JBCS



12:05, sáb out 25

Acesso Aberto/TP



Revisão


Nanopartículas de sílica (NPSiO2) utilizadas para o tratamento de distúrbios associados ao sistema nervoso central (SNC)
Silica nanoparticles (SiO2NP) used for the treatment of disorders associated with the central nervous system (CNS)

João Vitor Raupp de OliveiraI; Jussânia de Almeida GnoattoII; Tanira Alessandra Silveira AguirreI,III,*

I. Curso de Química Medicinal, Universidade Federal de Ciências da Saúde de Porto Alegre, 90050-170 Porto Alegre - RS, Brasil
II. Instituto de Química, Universidade Federal do Rio Grande, 96210-900 Porto Alegre - RS, Brasil
III. Programa de Pós-Graduação em Biociências, Universidade Federal de Ciências da Saúde de Porto Alegre, 90050-170 Porto Alegre - RS, Brasil

Recebido em: 22/08/2022
Aceito em: 17/11/2022
Publicado em: 24/01/2023

Endereço para correspondência

*e-mail: tanira@ufcspa.edu.br

RESUMO

In the last decade, nanomedicine has investigated the potential use of silica nanoparticles for drug delivery due to the favorable physicochemical properties of these systems as carriers. Specifically, a few studies have focused on applying silica-based nanosystems to deliver drugs into the central nervous system to treat neurological disorders. The present review aimed to evaluate the properties of silica nanoparticles, such as size, zeta potential, surface area, entrapment efficiency, drug loading, and release profile, exclusively applied for the treatment of central nervous system disorders as well as to describe the correlation between biological outcomes and physicochemical properties. Furthermore, the main processes related to the development of silica nanoparticles, such as preparation and characterization methods, were covered in this review to aid the systematic development of silica-based nanoparticles. In the articles reviewed, silica nanocarriers used in neurological disorders did not exhibit physicochemical similarities. Thus, attempts to prospect relations between physicochemical properties and biological effects are still inefficient when silica nanoparticles are used as drug delivery systems in neurological disorders. Therefore, each silica-based nanocarrier must be fully physicochemical and biologically characterized to comprehend how the structural features of silica nanoparticles affect biological systems.

Palavras-chave: silica nanoparticles; drug delivery; central nervous system; neurological disorders.

INTRODUÇÃO

A nanociência e a nanotecnologia, definidas como o estudo e a aplicação tecnológica de moléculas e estruturas na escala nanométrica, respectivamente, estão sendo extensivamente pesquisadas na área da nanomedicina - responsável pela aplicação da nanotecnologia no diagnóstico, tratamento e/ou controle de doenças - devido à possibilidade de explorar e desenvolver nanoestruturas com propriedades desejáveis para aplicações terapêuticas.1 Em virtude dos avanços na área, é estimado que o mercado global em produtos nanotecnológicos aplicados à medicina atinja o valor de 350,8 bilhões de dólares até 2025, gerando um investimento substancial para pesquisa e desenvolvimento de produtos nanofarmacêuticos.2 Nessa perspectiva, dentre as inúmeras aplicações promissoras da nanomedicina está o tratamento de distúrbios associados ao sistema nervoso central (SNC).

O SNC é composto por duas estruturas básicas: o encéfalo (cérebro, cerebelo e tronco encefálico) e a medula espinhal, sendo responsável por integrar as informações sensoriais e controlar as funções motoras e cognitivas.3 O cérebro é o órgão central desse sistema e é encarregado pela homeostasia das funções cognitivas como raciocínio, consciência, memória, comportamento, etc. Além disso, processa as informações sensoriais, como os cinco sentidos, e comanda os processos involuntários (respiração, batimento cardíaco, etc) e voluntários (falar, andar, etc). Contudo, diversos fatores como envelhecimento, estilo/condições de vida, doenças crônicas, entre outros, podem comprometer o funcionamento normal do cérebro, e suas funções, consequentemente, causando distúrbios neurológicos (DN).4-6

Os DN são doenças que acometem o sistema nervoso, gerando algum tipo de disfunção cerebral, quase sempre, e abrangem uma série de doenças distintas como: doença de Alzheimer e outras demências, doenças cerebrovasculares, incluindo acidente vascular cerebral, doença de Parkinson, neuroinfecções, tumores cerebrais, dentre outras.6

Nos últimos 25 anos, o número de mortes causadas por esses distúrbios aumentou cerca de 39%, representando a segunda maior causa de morte por doença.6,7 Além disso, a prevalência das doenças de Parkinson e Alzheimer e dos tumores cerebrais aumentou em 145%, 117% e 97%, respectivamente, no mesmo período. Também, os DN são classificados como a principal causa de anos de vida ajustados por incapacidade (disability adjusted life year, DALY), representando 12% de todas as doenças.7

As intervenções farmacológicas existentes para o tratamento dos DN são essenciais, porém limitadas a alguns medicamentos, que podem ter seu efeito terapêutico reduzido devido à heterogeneidade associada aos distúrbios e as complicações decorrentes - como tolerância e resistência ao tratamento farmacológico.8,9 Ainda, o desenvolvimento de novos fármacos para o tratamento dos DN sofre com alguns obstáculos como: i) barreira hemato encefálica (BHE), que impede a passagem de moléculas para o cérebro;10 ii) elevada lipofilicidade e toxicidade de moléculas bioativas testadas contra os DN;11,12 e iii) falta de novos alvos terapêuticos para intervenção farmacológica, principalmente em doenças neurodegenerativas.13

Os sistemas de administração controlada de fármacos (drug delivery systems, DDS) representam um conjunto de estratégias factíveis utilizadas para atingir níveis terapêuticos efetivos de uma substância bioativa no local de ação. Esses sistemas podem ser utilizados para melhorar as características farmacocinéticas e farmacodinâmicas dos fármacos utilizados atualmente, além de auxiliar novas moléculas bioativas a superarem as barreiras biológicas e eventuais problemas causados pela natureza química dos princípios ativos.14,15

Nos últimos anos, os DDS nanoestruturados, destacando-se as nanopartículas (NPs), têm recebido a atenção dos pesquisadores por aprimorarem a entrega controlada e o sucesso dos tratamentos farmacológicos. As NPs passíveis de modulação, ou seja, que podem ser vetorizadas ativamente e/ou tornadas responsivas a gatilhos bioquímicos, são de especial interesse dessas pesquisas, por apresentarem propriedades idealizadas para os DDS, tais como: a entrega direcionada do fármaco no sítio de ação e o controle da liberação do fármaco em doses terapêuticas durante períodos planejados.16,17 Nesse contexto, as nanopartículas de sílica (NPSiO2) são promissores DDS, já que apresentam uma série de vantagens sintéticas e propriedades estruturais e biológicas favoráveis para aplicação na nanomedicina.18

Sinteticamente, as NPSiO2 podem ser produzidas por diferentes metodologias como, por exemplo, o método de Stöber, no qual variações metodológicas permitem sintetizar um amplo espectro de NPSiO2 com características estruturais distintas.19 Além disso, novas metodologias verdes estão sendo estudadas para síntese da nanossílica, tornando-as mais sustentáveis.20,21 Ainda, algumas metodologias sintéticas são escalonáveis, permitindo a produção de grandes quantidades do nanomaterial, demonstrando a viabilidade comercial desses produtos.22,23

Estruturalmente, as NPSiO2 possuem elevada área superficial e são resistentes a tensões físicas e químicas, incluindo variações de pH e estresse mecânico e térmico. Também, podem ser facilmente funcionalizadas, devido à presença das hidroxilas expostas na superfície da nanopartícula.24 A funcionalização, ou modificação da superfície, permite adicionar às NPSiO2 grupos direcionadores que podem aumentar a retenção das partículas no local de ação do fármaco e/ou estruturas responsivas a gatilhos bioquímicos para entrega sob demanda.25,26 Além disso, algumas funcionalizações impedem a adsorção inespecífica de proteínas, fenômeno conhecido como opsonização ou proteína corona, que pode causar a inativação dos DDS nanoestruturados in vivo.27,28

Biologicamente, as NPSiO2 são biocompatíveis e biodegradáveis, além da sílica ser classificada como Generally Recognized As Safe (GRAS) pelo Food and Drug Administration (FDA). O status GRAS torna a aplicação das NPSiO2 como sistemas de entrega controlada de fármaco mais atrativa para a indústria, pois pode significar uma redução substancial no tempo e custo dos trâmites regulatórios para um novo medicamento.24,29

Considerando a aplicação das NPSiO2 na nanomedicina como DDS para o SNC, pensar nas vias de administração para aplicação de NPs pode ajudar a guiar o planejamento do nanocarreador, em virtude das barreiras biológicas que o sistema enfrentará em cada via. A administração intravenosa é a via mais utilizada nos testes in vivo com NPSiO2 voltadas para o tratamento dos distúrbios do SNC.30 A via oral é relatada para administração de NPs, contudo as barreiras inerentes ao trato gastrointestinal podem comprometer a absorção das NPSiO2 ou dos fármacos associados a essas NPs.31 Por fim, a via intranasal, apesar de não ser totalmente estabelecida para administração de fármacos para o SNC, tem atraído a atenção para a administração de NPs. A administração intranasal é uma via não-invasiva e existem estudos sugerindo o desvio da BHE para NPs administradas por essa via dita nariz-ao-cérebro.32

