JBCS



12:10, sáb out 25

Acesso Aberto/TP



Artigo

Nanostructured curcumin with choline and geranic acid ionic liquid (CAGE-IL): potential for incorporation into pharmaceutical gel formulations

Marta M. D. C. VilaI,*; Rodrigo BoscariolI; Victor M. BalcãoI,II,*

I. PhageLab - Laboratório de Biofilmes e Bacteriófagos, Universidade de Sorocaba, 18023-000 Sorocaba - SP, Brasil
II. Departamento de Biologia e CESAM, Universidade de Aveiro, P-3810-193 Aveiro, Portugal

Recebido em: 05/09/2022
Aceito em: 07/11/2022
Publicado em: 17/01/2023

Endereço para correspondência

*e-mail: marta.vila@prof.uniso.br; victor.balcao@prof.uniso.br

RESUMO

Curcumin, a phytochemical, exhibits several biological properties and has been studied for the treatment of psoriasis. To facilitate its transdermal permeation, permeation enhancers such as choline and geranic acid ionic liquid (CAGE-IL) have been studied. From this perspective, the research effort entertained herein aimed at developing and evaluating the stability of an emulsion prepared with curcumin (phytochemical from Curcuma longa L.) and locust bean gum (extracted from the seeds of the carob tree, Ceratonia siliqua), with CAGE-IL as a facilitator of transdermal permeation. Stability studies were carried out for six months, with analyses being performed at time intervals of 0 (24 h), 30, 60, 90, and 180 days. The samples were kept at 40 ± 2 °C, with 75 ± 5% relative humidity (RH). The parameters analyzed were morphological characteristics, pH (5.8-6.0), and spreadability. The samples were shown to be stable during the timeframe studied, maintaining adequate physicochemical characteristics and meeting quality specifications for cutaneous applications. CAGE-IL, in addition to facilitating permeation of the active substance, also favored the formation of a stable emulsion encompassing nanosized particles (134.3 ± 2.6 nm) in a simple fashion and with only a few components.

Palavras-chave: curcumin; nanoemulsion; CAGE-IL; locust bean gum.

INTRODUCTION

Curcumin is a symmetric molecule, with IUPAC (International Union of Pure and Applied Chemistry) nomenclature (1E-6E)-1,7-bis(4-hydroxy-3-methoxyphenyl)-1,6-heptadiene-3,5-dione, molecular formula C21H20O6 and molecular weight of 368.385 g mol-1. Curcumin is the main component of turmeric rhizomes. Commercially, it can be purchased as a complex mixture of curcuminoids formed by curcumin (~77%, w/w), desmethoxycurcumin (~17%, w/w), and bisdemethoxycurcumin (~3%, w/w).1,2 These curcuminoids are structurally analogous, differing only in the number of methoxy groups (OCH3) in their chemical structures, as can be observed in Figure 1.3

 


Figure 1. Structural formulas of curcuminoids. (a) Curcumin; (b) desmethoxycurcumin; (c) bisdemethoxycurcumin

 

Curcumin is an active compound extracted from turmeric (Curcuma longa L.) displaying a wide variety of biological activities, such as antioxidant, anti-inflammatory, antitumoral, antimicrobial, and antiparasitic, among others,1,4 being used in the treatment of various disorders.

In addition, curcumin has also been employed in photodynamic therapy for the putative treatment of cancer5 and bacterial infections.6 The photodynamic therapy technique involves the activation of curcumin (photosensitizer), resulting in the production of reactive radicals capable of inducing cell death.

Due to its antioxidant action, several research studies have evaluated its therapeutic potential in the treatment of psoriasis, with quite promising results.7-11

Psoriasis is a chronic, autoimmune, recurrent systemic disease in which inflammatory processes are characterized by the appearance of red itchy rashes, lesions, and scales.12,13 From a pathological point of view, it consists of chronic dermatitis, with rapid and uncontrolled proliferation of epithelial cells, hyperemia, and dense lymphocytic infiltration. This disease can start at any stage of life and persist for a long time with permanent or periodic eruptions.14,15

For the treatment of psoriasis different drugs are commonly used, such as corticosteroids, calcineurin inhibitors, antihistamines, topical applications, immunosuppressants, and biological molecules for systemic treatments.16 However, there is no cure for this disease and none of the currently available treatments provide excellent clinical results without the risk of significant side effects.12 Thus, alternatives have been evaluated, such as the use of active compounds from plant species such as Aloe vera, Indigo naturalis, Mahonia aquifolium, Curcuma longa, and capsaicin (a chemical compound found in peppers).17,18 Among the different natural antioxidant molecules, curcumin has attracted great attention due to its large number of important and beneficial biological activities.19-21

