® viton®" />

JBCS



12:30, sáb out 25

Acesso Aberto/TP



Artigo


Determinação dos parâmetros cinéticos de degradação e estimativa do tempo de falha de contramedidas eletrônicas "flare" do tipo magnésio teflon® viton®
Determination of degradation kinetic parameters and failure time estimation of magnesium teflon® viton® electronic "flare" countermeasures

Carlos Henrique da Silva Rodrigues*; Edemar Kirchhof; José Atílio Fritz Fidel Rocco

Departamento de Química, Instituto Tecnológico de Aeronáutica, 12228-900 São José dos Campos - SP, Brasil

Recebido em: 10/05/2022
Aceito em: 08/09/2022
Publicado em: 14/11/2022

Endereço para correspondência

*e-mail: rodrigueschsr1@gmail.com

RESUMO

Flare type countermeasures that use the composition designated as MTV (Magnesium, Teflon®, Viton®), are the most used by Air Forces around the world. In Brazil, these "flares" are used in several locations and are subjected to different handling, storage and operation conditions that can affect their performance and compromise their service life. In this work, the Monte Carlo method was applied to estimate an empirical model to predict the lifetime of these countermeasures, using as variables the temperature and the relative humidity of the place where the material is used. The results were analyzed using multiple linear regression and analysis of variance. The kinetic parameters of material thermal degradation, such as Activation Energy and Pre-exponential Factor, and the estimated failure times of these countermeasures were determined. The results pointed out to strong temperature influence on material degradation resulting in different lifetimes for each site studied.

Palavras-chave: pyrotechnics; kinetics; Monte Carlo method; shelf-life; MTV.

INTRODUÇÃO

Mísseis guiados por infravermelho (IR) têm sido a maior ameaça às aeronaves nas últimas décadas, especialmente helicópteros de baixa velocidade. O desenvolvimento de buscadores baseados em IR para orientação de mísseis tem sido um campo de pesquisa especialmente ativo.1

Da mesma forma, inúmeros sistemas de contramedidas empregados pelas aeronaves são aplicados contra essas ameaças. Nesse contexto, as contramedidas do tipo flare, que utilizam a composição designada como MTV (Magnésio, Teflon®, Viton®), são as mais comumente empregadas pelas forças aéreas ao redor do mundo.1

Entretanto, esses artefatos tendem a permanecer armazenados por longos períodos e estão sujeitos à utilização em diferentes condições climáticas, o que pode comprometer a operação segura desse tipo de material energético,2 bem como alterar o desempenho esperado em uma eventual utilização.

Neste artigo foram realizadas simulações computacionais utilizando-se uma abordagem probabilística por meio do método de Monte Carlo com objetivo de mensurar a degradação do material e o tempo estimado para falha das contramedidas em função das diferentes condições de utilização e armazenamento.

Componentes do flare MTV

As contramedidas do tipo flare baseiam-se na utilização de uma reação de um material energético pirotécnico ou pirofórico para produzir um sinal eletromagnético característico destinado a interferir com os sensores de um sistema de mísseis guiados a infravermelho.3

Os primeiros flares surgiram na década de 1950 como resultado de pesquisas em conjunto com o desenvolvimento do míssil SideWinder. Desde então, diversos tipos de flares foram desenvolvidos, apresentando formulações e características espectrais diferentes.4

Os flares mais comumente utilizados são baseados em materiais pirotécnicos, os quais utilizam uma mistura de magnésio, PTFE (ou politetrafluoroetileno) e um flouroelastômero (FPM), mais especificamente o copolímero de fluoreto de vinilideno e hexafluorpropileno. Em virtude de sua larga aplicação, flares que utilizam essa composição são chamados de convencionais ou flares MTV (Magnésio/ Teflon®/ Viton®), em virtude dos nomes comerciais registrados pela empresa DuPont® para o PTFE e FPM.5

O magnésio fornece o combustível sendo um dos metais mais apropriados em muitas aplicações devido às suas propriedades, como a baixa massa específica, a facilidade de processamento e boa estabilidade dimensional.6

A composição no flare MTV é formulada com uma concentração de magnésio superior à necessária com o objetivo de se aumentar a energia liberada durante o processo de combustão, gerando óxido de magnésio (MgO) em uma reação com o oxigênio da atmosfera, além de uma intensa luz branca. Outra consequência desse fato é a alta taxa de queima linear do material, característica necessária dos flares MTV.7

O Teflon®, também conhecido como politetrafluoroetileno (PTFE), na forma de pó é usado como um agente oxidante. O PTFE fornece uma combinação perfeita de propriedades químicas, elétricas, mecânicas, térmicas e antiaderentes, que se justificam em virtude da força da ligação C-F (507 kJ mol-1).8 A estrutura química do Teflon® é mostrada na Figura 1.