Muitos desafios ainda precisam ser superados para a aplicação das NPSiO2 na nanomedicina para o tratamento dos DN. Sabe-se que a interação das NPs com os sistemas biológicos está diretamente relacionada às propriedades físico-químicas do nanomaterial. Assim, diversos métodos computacionais estão sendo desenvolvidos para estabelecer a relação nanoestrutura/atividade (quantitative nanostructure/activity relationships, QNAR) e auxiliar no planejamento racional desses nanocarreadores.33 Além disso, relativamente pouco se sabe sobre o perfil toxicológico dessas nanoestruturas, sobretudo no SNC.34 O avanço da nanotoxicologia é crucial para estabelecer a relação risco/benefício ou segurança associado ao uso das NPSiO2. Por esse motivo, as NPSiO2 estão entre as prioridades para avaliação toxicológica da Organização para a Cooperação e Desenvolvimento Econômico (Organization for Economic Cooperation and Development, OECD).35

Contudo, apesar dos desafios associados à aplicação das NPSiO2 na nanomedicina, um sistema baseado em sílica está atualmente sendo avaliado em estudos clínicos de Fase 2 (NCT02106598), demonstrando resultados promissores tanto em relação ao perfil de segurança quanto à aplicação.36 A primeira NPSiO2 em estudo clínico é um sistema ultra-pequeno (< 10 nm) composto por um núcleo fluorescente (Cy5.5) envolto por um casco de sílica funcionalizada com polietilenoglicol (PEG) e um peptídeo cíclico (cRGDY), sendo aplicada para o imageamento de melanoma de pescoço e cabeça sob administração intradérmica no ensaio clínico de Fase 2.37,38 Também, recentemente, uma segunda NPSiO2 começou a ser avaliada em estudos clínicos de Fase 1 (NCT04167969), objetivando a aplicação para o imageamento do câncer de próstata sob administração intravenosa. O sistema avaliado é uma nanopartícula ultra-pequena com núcleo fluorescente (Cy5.5) funcionalizada com PEG, ligado ao inibidor do antígeno de membrana específico da próstata humana (human prostate-specific membrane antigen inhibitor, PSMAi), envolto por 64Cu, o qual é quelado pelo 1,4,7-triazaciclononano-N,N',N''-triacético (NOTA).39

O crescente número de publicações tanto de artigos científicos como de patentes, e dos testes clínicos que estão em andamento utilizando as nanopartículas de sílica, indicam que essas nanopartículas podem atuar como drug delivery systems para o sistema nervoso central. Assim, é importante compreender quais características físico-químicas são pertinentes no desenvolvimento dos nanocarreadores baseados em sílica relacionando-os diretamente à aplicação, buscando o planejamento racional desses nanosistemas. Aqui, propomos apresentar uma perspectiva focada no desenvolvimento e aplicação de nanopartículas de sílica para a entrega controlada de fármacos para o sistema nervoso central. Através dessa perspectiva, o presente trabalho objetivou sumarizar os aspectos relacionados à produção e caracterização das nanopartículas de sílica; analisar quantitativamente as principais características físico-químicas, como, por exemplo, tamanho e carga superficial, das nanopartículas de sílica que são aplicadas exclusivamente para o tratamento de distúrbios neurológicos e associar essas propriedades com as características biológicas observadas nos estudos.

 

NANOPARTÍCULAS DE SÍLICA

As NPSiO2 são estruturas nanométricas formadas por ligações siloxanos (Si-O-Si), sendo a unidade estrutural básica a sílica (SiO2). Especificamente, o mecanismo de formação das NPSiO2 envolve a hidrólise de um precursor de sílica (Si(OR)4) através da reação de substituição nucleofílica de um grupo -OR por uma hidroxila (-OH) - (Si(OR)3OH). Consecutivamente, ocorre a condensação de um grupo silanol (Si-OH) formando a ligação siloxano (Si-O-Si), através da eliminação de uma molécula de álcool ou água - em maior quantidade, dando origem ao início da nanoestrutura.18,19

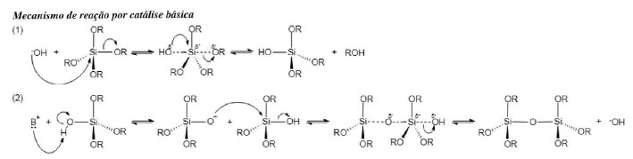
As reações são catalisadas por ácido ou base, conforme apresentado nas Figuras 1 e 2, respectivamente. O tipo de catalisador empregado é importante porque influencia a taxa de nucleação (formação de novos núcleos) e crescimento (aumento do núcleo) da nanoestrutura de sílica, devido ao pH afetar o estado de protonação das espécies químicas envolvidas nas reações - sendo o ponto de carga zero (PCZ) da sílica igual a 2.19 Nesse aspecto, o catalisador ácido (H+) apresenta afinidade pelas espécies com maior densidade eletrônica (Si-OR) e o catalisador básico (-OH) pelas espécies químicas eletrofílicas (Si-O-Si). Desse modo, a catálise ácida promove o crescimento de nanoestruturas com caráter filamentoso, devido à concentração de grupamentos orgânicos na superfície da partícula que está se formando, enquanto que a catálise básica fornece NPs com formato esférico, porque há uma maior densidade de espécies Si-O-Si próximas do núcleo recém-formado.19,40

 


Figura 1. Mecanismo de reação por catálise ácida para obtenção de NPSiO2 através da reação de (1) hidrólise do precursor de sílica (Si(OR)4) seguida pela (2) condensação dos grupos silanóis (Si-OH) formando a ligação siloxano (Si-O-Si)

 

 


Figura 2. Mecanismo de reação por catálise básica para obtenção de NPSiO2 através da reação de (1) hidrólise do precursor de sílica (Si(OR)4) seguida pela (2) condensação dos grupos silanóis (Si-OH) formando a ligação siloxano (Si-O-Si)

 

Através do conhecimento do mecanismo de formação das partículas de sílica é possível manipular as condições reacionais para obter diferentes estruturas. Na área de drug delivery, as NPSiO2 são majoritariamente esféricas, sendo as morfologias mais comuns a não-porosa (silica nanoparticle, SiNP), mesoporosa (mesoporous silica nanoparticle, MSN) e oca mesoporosa (hollow mesoporous silica nanoparticles, HMSN), bem como sistemas core-shell (CS) - partículas híbridas com núcleo (core) e superfície (shell) com composições distintas. As morfologias descritas das NPSiO2 aplicadas como DDS estão representadas na Figura 3.

 


Figura 3. Principais morfologias das NPSiO2 empregadas como DDS: não-porosa, mesoporosa, oca mesoporosa e sistemas híbridos, respectivamente

 

SÍNTESE DE NANOPARTÍCULAS DE SÍLICA

A síntese de nanomateriais pode ser realizada por duas estratégias distintas: top-down e bottom-up. O top-down consiste no processamento de materiais bulk - macroscópicos, até a escala nanométrica e o bottom-up no uso de precursores moleculares para a construção do nanomaterial.1 Para a síntese de nanoestruturas de sílica existem diversas metodologias baseadas na estratégia bottom up - devido ao maior controle de produção por esse processo em termos de homogeneidade das partículas, principalmente. Contudo, apesar da diversidade de metodologias, o método sol-gel catalisado por base - ou método de Stöber, é consideravelmente mais aplicado para obtenção de NPSiO2, porque pequenas variações nos parâmetros reacionais desse método permitem obter um amplo espectro de partículas com características estruturais específicas, conforme será discutido nos próximos tópicos.41,42

 

MÉTODO SOL-GEL DE STÖBER

Em 1968, Stöber, Fink e Bohn desenvolveram um método sol-gel - conhecido como método de Stöber, para síntese de partículas de sílica coloidal nanométricas.43 O método permite a produção de diferentes tamanhos de NPs esféricas, bem definidas, monodispersas e uniformes, apenas ajustando os parâmetros reacionais como concentração dos reagentes, temperatura, tempo, entre outros.19,43

Como especificado na Figura 4, a metodologia envolve a mistura de um precursor de sílica, tetrametilortosilicato (TMOS) ou tetraetilortosilicato (TEOS), com um álcool (MeOH ou EtOH - solvente), seguida pela adição posterior de uma solução aquosa de hidróxido de amônio (NH4OH - catalisador).43 Conforme o mecanismo, as reações de hidrólise e condensação são subsequentes, ocorrendo todo o processo sintético em um único frasco reacional (one-pot) e em uma única etapa (single-step).44

 


Figura 4. Métodos de Stöber e de Stöber modificado frequentemente empregados para síntese de NPs não-porosas (SiNP) e mesoporosas (MSN), respectivamente

 

Como citado a priori, pequenas variações nos parâmetros do procedimento permitem alterar as propriedades das NPSiO2. De modo geral, um excesso de água e/ou do catalisador aumenta a cinética da reação de hidrólise - etapa lenta do processo de formação das NPSiO2, gerando partículas maiores, sendo capaz de afetar o índice de polidispersão das NPs, ou seja, a homogeneidade na distribuição de tamanho.45 Em consoante, como discutido nos mecanismos de reação, o pH influencia significativamente os processos de nucleação e crescimento das partículas, sendo geralmente os valores entre 10 < pH < 12 melhores para obtenção de partículas esféricas e uniformes.44,46 Também, a escolha e a concentração do precursor de sílica afeta o produto obtido. A utilização do TEOS possibilita controlar com maior precisão a formação das partículas, devido a sua menor reatividade em relação ao TMOS.47 Ainda, uma concentração inicial elevada do precursor tende a aumentar o tamanho das partículas e a distribuição de tamanho - devido à formação de vários núcleos pela alta concentração do precursor.19,48 Por fim, a temperatura altera a taxa de formação de núcleos primários e, consequentemente, o crescimento das NPSiO2, sendo comum o emprego de temperaturas na faixa de 25 °C (ou temperatura ambiente) até 80 °C para síntese das NPSiO2. Temperaturas mais elevadas, em relação à 25 °C, aumentam a taxa de nucleação, gerando um número alto de partículas pequenas e monodispersas. Ao contrário, baixas temperaturas reduzem a taxa de nucleação, sendo capaz de gerar um alto índice de polidispersão e baixa densidade de NPs.19,44,48

