associados entre si, porém com correlações mais fracas com o Al, particularmente o Cr (Material Suplementar, Tabela 3S), sugerido a ocorrência de minerais discretos como óxido, em ambas as campanhas de amostragem de Fe, não necessariamente associados as argilas.

 


Figura 2. Distribuição espacial das concentrações de metais (µg g-1) em sedimentos do talude da Bacia Potiguar, NE do Brasil

 

 

 

Os solos litorâneos da região são principalmente podosois eutróficos vermelho-amarelo e latossolos bastante enriquecidos em óxidos de ferro e são fonte importante destes elementos geogênicos para a plataforma continental.18 Durante o processo de transporte de sedimentos da plataforma continental para o talude existe forte possibilidade de diferenciação na velocidade do transporte entre os diferentes metais, particularmente daqueles que podem formar minerais discretos como o Cr e o Fe.

De forma similar, processos biológicos ocorrentes ao longo do transporte de sedimentos entre as regiões marinhas devem afetar a concentração daqueles metais sob forte influência da atividade biológica (e.g. Cu, Pb, V), o que poderia resultar em um aumento relativo das concentrações presentes no talude,6 como observado na Figura 2, particularmente para o Cu. Importante notar que o Cu apresentou concentrações similares àquelas reportadas para a plataforma continental sudeste do Brasil, sendo bem mais elevadas que as concentrações observadas em sedimentos da plataforma continental da região nordeste do Brasil. Estudos realizados na região do talude do Mar Mediterrâneo e do Atlântico Norte, processos de acumulação biológica e posterior deposição em áreas profundas têm sido relatados como capazes de aumentar em até uma ordem de grandeza as concentrações de Cu, por exemplo, na região do talude em relação às águas mais rasas. Processos diagenéticos também podem contribuir com o enriquecimento relativo do Mn nos sedimentos sob águas profundas.4,5

Resultados similares forma relatados na transição plataforma continental-talude em diversas regiões do planeta. Por exemplo, as concentrações médias de Cu em sedimentos marinhos no Quênia, com razão C/N similar àquela observada na Bacia Potiguar, aumentam progressivamente de 5 µg g-1 em áreas rasas, até 20 m de profundidade, na plataforma continental até 30 µg g-1 em áreas profundas, 1.000 m a 2.000 m de profundidade em sedimentos do talude adjacente.19 Na costa chilena, as concentrações mais elevadas de metais, também ocorrem em sedimentos mais afastados da costa e profundos em relação aos da plataforma continental mais rasa.20 Todos esses estudos também associaram os aumentos verificados com a profundidade, com a acumulação de sedimentos mais finos nas regiões de talude.

Além dos coeficientes de correlação, a razão das concentrações dos metais com a do Al nas diferentes profundidades, pode também descrever e associar eventuais aumento ou diminuição nas concentrações derivados de processos autóctones, uma vez que o Al é considerado como um elemento conservativo, que não sofre alterações ao longo do transporte. A Tabela 3 apresenta a média da razão metal/Al nas duas campanhas de amostragem, nas diferentes isóbatas amostradas na Bacia Potiguar.

Entre os metais, Fe, Cr e em menor escala o Ni, apresentam razão de concentração com o Al decrescendo significativamente da isóbata mais rasa para a mais profunda, sugerindo um transporte pouco eficiente desses metais, provavelmente associados a minerais discretos, estáveis e não associados as argilas. Esses metais têm sido associados a óxidos de Fe refratários em sedimentos da plataforma continental e talude.21,22 Os metais As e Zn, e em menor escala o Ni, não tiveram essa razão de concentração alterada ao longo do perfil de profundidade, sugerindo um comportamento conservativo indicando a presença desses metais na matriz mineral das argilas terrígenas e confirmado observações anteriores em outras regiões de talude não afetadas por atividades humanas.18 Finalmente, os metais Cu e V, mostraram aumentos de 7,6 e 3,5 vezes na razão de concentração com o Al, enquanto Pb e Mn apresentaram aumento modesto de 1,8 vezes, em relação ao Al.