 


Figura 1. Estrutura química do Teflon®

 

Os principais produtos de decomposição deste polímero são tetrafluoroetileno (C2F4) e CF2, que também sofrem decomposição durante a reação, resultando na formação de (COF2), do ácido fluorídrico (HF) e dióxido e monóxido de carbono (CO2 e CO, respectivamente). Para uma aplicação em flares MTV, o principal a considerar é o tamanho de partícula do Teflon® usado e a importante influência que este terá na taxa de queima linear.8,9

O Viton® é um fluoroelastômero quimicamente e termicamente inerte com excelentes propriedades de vedação e é usado como um aglutinante.6 Seu uso em flares MTV é destinado à proteção das partículas de magnésio contra oxidação causada pela contaminação por umidade durante o período de armazenamento do dispositivo.8 A estrutura química do Viton® é mostrada na Figura 2.

 


Figura 2. Estrutura química do Viton®

 

Mecanismo de envelhecimento do MTV

Considera-se o envelhecimento de um pirotécnico como o tempo limite no qual o material não consegue mais realizar suas operações de maneira confiável ou segura. O envelhecimento dos agentes pirotécnicos refere-se à deterioração de suas propriedades físicas e químicas ao longo do tempo.10

Um fator que contribui sobremaneira para a degradação do material é o ambiente ao qual ele está exposto (por um determinado intervalo de tempo), com maior relevância para a temperatura e a umidade relativa. Elevadas temperaturas aumentam a velocidade das reações químicas que provocam o envelhecimento, bem como contribuem para a migração de determinadas espécies químicas. Uma alta umidade relativa favorece reações que deterioram as propriedades do material.2

Em flares MTV, essa degradação possui ao menos duas causas principais envolvendo reações do magnésio: (i) reação do magnésio com a umidade relativa presente no ambiente; (ii) reações entre essa mesma espécie (e seus compostos) com os fluorelastômeros ligantes contidos no próprio flare, como o Viton®.2,8

As reações de oxidação dos flares geram como produtos o gás hidrogênio (H2), o hidróxido de magnésio (Mg(OH)2) e o óxido de magnésio (MgO), conforme (1) e (2).5,10

A formação do hidróxido de magnésio e do óxido de magnésio ocasiona uma diminuição da capacidade de ignição do material e da produção de calor, uma vez que restringem a quantidade de magnésio livre na composição.5

Durante o processo de envelhecimento há um aumento de massa e volume do material, ocasionado pela expansão transversal e longitudinal das partículas de hidróxido de magnésio. Isso se dá pelo fato dessa substância apresentar uma maior massa específica quando em comparação com o magnésio, o que ocasiona a geração de rupturas filamentosas nesse metal.9,10

O eventual acúmulo de gás hidrogênio (ainda que em um determinado período de tempo) no interior das embalagens de armazenamento, em níveis acima do limite inferior de inflamabilidade, ocasiona o comprometimento da segurança das instalações e de eventual pessoal envolvido durante o manuseio e transporte.2

A Figura 3 apresenta o resultado do aumento de massa obtido durante o envelhecimento de flares MTV.

 


Figura 3. Aumento da massa dos flares MTV após envelhecimento11

 

Cinética de degradação térmica

Durante o armazenamento, algumas transformações desejáveis e indesejáveis podem ocorrer nos materiais. A compreensão dessas reações é de fundamental importância para a determinação da vida útil do material bem como no estabelecimento das suas condições ideais de armazenamento.12

Essas transformações podem ser expressas matematicamente e os padrões de ordem zero ou de primeira ordem descrevem a maioria das alterações observadas.12 A modelagem cinética da degradação térmica de uma reação de primeira ordem pode ser representada, genericamente, pelas Equações 2 e 3:13

em que v é a velocidade da reação, k é a constante de velocidade e C é a concentração do reagente.

