JBCS



12:31, sáb out 25

Acesso Aberto/TP



Educação

Low-cost and easy access materials for a laboratory class: a proposal of liquid chromatography for food coloring separation as an experience of meaningful learning

Bruna Costa CerqueiraI; Gerônimo Lopes LimaI; Artur José Santos MascarenhasII; Heloysa Martins Carvalho AndradeII; Rodrigo De PaulaI,III,*

I. Centro de Formação de Professores, Universidade Federal do Recôncavo da Bahia, 45300-000 Amargosa - BA, Brasil
II. Departamento de Química Geral e Inorgânica, Instituto de Química, Universidade Federal da Bahia, 40170-280 Salvador - BA, Brasil
III. Universidade Federal do Oeste da Bahia, 47810-059 Barreiras - BA, Brasil

Recebido em: 17/08/2022
Aceito em: 04/01/2023

Endereço para correspondência

*e-mail: rodrigodepaula@ufrb.edu.br

RESUMO

The experimental activities for undergraduate chemistry students play an important role to develop skills and expertise in that science thus, the practice-experimental classes are so important to achieve this purpose. This work deals with a demonstrative experience for dye separation from food coloring sample using liquid column chromatography. Beyond the experimental practice and the facility in visualizing the separation, this demonstration shows how a simple experiment involving alternative and easy access materials can promote a meaningful learning once it is possible to handle the acquired data, trace and analyze the results themselves, thus developing skills rather than the operational procedure. This proposal could be implemented in initial chemistry classes in Brazilian universities. Sea and river sands were used as stationary phases and aqueous ethanolic solutions were used as mobile phases. A food coloring (a mixture of 3 dyes) was chosen as sample to be studied. Chromatographic separation was followed by spectrophotometric measurements. A set of analyses were carried out to discuss the solubility of the food coloring, granulometric studies of the stationary phases used and electronic microscopy images of the sands studied here. As alternative materials were used in this work, a chromatographic column was also constructed with low-cost materials.

Palavras-chave: chromatography; food coloring; teaching chemistry; meaningful learning.

INTRODUCTION

Chromatography is a physical-chemical technique that is based on the interaction of the substances present in the mixture with the two immiscible phases, the so-called stationary phase and the mobile phase,1,2 being one of the most important technique used in chemistry as a whole. The history, the fundamentals and application of chromatography are widely disclosed in the literature, showing its great importance.3-6

In many chemistry courses in Brazil, most experiments aimed at teaching separation methods are based on demonstrative experiments, such as the filtration of a ready-made heterogeneous mixture or the distillation of a hydroalcoholic solution or a mixture like this. Additionally, as an example in chromatography, a common elucidative experiment involves the separation of inks from coloured pens. This narrow view of the performance, advantages and limits of each technique could be attributed to the short and tight time session (normally, 2 hours) and, in case of chromatography preparative experiments, the lack of expensive materials like silica, alumina or even cellulose to be used as a stationary phase or the use of hazardous and flammable solvents (toluene, chloroform, methanol and others)7,8 constitute barriers to the developing of an adequate experimental session. In an attempt to overcome this situation, instructors use only paper chromatography to demonstrate the principle of this broad and important technique.