Studies have indicated that curcumin can minimize the oxidative stress of psoriatic lesions, reduce the proliferation of skin psoriatic cells (by down-regulating pro-inflammatory cytokines), and inhibit potassium channels expressed in T cells, which seem to be involved in the onset of psoriasis.14,22-24 However, curcumin has low aqueous solubility and low oral bioavailability due to rapid first-pass metabolism, thus limiting its usefulness as an orally-administered drug. Notwithstanding this, it can be used for topical administration.25 The transdermal permeation of bioactive molecules offer a painless administration option that avoids the first-pass effect of metabolism. To overcome the skin barrier and to improve drug transport through the stratum corneum, substances such as ionic liquids have been used for facilitating skin permeation.10,11,24-27 A large variety of approaches has been explored over the years to improve the skin permeation of diverse medicines and cosmetics,28 and ionic liquids have proved their value when used as functional excipients, particularly in drug delivery applications.10,11,25,29

Ionic liquids are salts in a liquid state prepared from inexpensive materials with GRAS (Generally Recognized As Safe) status. These compounds increase drug permeability through the skin barrier, by sliding through the fatty acids that makeup the stratum corneum, creating small transient openings through which bioactive molecules transported by the ionic liquid can permeate.25,26,29 In the pharmaceutical field, ionic liquids have been successfully used in nano and microemulsions30-32 for topical and transdermal delivery of insoluble or poorly soluble drugs.32-34 In some cases, ionic liquids act as both solvent and surfactant or as both dispersed.35

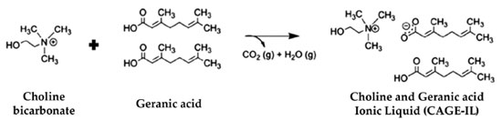
In particular, ionic liquids prepared from choline bicarbonate and geranic acid in a 1:2 molar ratio (Figure 2) (CAGE-IL) showed positive results in improving the transdermal delivery of various molecules, from low to high molecular weights.10-12,36-38

 


Figure 2. Schematic diagram: synthesis of choline and geranic acid ionic liquid (CAGE-IL), from the reaction between choline bicarbonate and geranic acid in a 1:2 molar ratio

 

Among the various topical pharmaceutical forms available, gels and hydrogels are very popular and have great acceptance by patients due to their ease of application. Gels based on natural polysaccharides can be produced without the presence of toxic substances, which makes them interesting for the development of delivery systems for bioactive molecules.39 A biopolysaccharide that has attracted attention is locust bean gum (LBG), a vegetable galactomannan extracted from locust bean seeds (from the carob tree, Ceratonia siliqua).40 LBG has a linear chemical structure consisting of a backbone of β(1-4)-mannose with D-galactopyranosyl units linked via α(1-6) bonds as a side branch, in a ratio of 4:1 of mannose:galactose41 (Figure 3). This polymer has a series of attractive characteristics for biopharmaceutical applications including its high gelling capacity, biodegradability, low toxicity, and low-cost availability.42

 


Figure 3. Chemical structure of locust bean gum

 

Based on the above reasoning, the major goal of the research work described herein was to evaluate the stability of nanostructured curcumin in a locust bean gum with CAGE-IL nanoemulsion, with potential for integration in gel formulations aiming at the topical treatment of psoriasis.

 

EXPERIMENTAL PROCEDURES

In this work, analytical grade and/or pharmaceutical grade reagents were used. Tap water was ultrapurified to a final resistivity of 18.18 MΩ cm and conductivity of 0.05 μS cm-1 in a Master System All MS2000 (Gehaka, São Paulo, SP, Brazil).

Synthesis of choline and geranic acid ionic liquid (CAGE-IL)

Choline geranate was prepared according to the procedure described by Jorge et al.,25 Banerjee et al.43 and Zakrewsky et al.29 In a 1000 mL volumetric flask, 48 mL geranic acid (CAS No. 459-80-3; Sigma-Aldrich, St. Louis, MO, USA), 20 mL of 80% (w/v) choline bicarbonate (CAS No. 62-49-7; Sigma-Aldrich, St. Louis, MO, USA) and 20 mL of methanol (CAS No. 67-56-1; Chemco, Hortolândia, SP, Brazil) were added. The mixture was magnetically stirred at room temperature (25 °C), in an open system fashion, overnight, until CO2 production ceased (≅12 h). The solvent was then removed using a rotary evaporator (Büchi Labortechnik AG, model R-215, Flawil, Switzerland) at 60 °C for about 20 min. The ionic liquid thus prepared was transferred to a 50 mL Falcon tube, the headspace flushed with nitrogen, and the tube capped and sealed with ParafilmTM (Bemis Flexible Packaging, Neenah, WI, USA). The ionic liquid thus produced was analyzed via Nuclear Magnetic Resonance (1H NMR).25