Como já observado por outros autores, a produtividade biológica em um forte fator de enriquecimento das concentrações de Cu em sedimentos profundos,4,5 diferentes organismos responsáveis pela produtividade planctônica apresentam concentrações elevadas de V, o qual apresenta significativa variação quando comparado áreas em com diferentes níveis de produtividade biológica, o que resulta em aumentos na concentração de V nessas áreas.23 Perin et al.24 sugerem que a matéria orgânica de origem continental possui uma importância secundária na retenção e/ou na complexação de metais em sedimentos marinhos oxidantes, como os da Bacia Potiguar. No entanto, a assinatura isotópica do C-org (Tabela 1), sugerem uma origem eminentemente marinha para a matéria orgânica presente nos sedimentos do talude, o que corrobora a influência biológica no aumento das concentrações observadas de Cu e V, e em menor escala, de Mn e Pb. No caso desses últimos dois metais, processos diagenéticos envolvendo a solubilização/precipitação de oxihidróxidos de Mn podem também contribuir para o aumento relativo das concentrações verificado nas isóbatas mais profundas.

As concentrações de metais observadas nos sedimentos do talude da Bacia Potiguar, são comparadas com outras regiões de profundidade semelhantes no Brasil e no mundo (Tabela 4). Todos os metais, com exceção do Al e do Fe, apresentam concentrações geralmente bem inferiores àquelas reportadas para outras regiões e em relação às medias globais, quando consideradas as concentrações no folhelho médio,29 embora diferenças sedimentológicas entre o folhelho médio e os sedimentos da Bacia Potiguar devem ser levadas em consideração nesta comparação, ou em alguns casos, como o Ni, de até uma ordem de grandeza inferior àquelas faixas.

 

 

Em todas essas regiões a contribuição continental é sugerida como a principal responsável pelas concentrações encontradas nos sedimentos do talude. Na Bacia de Campos, marcadores geoquímicos indicam que a descarga fluvial é responsável por uma carga significativa de metais, eventualmente transportados até a região do talude.22,23 Na costa do Quênia,19 sedimentos tipicamente de origem tipicamente terrestre, trazidos pelos rios, são transportados associados ao material particulado em suspensão da plataforma continental para o talude. Ao longo do litoral do Chile20 e na região do Golfo de Cádiz, Espanha,28 embora sedimentos finos de origem continental sejam acumulados na plataforma continental. A erosão e transporte para regiões mais profundas do talude, envolvem um processo de separação granulometria, movimentando preferencialmente sedimentos mais finos e, por conseguinte, mais enriquecidos em metais e que, portanto, resultam em aumentos da concentração dos metais.28

Nas áreas mais urbanizadas e industrializadas, como no litoral Mediterrâneo e do Atlântico Norte, a contribuição antrópica tem sido identificada como responsável por concentrações elevadas de alguns metais de origem tipicamente industrial, como o Pb e o Ni (Tabela 4), mesmo em áreas mais profundas do talude.

A pequena contribuição fluvial da região adjacente à Bacia Potiguar, pelo menos uma ordem de grandeza menor que a região sudeste brasileira,30,31 e seu clima semiárido e consequente barramento de seus principais rios por reservatórios artificiais, resultam em restrita transferência de sedimentos de origem continentais para o oceano.32,33 Além disso, a baixa ocupação urbana e industrial típica dessa faixa do litoral brasileiro explica as baixas concentrações encontradas quando comparadas aos litorais com descargas fluviais mais significativas e muito mais urbanizados e industrializadas do sudeste do Brasil, do Mar Mediterrâneo e do Atlântico Norte. Sedimentos de talude em outras regiões sob exploração de petróleo e gás natural também não demostraram influência dessa atividade nas concentrações dos metais quantificados neste estudo no talude da Bacia Potiguar.11

 

CONCLUSÕES

As concentrações de metais em sedimentos observadas na região do talude da Bacia Potiguar sugerem fortemente que todos os metais têm origem nos sedimentos transportados do continente para plataforma continental, e aqueles mais finos e mais enriquecidos em metais, erodidos e transportados para a região do talude. Comparações com as concentrações reportadas para áreas de talude em outras regiões do mundo mostram que as concentrações de todos os metais se encontram abaixo ou no limite inferior da faixa reportada para sedimentos marinhos de regiões de talude, como resultado de características típicas da região nordeste do Brasil, sob clima semiárido e com esparsa industrialização e urbanização. Não foram detectadas influências antrópicas locais evidentes sobre as concentrações dos metais analisados.