Representando a Equação 3 acima na sua forma logarítmica temos a Equação 4.

Por meio da Equação 4 observa-se que o coeficiente linear obtido obedece à expressão logarítmica da concentração no tempo zero (ln [C]0) e o coeficiente angular à constante de velocidade da reação (k).

Organizando a Equação 4, o cálculo do tempo de degradação associado a um material, para uma reação de primeira ordem, é obtido conforme Equação 5.

Os métodos de cálculo de parâmetros cinéticos são utilizados para a determinação da velocidade da reação (k), energia de ativação (Ea) e temperatura de decomposição do material.14

A Equação de Arrhenius estabelece a correlação dos parâmetros cinéticos de decomposição do material com a temperatura, como apresentado na Equação 6.15

A relação da velocidade da reação proposta por Arrhenius pode ser combinada com a umidade relativa, dando origem à Equação 7.15

Transformando-se a equação acima para o formato linear e relacionando a velocidade da reação como sendo proporcional ao recíproco de tempo, tem-se a Equação 8.15

sendo A: fator pré-exponencial; Ea: energia de ativação; R: constante universal dos gases (8,314 J mol-1 K-1); T: é a temperatura absoluta (K); B: constante de sensibilidade a umidade relativa; e RH: umidade relativa (%).

 

METODOLOGIA

Para as equações acima descritas, os valores relativos à energia de ativação podem ser determinados por microcalorimetria ou por equação ajuste de mínimos quadrados (ou análise de regressão) com a utilização de dados experimentais observados, medidos em função dos valores de temperatura e umidade relativa.9,16

Visando a redução do tempo e do custo da realização dos experimentos, os testes de envelhecimento acelerado são utilizados colocando os materiais estudados sob condições mais severas do que as de funcionamento real, envolvendo variáveis como alta temperatura, umidade, tensão, dentre outras.17

O principal problema desse tipo de teste é a confiabilidade dos parâmetros do modelo de predição, uma vez que a definição das estimativas acerca das condições reais de funcionamento de um determinado material serão obtidas apenas a partir de dados de envelhecimento acelerado, que é realizado com um pequeno número de amostras testadas,17 ou seja, um pequeno espaço amostral que tende a diminuir a confiabilidade da medida.

Nesse contexto, este trabalho procurou acrescentar uma abordagem probabilística aos estudos de cinética química para verificação da aplicabilidade da utilização do método de Monte Carlo18 na estimativa dos parâmetros cinéticos da degradação do material.

Os resultados das simulações de Monte Carlo permitiram estabelecer a constante de velocidade da reação (k) do Mg em Mg(OH)2 em função dos valores de temperatura (T) e umidade relativa (RH) de diferentes localidades do território nacional brasileiro, os quais foram obtidos junto ao INMET (Instituto Nacional de Meteorologia) relacionados a um período de dez anos.

A partir desses resultados foi possível, por meio da Equação 5, a determinação do tempo estimado de falha dos flares em cada uma das dez localidades estudadas, relacionando a taxa de degradação do material em função da concentração de Mg presente no flare MTV.

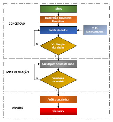
Etapas para o desenvolvimento das simulações

As simulações de Monte Carlo realizadas neste trabalho foram executadas com o objetivo de se calcular os parâmetros cinéticos da reação de degradação do magnésio (Mg) em hidróxido de magnésio (Mg (OH)2), principal indicativo de envelhecimento dos flares MTV.

Desse modo, foram estabelecidas etapas a serem seguidas para a realização desse trabalho, as quais foram divididas em:19

1) Concepção ou formulação do modelo;
2) Implementação do modelo; e
3) Análise dos resultados.

A Figura 4 apresenta o fluxograma adotado para a realização deste trabalho.