Preparation of nanoemulsions

The nanoemulsions were produced by stirring solutions of 2% (w/w) CAGE-IL and 2% (w/w) curcumin in water, using an UltraTurrax homogenizer (model T25D from IKA Werke GmbH & Co. KG, Staufen, Germany). The stirring speed was set at 12000 rpm for 5 min.44

Determination of particle size, polydispersion index and Zeta potential

The particle hydrodynamic size (HS), polydispersion index (PDI) and Zeta potential (ZP) of the curcumin nanoemulsions were gathered via dynamic laser light scattering (DLS) in a ZetaPALS equipment (model NanoBrook 90PlusPALS, Brookhaven Instruments, Holtsville, NY, USA). Sample dilutions (1:400) were prepared using 50 μL of curcumin nanoemulsion in 20 mL of ultrapure water.45 All tests were performed in triplicate.

Preparation of curcumin (either pure, from Sigma-Aldrich, or commercial turmeric) and CAGE-IL gels

Gels were prepared by dispersing locust bean gum (from Ceratonia siliqua seeds) (2%, w/w) (Ref. No. G0753; Sigma-Aldrich, St. Louis, MO, USA) in ultrapure water. The suspension was heated to 80 °C and stirred until the gum was fully46 dissolved using a magnetic stirrer with heating (model TE 0181, Tecnal, Piracicaba, SP, Brazil). Subsequently, methylparaben (0.1%, w/w) was added as antifungal agent. After cooling to room temperature (25 °C), pure curcumin [purity: ≥ 95.0% (Ref. No. C1386; Sigma-Aldrich, St. Louis, MO, USA)] or commercial turmeric (purity: 95%, CAS 458 37, Lot: CJH-A-915549, China), previously solubilized in CAGE-IL at a concentration of 2% (w/w), was added at a concentration of 2% (w/w), under manual stirring and at room temperature (25 °C) after which the mixture was transferred into sterile (via ionizing radiation) 80 mL-flasks of opaque polypropylene (brand Cralplast, Cotia, SP, Brazil), duly screw-capped and stored.

Stability studies

Stability studies were carried out for six months, with analyses at 0 (24 h), 30, 60, 90, and 180 d.47 The gel samples were kept in a climatized chamber (model AL5100, American Lab, USA) at 40 ± 2 °C, with 75 ± 5% relative humidity (RH). The parameters analyzed were morphological characteristics, pH and spreadability. To perform each test, samples of ca. 10 g were withdrawn from the original vials at the predetermined time intervals.

Morphological features

The gel samples were visually analyzed for possible changes in color, odor, homogeneity, and the existence of phase separation.

Spreadability

The spreadability tests were carried out using a set of glass plates of different dimensions and weights, a circular glass mold plate with a central hole (1.2 cm in diameter) and a support plate. The set (support plate, mold plate, and glass plate) was placed on a millimeter-scale paper. A gel sample (2 g) was introduced into the hole in the mold plate and properly leveled with the aid of a spatula. The mold plate was removed and a glass plate of known weight was placed over the sample in order to spread it out on the support plate. The diameters covered by the product sample were read on the millimeter scale of the paper and the average diameter was calculated. All determinations were performed in triplicate at 25 °C.48 The spreadability (Si) was then calculated using Equation 1.

where Si = sample spreadability for a given glass plate mass (mm2), d = mean diameter (mm) and π = 3.141592654. Plate 1 weight = 162.41 g; Plate 2 weight = 135.26 g; Plate 3 weight = 95.23 g; Plate 4 weight = 61.47 g; Plate 5 weight = 34.65 g; Plate mold with central hole weight = 22.91 g.

pH

The pH measurements were performed in a pH-meter (Analyzer-model 300, São Paulo, Brazil), previously calibrated. For pH measurements, a 1 g sample was dispersed in 9 mL of neutralized ultrapure water. Measurements were performed in triplicate.

Centrifugal test

About 5 g of sample were placed in 15 mL-Falcon tubes and centrifuged at 3000 rpm for 30 min (Universal-320, Hettich, Germany). Subsequently, the samples were visually inspected for their appearance, presence of precipitation, and phase separation.49 In each centrifugation test, three aliquots were used.