 

MATERIAL SUPLEMENTAR

As Tabelas 1S - 3S, citadas no artigo, estão disponíveis em http://quimicanova.sbq.org.br, em formato pdf, com acesso livre.

 

AGRADECIMENTOS

Este trabalho contou com financiamento da Petrobras através do Projeto de Caracterização Ambiental do Talude Continental da Bacia Potiguar, e do CNPq - Instituto Nacional de Ciência e Tecnologia INCT-TMCOcean Proc. No. 573.601/2008-9.

 

REFERÊNCIAS

1. Lacerda, L. D.; Marins, R. V.; Geochim. Bras. 2006, 20, 123.

2. Cramp, A.; O'Sullivan, G.; Mar. Geol. 1999, 153, 11. [Crossref]

3. Lacerda, L. D.; Rezende, C. E.; Carvalho, C. E.; Ovalle, A. R. C.; Pfeiffer, W. C.; Mar. Pollut. Bull. 1993, 220, 93. [Crossref]

4. Angelidis, M. O.; Radakovitch, O.; Veron, A.; Aloupi, M.; Heussner, S.; Price, B.; Mar. Pollut. Bull. 2011, 62, 1041. [Crossref]

5. Jesus, C. C.; de Stigter, H. C.; Richter, T. O.; Boer, W.; Mil-Homens, M.; Oliveira, A.; Rocha, F.; Mar. Geol. 2010, 271, 72. [Crossref]

6. Costa A. M.; Mil-Homens, M.; Lebreiro, S. M.; Richter, T. O.; de Stigter, H. C.; Boer, W.; Trancoso, M. A.; Melo, Z.; Mouro, F.; Mateus, M.; Canário, J.; Branco, V. ; Caetano, M.; Mar. Geol. 2011, 282, 169. [Crossref]

7. Mahiques, M. M.; Fukumoto, M. M.; Silveira, I. C. A.; Figueira, R. C. L.; Bícego, M. C.; Lourenço, R. A.; Mello-e-Sousa, S. H.; An. Acad. Bras. Ciênc. 2007, 79, 171. [Crossref]

8. Aguiar, J. E.; Lacerda, L. D.; Miguens, F. C.; Marins, R. V. ; J. South Am. Earth Sci. 2014, 51, 91. [Crossref]

9. Lacerda, L. D.; Campos, R. C.; Santelli, R. E.; Environ. Monit. Asses. 2013, 185, 4427. [Crossref]

10. Rezende, C. E.; Lacerda, L. D.; Ovalle, A. R. C., Souza, C. M. M.; Gobo, A. A. R.; Souza, D. N.; Santos, D. O.; Mar. Pollut. Bull. 2002, 44, 680. [Crossref]

11. Nyarko, E.; Botwe, B. O.; Lamptey, E.; Nuotuo, O.; Foli, B. A.; Add, M. A.; Trop. Environ. Res. 2011, 9-10, 584.

12. Dias, F. J. S.; Castro, B. M.; Lacerda, L. D.; Cont. Shelf Res. 2013, 66, 123. [Crossref]

13. Lima, L. C.; Morais, J. O.; Souza, M. J. N.; Compartimentação e Gestão Regional do Ceará, 1ª ed.; FUNECE: Fortaleza, 2000.

