JBCS



12:10, sáb out 25

Acesso Aberto/TP



Artigo

Evaluation of antimicrobial sensitivity to tetracycline exposed to non-thermal plasma

Anelise L. V. CubasI; Ana Regina de A. DutraI; Thiago C. AlvesII; Ritanara T. BianchetI; Adriano A. RamboI; Nito A. DebacherIII,*

I. Universidade do Sul de Santa Catarina, 80137-270 Palhoça - SC, Brasil
II. Universidade Regional de Blumenau, 89030-000 Blumenau - SC, Brasil
III. Departamento de Química, Universidade Federal de Santa Catarina, 88040-900 Florianópolis - SC, Brasil

Recebido em: 25/07/2022
Aceito em: 17/10/2022
Publicado em: 09/01/2023

Endereço para correspondência

*e-mail: nito.debacher@ufsc.br

RESUMO

Tetracyclines comprise a large group of broad-spectrum antibiotics used in human and veterinary medicine. Its mechanism of action, via oral ingestion, is to inhibit bacterial protein synthesis, but a large amount (70%) is eliminated without being metabolized, which presents a risk for the arising of antibiotic-resistant species. In this study, the degradation of Tetracycline TC by non-thermal plasma NTP and the antimicrobial sensitivity of the treated solution are investigated. The degradation was followed by chromatographic analysis while the efficiency of NTP in inhibiting the action of TC on bacteria was evaluated by antimicrobial sensitivity test by disk diffusion method. The results showed a high rate of TC degradation, over 90%, in 10 min of NTP treatment for a 60 mL (107 mg L-1) sample and very slow increase up to 94% in 30 min. The antimicrobial sensitivity test of TC after degradation by NTP showed no antibiotic activity. Therefore, our findings are encouraging, since the removal efficiency is below the minimum threshold require, to prevent with high probability, outgrowth of antibiotic-resistant bacteria. In addition, the results confirm that the NTP treated solution is safe to the environment.

Palavras-chave: non-thermal plasma; tetracycline degradation; antimicrobial sensitivity.

INTRODUCTION

Antibiotics are one of the largest groups of pharmaceutical compounds used in human and veterinary medicine.1,2 Among antibiotics, Tetracyclines constitute a large group of broad-spectrum antibiotics used in human and also have a common and important application in veterinary medicine.1,2

The antibiotic mechanism of action consists of inhibiting bacterial protein synthesis and large amount (70%) of ingested by human or animals is eliminated via the kidneys and in bile without being metabolized.1,3,4 Due to their large occurrence in aquatic systems has become a concern as biological impacts and potential risks to the environment. It has also been shown that residual antibiotics can promote the selection of genetic variants of microorganisms resulting in the occurrence of antibiotic resistant pathogens.2,4-7 The tetracyclines are soluble in water and non-biodegradable, classified as xenobiotic and very difficult to remove from wastewater by sewage treatment plants.7 Therefore, appropriate technologies for removing antibiotics from wastewater are urgently needed.

Advanced oxidation processes (AOP), such as electrocatalysis, photocatalysis, ozonation, fenton oxidation, electro-oxidation and recently non-thermal plasma (NTP) have been employed to remove persistent organic compounds like antibiotics in aquatic environments.8-10 The NTP process applied to wastewater remediation provides an environmentally cleaner approach as it avoids the addition of chemicals such as chlorine and prevents the arising of antibiotic-resistant organisms. NTP is a non-equilibrium partially ionized gas generated by high voltage electrical discharge consisting of electrons, ions, excited and neutral species, UV light and photons.11-14

The most common NTP regimes are: corona discharge, dielectric barrier discharge (DBD), spark discharge, streamer discharge and glow discharge.13,15

NTP has many applications in different sectors like industry, human health, veterinary medicine, agriculture and environment.16-19 The application of NTP in the wastewater treatment has gained much interest due to the in situ formation of several reactive species, which can be applied in advanced oxidation processes.20,21

The process of dissociation and ionization under NTP occurs mainly in the liquid gas interface and the most common reactive oxygen species (ROS) formed by air-NTP in aqueous medium are •OH, H2O2, and O3 are shown in Eqs. 1 7.22-24

In addition, nitrogen-NTP produces in water nitrite species Eqs. 8-18 which lowered pH and form a strong oxidant peroxynitrite, which also contribute to AOP.22-24

Due to its great versatility, NTP is widely studied in AOP applied to the degradation of drugs such as TC in wastewater. Several studies can be found in the literature focusing on the efficiency of drug degradation such as Tetracycline TC by NTP using different chemical analysis techniques.22-24 However, to the best of our knowledge, there are no studies demonstrating the effectiveness of NTP in inhibiting the antibiotic action of TC on bacteria after treatment.