 

MÉTODO SOL-GEL DE STÖBER MODIFICADO

O método de Stöber modificado refere-se, na maioria das vezes, ao uso de surfactantes como molde para a síntese de NPSiO2 com volume de poro elevado. Devido à aplicação como DDS, o aumento do volume do poro é relevante porque permite carrear uma quantidade elevada de moléculas bioativas através da incorporação dessas moléculas no interior dos poros da partícula.49

A síntese de nanopartículas mesoporosas - MSN, ocorre pela condensação do precursor de sílica ao redor das micelas formadas pelo surfactante, conforme apresentado na Figura 4. Comumente, a uma suspensão aquosa contendo micelas de brometo de cetiltrimetilamônio (CTAB) e hidróxido de sódio (NaOH) é adicionado o precursor de sílica (TEOS).48 Após a síntese, as partículas são processadas para remoção do molde/surfactante, que ocorre através do refluxo das partículas em meio alcoólico acidificado ou por calcinação ou ambos.44

Além dos parâmetros descritos anteriormente, o método de Stöber modificado possibilita o controle sobre a porosidade da partícula. O controle do tamanho do poro corresponde ao tamanho da micela formada, ou seja, depende da natureza do surfactante.48,49 Também, uma concentração elevada de surfactante, além da concentração micelar crítica (CMC), aumenta o número de micelas formadas, gerando partículas com maior quantidade de poros e, consequentemente, maior área superficial.50 Além disso, o aumento da temperatura é utilizado para o controle da formação e do tamanho das micelas - modificando a taxa de formação e diminuindo o tamanho das micelas, respectivamente.51 O diâmetro do poro pode ser alterado através da relação surfactante/catalisador, aumentando com o acréscimo de catalisador através da modulação da interação surfactante-sílica. Nesse caso, o aumento do diâmetro causa um decréscimo no volume total do poro com redução da área superficial da partícula.52 Por último, o tempo reacional pode afetar a porosidade e o tamanho das partículas, elevando o número de poros e o tamanho conforme o aumento do tempo de reação, sendo geralmente necessário um tempo superior à 1 h para formação de NPSiO2 bem definidas, dependendo das outras condições reacionais.19,44

 

INCORPORAÇÃO E CARREAMENTO DO PRINCÍPIO ATIVO

Uma das principais vantagens de usar NPSiO2 como DDS é a possibilidade de se obter uma elevada incorporação e quantidade de princípio ativo carreado pela nanopartícula. A incorporação do princípio ativo - drug entrapment, é medida pela eficiência de incorporação (entrapment efficiency, EE), através da relação mássica entre o princípio incorporado e o não-incorporado durante o procedimento e fornece uma ideia de rendimento do processo. Em consoante, o carreamento do princípio ativo (drug loading, DL) é dado pela razão entre a quantidade de princípio ativo incorporado pela massa total de NPSiO2.49,53 Ambas as relações são geralmente reportadas em termos percentuais mássicos, %EE e %DL.

Diversas técnicas são empregadas para a incorporação do princípio ativo.54 Notoriamente, a sílica possui propriedades adsorventes excepcionais, sendo uma das técnicas a adsorção do fármaco na superfície da partícula após a síntese através da adição das partículas em uma solução contendo a molécula a ser adsorvida. Outra técnica utilizada é a adição do princípio ativo durante a síntese da nanopartícula - one-pot drug loading - o qual é aprisionado nas redes de sílica e adsorvido na superfície da partícula.54

A análise do EE e DL pode ser realizada por diversas técnicas instrumentais através de métodos diretos e indiretos. Geralmente, a análise do EE para NPSiO2 é realizada através do método indireto utilizando uma metodologia para quantificação da molécula livre restante no meio após ser realizada a etapa de incorporação do princípio ativo e remoção das partículas. Em paralelo, o DL pode ser estabelecido pela quantificação do princípio ativo incorporado em uma massa conhecida do nanomaterial após síntese das partículas e incorporação do princípio ativo. Ou ainda, pode-se estimar o DL através do ensaio de liberação utilizando sacos de diálise ou a colocação das partículas diretamente no meio de liberação e posterior centrifugação das alíquotas coletadas e quantificação do sobrenadante.55,56 No ensaio de liberação, alguns parâmetros como temperatura e pH são extremamente relevantes para simular a cinética de liberação de acordo com as características dos caminhos biológicos que idealmente serão percorridos pela nanopartícula.56 Por fim, vale ressaltar que o uso de metodologias analíticas adequadas como cromatografia e espectroscopia, para quantificação do princípio ativo com precisão e exatidão, permitem aferir com maior robustez o EE e DL, sendo essencial para aplicação das NPSiO2 como DDS.55

 

MODIFICAÇÃO DA SUPERFÍCIE

A modificação da superfície é uma estratégia amplamente empregada devido à possibilidade de funcionalizar a superfície das nanoestruturas de sílica com moléculas capazes de alterar as propriedades físico-químicas e biológicas das partículas. Nesse sentido, em sistemas biológicos, a modificação da matriz pode elevar a estabilidade coloidal das partículas e evitar a adsorção inespecífica de biomoléculas - reduzindo a agregação das NPSiO2 e a toxicidade associada.25,57 Ainda, a modificação é capaz de afetar a farmacocinética e a farmacodinâmica das NPSiO2 - como o tempo de circulação e a biodistribuição e os fenômenos de interação partícula-célula, respectivamente.25 Além disso, a funcionalização da superfície permite modular a cinética de liberação do princípio ativo transportado, sendo um fator relevante no processo de desenvolvimento de um DDS.58

No caso das nanoestruturas de sílica, a presença das hidroxilas na matriz permite a modificação da superfície de modo simples, funcionando como um ponto de ancoragem para a conjugação de moléculas. Essa conjugação ocorre a partir de diferentes processos, que dependem da natureza química da molécula que será ancorada, sendo possível a funcionalização da superfície através da formação de ligações covalentes ou pela ação de forças intermoleculares, como apresentado na Figura 5.44

 


Figura 5. Modificação da superfície de NPSiO2 através da formação de ligação covalente pelos procedimentos de co-condensação e inserção pós-síntese e através da interação intermolecular com a superfície da nanopartícula pela inserção pós-síntese

 

A formação de ligação covalente entre uma molécula e a hidroxila pode acontecer através de dois procedimentos: co-condensação e inserção pós-síntese. A co-condensação envolve a adição de um organosilano durante a formação da nanopartícula, ocorrendo a funcionalização inclusive do interior dos poros.59 A inserção pós-síntese acontece pela reação direta dos organosilanos com as hidroxilas livres presentes na superfície. Esse procedimento é realizado após a formação das NPs, comumente adicionando-se as NPSiO2 a uma solução contendo o organosilano.60 A ligação não-covalente é aplicada para moléculas de alto peso molecular, como, por exemplo, polímeros, e é realizada após a síntese do carreador através de interações intermoleculares entre o composto e a superfície da nanopartícula.44 A formação da interação ocorre através de várias metodologias, dependendo da natureza química do composto, como, por exemplo, o método da hidratação de filme fino (thin-film hydration) e o da mistura de soluções (solution blending), empregados para modificar a superfície das NPSiO2 com lipídeos e polímeros, respectivamente.

Além disso, a funcionalização da matriz com organosilanos pode funcionar como um processo de derivatização para a ancoragem de outras moléculas que não formam ligação ou interagem de forma significativa com os grupos hidroxila da superfície das NPSiO2. O processo de derivatização geralmente ocorre pela co-condenação ou inserção pós-síntese de um organosilano de cadeia carbônica curta com um terminal amino (-NH2) ou ácido carboxílico (-COOH). Além disso, a co-condensação do 3-aminopropiltrimetoxisilano (APTMS) ou 3-aminopropiltrietoxisilano (APTES) é uma estratégia amplamente utilizada para modular a cinética de liberação do princípio ativo dos poros da nanopartícula através da modulação da interação entre a superfície do poro e o fármaco.48,54

 

CARACTERIZAÇÃO FÍSICO-QUÍMICA DE NANOPARTÍCULAS DE SÍLICA

A caracterização é uma etapa substancial no desenvolvimento de um nanosistema de drug delivery. Diversas técnicas são aplicadas para a compreensão das características estruturais e químicas - contudo os aspectos interdisciplinares da nanotecnologia limitam um processo de caracterização extensivo, bem como a falta de materiais de referência - como padrões analíticos, além da complexidade na preparação e interpretação de dados relacionados a algumas técnicas.61

Apesar disso, algumas características físico-químicas como tamanho, área e carga superficial, estado de agregação e modificação da superfície alteram significativamente as interações das partículas de sílica com os sistemas biológicos, sendo importante a avaliação minuciosa dessas propriedades para associar as características estruturais e químicas das partículas com o efeito terapêutico.62 A seguir são apresentadas as principais técnicas empregadas para caracterizar as NPSiO2 em relação aos aspectos descritos.

A técnica de espalhamento de luz dinâmico (dynamic light scattering, DLS) é usada para medir o tamanho hidrodinâmico e o índice de polidispersão (polydispersity index, PDI) das NPs em suspensão coloidal. Nesse tipo de sistema as partículas estão em constante movimento aleatório, denominado movimento Browniano, devido aos efeitos de repulsão causados pela carga superficial, principalmente. Genericamente, o DLS mede as flutuações na intensidade da luz espalhada decorrente desse movimento em função do tempo e as relacionam, utilizando diferentes algoritmos, ao diâmetro hidrodinâmico das NPs em suspensão.63

A análise do potencial zeta (potencial-ζ) fornece a carga superficial das NPs. Essa medida indica a estabilidade do sistema coloidal, no qual partículas com elevado potencial-ζ (> |20| mV) tendem a se repelir através da repulsão eletrostática e manter o estado de suspensão, com baixa propensão à formação de agregados.61,64

Através da adsorção-dessorção de nitrogênio (N2) é possível analisar a área superficial e a distribuição do tamanho dos poros através dos métodos Brunauer-Emmett-Teller (BET) e Barrett-Joyner-Halenda (BJH), respectivamente. Os métodos utilizam equações que permitem calcular os parâmetros citados através da quantidade de N2 adsorvido na superfície das NPs. Também, a curva de adsorção-dessorção obtida pela técnica permite atribuir propriedades como porosidade e morfologia do poro.65 Por fim, a partir dos resultados, as partículas são classificadas de acordo com o tamanho do poro (p) da seguinte maneira: não-porosa: p < 0,1 nm; microporosa: 0,1 ≤ p < 2 nm; mesoporosa: 2 ≤ p < 50 nm; e macroporosa: p > 50 nm.