Statistical analysis

The results were expressed as average ± standard deviation (s). All data was statistically analyzed via t-student or analysis of variance (ANOVA) tests. All statistical tests were carried out using GraphPad Prism 8.0 software (San Diego, USA). p-values < 0.05 were considered indicative of statistical significance.

 

RESULTS AND DISCUSSION

Gels are formed as a continuous spatial network of molecules connected to each other by the crosslinking of polymeric molecules or small molecules via covalent/non-covalent bonding and with a rheological behavior similar to a solid.50 In the research effort entertained herein, locust bean gum was used as a crosslinking substance, requiring heating for its complete dissolution.51 Hence, a dispersion containing water and locust bean gum was heated up to 70 °C for ca. 2 h until complete dissolution and, afterwards, the curcumin nanoemulsion was incorporated. Curcumin, a slightly hydrophilic molecule with low solubility in water (particularly in an acidic or neutral environment, where it remains fully protonated) needs, before its incorporation into an aqueous matrix, to be dissolved in some solvent or hydrophobic substance.52 Some authors use ethanol,53 complexes with cyclodextrin,54 polyethylene glycol (PEG),55 among others, to solubilize curcumin. In the present research work, the use of CAGE-IL allowed full solubilization of curcumin with formation of a nanoemulsion, with particle hydrodynamic sizes within the nanometric scale.

Locust bean gum has the ability to form very viscous solutions at relatively low concentrations, which are almost unaffected by pH, salts or temperature.42 Hence, this gum is adequate as a carrier of many compounds. In addition, it was observed by Panahi et al.9 via Fourier Transform Infrared Spectroscopy (FTIR) analysis, the occurrence of only hydrogen bonds between locust bean gum, curcumin and CAGE IL, in the gel formulation, possibly allowing the maintenance of the antioxidant action of curcumin.

A putative mechanism of hydrogen bonding interactions between CAGE-IL, locust bean gum, curcumin and solvent species is displayed in Figure 4.

 


Figure 4. Putative mechanism of interactions between CAGE-IL, locust bean gum, curcumin and solvent species (dotted lines representing hydrogen bonding); (viz. water molecules). Adapted from Harada et al.56

 

When preparing the nanoemulsion with pure curcumin (acquired from Sigma-Aldrich) and CAGE-IL, the average particle hydrodynamic size produced was 95.1 ± 2.8 nm with a PDI of 0.230 ± 0.008, whereas the use of commercial turmeric dissolved in CAGE-IL led to particles with average hydrodynamic size of 134.3 ± 2.6 and a PDI of 0.260 ± 0.005, as can be observed in Figure 5.

 


Figure 5. Average particle hydrodynamic sizes of the nanoemulsions produced with curcumin dissolved in CAGE-IL (mean ± s, n=3), obtained via dynamic laser light scattering (DLS) analysis

 

As can be observed from inspection of the data displayed in Figure 5, commercial curcumin (turmeric) led to larger particles in the nanoemulsion when compared to the use of pure (Sigma-Aldrich) curcumin. The use of CAGE-IL proved to be effective in the solubilization of curcumin in aqueous medium with the formation of a stable nanoemulsion. Even with differences in average particle size between the nanoemulsions produced with different curcumin samples, the results reported herein are similar and even better than other studies reported in the literature that used other nanostructured systems for the delivery of curcumin in masterful formulations,57-59 indicating the effectiveness of CAGE-IL for the intended purpose.

The polydispersity index (PDI) allows for inferring the homogeneity of the system. A lower PDI value (preferably ≤ 0.2) indicates homogeneity of the system.60 The results obtained in the present research work indicated a high degree of nanoparticle homogeneity.

Zeta potential is a measure of the particle's surface charge in a specific medium and is used to analyze and predict the interactions of particles in suspension. Manipulation of these surface charge loads constitutes a strategy to improve the stability of masterful formulations.45,61 Particles present in a suspension with a high value of Zeta potential, either positive or negative, tend to repel each other, so there is no tendency to flocculate or aggregate, that is, the system is stable. Particles with Zeta potential values equal to ±30 mV or larger are considered stable.62 The results obtained in this research work indicated that the commercial curcumin (turmeric) sample dissolved in CAGE-IL produced particles with an average Zeta potential of -34.97 mV and that the pure (Sigma-Aldrich) curcumin sample dissolved in CAGE-IL produced particles with an average Zeta potential of -59.69 mV, as can be observed in Figure 6. These values for the Zeta potentials of the two nanoemulsions indicate clearly that fully stable particles were formed in either solution.