Therefore, the aim of this study was to investigate the degradation of TC by NTP and to evaluate the antimicrobial sensitivity of the solution treated by NTP. The degradation of TC was followed by chromatographic analysis while the efficiency of NTP in inhibiting the action of TC on bacteria was evaluated by antimicrobial sensitivity test by disk diffusion method.

 

MATERIALS AND METHODS

Samples preparation

All chemicals were of reagent grade and used without further purification. Tetracycline hydrochloride, PM 480.90 (C22H24N2O8.HCl) was supplied by the Prati-Donaduzzi laboratory. Tetracycline hydrochloride has three ionization groups25 with pKa1 = 3.3; pKa2 = 7.7; pKa3 = 9.7, is soluble in water and forms a clear, yellow to yellow-orange solution. The experimental samples solutions were prepared using 500 mg capsules diluted in deionized water. The working solution concentration was determined by chromatography using a standard TC sample. Solutions used in the experiments were prepared by deionized water from a Millipore Milli-Q system.

The bacteria colony used was strains Escherichia coli (E. coli) ATCC 25922, kindly supplied by the Oswaldo Cruz Foundation, Rio de Janeiro, Brazil.

Non-thermal plasma treatment

The NTP reactor (Figure 1)22 has flat-tipped electrodes with borosilicate glass walls and Teflon top. A pump (Big air 420) injected the plasma gas (air) at flow rate of 10 L min-1. The electrodes were connected to an AC power supply of 17 kV and current of 30 mA. The samples (60 mL) were treated by NTP (in triplicate) for 10, 15 and 30 min under constant magnetic stirring and temperature.

 


Figure 1. Scheme of non-thermal plasma set up and reactor: (a) power source (1), magnetic stirrer (2), reactor (3) and air pump (4); and (b) photo of the reactor

 

The NTP reactor parameters of conductivity, pH, temperature, turbidity and color were measured by a multiparameter meter (Hanna HI 9829) using pH-meter (Sensoglass SP 1800), thermometer, turbidimeter (EQ67) and color test kit (CO-1-Hach) 0-100 units.

Evaluation of antimicrobial sensitivity

The antimicrobial sensitivity test was carried out with disk diffusion using the Kirby-Bauer method performed by measuring (in millimeters) the inhibitory halos which is a qualitative test to determine the phenotypic susceptibility, with good reliability and low cost. The results shows whether or not there was degradation of the antibiotic and the potential for resistance or sensitivity of the pathogen.26,27

The E.coli strain was tested using the methodology described by Jorgensen and Ferraro,28 a sample of standard 5 × 105 CFU mL-1 was plated in plate count agar (PCA). After 20 h of incubation at 37 ºC, five colonies were carefully selected and diluted in 5 mL of 85% saline solution and the turbidity was adjusted to 0.5 on the McFarland scale. With a sterile swab, the bacteria were inoculated onto Mueller Hinton Agar plates.

After 15 min, 6 mm-diameter filter paper disks, impregnated with 30 μL of 107 mg L-1 of control solution, 15 μL of 100 mg L-1 of control solution and 7.5 μL of 50 mg L-1 of the control solution and solutions treated by NTP for 10 min, 15 min and 30 min, were placed on separate plates and incubated at 37 ºC for 22 h. The inhibition halos (when detected due to the presence of antibiotics in the solution) were measured with a digital caliper.