 


Figura 4. Fluxograma com as etapas do trabalho

 

Para a estruturação do modelo de simulação e implementação das simulações computacionais foram adotados alguns pressupostos, sendo eles:

1) A reação de degradação do Mg formando Mg(OH)2 foi considerada como sendo uma reação de 1a ordem.
2) As simulações de Monte Carlo foram realizadas baseando-se em estudos anteriores que apresentam a influência da temperatura e da umidade relativa na degradação de composições MTV (65/30/5).20
3) Para o cálculo do tempo de degradação do material aplicou-se a relação entre a constante de velocidade (k) como o recíproco do tempo.15
4) Estabeleceu-se que não há transformações de fase no intervalo de temperatura simulado.
5) Os dados de temperatura e umidade relativa apresentam uma distribuição normal.
6) Adotado como parâmetro limítrofe a concentração limite de 62,4% de Mg na composição, à qual não há a ocorrência da ignição do material devido à alta concentração de Mg(OH)2.10

Por fim, os resultados obtidos foram submetidos aos testes estatísticos de Análise de Variância (ANOVA) e de regressão linear múltipla para a estimativa do percentual de influência dos parâmetros de temperatura e umidade relativa na degradação dos flares MTV, bem como o estabelecimento de um modelo empírico de predição da vida útil dessas contramedidas em função dos parâmetros de T e RH.

 

RESULTADOS E DISCUSSÃO

Execução das simulações

A primeira etapa das simulações foi realizada com o objetivo de se obter as diferentes constantes de velocidade da reação (k) em função das condições climáticas das dez localidades estudadas (T e RH), e seus respectivos desvios padrões (Σ), conforme resultados apresentados na Tabela 1.

 

 

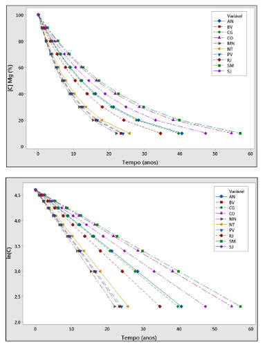
A segunda etapa das simulações consistiu na determinação dos tempos de degradação do Mg em Mg(OH)2, conforme estabelecido pela Equação 5.

A Figura 5 apresenta as curvas obtidas de degradação do Mg em cada uma das localidades estudadas. Por meio dela pode-se observar uma diferença nas suas curvas de degradação, bem como as diferentes inclinações das retas obtidas, caracterizando diferentes valores das constantes de velocidade da reação (k) obtidos em cada localidade.

 


Figura 5. Curvas comparativas do tempo de degradação dos flares em cada uma das localidades estudadas

 

A terceira e última etapa consistiu na determinação do tempo estimado de falha dos flares MTV em cada localidade, os quais podem ser verificados na Tabela 2 e na Figura 6, considerando um intervalo de confiança (IC) de 95%.

 

 

 


Figura 6. Comparação entre os tempos de falha dos flares MTV nas dez localidades estudadas

 

Análise estatística

Determinação dos parâmetros de regressão

Terminadas as simulações, os dados foram consolidados e submetidos a uma análise estatística com o objetivo de obtenção de um modelo preditivo global para a velocidade da reação da degradação do flares em função das diferentes localidades. A Tabela 3 apresenta uma compilação dos resultados das simulações para as dez localidades estudadas.

 

 

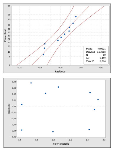
Para a aplicação e validação dos resultados do teste ANOVA alguns pressupostos obrigatoriamente foram checados, sendo eles:21

a) normalidade - resíduos normalmente distribuídos e
b) independência - não existência de correlação entre os resíduos.

A análise dos resíduos da ANOVA apresenta o valor-p para o teste de normalidade de 0,204 (Teste de Anderson Darling - AD = 0,459), indicando, assim, que os resíduos seguiram uma distribuição normal.

A Figura 7 apresenta os gráficos dos resíduos em função da resposta do modelo, indicando a sua aleatoriedade e independência.

 


Figura 7. Análise dos resíduos a) normalidade, b) independência

 

Com os pressupostos cumpridos, obtém-se na Tabela 4 os resultados da ANOVA para a degradação do magnésio em hidróxido de magnésio em função da temperatura (T) e umidade relativa (RH). O valor de p < 0,05 indica a influência dos fatores para o modelo proposto.21

 

 

Os resultados apresentados na Tabela 4 mostram que o modelo de regressão apresenta significância estatística para a descrição do fenômeno estudado, observando-se uma contribuição maior dos efeitos da temperatura para o modelo estatístico.

Observando-se os valores de RSquare e do RSquare Adj (ajustado) na Tabela 5 conclui-se que o modelo estatístico proposto explica de forma adequada os dados obtidos neste trabalho.