14. Martins, L. R.; Coutinho, P. N.; Earth-Sci. Rev. 1981, 17, 87. [Crossref]

15. Arz, H. W.; Patzold, G.; Wefer, G.; Geo-Marine Lett. 1999, 19, 209. [Crossref]

16. Araujo, B. F.; Hintelmann, H.; Dimock, B.; Almeida, M. G.; Rezende, C. E.; Chemosphere 2017, 178, 42. [Crossref]

17. Müller, P. J.; Geochim. Cosmochim. Acta 1977, 41, 765. [Crossref]

18. Freire, G. S. S.; Lima, S.; Maia, L. P.; Lacerda, L. D. Em Environmental Geochemistry in Tropical and Subtropical Environments; Lacerda, L. D.; Santelli, R. E.; Duursma, E. K.; Abrão, J. J., eds.; Springer Verlag: Berlin, 2004, p. 365

19. Everaarts, J. M.; Nieuwenhuize, J.; Mar. Pollut. Bull. 1995, 31, 281. [Crossref]

20. Chandía, C.; Salamanca, M.; Mar. Pollut. Bull. 2012, 64, 2254. [Crossref]

21. Araújo, B. F.; Almeida, M. G.; Salomão, M. S. M. B.; Gobo, R. R.; Siqueira, V. C.; Ovalle, A. R. C.; Rezende, C. E.; Quim. Nova 2010, 33, 501. [Crossref]

22. Carvalho, C. E. V. ; Lacerda, L. D.; Rezende, C. E.; Ovalle, A. R. C.; Abrão, J. J.; Proceedings of the 9th International Conference on Heavy Metals in the Environment 1993, 1, 153.

23. Sella, S. M.; Neves, A. F.; Moreira, J. C.; Silva-Filho, E. V. ; Atmos. Environ. 2006, 40, 6181. [Crossref]

24. Perin, G.; Fabris, R.; Manente, S.; Wagener, A. R.; Hamacher, C.; Scotto, S.; Water Res. 1997, 31, 3017. [Crossref]

25. Rezende, C. E.; Ovalle, A.R.; Carvalho, C. E. V.; Lacerda, L. D. Em Environmental Geochemistry in Tropical and Subtropical Environments; Lacerda, L. D.; Santelli, R. E.; Duursma, E. K.; Abrão, J. J., eds.; Springer Verlag: Berlin, 2004, p. 365.

26. Everaarts, J. M.; Heesters, R.; Fischer C. V.; Hydrobiologia 1993, 258, 41. [Crossref]

27. Ramos, R.; Verde, A.; Garcia, E. M.; Ciencias Marinas 2021, 47, 185. [Crossref]

28. Palanques, A.; Diaz, J. I.; Farran, M.; Oceanol. Acta 1995, 18, 469.

29. Salomons, W.; Försner, U.; Metals in the Hydrocycle, Springer Verlag: Berlin, 1984.

30. Knoppers, B. A.; Ekau, W.; Figueiredo, A. G.; Geo-Marine Lett. 1999, 19, 171. [Crossref]

31. Medeiros, P. R. P.; Cavalcante, G. H.; Melo, E. R.; Brandini, N.; Int. J. Hydrol. 2018, 2, 190. [Crossref]

32. Marins, R. V. ; Freire, G. S. S.; Maia, L. P.; Lima, J. P. R.; Lacerda, L. D. Em South American Basins: LOICZ Global Change Assessment and Synthesis of River Catchment - Coastal Sea Interaction and Human Dimensions; Lacerda, L. D.; Kremer, H. H.; Kjerfve, B.; Salomons, W.; Marshall-Crossland, J. I.; Crossland, J. C., eds.; LOICZ: Texel, 2002, p. 98.

33. Dias, F. J. S.; Castro, B. M.; Lacerda, L. D.; Miranda, L. B.; Marins, R. V.; Estuarine, Coastal Shelf Sci. 2016, 180, 258. [Crossref]

On-line version ISSN 1678-7064 Printed version ISSN 0100-4042
Qu�mica Nova
Publica��es da Sociedade Brasileira de Qu�mica
Caixa Postal: 26037 05513-970 S�o Paulo - SP
Tel/Fax: +55.11.3032.2299/+55.11.3814.3602
Free access

GN1