Chromatographic analysis

The degradation of tetracycline samples by NTP were followed by high performance liquid chromatography (HPLC) with diode arrays detection (DAD), using a Thermo Scientific system, (Ultimate 3000), consisting of quaternary pumps, self-sampling thermostat, column oven and diode array detector.29

The chromatographic separation was performed in Colum C18 (4.6 x 250 mm x 5 μm) Thermo Scientific, at a temperature of 35 ± 1 ºC. The mobile phase (A) was acetate buffer (pH 8.8), ammonium acetate, disodium EDTA and triethylamine; and (B) acetonitrile (Grade HPLC - J. T. Baker) (85/15% v/v). A 20 μL sample was injected with a flow rate of 1.5 mL min-1 in isocratic mode and scanned at wavelengths of 280 and 365 nm. A 5-point calibration curve was used and the analysis was carried out in triplicate observing the selectivity parameters of linearity indicated by the analytical curve, correlation coefficient and the detection and quantification limits.

The calibration compliance of the analytical data from the chromatography, which a satisfactory status with high correlation coefficient are shown in Table 1.

 

 

Statistical analysis

The following software were used for data reliability and statistical analysis: Microsoft Excel for mean and standard deviation SD of the data; R-Studio and STATISTICA 7.0 to carry out analysis of variance; ANOVA test to compare the sample population means and thus identify whether they differ significantly from each other and Tukey test to compare all acceptable pairs of means.

 

RESULTS AND DISCUSSION

Chromatography

Table 2 shows the results of the chromatographic analysis of the TC degradation by NTP against time of 0 min, 10 min, 15 min and 30 min, and the respective relative standard deviations. The data are also shown in degradation %, Figure 2, as can be observed a high rate of degradation, over 90%, was observed in 10 min of NTP treatment for a 60 mL (107 mg L-1) sample of TC. The percentage of degradation increases very slowly after 10 minutes of NTP treatment, therefore, it can be considered that the best performance of TC degradation by NTP was achieved up to 10 min of treatment.

 

 

 


Figure 2. Tetracycline degradation % by NTP for 10, 15 and 30 min of treatment

 

A similar study from Li et al.21 on TC degradation by NTP, achieved 93.3% reduction using a concentration of 50 mg L-1, 20 min of treatment, which is consistent with the results reported here. He et al.30 used 250 mL solution of 100 mg L-1 of TC and TiO2 as catalyst under NTP and obtained 45.7% of degradation in 24 min. Tang et al.10 obtained 82.6% of TC degradation in 15 min by NTP-activated persulfate using 900 mL of 40 mg L-1 solution.

The process of dissociation and ionization in NTP occurs mainly in the liquid gas interface and the most common reactive oxygen species (ROS) formed by air-NTP in aqueous medium as shown in Eqs. 1 7. In addition, nitrogen NTP produces in water nitrite species Eqs. 8 18 which lowered pH and form a strong oxidant peroxynitrite which also contribute to TC degradation.22

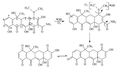
Jeong et al.2 showed in their study of kinetics and mechanism of TC degradation by AOP, that the TC degradation first step occurs by the addition of the electrophilic •OH to the aromatic ring forms a resonance-stabilized carbon-centered radical with subsequent addition of oxygen. Followed by the elimination of a hydroperoxyl radical giving a phenolic product with subsequent deamidation, as shown in Figure 3.

 


Figure 3. Schematic drawing of proposed dominant attack by active species of NTP on TC molecule2,23

 

Fang et al.23 recently also demonstrated that NTP discharge can efficiently degrade TC from water in which •OH and O3 played the major role in the process. Suggesting two pathways, first step the cleavage reaction of amino group, hydroxylation reaction, and ring-opening reaction, among which the C-OH bond formation in the oxidation reaction of hydroxyl radicals and, second step the C=O bond formation in the oxidation reaction of ozone, Figure 3.

The chemical modification of TC by NTP changes the relationship between the structure and activity of the molecule.31 Therefore, modification of the TC scaffold can inhibit interaction with proteins and thus losing the antibiotic activity since TC exert their antibiotic activity by binding to the bacterial ribosome and thereby interfering with protein translation.31,32

The configuration of the carbon atom C-4 is an essential requirement for the pharmacological action of TC compound. In addition, the presence of the amide group at C-2 is considered as a structural feature required for the biological action of TC. Another important observation related to increased enzyme inhibitory power was the absence of methyl groups and hydroxyl at position C-6. All these features are shown in Figure 3.