 

 

Para obtenção de um modelo preditivo, os dados da Tabela 3 foram submetidos a uma análise por meio do método de ajuste por mínimos quadrados. Os resultados obtidos originaram um modelo linear de regressão conforme Equação 8, ajustada como mostrada na Equação 9.

em que i representa a localidade estudada; e ε é o erro aleatório associado ao experimento.

A Tabela 6 apresenta a estimativa dos valores dos coeficientes associados a cada coeficiente, apresentando a variação induzida por cada nível na média da resposta considerando um intervalo de confiança de 95%.

 

 

Observando na tabela acima a coluna com os valores do P-Valor, percebe-se valores muito menores que o nível de significância adotado (0,05). Isso indica que os coeficientes obtidos são relevantes na estimativa de modelo estatístico proposto, ou seja, contribuem para aumentar ou diminuir a resposta predita.

Nesse contexto, a partir dos dados observados na Tabela 6, pode-se inferir que o modelo obtido pode ser considerado significativo para essa finalidade, considerando-se um intervalo de confiança de 95%. Uma vez validados os resultados obtidos, a Equação 9 pode ser reescrita, dando origem à Equação 10.

Por meio da Equação 10, foram estimados a energia de ativação e o fator pré-exponencial para a conversão do magnésio em hidróxido de magnésio, conforme mostrado na Tabela 7. Tais valores são condizentes com os encontrados na literatura.22-24

 

 

A Figura 8 apresenta as curvas de velocidade da reação em função do recíproco da temperatura, no qual, por meio da inclinação das retas, é possível obter os valores de energia de ativação conforme equação de Arrhenius.

 


Figura 8. Curvas de lnk em função de T-1

 

CONCLUSÕES

Os resultados obtidos permitiram, por meio da técnica de regressão linear múltipla, o estabelecimento de um modelo de predição, o qual foi submetido ao teste de Análise de Variância para verificação de sua aplicabilidade, resultando em um RSquare de 99,3% e um RSquare Adj de 99,11%.

Os resultados confirmaram com alta taxa de confiabilidade a influência significativa dos valores de temperatura e umidade relativa para a alteração dos valores da velocidade da reação de degradação dos flares MTV.

Os efeitos da temperatura foram mais evidenciados no modelo estatístico, uma vez que por meio dos dados coletados observou-se maior variabilidade desse fator entre as localidades, ao passo que o fator umidade se manteve em um nível relativamente alto em todas as localidades estudadas.

O modelo de predição obtido possibilitou a estimativa dos fatores cinéticos da reação de degradação, a um nível de confiança de 95%. O valor médio obtido para a Energia de ativação foi de 90,46 kJ mol-1, enquanto o valor médio do Fator pré-exponencial foi de 9,26.1013 (anos-1).

No que tange aos tempos de falha dos flares, foi verificada uma redução significativa no seu tempo de vida útil nas localidades situadas na região norte do país, evidenciado pelas altas temperaturas presentes nesses locais.

Nesse contexto, de acordo com o estudo realizado, conclui-se que após a realização das análises de microcalorimetria, a incorporação da utilização do método Monte Carlo apresentou-se como uma ferramenta de excelente aplicabilidade para a estimativa dos parâmetros cinéticos da degradação do MTV em quaisquer condições de manuseio, utilização e estocagem.

A adoção do método computacional permitiu a realização de centenas de rodadas experimentais que contribuíram significativamente para a confiabilidade dos resultados estatísticos obtidos, o que por vezes, não é possível em um experimento real em que o número de amostras é limitado e que pode envolver altos custos.

Os resultados deste estudo comprovam a hipótese de uma influência significativa na velocidade de degradação do MTV e no tempo estimado de falha provocada pela variação conjunta dos fatores temperatura e umidade relativa.

Esses resultados reforçam a necessidade de controle rígido das condições climáticas dos paióis de armazenamento desse tipo de material, uma vez que após a abertura das embalagens originais, à vácuo, em que os flares são disponibilizados pelos fabricantes, as contramedidas estarão submetidas a diferentes condições climáticas que certamente afetarão a sua vida útil e, consequentemente, a probabilidade de sobrevivência de uma aeronave em um cenário real de operação.

 

REFERÊNCIAS

1. White, J. R.; Aircraft Infrared Principles, Signatures, Threats, and Countermeasures, Naval Air Warfare Center Weapons Divsion, Point Mugu, 2012.