 


Figure 6. Zeta Potential values for the different curcumin samples nanostructured in CAGE-IL (average ± s, n=3), obtained by microelectrophoretic analyses via dynamic laser light scattering (DLS)

 

The use of CAGE-IL allowed formation of stable curcumin nanoemulsions that may facilitate the transdermal permeation of curcumin since this bioactive molecule is mostly insoluble in an aqueous medium.3,63,64 Another interesting factor was the lack of need to use surfactants such as Tween 80 or sodium lauryl sulfate, which are used in pharmaceutical formulations to provide stability and prevent coalescence phenomena in emulsions.65

To verify and confirm the preliminary stability of the gels produced with the nanostructured curcumin in CAGE-IL, centrifugation tests were performed and the results are displayed in Figure 7, where it can be clearly observed that no distinct phases were formed, thus indicating that there was no incompatibility between the components of the formulations.

 


Figure 7. Images of formulated gels integrating nanostructured curcumin in CAGE-IL, subjected to centrifugation testing: (a) gel produced with commercial (turmeric) curcumin and CAGE-IL; (b) gel produced with pure (Sigma-Aldrich) curcumin and CAGE-IL

 

Subsequently, stability tests were performed on both gels. The results obtained regarding macroscopic characteristics (general appearance, color, odor, and phase separation) indicated that there were no significant changes during 180 d of storage. Figure 8 displays the appearance and pigmentation of both formulations at the beginning and after 180 d of storage.

 


Figure 8. Morphological characteristics of the two gel formulations after 180 days of storage (at 40 ± 2 °C and 75 ± 5% relative humidity (RH))

 

The evaluation of spreadability in the development of semi-solid formulations is an important test as it verifies the ability of the formulation to spread over a surface and, therefore, is related to the application at the desired location. Both formulations showed an increase in spreadability after 15 d of exposure under the established conditions. After 120 d there were no changes. Most likely, the presence of CAGE-IL, due to its oily characteristics, may have contributed to the increase in spreadability,66 with changes in the static residual tension and in the pseudoplastic behavior of the locust bean gum.67Figure 9 displays the results obtained in the spreadability profiling of both gels produced. There was a statistical difference between the results of both formulations (p-value < 0.05), perhaps due to the difference in purity between the curcumin samples used to produce the gels. However, one could not say that the use of commercial (turmeric) curcumin would be harmful to the product.

 


Figure 9. Spreadability values of the formulated gels as a function of the applied mass (g) (40 ± 2 °C; 75 ± 5% RH) (mean ± s, n=3): (a) commercial (turmeric) curcumin gel (2%, w/w); (b) pure (Sigma-Aldrich) curcumin gel (2%, w/w)

 

Regarding the pH values of the two curcumin gels, both gel samples did not show changes in pH over 180 d of storage with pH remaining constant between 5.8 and 6.0 (data not shown). Both gels presented a suitable pH for topical application products since the "normal" pH of the skin surface in most parts of the human body is acidic and in the range of pH 4.1-5.8.67 In addition, the pH range of the gels contributes to maintaining curcumin stable, as curcumin remains stable in a pH range between 3 and 7 as a function of a keto-enol balance.2

 

CONCLUSIONS

Choline and geranic acid ionic liquid (CAGE-IL) used as a facilitator for transdermal permeation proved to be suitable for solubilization of curcumin and its concomitant nanostructuration in the form of a nanoemulsion. Based on the results of the DLS tests, particles were produced at the nanometer scale. Both curcumin formulations proved to be stable during a storage timeframe of 180 d, maintaining adequate physicochemical characteristics and meeting quality specifications for dermal applications. Locust bean gum allowed formation of a stable gel with characteristics suitable for topical use. In this sense, it can be concluded that the curcumin gel formulations produced have the potential for topical applications when the beneficial effects of curcumin are sought.

 

ACKNOWLEDGEMENTS

Project funding by Fundação de Amparo a Pesquisa do Estado de São Paulo (FAPESP, São Paulo, Brazil) (FAPESP Refs. No. 2016/08884-3 (Project PneumoPhageColor) and 2016/12234 4 (Project TransAppIL)), is hereby gratefully acknowledged. Funding for V. M. Balcão through a BPE grant from FAPESP (São Paulo, Brazil) (Ref. No. 2018/05522-9, Project PsaPhageKill) is hereby gratefully acknowledged. This work also received support from CNPq, National Council for Scientific and Technological Development Brazil, in the form of Research Productivity (PQ) fellowships granted to V. M. Balcão (Refs. No. 306113/2014-7 and 308208/2017-0). The authors have no conflicts of interest whatsoever to declare.