Physicochemical characterization

Table 3 shows the results of pH, conductivity, color, turbidity and temperature of the samples treated by NTP at time: 0 min (control, without plasma treatment), 10, 15 and 30 min.

 

 

The physicochemical parameters evaluated (Table 3) showed significant changes during NTP treatment. The solution temperature increased due to the effect of NTP discharge on the water surface and reach equilibrium around 50oC.

The pH of the NTP treated solution decreased 1.6 pH unities in 10 min and almost 2 pH unities during 30 min and the conductivity increased substantially from 141.00 mS cm-1 to 1363,00 mS cm-1. Changes in pH and conductivity under NTP discharge are due to the formation of ionic species in solution related to peroxynitrite formation under air-NTP as described by the Eqs. 8 18.22 It should also be noted that the decrease in pH and increase in conductivity enhance the stability of •OH radicals.33-35

The solution turbidity and color showed a slight increase in the first 10 min and then gradually decreased with time under NTP treatment, Table 3, Figure 4. As can be observed in Figure 4, TC solution forms a clear yellow (no treatment) to yellow-orange solution in water under NTP treatment.

 


Figure 4. Color and turbidity of TC solution of 100 mg L-1: 0 min; 15 min and 30 min of NTP treatment

 

The changes in the color and turbidity of the solution are related to changes in the chemical structure of TC under NTP discharges, formation of ionic species and reduction of pH, which alters the physicochemical properties of the solution. Furthermore, the amino group of TC has a pKa1 = 3.3 and, therefore, at a solution pH below 3.3 (Table 3), this group will be protonated,25 inducing changes in the physical properties of the solution like color and turbidity.

Statistical analysis

Table 4 shows the reproducibility and reliability of the data by the ANOVA test for statistical analysis to compare the sample population means and thus identify whether they differ significantly from each other.

 

 

The ANOVA analysis provides data on the difference in the concentration averages according to the NTP exposure time. The p-value (5.2×10-13) was much less than α = 0.05 (95% CI), indicating that there is at least one variable with highly significant difference. In this case, the Tukey test, which compares all possible pairs of means, was used to check which distribution provides the biggest differences or similarities and the results are shown in Figure 5.

 


Figure 5. Tukey chart and representation of the lower limits

 

Based on Table 4 and Figure 5, it can be seen that pairs with significant differences are those with positive lower bounds (lwr), and it is clear that the pairs formed at time zero differ significantly. The application of the Bartlett test, which test for homogeneity of variances reaffirmed the non-homogeneity of the variances, with a p-value (6.785 × 10-5) lower than α = 0.05 (95% CI) indicating a significant difference between the concentrations.

However, the TC concentration averages for NTP exposure times of 10 min, 15 min and 30 min, suggest that belongs to the same data group and the closest means are those of 10 min and 15 min.

Disk diffusion antimicrobial sensitivity

Bacteria as E. coli that are sensitive to antibiotic, the attack occurs by passive diffusion or active transport across the cell membrane, inhibiting protein synthesis.26,36,37

Table 5 and Figure 6 show the antimicrobial sensitivity of TC after degradation by NTP performed by disk diffusion using the Kirby-Bauer method. In the Petri dish are shown the control disk with inhibitory halo and samples exposed to NTP for 10 min, 20 min and 30 min (in triplicate) without the inhibitory halos. The control sample (t = 0) particularly showed the active presence of the antibiotic and microbial sensitivity. At the disks contained the TC solutions treated by NTP for 10, 15 and 30 min no inhibitory halos was observed, indicating no antibiotic activity or a TC concentration below the minimum needed for bacterial inhibition, with bacterial resistance being observed.

 

 

 


Figure 6. Petri dish of control disks and samples of TC subjected to 10, 20 and 30 min of NTP treatment (triplicates)

 

The minimum needed for bacterial inhibition was studied by Valeria et al.38 using the E. coli strain to several antibiotics, including tetracycline and with 15 μg in the disk an inhibitory halo of 18 mm was generated. Therefore, the results obtained here of antimicrobial sensitivity to TC in wastewater after degradation by NTP process are encouraging, since the efficiency of antibiotic removal is below the minimum required to prevent bacterial resistance to antibiotics.