2. Pires, H. B.; Iha, K.; Rocco, J. A. F. F.; Resumos do 17º Simpósio de Aplicações Operacionais e de Defesa, São José dos Campos, Brasil, 2015.

3. Koch, E-C.; High Explosives, Propellants, Pyrotechnics, 1ª ed., Walter de Gruyter GmbH; 2021.

4. Douda, B.; Genesis of Infrared Decoy Flares, 1st ed., Indiana, 2009.

5. Pires, H. B.; Rocha, R. J.; Iha, K.; Binda, R. V.; Rocco, J. A. F. F.; Quim. Nova 2017, 40, 865. [Crossref]

6. Withey, M. D.; Imaging Sci J. 2010, 58, 295. [Crossref]

7. Brune, N. Em Countermeasure Systems; Pollock, D., ed.; Infrared Information Analysis Center: Michigan, 1993, cap. 4.

8. Koch, E-C.; Metal-Fluorocarbon Based Energetic Materials, 1st ed., Wiley-VCH; 2012.

9. Pires, H. B.; Dissertação de Mestrado, Instituto Tecnológico de Aeronáutica, Brasil, 2016.

10. Koc, S.; Erogul, F.; Tinaztepe, H. T.; Proceedings of 45th AIAA/ASME/ SAE/ASEE Joint Propulsion Conference & Exhibit, Denver, USA, 2009. [Crossref]

11. Bixon, E. R.; Broad, R.; DeSalvio, J.; Gagliardi, F.; Nagori, A.; Poret, J.; Zimmer, A.; Proceedings of the 35th International Pyrotechnics Seminar, Fort Collins, USA, 2008.

12. Fonseca, C. N.; Petean, P. G. C.; Rev. Bras. Iniciação Científica 2018, 5, 46. (ISSN: 2359-232X).

13. Connors, K. A.; Chemical Kinetics: The Study of Reaction Rates in Solution, 1st ed.; Wiley-VCH, 1990.

14. Kirchhof, E.; Rocha, R. J.; Nakamura, N. M.; Lapa, C. M.; Pinheiro, G. F. M.; Gonçalves, R. F. B.; Rocco, J. A. F. F.; Iha, K.; Quim. Nova 2016, 39, 661. [Crossref]

15. Waterman, K. C.; Carella, A. J.; Gumkowski, M. J.; Lukulay, P.; MacDonald, B. C.; Roy, M. C.; Shamblin, S. L.; Pharm. Res. 2007, 24, 780. [Crossref]

16. Nyholm, S. E.; Insensitive Munitions and Ageing Literature Review and Background Material, FOI, 2009.

17. Voiculescu, S.; Guerin, F.; Barreau, M.; Charki, A.; Int. J. Prod. Dev. 2006, 7, 246. [Crossref]

18. Farias, R. R.; Cardoso, L. A. M.; Oliveira-Neto, N. M.; Nascimento Junior, B. B.; Quim. Nova 2013, 36, 729. [Crossref]

19. Chwif, L.; Medina, A. C.; Modelagem e Simulação de Eventos Discretos: Teorias e Aplicações, 4ª ed., Elsevier, 2015.

20. Van Driel, C.; Leenders, J.; Meulenbrugge, J.; Proceedings of 26th lnternational Annual Conference of ICT, Karlsruhe, Alemanha, 1995.

21. Montgomery, D. C.; Design and Analysis of Experiments, 8th ed., John Wiley & Sons: New York, 2012.

22. Thomas, J. J.; Musso, S.; Prestini, I.; J. Am. Ceram. Soc. 2014, 97, 275. [Crossref]

23. Nie, H.; Schoenitz, M.; Dreizin, E.; J. Phys. Chem. C 2016, 120, 974. [Crossref]

24. Cordova, S.; Estala-Rodriguez, K.; Shafirovich, E.; Combust. Flame 2022, 237, 111861. [Crossref]

On-line version ISSN 1678-7064 Printed version ISSN 0100-4042
Qu�mica Nova
Publica��es da Sociedade Brasileira de Qu�mica
Caixa Postal: 26037 05513-970 S�o Paulo - SP
Tel/Fax: +55.11.3032.2299/+55.11.3814.3602
Free access

GN1