 

REFERENCES

1. Hewlings, S. J.; Kalman, D. S.; Foods 2017, 6, 92. [Crossref]

2. Sueth-Santiago, V.; Mendes-Silva, G. P.; Decoté-Ricardo, D.; de Lima, M. E. F.; Quim. Nova 2015, 38, 538. [Crossref]

3. Burapan, S.; Kim, M.; Paisooksantivatana, Y.; Eser, B. E.; Han, J.; Foods 2020, 9, 1. [Crossref]

4. Hussain, Z.; Thu, H. E.; Amjad, M. W.; Hussain, F.; Ahmed, T. A.; Khan, S.; Mater. Sci. Eng., C 2017, 77, 1316. [Crossref]

5. Xie, L.; Ji, X.; Zhang, Q.; Wei, Y.; Biomed. Pharmacother. 2022, 146, 112567. [Crossref]

6. Blanco, K. C.; Mayumi, I. N.; Carbinatto, F. M.; Bagnato, V. S.; J. Pharm. Pharmacol. 2017, 5, 506. [Crossref]

7. Gopinath, H.; Karthikeyan, K.; Indian J. Dermatol. Venereol. 2018, 84, 16. [Crossref]

8. Kunnumakkara, A. B.; Bordoloi, D.; Padmavathi, G.; Monisha, J.; Roy, N. K.; Prasad, S.; Aggarwal, B. B.; Br. J. Pharmacol. 2017, 174, 1325. [Crossref]

9. Panahi, Y.; Fazlolahzadeh, O.; Atkin, S. L.; Majeed, M.; Butler, A. E.; Johnston, T. P.; Sahebkar, A.; J. Cell. Physiol. 2019, 234, 1165. [Crossref]

10. Boscariol, R.; Oliveira Junior, J. M.; Baldo, D. A.; Balcão, V. M.; Vila, M. M. D. C.; Saudi Pharm. J. 2022, 30, 382. [Crossref]

11. Boscariol, R.; Caetano, E. A.; Grotto, D.; Rosa-Castro, R. M.; Oliveira Junior, J. M.; Vila, M. M. D. C.; Balcão, V. M.; Pharmaceutics 2022, 14, 779. [Crossref]

12. Dutta, S.; Chawla, S.; Kumar, S.; J. Ration. Pharmacother. Res. 2018, 4, 2018. [Crossref]

13. Kulawik-Pióro, A.; Miastkowska, M.; Int. J. Mol. Sci. 2021, 22, 5124. [Crossref]

14. Calara, P. S.; Althin, R.; Carlsson, K. S.; Schmitt-Egenolf, M.; BioDrugs 2017, 31, 75. [Crossref]

15. Campani, V.; Scotti, L.; Silvestri, T.; Biondi, M.; de Rosa, G.; J. Mater. Sci.: Mater. Med. 2020, 31,1. [Crossref]

16. Hägg, D.; Sundström, A.; Eriksson, M.; Schmitt-Egenolf, M.; American Journal of Clinical Dermatology 2017, 18, 583. [Crossref]

17. Farahnik, B.; Sharma, D.; Alban, J.; Sivamani, R. K.; American Journal of Clinical Dermatology 2017, 18, 451. [Crossref]

18. Ma, J. Y.; Shao, S.; Wang, G.; Chin. Med. J. (Beijing, China, Engl. Ed.). 2020, 133, 2966. [Crossref]

19. Abrahams, S.; Haylett, W. L.; Johnson, G.; Carr, J. A.; Bardien, S.; Neuroscience 2019, 406, 1. [Crossref]

20. Phull, A. R.; Nasir, B.; Haq, I. U.; Kim, S. J.; Chem.-Biol. Interact. 2018, 281, 121. [Crossref]

21. Raut, G.; Wairkar, S.; Complementary Therapies in Clinical Practice 2018, 31, 25. [Crossref]

22. Nardo, V. D.; Gianfaldoni, S.; Tchernev, G.; Wollina, U.; Barygina, V.; Lotti, J.; Daaboul, F.; Lotti, T.; J. Med. Sci. 2018, 6, 218. [Crossref]

23. Vigato, A. A.; Querobino, S. M.; de Faria, N. C.; Candido, A. C. B. B.; Magalhães, L. G.; Cereda, C. M. S.; Tófoli, G. R.; Campos, E. V. R.; Machado, I. P.; Fraceto, L. F.; de Sairre, M. I.; de Araujo, D. R.; Front. Pharmacol. 2019, 10, 1. [Crossref]