 

CONCLUSIONS

The results showed a high rate of TC degradation, over 90%, in 10 min of NTP treatment for a 60 mL (107 mg L-1) sample and very slow increase up to 94% in 30 min. Therefore, it can be considered that the best performance of TC degradation by NTP was achieved up to 10 min of treatment. Furthermore, statistical analysis of the data showed that exposure to NTP for 15 min or 30 min produced similar results, indicating that the best performance was obtained up to 10 min of treatment.

The antimicrobial sensitivity test of TC after NTP degradation performed by disk diffusion showed no antibiotic activity. Therefore, our findings are encouraging, since the removal efficiency is below the minimum threshold require, to prevent with high probability, outgrowth of antibiotic-resistant bacteria. Furthermore, the results confirm that the NTP-treated solution is safe for the environment.

 

REFERENCES

1. Borghi, A. A.; Palma, M. S. A.; Braz. J. Pharm. Sci. 2014, 50, 25. [Crossref]

2. Jeong, J.; Song, W.; Cooper, W. J.; Jung, J.; Greaves, J.; Chemosphere 2010, 78, 533. [Crossref]

3. Yang, H.; Yu, X.; Liu, J.; Wang, L.; Guo, M.; Mater. Technol. 2019, 53, 505. [Crossref]

4. Boxall, A. B. A.; Johnson, P.; Smith, E. J.; Sinclair, C. J.; Stutt, E.; Levy, L. S.; J. Agric. Food Chem. 2006, 54, 2288. [Crossref]

5. Zhao, Y.; Yin, B.; Zhang, G.; Shi, W.; Micro Nano Lett. 2018, 13, 9. [Crossref]

6. Sanderson, H.; Thomsen, M.; Toxicol. Lett. 2009, 187, 84. [Crossref]

7. Straub, J. O.; Sustainable Chem. Pharm. 2016, 3, 1. [Crossref]

8. Lin, Y. L.; J. Membrane Sci. 2017, 542, 342. [Crossref]

9. Park, H.; Choung, Y. K.; Hum. Ecol. Risk Assess. 2007, 13, 1147. [Crossref]

10. Tang, S.; Yuan, D.; Rao, Y.; Li, N.; Qi, J.; Cheng, T.; Sun, Z.; Gu, J.; Huang, H.; Chem. Eng. J. 2018, 337, 446. [Crossref]

11. Merche, D.; Vandencasteele, N.; Reniers, F.; Thin Solid Films 2012, 520, 4219. [Crossref]

12. Fridman, A.; Plasma Chemistry; Cambridge University Press: Cambridge, 2008.

13. Jiang, B.; Zheng, J.; Qiu, S.; Wu, M.; Zhang, Q.; Yan, Z.; Xue, Q.; Chem. Eng. J. 2014, 236, 348. [Crossref]

14. Chen, H.; Lee, H.; Chen, S.; Chao, Y.; Chang, M.; Appl. Catal., B 2008, 85, 1. [Crossref]

15. Zhang, H.; Ma, D.; Qiu, R.; Tang, Y.; Du, C.; Chem. Eng. J. 2017, 313, 157. [Crossref]

16. Felix, T.; Cassini, F. A.; Benetoli, L. O. B.; Dotto, M. E. R.; Debacher, N. A.; Appl. Surf. Sci. 2017, 403, 57. [Crossref]

17. Anghel, S. D.; Zaharie-Butucel, D.; Vlad, I. E.; J. Electrostat. 2015, 75, 63. [Crossref]

18. Wang, G.; Zhu, R.; Yang, L.; Wang, K.; Zhang, Q.; Su, X.; Yang, B.; Zhang, J.; Fang, J.; Vaccine 2016, 34, 1126. [Crossref]

19. Wang, T.; Qu, G.; Ren, J.; Sun, Q.; Liang, D.; Hu, S.; J. Hazard. Mater. 2016, 302, 65. [Crossref]

20. Ajo, P.; Preis, S.; Vornamo, T.; Mänttäri, M.; Kallioinen, M.; Louhi-Kultanen, M.; J. Environ. Chem. Eng. 2018, 6, 1569. [Crossref]