A composição química da nanopartícula é determinada por uma técnica qualitativa e outra quantitativa. A espectroscopia no infravermelho com transformada de Fourier (Fourier transformed infrared spectroscopy, FTIR) permite a análise dos grupos químicos que estão presentes na superfície da partícula através da irradiação de ondas eletromagnética na região do infravermelho (4000 400 cm 1), que causam oscilações nas ligações entre os átomos do grupo, observadas pelo espectro gerado pela técnica.58 Por outro lado, a análise elementar (CHN) e a termogravimetria (thermogravimetric analysis, TGA) fornecem informações quantitativas sobre a constituição da matéria em termos de composição mássica. O princípio dessas técnicas consiste na combustão da amostra para avaliar a perda de massa causada pela degradação da matéria orgânica presente.24,66 O principal foco dessas análises é avaliar a modificação da matriz, porém é igualmente importante determinar a densidade de grupos silanóis ou hidroxilas na superfície - uma vez que essas hidroxilas comprometem a biocompatibilidade das NPSiO2.67

A microscopia eletrônica de varredura (scanning electron microscopy, SEM) e a microscopia eletrônica de transmissão (transmission electron microscopy, TEM) possibilitam o imageamento das nanoestruturas. Diferente do microscópio óptico que utiliza luz para obtenção de imagem, o microscópio eletrônico utiliza um feixe de elétrons de alta energia para a visualização das estruturas. O SEM obtém imagens 3D através do escaneamento da amostra, sendo possível aferir propriedades como tamanho, distribuição de tamanho e estado de agregação, principalmente. O TEM obtém as imagens pela transmissão do feixe de elétrons através da amostra, gerando imagens 2D, possibilitando a análise de parâmetros como tamanho, forma e estado de agregação, bem como a visualização das propriedades de uma única nanopartícula, sendo possível a inspecção de HMSN, sistemas CS ou híbridos e os poros da partícula.61,68

 

NANOESTRUTURAS DE SÍLICA EM DISTÚRBIOS NEUROLÓGICOS

De acordo com a Tabela 1, diversos sistemas baseados em sílica têm sido explorados como DDS para o tratamento de distúrbios associados ao SNC.

 

 

Em relação aos DN podem ser destacados os tumores cerebrais, referidos como glioma, neuroblastoma e glioblastoma. No geral, a aplicação das NPSiO2 para o tratamento do câncer é relacionada à tendência de estruturas nanométricas se acumularem no ambiente tumoral, fenômeno conhecido como efeito aprimorado de permeabilidade e retenção (enhanced permeability and retention, EPR), sendo oportuno a aplicação das NPs nesse contexto.32 Majoritariamente, o efeito EPR é consequência da própria condição patológica que resulta em uma vascularização bastante permeável e uma filtração linfática suprimida, favorecendo a permeação e retenção de nanomateriais no ambiente tumoral, respectivamente. Contudo, algumas características físico-químicas das NPs podem favorecer o efeito EPR.32 Zein e colaboradores32 sugeriram que nanopartículas menores que 12 nm possuem um efeito de permeação aprimorado nos tecidos tumorais. Já as nanoestruturas maiores que 200 nm ou menores que 6 nm são mais suscetíveis a serem eliminadas da circulação sanguínea pelo fígado e rim, principalmente, enquanto que nanopartículas com diâmetro próximo de 100 nm permanecem em circulação por períodos mais longos, aumentando a retenção tumoral. Outras características como área superficial e potencial-ζ também exercem influência sobre o fenômeno, sendo essas propriedades relacionadas à outras questões como biodistribuição e interação partícula-célula, as quais serão discutidas posteriormente. Além dos DN relacionados ao encéfalo, como os tumores cerebrais e doenças neurodegenerativas, é interessante ressaltar a aplicação das NPSiO2 para o tratamento de dores neuropáticas, conforme reportado por Dengler e colaboradores,95 que utilizaram as NPSiO2 objetivando a entrega de biomoléculas para a medula espinal, sendo pouco explorado a aplicação das NPSiO2 nesse contexto.

Diversos princípios ativos com características químicas distintas podem ser carreados pelas NPSiO2 como compostos hidrofílicos (p.e. doxorrubicina75,86,88,91,96 e L-dopa71,76) e lipofílicos (p.e. paclitaxel70,96 e nimodipina79), biomoléculas (p.e. IL-1369 e BDNF81), bem como compostos inorgânicos (p.e. trióxido de arsênio74 e cisplatina73). Estrategicamente, a incorporação de princípios ativos em matrizes de sílica é utilizada para aprimorar a entrega da substância terapêutica no local de ação, através do carreamento, bem como para modificar a solubilidade e a taxa de dissolução dos componentes incorporados.79 A incorporação dos compostos com atividade biológica na estrutura de sílica, principalmente nas mesoporosas, promove à alteração da forma cristalina das moléculas, parcialmente solúvel ou insolúvel, para um estado amorfo solúvel, aumentando a taxa de dissolução e a biodisponibilidade, consequentemente.54

Conforme Li e colaboradores,79 a utilização da sílica mesoporosa como carreador da nimodipina, que apresenta baixa solubilidade em água, promoveu alteração da estrutura cristalina da molécula para o estado amorfo, através da formação de ligações de hidrogênio entre a superfície da partícula e o fármaco. A taxa de dissolução da molécula foi incrementada em 6,8 vezes em relação ao fármaco livre, bem como a biodisponibilidade, que foi aperfeiçoada em 3,8 vezes quando comparada com a administração do fármaco sem estar incorporado nas NPSiO2.

Ainda, a incorporação de moléculas capazes de cruzar a BHE (p.e. temozolomida92 e L-dopa71,76) reside na intenção de aprimorar o tratamento farmacológico através da liberação controlada do princípio ativo, promovendo, por vezes, uma redução da dose administrada para o mesmo efeito terapêutico do fármaco livre. Essa redução pode impactar tanto em questões econômicas como na redução de efeitos indesejados causados por tratamentos contínuos.

De modo similar aos princípios ativos, em termos de abrangência, é possível modificar a superfície das NPSiO2 com uma gama de moléculas como organosilanos (p.e. APTMS81 e APTES),89 peptídeos e proteínas (p.e. transferrina96 e angiopep-2),70,74 lipídeos (p.e. colesterol),72,74,80 carboidratos (p.e. goma arábica),77 polímeros (p.e. poli(ácido acrílico))74 e metais ou NPs metálicas (p.e. NPAu).87 Essas funcionalizações atuam de diversas formas como direcionadores ativos dos nanossistemas para o local de ação do fármaco (p.e. transferrina),96 aprisionadores (gatekeepers) responsivas à gatilho bioquímico (p.e. ALC-PEI),87 moduladores da cinética de liberação do princípio ativo (p.e. APTMS),81 bem como para evitar a opsonização das partículas por proteínas e outras biomoléculas em sistemas biológicos (p.e. PEG).94 Interessante observar que as modificações na superfície geralmente são empregadas para atuarem de forma aditiva, procurando atingir diferentes graus os efeitos descritos separadamente.

Schmidt e colaboradores81 relataram a influência da funcionalização no controle da liberação do BDNF. Nesse aspecto, os pesquisadores modificaram a superfície das NPSiO2 com APTMS, através da inserção pós-síntese, para que a biomolécula fosse capaz de interagir eletrostaticamente e por via hidrofóbica, além da formação de ligação de hidrogênio, com a superfície da partícula. O aumento das interações intermoleculares foi capaz de diminuir um efeito de liberação imediata do BDNF e prolongar a liberação por 20 dias a mais do que o seu contraposto não funcionalizado.

De modo esquemático, a Figura 6 apresenta os principais grupos que estão presentes na superfície das NPSiO2 não-funcionalizadas e as modificações usualmente aplicadas para o controle da cinética de liberação do princípio ativo e direcionamento do fármaco para o local de ação.

 


Figura 6. Principais grupos químicos presentes na superfície das NPSiO2 capazes de formar interações intermoleculares com os princípios ativos (parte superior) e funcionalizações usualmente aplicadas, segundo os trabalhos revisados, para o controle da liberação (inferior à direita) e direcionamento das partículas (inferior à esquerda)

 

O método sol-gel é amplamente empregado para síntese das NPSiO2, apesar de não ser o único, devido às vantagens do método em relação ao controle na produção de partículas homogêneas e, em certa instância, por ser uma denominação genérica para maioria das sínteses que ocorrem em meio hidroalcoólico, tornando a denominação pouco específica. Além do método, os trabalhos focam no estudo de nanoestruturas mesoporosas, variando o tamanho dos poros em até 60 nm (p.e. XL-MSN-IL13)69 ou a morfologia dos poros, como nos casos dos mesoporos curvados CMS,47,85 MCM-4172,82 e SBA-15,76 que apresentam uma estrutura e organização dos poros de modo específico.