24. Tanner, E. E. L.; Curreri, A. M.; Balkaran, J. P. R.; Selig-Wober, N. C.; Yang, A. B.; Kendig, C.; Fluhr, M. P.; Kim, N.; Mitragotri, S.; Adv. Mater. 2019, 31, 1. [Crossref]

25. Jorge, L. R.; Harada, L. K.; Silva, E. C.; Campos, W. F.; Moreli, F. C.; Shimamoto, G.; Pereira, J. F. B.; Oliveira, J. M.; Tubino, M.; Vila, M. M. D. C.; Balcão, V. M.; Front. Pharmacol. 2020, 11, 1. [Crossref]

26. Todke, P.; Shah, V. H.; Int. J. Dermatol. 2018, 57, 1387. [Crossref]

27. Campos, W. F.; Silva, E. C.; Oliveira, T. J.; Oliveira Junior, J. M.; Tubino, M.; Pereira, C.; Vila, M. M. D. C.; Balcão, V. M.; Future Microbiol. 2020, 15, 1. [Crossref]

28. Gomes, A.; Aguiar, L.; Ferraz, R.; Teixeira, C.; Gomes, P.; Int. J. Mol. Sci. 2021, 22, 11991. [Crossref]

29. Zakrewsky, M.; Banerjee, A.; Apte, S.; Kern, T. L.; Jones, M. R.; Del Sesto, R. E.; Koppisch, A. T.; Fox, D. T.; Mitragotri, S.; Adv. Healthcare Mater. 2016, 5, 1282. [Crossref]

30. Ko, J.; Mandal, A.; Dhawan, S.; Shevachman, M.; Mitragotri, S.; Joshi, N.; Bioeng. Transl. Med. 2021, 6, 1. [Crossref]

31. Yoshiura, H.; Tamura, M.; Aso, M.; Kamiya, N.; Goto, M.; J. Chem. Eng. Jpn. 2013, 46, 794. [Crossref]

32. Zhou, G.; Luo, Z.; Fu, X.; J. Agric. Food Chem. 2014, 62, 8214. [Crossref]

33. Islam, M. R.; Chowdhury, M. R.; Wakabayashi, R.; Kamiya, N.; Moniruzzaman, M.; Goto, M.; Int. J. Pharm.: X 2020, 582, 119335. [Crossref]

34. Boscariol, R.; Caetano, E. A.; Silva, E. C.; Oliveira, T. J.; Rosa-Castro, R. M.; Vila, M. M. D. C.; Balcão, V. M.; Pharmaceutics 2021, 13, 540. [Crossref]

35. Kuchlyan, J.; Kundu, N.; Sarkar, N.; Curr. Opin. Colloid Interface Sci. 2016, 25, 27. [Crossref]

36. Ren,Q.; Yang, Q.; Su, B.; Zhang, Z.; Bao, Z.; Xing, H. In Ionic Liquid-Based Surfactant Science: Formulation, Characterization, and Applications, 1st ed.; Paul, B. K.; Moulik, S. P., eds.; Wiley: New Jersey, 2015, p. 343-378.

37. Ibsen, K. N.; Ma, H.; Banerjee, A.; Tanner, E. E. L.; Nangia, S.; Mitragotri, S.; ACS Biomater. Sci. Eng. 2018, 4, 2370. [Crossref]

38. Tanner, E. E. L.; Curreri, A. M.; Balkaran, J. P. R.; Selig-Wober, N. C.; Yang, A. B.; Kendig, C.; Fluhr, M. P.; Kim, N.; Mitragotri, S.; Adv. Mater. 2019, 31, e1901103. [Crossref]

39. Mitura, S.; Sionkowska, A.; Jaiswal, A.; J. Mater. Sci.: Mater. Med. 2020, 31, 1. [Crossref]

40. Mostafavi, F. S.; Kadkhodaee, R.; Emadzadeh, B.; Koocheki, A.; Carbohydr. Polym. 2016, 139, 20. [Crossref]

41. Yuan, L.; Wu, Y.; Qin, Y.; Yong, H.; Liu, J.; J. Renewable Mater. 2020, 8, 1565. [Crossref]

42. Dionísio, M.; Grenha, A.; J. Pharm. BioAllied Sci. 2012, 4, 175. [Link] accessed on January 2, 2023

43. Banerjee, A.; Ibsen, K.; Iwao, Y.; Zakrewsky, M.; Mitragotri, S.; Adv. Healthcare Mater. 2017, 6, 1. [Crossref]

44. Pires, V. G. A.; de Moura, M. R.; Quim. Nov. 2017, 40, 1. [Crossref]

45. Glasser, C. A.; Vila, M. M. D. C.; Pereira, J. C.; Chaud, M. V.; Júnior, J. M. O.; Tubino, M.; Balcão, V. M.; Drug Dev. Ind. Pharm. 2016, 42, 1990. [Crossref]