21. Li, H.; Li, T.; He, S.; Zhou, J.; Wang, T.; Zhu, L.; Chem. Eng. J. 2020, 395, 125091. [Crossref]

22. Cubas, A. L. V.; Machado, M. M.; Santos, J. R.; Zanco, J. J.; Ribeiro, D. H. B.; Andre, A. S.; Debacher, N. A.; Moecke, E. H. S.; Sep. Purif. Technol. 2019, 222, 68. [Crossref]

23. Fang, C.; Wang, S.; Xu, H.; Huang, Q.; Sci. Total Environ. 2022, 812, 152455. [Crossref]

24. Crema, A. P. S.; Borges, L. D. P.; Micke, G. A.; Debacher, N. A.; Chemosphere 2020, 244, 125502. [Crossref]

25. Guler, U. A.; Sarioglu, M.; J. Environ. Health Sci. Eng. 2014, 12, 1. [Crossref]

26. Alonso, C. A.; Domínguez, C.; Heras, J.; Mata, E.; Pascual, V.; Torres, C.; Zarazaga, M.; Comput. Methods Programs Biomed. 2017, 143, 159. [Crossref]

27. Badger, S.; Abraham, S.; Stryhn, H.; Trott, D. J.; Jordan, D.; Caraguel, C. G. B.; Prev. Vet. Med. 2019, 172, 104782. [Crossref]

28. Reller, B.; Weinstein, M.; Jorgensen, J. H.; Ferraro, M. J.; Clin. Infect. Dis. 2009, 49, 1749. [Crossref]

29. Liu, F.; Zhang, X.; Li, Y.; Gao, H.; Ling, P.; Li, X.; Chen, Q.; Ma, A.; Shao, H.; Li, M.; Wang, F.; Chromatographia 2018, 81, 303. [Crossref]

30. He, D.; Sun, Y.; Xin, L.; Feng, J.; Chem. Eng. J. 2014, 258, 18. [Crossref]

31. Borghi, A. A.; Palma, M. S. A.; Braz. J. Pharm. Sci. 2014, 50, 25. [Crossref]

32. Thaker, M.; Spanogiannopoulos, P.; Wright, G. D.; Cell. Mol. Life Sci. 2010, 67, 419. [Crossref]

33. Lukes, P.; Locke, B. R.; Brisset, J. L. In Plasma Chemistry and Catalysis in Gases and Liquids; Parvulescu, V. I.; Magureanu, M.; Lukes, P., eds.; Wiley-VCH Verlag GmbH & Co. KGaA: Weinheim, 2012, ch. 7. [Crossref]

34. Murugesan, P.; Monica V., E.; Moses, J. A.; Anandharamakrishnan, C.; J. Environ. Chem. Eng. 2020, 8, 104377. [Crossref]

35. Xu, H.; Ma, R.; Zhu, Y.; Du, M.; Zhang, H.; Jiao, Z.; Sci. Total Environ. 2020, 703, 134965. [Crossref]

36. Pereira-Maia, E. C.; Silva, P. P.; Almeida, W. B.; Santos, H. F.; Marcial, B. L.; Ruggiero, R.; Guerra, W.; Quim. Nova 2010, 33, 700. [Crossref]

37. Phoon, B. L.; Ong, C. C.; Saheed, M. S. M.; Show, P. L.; Chang, J. S.; Ling, T. C.; Lam, S. S.; Juan, J. C.; J. Hazard. Mater. 2020, 400, 122961. [Crossref]

38. Valério, N.; Oliveira, C.; Jesus, V.; Branco, T.; Pereira, C.; Moreirinha, C.; Almeida, A.; Virus Res. 2017, 240, 8. [Crossref]

On-line version ISSN 1678-7064 Printed version ISSN 0100-4042
Qu�mica Nova
Publica��es da Sociedade Brasileira de Qu�mica
Caixa Postal: 26037 05513-970 S�o Paulo - SP
Tel/Fax: +55.11.3032.2299/+55.11.3814.3602
Free access

GN1