A via de administração intravenosa é recorrentemente mais empregada nos ensaios in vivo, conforme a Tabela 1, seguida pelas vias oral e intranasal, respectivamente. Em alguns estudos é demonstrado que a administração de NPSiO2 pelas vias intravenosa e intranasal possibilitam a detecção das NPSiO2 no cérebro, ou do átomo de silício, presente na ordem de nanogramas por grama de cérebro.30,97-99 Contudo, algumas variáveis como concentração, tempo de exposição, funcionalização e tamanho estão associadas à biodistribuição das NPSiO2 e, consequentemente, a detecção das NPSiO2 no cérebro. Nessa perspectiva, a comparação entre as vias de administração fica comprometida em relação a quantidade de variáveis, sendo necessária a realização de estudos comparativos para determinar quais as melhores condições de administração para cada via. Por fim, apesar das questões relacionadas à biodistribuição das NPSiO2, é possível observar uma melhora significativa em alguns tratamentos farmacológicos quando se utiliza esses nanossistemas como DDS em estudos in vivo.70,74

Zhu e colaboradores70 demonstraram que a utilização do sistema ANG-LP-MSN-PTX (106 nm, -16 mV) promoveu uma redução significativa do glioma e dobrou a taxa de sobrevida in vivo, em relação à administração do fármaco em solução, sob administração intravenosa de 7,5 mg kg-1 a cada dois dias. Os efeitos observados foram atribuídos a liberação sustentada do fármaco pelas MSN e ao controle da liberação imediata devido ao revestimento lipídico, bem como pela funcionalização com o angiopep-2, que promoveu uma melhor permeação das partículas através da BHE. De modo similar, Tao e colabores74 relataram que o nanosistema ANG-LP-PAA-MSN@ATO (141 nm, -14 mV) foi capaz de reduzir significativamente o volume do tumor cerebral e dobrar a sobrevida dos animais nos estudos in vivo, em contraposto à solução de trióxido de arsênio, após administração intravenosa de 1 mg kg-1 a cada dois dias. Além das questões descritas anteriormente, a modificação da matriz com o poli(ácido acrílico) permitiu o controle da liberação responsivo ao pH, sendo um dos fatores responsáveis pelos efeitos terapêuticos observados, conforme reportado pelos autores. Também, Cui e colaboradores96 observaram que o sistema DOX-PTX-NPs-Tf (150 nm, -18 mV), após administração intravenosa de 50 mg kg-1 a cada três dias, possibilitou o transporte através da BHE e o controle da liberação dos fármacos - doxorrubicina e palataxel, exibindo uma atividade anti-tumoral in vivo superior aos tratamentos controles, reduzindo a progressão das células cancerígenas. Também, o sistema sem os fármacos foi avaliado e não demonstrou toxicidade após exposição aguda.

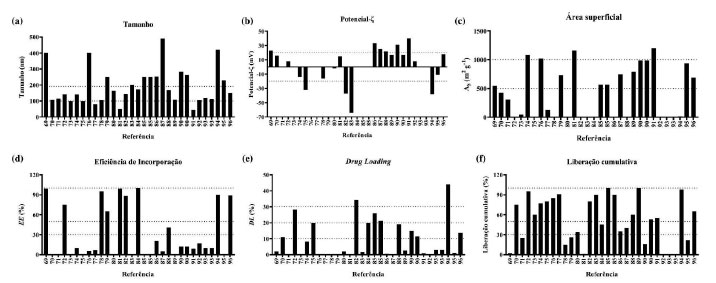
Conforme a Tabela 2, as NPSiO2 aplicadas como DDS para o SNC apresentam características físico-químicas diversificadas, bem como podem ser observadas também pela Figura 7.

 

 

 


Figura 7. Características quantitativas relacionadas as NPSiO2 como sistemas de drug delivery para o SNC aplicadas para o tratamento dos DN: (a) tamanho; (b) potencial-ζ; (c) área superficial; (d) eficiência de incorporação; (e) drug loading e (f) liberação cumulativa

 

O tamanho das NPs, listadas na Tabela 2 e sumarizadas na Figura 7a, varia entre 44 e 490 nm. Considerar o diâmetro hidrodinâmico é importante em relação à aplicação farmacológica das NPSiO2 por representar com bastante proximidade o tamanho das partículas em suspensão. Geralmente, o tamanho obtido por outras técnicas como SEM e TEM não costumam variar abruptamente em relação ao tamanho hidrodinâmico obtido pelo DLS. Contudo, os valores obtidos podem ser menores devido às amostras serem analisadas secas nas microscopias eletrônicas, contrário ao DLS, em que as análises são realizadas em suspensão aquosa, geralmente. Excepcionalmente, o sistema XL-MSN-IL13 apresentou tamanho hidrodinâmico aproximado de 400 nm, enquanto o tamanho obtido pela microscopia eletrônica foi aproximadamente 3 vezes menor.69 Como discutido até então, o tamanho é considerado uma propriedade essencial no desenvolvimento nanotecnológico, uma vez que influencia em aspectos como tempo de circulação das partículas, bem como nos perfis de permeação e acumulação in vivo.

Além dos aspectos descritos, o tamanho da partícula está atrelado a lise celular, sendo observado que o acréscimo no tamanho aumenta a probabilidade do fenômeno - principalmente em hemácias, diminuindo a biocompatibilidade do sistema.62,100 Em consoante, outras propriedades físico-químicas também estão associadas à hemólise. Nesse sentido, o aumento da área superficial e das hidroxilas presentes na superfície das NPSiO2 podem comprometer a compatibilidade dos nanocarreadores baseados em sílica por tornarem mais favorável a interação das partículas com as hemácias, em relação ao seu contraposto.100 Assim, a modificação da matriz é uma estratégia capaz de contornar a questão relacionada à hemólise, tornando o sistema mais biocompatível.24,97 Ainda, o potencial-ζ - derivado dos componentes presentes na superfície das NPSiO2, impacta na interação partícula-eritrócito, sendo o potencial de repouso das membranas celulares negativo, tornando menos propensa a interação com partículas que apresentam um valor de carga superficial também negativo, devido à repulsão eletrostática, diminuindo, como consequência, a taxa de hemólise.62 Interessantemente, as MSN causam menor taxa de hemólise quando comparadas às SiNP de mesmo tamanho, o que pode ser associado à diminuição da superfície disponível para interagir com as membranas celulares, já que a superfície dos poros está voltada para o interior das NPs.62,100

O potencial-ζ das NPSiO2 não modificadas tem valor aproximado de -30 mV em suspensão aquosa, devido à presença dos grupos hidroxilas na superfície das partículas que garantem a carga negativa e a alta estabilidade coloidal. A inserção do princípio ativo e/ou a modificação da superfície geram perfis de potencial-ζ variados, conforme observado na Figura 7b. No geral, o potencial-ζ não impacta tanto quanto o tamanho na captação das partículas pelo cérebro.95 Contudo, devido ao potencial de repouso das membranas celulares ser negativo, NPs com carga positiva apresentam uma captação celular maior em relação às negativas ou neutras.98 Apesar disso, a carga positiva pode representar uma diminuição da biocompatibilidade devido à interação com os fosfatos presentes no DNA que possuem carga negativa, principalmente.100 Contrário, devido à menor captação pelas células, as NPs com carga negativa possuem maior tempo de circulação, conforme discutido previamente.101

As NPSiO2 possuem elevada área superficial - ultrapassando 1000 m2 g-1 em alguns casos, conforme a Tabela 2 e Figura 7c. O volume total dos poros costuma variar de acordo com os aspectos sintéticos, como descrito anteriormente. Os valores elevados dessas propriedades estruturais podem estar correlacionados com uma elevada incorporação mássica de moléculas, que são incorporadas nos poros e adsorvidas na superfície. Contudo, isso não significa uma EE ou um DL elevado (Figuras 7d e 7e), que dependem de outros aspectos como, por exemplo, a interação entre o princípio ativo e a superfície do nanocarreador. Ainda, valores elevados de EE podem estar relacionados ao método empregado, como no caso do sistema T-SiNP-3, que utilizou o método de evaporação de solvente - resultando em 100% de rendimento no processo, conforme descrito no trabalho.84 O alto rendimento pelo método é associado a evaporação total do solvente orgânico empregado na metodologia. Contudo, o método descrito pode comprometer alguns parâmetros como o perfil de liberação do princípio ativo, devido à presença do estado cristalino do fármaco incorporado formado pela rápida evaporação do solvente, o qual está relacionado ao processo de dissolução da molécula, conforme mencionado anteriormente.54 A porcentagem de princípio ativo incorporado nas NPSiO2 é considerada elevada em vários casos (> 30%).53 Apesar disso, é importante considerar se a quantidade de princípio ativo carreada possui efeito terapêutico ou se a quantidade total do nanomaterial necessário não ultrapassa o limite de biocompatibilidade para a administração pela via pretendida.

O perfil de liberação dos princípios ativos depende de uma série de fatores relacionados ao meio de liberação e aos fenômenos de interação do fármaco com a superfície da partícula. De modo geral, os ensaios in vitro costumam avaliar o perfil de liberação em condições fisiológicas padrão - pH 7,4 à 37 °C (Tabela 2 e Figura 7f). Contudo, como um fator que altera significativamente o perfil de liberação dos princípios ativos, os valores de pH costumam ser variados de acordo com a aplicação proposta, principalmente em relação a via de administração e às condições de pH relacionadas a patologia. Nesse aspecto, a influência do pH costuma ser analisada para administração oral das partículas, sendo avaliado o perfil de liberação no pH estomacal e intestinal, para estimar a biodisponibilidade final do princípio ativo; e na utilização das NPs para o tratamento do câncer, devido ao ambiente tumoral possuir um pH menor que o fisiológico. Além desses fatores, as propriedades moleculares dos ativos incorporados modificam a taxa de liberação, devido às interações intermoleculares com a superfície da sílica, principalmente.81,90 Desse modo, quanto mais interações não-covalentes forem estabelecidas entre a molécula e a sílica, menor será a taxa de dissolução.90 Ainda, a solubilidade dos compostos ativos precisa ser considerada, uma vez que a taxa de liberação deve ser realizada conforme as condições sink do insumo farmacêutico ativo (IFA), ou seja, utilizando no mínimo três vezes o volume de meio necessário para se obter uma solução saturada do IFA, sendo possível modificar a lipofilicidade do meio com a adição de solvente orgânico e/ou surfactante para que a solubilidade do princípio ativo não seja um fator determinante para avaliar a taxa de dissolução.