46. Kawano, Y.; Kiuchi, H.; Haraguchi, T.; Yoshida, M.; Uchida, T.; Hanawa, T.; A. K, A. I.; International Journal of Medicine and Pharmacy 2017, 5, 18. [Link] accessed on January 2, 2023

47. Ministério da Saúde - Agência Nacional de Vigilância Sanitária, RDC nº. 318 de 06 de novembro de 2019. [Link] accessed on January 2, 2023

48. Deuschle, V.; Nunes, K.; Augusto, R.; Deuschle, N.; Rocha, M.; Athayde, M. L.; Braz. J. Pharm. Sci. 2015, 51, 63. [Crossref]

49. Agência Nacional de Vigilância Sanitária, Guia de Estabilidade de Produtos Cosméticos; 1a ed.; ANVISA: Brasilia, 2004. [Link] acessado em 02/01/2023

50. Han, J.; Li, L.; Pang, Z.; Su, M.; He, X.; Qian, S.; Zhang, J.; Gao, Y.; Wei, Y.; Eur. J. Pharm. Sci. 2022, 170, 106083. [Crossref]

51. Mudgil, D.; Barak, S.; Khatkar, B. S.; J. Food Sci. Technol. 2014, 51, 409. [Crossref]

52. Zhang, R.; Zhang, Z.; McClements, D. J.; Colloids Surf., B 2020, 194, 111202. [Crossref]

53. Patel, N. A.; Patel, N. J.; Patel, R. P.; Pharm. Dev. Technol. 2009, 14, 83. [Crossref]

54. Vandana, D.; Pawar, S.; Asian J. Pharm. Clin. Res. 2019, 12, 196. [Crossref]

55. Nasra, M. M. A.; Torky, A. S.; Freag, M. S.; Abdallah, O. Y.; Int. J. Pharm. 2018, 549, 76. [Crossref]

56. Harada, L. K.; Pereira, J. F. B.; Campos, W. F.; Silva, E. C.; Moutinho, C. G.; Vila, M. M. D. C.; Oliveira Jr., J. M.; Teixeira, J. A.; Balcão, V. M.; Tubino, M.; J. Braz. Chem. Soc. 2018, 29, 1983. [Crossref]

57. Massimino, L. C.; Dissertação de Mestrado, EESC/FMRP/IQSC da Universidade de São Paulo, Brasil, 2016. [Link]

58. Danaei, M.; Dehghankhold, M.; Ataei, S.; Davarani, F. H.; Javanmard, R.; Dokhani, A.; Khorasani, S.; Mozafari, M. R.; Pharmaceutics 2018, 10, 1. [Crossref]

59. Raposo, C. D.; Conceição, C. A.; Barros, M. T.; Molecules 2020, 25, 1744. [Crossref]

60. Nascimento Júnior, G. A.; Nobre, L.; Moreira, D. R.; Louchard, B. O.; Araujo, T. G.; Simpósio Nacional de Nanotecnologia Aplicada a Cosméticos, Campinas, Brasil, 2017, available at [Link] accessed in January 2023

61. Balcão, V. M.; Vila, M. M. D. C.; Adv. Drug Delivery Rev. 2015, 93, 25. [Crossref]

62. Malvern Instruments; Zetasizer Nano User Manual; Malvern Instruments Limited: England, 2013. [Link]

63. Kocaadam, B.; Şanlier, N.; Crit. Rev. Food Sci. Nutr. 2017, 57, 2889. [Crossref]

64. Kotha, R. R.; Luthria, D. L.; Molecules 2019, 24, 2930. [Crossref]

65. Kapoor, M.; Semwal, S.; Satlewal, A.; Christopher, J.; Gupta, R.; Kumar, R.; Puri, S.; Ramakumar, S. S. V.; Fuel 2019, 245, 514. [Crossref]

66. Hernandes, A. N.; Boscariol, R.; Balcão, V. M.; Vila, M. M. D. C.; AAPS PharmSciTech 2021, 22, 121. [Crossref]

67. Proksch, E.; J. Dermatol. 2018, 45, 1044. [Crossref]

On-line version ISSN 1678-7064 Printed version ISSN 0100-4042
Qu�mica Nova
Publica��es da Sociedade Brasileira de Qu�mica
Caixa Postal: 26037 05513-970 S�o Paulo - SP
Tel/Fax: +55.11.3032.2299/+55.11.3814.3602
Free access

GN1