Nesse sentido, a fim de compreender a diferença entre os perfis de liberação da curcumina e crisina, Lungare e colaboradores90 avaliaram quais propriedades moleculares poderiam ser atribuídas para justificar a variação na liberação dos fitoquímicos. A curcumina (368,38 g mol-1) apresenta dois sistemas de anéis aromáticos contendo grupos o-metoxifenólicos, conectados por estrutura de sete carbonos que apresenta dois sistemas α,β-insaturados com tautomerismo ceto-enólico. Já a crisina (254,23 g mol-1) pertence ao grupo das flavonas, que possuem uma estrutura de dois anéis conjugados (A e C) substituído por uma fenila (B) na posição dois do anel C. Desse modo, os pesquisadores concluíram que a diferença na taxa de liberação entre os fitoquímicos está relacionada à menor internalização da curcumina nos poros, devido a impedimentos estéricos em decorrência do tamanho da molécula, e a estereoquímica planar e ligações π-π conjugadas da crisina, que favorecem as interações não-covalentes com a superfície do interior dos poros, resultando no perfil de liberação mais lento da crisina em relação a curcumina.

Por último, uma liberação inicial rápida é comumente observada no caso das NPSiO2 devido à dissolução das moléculas que estão localizadas na superfície e nas extremidades dos poros, conforme citado a priori. Nesse sentido, algumas estratégias são empregadas para controlar a liberação do ativo até o local de ação. Tao e colaboradores74 demonstraram através dos ensaios de liberação in vitro que a modificação da matriz com poli(ácido acrílico) reduz significativamente o efeito de liberação imediata. Conforme os resultados, cerca de 80% do trióxido de arsênio foi liberado das MSN sem o polímero em 48 h, sendo mais de 50% do fármaco liberado em apenas 2 h. Após a modificação da matriz, o efeito burst foi reduzido para metade - aproximadamente 26%, sob as mesmas condições de liberação, sendo atribuído à atuação do poli(ácido acrílico) como uma barreira, impedindo a liberação do fármaco. Ainda, o poli(ácido acrílico) é responsivo às condições de pH do meio. Desse modo, a liberação cumulativa do trióxido de arsênio foi cerca de 77% e 62% em pH 5,0 e 6,0, respectivamente, enquanto 50% do fármaco tinha sido liberado em pH 7,4 no mesmo período de tempo. Nesse caso específico, o controle da liberação responsivo ao pH melhorou o tratamento farmacológico do glioma, dentre outros fatores, previamente citados, além de diminuir a distribuição do trióxido de arsênio para o tecido cardíaco, diminuindo a toxicidade associada ao tratamento com o fármaco livre.

 

CONSIDERAÇÕES TOXICOLÓGICAS

Conforme as discussões, é possível observar algumas questões relacionadas à toxicidade das NPSiO2. De forma abrangente, Sukhanova e colaboradores100 sistematizaram os principais mecanismos citotóxicos associados às NPs:

Em relação às NPSiO2 é possível observar alguns dos pontos citados. Os resultados encontrados por Ye e colaboradores34 sugerem que NPSiO2 (68 nm, -38 mV) induzem a desacidificação e desequilíbrio na liberação de cálcio dos endolisossomos, após 24 h em uma concentração 0,1 µg mL-1 em cultura primária de neurônios do hipocampo, sendo o fato associado ao aumento da amiloidogênese - condição relacionada à doença de Alzheimer. Também, os resultados de Wu e colaboradores97 indicam que o sistema 125I-SiO2-NPs (120 nm, -7 mV) por meio de instilação intranasal em ratos adultos, 20 µg dia-1 por 7 dias, entram no cérebro e se depositam no corpo estriado. Essa exposição induziu dano oxidativo e aumentou a resposta inflamatória na região. O mesmo estudo demonstrou in vitro que a exposição de SiO2-NPs (156 nm, -11 mV) à neurônios dopaminérgicos, 250 µg mL-1 por 24 h, diminui a viabilidade celular, aumenta os níveis de lactato desidrogenase, desencadeia estresse oxidativo, perturba o ciclo celular, induz apoptose e ativa a via de sinalização mediada pela proteína p53. Por último, Orlando e colaboradores102 demonstraram que a exposição de MSN (250 nm (TEM) e 1059 nm (DLS), -13 mV) à células endoteliais por 24 h nas concentrações de 0,05 a 1 mg mL-1 causam alta toxicidade em termos de função mitocondrial e integridade da membrana em relação a MSN menores (30 nm (TEM) e 932 (DLS), -10 mV).

 

CONCLUSÃO

As NPSiO2 têm atraído a atenção durante a última década como sistemas de DDS para o SNC devido às inúmeras possibilidades relacionadas ao nanossistema, que possibilitam ou aprimoram o tratamento farmacológico dos DN. Contudo, muitos desafios precisam ser superados para que as NPSiO2 se tornem promissores DDS do ponto de vista biológico, considerando principalmente os aspectos toxicológicos. Devido às considerações de biocompatibilidade, a ascensão das NPSiO2 depende do olhar para as partículas como um sistema terapêutico e não apenas como um nanocarreador, sendo necessário considerar os possíveis efeitos adversos durante o planejamento do nanossistema baseado em sílica, avaliando a aplicação sobre a relação risco/benefício.

Devido à heterogeneidade dos nanossistemas baseados em sílica publicados até o momento, traçar ou estabelecer generalizações convergentes acerca das relações entre as propriedades físico-químicas e as funções biológicas é ainda pouco eficiente quando se avalia as NPSiO2 como DDS para o SNC. Isso torna imprescindível a caracterização físico-química detalhada e os ensaios biológicos para cada sistema, a fim de compreender como as características estruturais afetam as propriedades biológicas.

Contudo, apesar das dificuldades associadas, NPSiO2 são potenciais DDS devido à suas propriedades únicas e, apesar disso, pouco exploradas pela literatura como DDS para o SNC, destacando a importância de mais pesquisas e reflexões sobre o tema.

 

AGRADECIMENTOS

Os autores agradecem ao Conselho Nacional de Desenvolvimento Científico e Tecnológico (CNPq).

 

REFERÊNCIAS

1. Bayda, S.; Adeel, M.; Tuccinardi, T.; Cordani, M.; Rizzolio, F.; Molecules 2020, 25, 1. [Crossref]

2. https://www.grandviewresearch.com/industry-analysis/nanomedicine-market, acessado em janeiro 2023.

3. Junqueira, L. C.; Carneiro, J.; Histologia Básica: Texto e Atlas, 13a ed.; Guanabara Koogan: São Paulo, 2017, cap. 9.

4. Peters, R.; Postgrad. Med. J. 2006, 82, 84. [Crossref]

5. Mintzer, J.; Donovan, K. A.; Kindy, A. Z.; Lock, S. L.; Chura, L. R.; Barracca, N.; Frontiers in Medicine 2019, 6, 1 [Crossref]; Birbeck, G. L.; Meyer, A.; Ogunniyi, A.; Nature 2015, 527, 167. [Crossref]

6. https://www.who.int/news-room/questions-and-answers/item/mental-health-neurological-disorders, acessado em Janeiro de 2023.

7. Feigin, V. L.; Lancet Neurol. 2019, 18, 459. [Crossref]

8. Wu, W.; Klockow, J. L.; Zhang, M.; Lafortune, F.; Chang, E.; Jin, L.; Wu, Y.; Daldrup-Link, H. E.; Pharmacol. Res. 2021, 171, 105. [Crossref]

9. Ahlskog, J. E.; Mayo Clin. Proc. 2020, 95, 2225. [Crossref]

10. Pardridge, W. M.; NeuroRx 2005, 2, 3. [Crossref]

11. Abukhader, M. M.; Indian J. Pharm. Sci. 2012, 74, 195. [Crossref]

12. Swindell, E. P.; Hankins, P. L.; Chen, H.; Miodragović, C. D. S. U.; O'Halloran, T. V.; Inorg. Chem. 2013, 52, 12292. [Crossref]

13. Mendiratta, S.; Hussein, M.; Nasser, H. A.; Ali, A. A. A.; Part. Part. Syst. Charact. 2019, 36, 190. [Crossref]

14. Tiwari, G.; Tiwari, R.; Bannerjee, S.; Bhati, L.; Pandey, S.; Pandey, P.; Sriwastawa, B.; Int. J. Pharm. Invest. 2012, 2, 2. [Crossref]

15. Park, K.; J. Controlled Release 2014, 190, 3. [Crossref]

16. Mora-Huertas, C. E.; Fessi, H.; Elaissari, A.; Int. J. Pharm. 2010, 385, 113. [Crossref]

17. Isa, E. D. M.; Ahmad, H.; Rahman, M. B. A.; Gill, M. R.; Pharmaceutics 2021, 13, 1. [Crossref]

18. Mebert, A. M.; Baglole, C. J.; Desimone, M. F.; Maysinger, D.; Food Chem. Toxicol. 2017, 109, 753. [Crossref]

19. Ghimire, P. P.; Jaroniec, M.; J. Colloid Interface Sci. 2021, 584, 838. [Crossref]

20. Li, H.; Wu, X.; Yang, B.; Li, J.; Xu, L.; Liu, H.; Li, S.; Xu, J.; Yang, M.; Wei, M.; Mater. Sci. Eng., C 2019, 94, 453. [Crossref]

21. Karande, S. D.; Jadhav, S. A.; Garud, H. B.; Kalantre, V. A.; Burungale, S. H.; Patil, P. S.; Nanotechnol. Environ. Eng. 2021, 6, 1. [Crossref]

22. Kim, C.; Yoon, S.; Lee, J. H.; Microporous Mesoporous Mater. 2019, 288, 109595. [Crossref]

23. Liu, Y.; Yao, Y.; Fu, J.; Hu, W.; Feng, J.; Wan, J.; Yu, C.; Microporous Mesoporous Mater. 2021, 316, 110976. [Crossref]

24. Gnoatto, J. A.; de Oliveira, J. V.; Arndt, E.; Busatto, F. F.; Ruiz, Y. P. M.; da Cunha, A. C. B.; Moura, D. J.; dos Santos, J. H. Z.; J. Non-Cryst. Solids 2020, 542, 120 [Crossref]; Paula, A. J.; Martinez, D. S. T.; Araújo Junior; R. T.; Souza Filho, A. G.; Alves, O. L.; J. Braz. Chem. Soc. 2012, 23, 1807. [Crossref]

25. Yoo, J.; Park, C.; Yi, G.; Lee, D.; Koo, H.; Cancers 2019, 11, 640. [Crossref]

26. Amin, M. U.; Ali, S.; Ali, M. Y.; Tariq, I.; Nasrullah, U.; Pinnapreddy, S. R.; Wölk, C.; Bakowsky, U.; Brüßler, J.; Eur. J. Pharm. Biopharm. 2021, 165, 31. [Crossref]

27. Bros, M.; Nuhn, L.; Simon, J.; Moll, L.; Mailänder, V.; Landfester, K.; Grabbe, S.; Front. Immunol. 2018, 9, 1 [Crossref]; Lima, T.; Bernfur, K.; Vilanova, M.; Cedervall, T.; Sci. Rep. 2020, 10, 1. [Crossref]

28. Gnoatto, J. A.; Morás, A. M.; de Oliveira, J. V.; Arndt, E.; Dallegrave, A.; da Cunha, A. C. B.; Moura, D. J.; Zimnoch dos Santos, J. H.; J. Drug Delivery Sci. Technol. 2022, 71, 103325. [Crossref]

29. https://www.fda.gov/food/food-additives-petitions/food-additive-status-list#ftnS, acessado em janeiro de 2023.

30. Baghirov, H.; Karaman, D.; Viitala, T.; Duchanoy, A.; Lou, Y. R.; Mamaeva, V.; Pryazhnikov, E.; Khiroug, L.; Davies, C. L.; Sahlgren, C.; Rosenholm, J. M.; PLoS One 2016, 11, 1. [Crossref]

31. Lee, C. M.; Lee, T. K.; Kim, D. I.; Kim, Y. R.; Kim, M. K.; Jeong, H. J.; Sohn, M. H.; Lim, S. T.; Int. J. Nanomed. 2014, 9, 243. [Crossref]

32. Bruinsmann, F. A.; Vaz, G. R.; Alves, A. C. S.; Aguirre, T.; Pohlmann, A. R.; Guterres, S. S.; Sonvico, F.; Molecules 2019, 24, 4012 [Crossref]; Zein, R.; Sharrouf, W.; Selting, K.; J. Oncol. 2020, 2020, 1 [Crossref]; Apolinário, A. C.; Salata, G. C.; Bianco, A. F. R.; Fukumori, C.; Lopes, L. B.; Quim. Nova 2020, 43, 212. [Crossref]

33. da Silva, G. H.; Franqui, L. S.; Petry, R.; Maia, M. T.; Fonseca, L. C.; Fazzio, A.; Alves, O. L.; Martinez, D. S. T.; Front. Immunol. 2021, 12, 689519. [Crossref]

34. Ye, Y.; Hui, L.; Lakpa, K. L.; Xing, Y.; Wollenzien, H.; Chen, X.; Zhao, J. X.; Geiger, J. D.; Can. J. Physiol. Pharmacol. 2019, 97, 297. [Crossref]

35. https://www.oecd.org/chemicalsafety/nanosafety/overview-testing-programme-manufactured-nanomaterials.htm, acessado em janeiro de 2023.

36. https://clinicaltrials.gov/ct2/show/NCT02106598?term=silica+nanoparticles&draw=2&rank=1 , acessado em janeiro de 2023.

37. Zanoni, D. K.; Stambuk, H. E.; Madajewski, B.; Montero, P. H.; Matsuura, D.; Busam, K. J.; Ma, K.; Turker, M. Z.; Sequeira, S.; Gonen, M.; Zanzonico, P.; Wiesner, U.; Bradbury, M. S.; Patel, S. G.; JAMA Network Open 2021, 4, 1. [Crossref]

38. Phillips, E.; Penate-Medina, O.; Zanzonico, P.; Carvajal, R.; Mohan, P.; Ye, Y.; Humm, J.; Gönen, M.; Kalaigian, H.; Schöder, H.; Strauss, W.; Larson, S.; Wiesner, U.; Bradbury, M.; Sci. Transl. Med. 2014, 6, 1. [Crossref]

39. https://clinicaltrials.gov/ct2/show/NCT04167969?term=silica+nanoparticles&draw=2&rank=2 , acessado em janeiro 2023.

40. Benvenutti, E. V.; Moro, C. C.; Costa, T. M. H.; Gallas, M. R.; Quim. Nova 2009, 32, 1926 [Crossref]; José, N. M.; Prado, L. A. S. A.; Quim. Nova 2005, 28, 281. [Crossref]

41. Gonçalves, M. C.; Molecules 2018, 23, 1. [Crossref]

42. Rahman, I. A.; Padavettan, V.; J. Nanomater. 2012, 2012, 1. [Crossref]

43. Stöber, W.; Fink, A.; Bohn, E.; J. Colloid Interface Sci. 1968, 26, 62. [Crossref]

44. Chang, H.; Kim, J.; Rho, W. Y.; Pham, X. H.; Lee, J. H.; Lee, S. H.; Jeong, D. H.; Jun, B. H. Em Nanotechnology for Bioapplications; Jun, B. H., ed.; Springer: Singapore, 2021, cap. 3.

45. Razink, J. J.; Schlotter, N. E.; J. Non-Cryst. Solids 2007, 353, 2932. [Crossref]

46. Qiao, Z. A.; Zhang, L.; Guo, M.; Liu, Y.; Huo, Q.; Chem. Mater. 2009, 21, 3823. [Crossref]

47. Yamada, H.; Urata, C.; Ujiie, H.; Yamauchi, Y.; Kuroda, K.; Nanoscale 2013, 5, 6145. [Crossref]

48. Narayan, R.; Nayak, U. Y.; Raichur, A. M.; Garg, S.; Pharmaceutics 2018, 10, 1. [Crossref]

49. Li, Z.; Zhang, Y.; Feng, N.; Expert Opin. Drug Delivery 2019, 16, 219. [Crossref]

50. Vazquez, N. I.; Gonzalez, Z.; Ferrari, B.; Castro, Y.; Bol. Soc. Esp. Ceram. Vidrio 2017, 56, 139. [Crossref]

51. Lone, M. S.; Afzal, S.; Chat, O. A.; Aswal, V. K.; Dar, A. A.; ACS Omega 2021, 6, 11974. [Crossref]

52. Xing, R.; Rankin, S. E.; Microporous Mesoporous Mater. 2008, 108, 65. [Crossref]

53. Shen, S.; Wu, Y.; Liu, Y.; Wu, D.; Int. J. Nanomed. 2017, 12, 4085. [Crossref]

54. Trzeciak, K.; Chotera-ouda, A.; Bak-sypien, I. I.; Potrzebowski, M. J.; Pharmaceutics 2021, 13, 950. [Crossref]

55. Carissimi, G.; Montalbán, M. G.; Víllora, G.; Barth, A.; Pharmaceutics 2020, 12, 1. [Crossref]

56. Zhou, Y.; He, C.; Chen, K.; Ni, J.; Cai, Y.; Guo, X.; Wu, X. Y.; J. Controlled Release 2016, 243, 11. [Crossref]

57. Rastegari, E.; Hsiao, Y. J.; Lai, W. Y.; Lai, Y. H.; Yang, T. C.; Chen, S. J.; Huang, P. I.; Chiou, S. H.; Mou, C. Y.; Chien, Y.; Pharmaceutics 2021, 13, 1. [Crossref]

58. Jambhrunkar, S.; Qu, Z.; Popat, A.; Karmakar, S.; Xu, C.; Yu, C.; J. Colloid Interface Sci. 2014, 434, 218. [Crossref]

59. Huh, S.; Wiench, J. W.; Yoo, J. C.; Pruski, M.; Lin, V. S. Y.; Chem. Mater. 2003, 15, 4247. [Crossref]

60. Trewyn, B. G.; Slowing, I. I.; Giri, S.; Chen, H. T.; Lin, V. S. Y.; Acc. Chem. Res. 2007, 40, 846. [Crossref]

61. Mourdikoudis, S.; Pallares, R. M.; Thanh, N. T. K.; Nanoscale 2018, 10, 12871. [Crossref]

62. Breznan, D.; Das, D. D.; Mackinnon-Roy, C.; Bernatchez, S.; Sayari, A.; Hill, M.; Vincent, R.; Kumarathasan, P.; ACS Nano 2018, 12, 12062 [Crossref]; Yildirim, A.; Ozgur, E.; Bayindir, M.; J. Mater. Chem. B 2013, 1, 1909 [Crossref]; Yu, T.; Malugin, A.; Ghandehari, H.; ACS Nano 2011, 5, 5717. [Crossref]

63. Jitkang, L.; Pin, Y. S.; Xin, C. H.; Chun, L. S.; Nanoscale Res. Lett. 2013, 8, 308. [Crossref]

64. Baldassarre, F.; Cacciola, M.; Ciccarella, G.; J. Nanopart. Res. 2015, 17, 1. [Crossref]

65. Tan, Y. H.; Davis, J. A.; Fujikawa, K.; Ganesh, N. V.; Demchenko, A. V.; Stine, K. J.; J. Mater. Chem. 2012, 22, 6733. [Crossref]

66. Kunc, F.; Balhara, V.; Sun, Y.; Daroszewska, M.; Jakubek, Z. J.; Hill, M.; Brinkmann, A.; Johnston, L. J.; Analyst 2019, 144, 5589. [Crossref]

67. Jafari, S.; Derakhshankhah, H.; Alaei, L.; Fattahi, A.; Varnamkhasti, B. S.; Saboury, A. A.; Biomed. Pharmacother. 2019, 109, 1100. [Crossref]

68. Brodusch, N.; Brahimi, S. V.; de Melo, E. B.; Song, J.; Yue, S.; Piché, N.; Gauvin, R.; Scanning 2021, 2021, 1. [Crossref]

69. Park, J.; Choi, S. W.; Cha, B. G.; Kim, J.; Kang, S. J.; ACS Biomater. Sci. Eng. 2021, 7, 4446. [Crossref]

70. Zhu, J.; Zhang, Y.; Chen, X.; Zhang, Y.; Zhang, K.; Zheng, H.; Wei, Y.; Zheng, H.; Zhu, J.; Wu, F.; Piao, J. G.; Zhu, Z.; Li, F.; Biochem. Biophys. Res. Commun. 2021, 534, 902. [Crossref]

71. Morales, V.; McConnell, J.; Pérez-Garnes, M.; Almendro, N.; Sanz, R.; García-Muñoz, R. A.; J. Mater. Chem. B 2021, 9, 4178. [Crossref]

72. Singh, A. K.; Singh, S. S.; Rathore, A. S.; Singh, S. P.; Mishra, G.; Awasthi, R.; Mishra, S. K.; Gautam, V.; Singh, S. K.; ACS Biomater. Sci. Eng. 2021, 7, 3737. [Crossref]

73. Ortiz-Islas, E.; Manríquez-Ramírez, M. E.; Sosa-Muñoz, A.; Almaguer, P.; Arias, C.; Guevara, P.; Hernández-Cortez, G.; Aguirre-Cruz, L. M.; IET Nanobiotechnol. 2020, 14, 191. [Crossref]

74. Tao, J.; Fei, W.; Tang, H.; Li, C.; Mu, C.; Zheng, H.; Li, F.; Zhu, Z.; Mol. Pharmaceutics 2019, 16, 786. [Crossref]

75. Turan, O.; Bielecki, P.; Perera, V.; Lorkowski, M.; Covarrubias, G.; Tong, K.; Yun, A.; Rahmy, A.; Ouyang, T.; Raghunathan, S.; Gopalakrishnan, R.; Griswold, M. A.; Ghaghada, K. B.; Peiris, P. M.; Karathanasis, E.; Nanoscale 2019, 11, 11910. [Crossref]

76. Swar, S.; Máková, V.; Stibor, I.; Materials 2019, 12, 3202. [Crossref]

77. Shahein, S. A.; Aboul-Enein, A. M.; Higazy, I. M.; Abou-Elella, F.; Lojkowski, W.; Ahmed, E. R.; Mousa, S. A.; Abouaitah, K.; Int. J. Nanomed. 2019, 14, 5503. [Crossref]

78. Fahmy, H. M.; Fathy, M. M.; Abd-elbadia, R. A.; Elshemey, W. M.; Life Sci. 2019, 222, 94. [Crossref]

79. Li, H.; Li, H.; Wei, C.; Ke, J.; Li, J.; Xu, L.; Liu, H.; Yang Y.; Li, S.; Yang, M.; Eur. J. Pharm. Sci. 2018, 117, 321. [Crossref]

80. LaBauve, A. E.; Rinker, T. E.; Noureddine, A.; Serda, R. E.; Howe, J. Y.; Sherman, M. B.; Rasley, A.; Brinker, C. J.; Sasaki, D. Y.; Negrete, O. A.; Sci. Rep. 2018, 8, 1. [Crossref]

81. Schmidt, N.; Schulze, J.; Warwas, D. P.; Ehlert, N.; Lenarz, T.; Warnecke, A.; Behrens, P.; PLoS One 2018, 13, 1. [Crossref]

82. Pandey, P. K.; Sharma, A. K.; Rani, S.; Mishra, G.; Kandasamy, G.; Patra, A. K.; Rana, M.; Sharma, A. K.; Yadav, A. K.; Gupta, U.; ACS Biomater. Sci. Eng. 2018, 4, 2860. [Crossref]

83. Shen, Y.; Cao, B.; Snyder, N. R.; Woeppel, K. M.; Eles, J. R.; Cui, X. T.; J. Nanobiotechnol. 2018, 16, 1. [Crossref]

84. Brezániová, I.; Záruba, K.; Králová, J.; Sinica, A.; Adámková, H.; Ulbrich, P.; Poučková, P.; Hrubý, M.; Stěpánek, P.; Král, V.; Photodiag. Photodyn. Ther. 2018, 21, 275. [Crossref]

85. Li, H.; Wang, J.; Cong, J.; Wei, C.; Li, J.; Liu, H.; Li, S.; Yang, M.; Drug Delivery 2017, 24, 1086. [Crossref]

86. Zhu, R.; Wang, Z.; Liang, P.; He, X.; Zhuang, X.; Huang, R.; Wang, M.; Wang, Q.; Qian, Y.; Wang, S.; Acta Biomater. 2017, 63, 163. [Crossref]

87. Shi, B.; Du, X.; Chen, J.; Fu, L.; Morsch, M.; Lee, A.; Liu, Y.; Cole, N.; Chung, R.; Small 2017, 13, 1. [Crossref]

88. Hu, J.; Zhang, X.; Wen, Z.; Tan, Y.; Huang, N.; Cheng, S.; Zheng, H.; Cheng, Y.; Oncotarget 2016, 7, 73681. [Crossref]

89. Kim, M. S.; El-Fiqi, A.; Kim, J. W.; Ahn, H. S.; Kim, H.; Son, Y. J.; Kim, H. W.; Hyun, J. K.; ACS Appl. Mater. Interfaces 2016, 8, 18741. [Crossref]

90. Lungare, S.; Hallam, K.; Badhan, R. K. S.; Int. J. Pharm. 2016, 513, 280. [Crossref]

91. Mo, J.; He, L.; Ma, B.; Chen, T.; ACS Appl. Mater. Interfaces 2016, 8, 6811. [Crossref]

92. Bertucci, A.; Prasetyanto, E. A.; Septiadi, D.; Manicardi, A.; Brognara, E.; Gambari, R.; Corradini, R.; De Cola, L.; Small 2015, 11, 5687. [Crossref]

93. Jampilek, J.; Zaruba, K.; Oravec, M.; Kunes, M.; Babula, P.; Ulbrich, P.; Brezaniova, I.; Opatrilova, R.; Triska, J.; Suchy, P.; Biomed Res. Int. 2015, 2015, 1. [Crossref]

94. Nday, C. M.; Halevas, E.; Jackson, G. E.; Salifoglou, A.; J. Inorg. Biochem. 2015, 145, 51. [Crossref]

95. Dengler, E. C.; Liu, J.; Kerwin, A.; Torres, S.; Olcott, C. M.; Bowman, B. N.; Armijo, L.; Gentry, K.; Wilkerson, J.; Wallace, J.; Jiang, X.; Carnes, E. C.; Brinker, C. J.; Milligan, E. D.; J. Controlled Release 2013, 168, 209. [Crossref]

96. Cui, Y.; Xu, Q.; Chow, P. K. H.; Wang, D.; Wang, C. H.; Biomaterials 2013, 34, 8511. [Crossref]

97. Wu, J.; Wang, C.; Sun, J.; Xue, Y.; ACS Nano 2011, 5, 4476. [Crossref]

98. Liu, D.; Lin, B.; Shao, W.; Zhu, Z.; Ji, T.; Yang, C.; ACS Appl. Mater. Interfaces 2014, 6, 2131. [Crossref]

99. Parveen, A.; Rizvi, S. H. M.; Sushma; Mahdi, F.; Ahmad, I.; Singh, P. P.; Mahdi, A. A.; Toxicol. Ind. Health 2017, 33, 119. [Crossref]

100. Sukhanova, A.; Bozrova, S.; Sokolov, P.; Berestovoy, M.; Karaulov, A.; Nabiev, I.; Nanoscale Res. Lett. 2018, 13, 1. [Crossref]

101. Frickenstein, A. N.; Hagood, J. M.; Britten, C. N.; Abbott, B. S.; McNally, M. W.; Vopat, C. A.; Patterson, E. G.; Maccuaig, W. M.; Jain, A.; Walters, K. B.; McNally, L. R.; Pharmaceutics 2021, 13, 1. [Crossref]

102. Orlando, A.; Cazzaniga, E. M.; Tringali, M.; Gullo, F.; Becchetti, A.; Minniti, S.; Taraballi, F.; Tasciotti, E.; Re, F.; Int. J. Nanomed. 2017, 12, 3547. [Crossref]

On-line version ISSN 1678-7064 Printed version ISSN 0100-4042
Qu�mica Nova
Publica��es da Sociedade Brasileira de Qu�mica
Caixa Postal: 26037 05513-970 S�o Paulo - SP
Tel/Fax: +55.11.3032.2299/+55.11.3814.3602
Free access

GN1