The difficulties in teaching experimental classes are related in different institutions around the world. To overcome such common problem, the authors have developed interesting approaches to teach chemistry using workaday materials or situations where a concept or technique can be applied. This is the case for teaching chromatography. There are excellent published works using felt-tip pens,9 using leaves of dandelions to demonstrate normal and reverse paper chromatography,10 and normal and reverse thin layer chromatography (TLC) of green leaf extracts.11 Other publications include the separation of caffeine from beverages using TLC and gas chromatography coupled to mass spectrometry (GC-MS),12 and a very interesting laboratory experiment using a burette to build an inexpensive high performance liquid chromatography (HPLC) for first year students class.13 Using low-cost materials, one can observe the work developed using a burette as column chromatography filled with sand or marble as stationary phase for pen paints separation.14 A very simple approach was reported by Oliveira et al.15 using spinach extract and triturated school chalk as stationary phase, while Fonseca and Gonçalves16 proposed the use of refined sugar as a stationary phase for the same kind of separation. Sodium bicarbonate, sand, sugar, potato starch, cornflour were also tested as materials for stationary phases in low-cost experiments for teaching chromatography, as reported by Ferreira.17 Although all those experiments approaches using low-cost materials were been described, they are concerned only with the visual inspection of substances separations and no data treatment from the experiment were carried out. They use the experiment to show the separation by visual inspection and then explain some basic principles of the chromatography to students. Although these experiments are initially thought, at a first glance, to high school students, they are commonly used in experimental chemistry classes at many universities because of their ease execution and simplicity. However, most of the mentioned works are only demonstrative.

The chromatography technique is an experiment which open a broad range of discussions. If applied in an introductory laboratory class (such as a General Chemistry), the instructor can use the experiment to explain separation techniques, polarity of substances, safety and hazards of chemicals and so on. If applicable to an Organic Chemistry laboratory session, the discussion can be toward the chromatographic efficiency and theoretical plates, spectroscopic techniques for accompanying the separation, organic functions of solutes presented in sample and so on.

Therefore, although this type of experience allows different perspectives in the teaching of chemistry (from General Chemistry to Physicalor Organic Chemistry), the experiment proposed here deals with the use of low-cost materials as an alternative to be used as stationary phase for chromatographic separation of food colouring by means of a handmade column chromatography using aqueous ethanolic mixtures as mobile phases, which are harmless solvents. The demonstrative experimentation presented is accompanied by an adequate scientific basis through tests and the use of analytical techniques. Thus, helping students to develop skills in handling the acquired data to trace and analysing a chromatogram from the results themselves and discuss the results according the chromatography theory. Also, this can be useful to expand and allow the instructor to promote a wide discussion with the class which goes beyond the chromatographic separation.

 

EXPERIMENTAL

Materials

River sand was obtained from a building materials store while sea sand was collected from Jaguaribe beach, located at Salvador, BA, Brazil (12º57'28" S; 38º23'22" W). The food coloring was purchased at a local store at Amargosa City, BA, Brazil and it was chosen as a mixture model due to be non-toxic and cheap to buy. According to the label, the composition of the food dye is made by brilliant blue (2%), tartrazine (74%) and amaranth (24%), giving a powder of brown color. Water was distilled before use and ethanol was acquired in a local store or in a gas station at Amargosa. Chromatography silica gel (0.063-0.200 mm) and the thin layer chromatography (TLC) plates (silica over aluminium foil and indication at 254 nm) were purchased from Merck.

Stationary phase preparation

The support staff (technical staff) must be responsible for this preparation step. The river and the sea sands must be sieved and washed before use. Each sand sample must be sieved using a common kitchen sieve to remove main impurities (a common kitchen sieve has an opening mesh of ± 1.86 mm). Afterwards, the sieved sand must be placed in a solution of 6.0 mol dm-3 H2SO4 for 24 h. Then, filter it off and wash with plenty water until almost neutral pH (the pH can be measured with a pH-paper).

Chromatographic columns

The initial tests were performed on a typical glass chromatography column (dimensions - total volume: 54.4 cm3; heigh: 16.8 cm; inner diameter: 2.1 cm) equipped with a PTFE (polytetrafluoroethylene) stopcock.

The handmade chromatographic column was built using materials commonly found in building supply stores, such as PVC (polyvinyl chloride) hose and valve (the valve works as a stopcock). This column was fixed on a piece of wood to be kept straight (Dimensions - total volume: 91.9 cm3; heigh: 20.9 cm; inner diameter: 2.0 cm). (See Figure S1 in Supplementary Material for further details). It should be noted that it is not necessary to purchase materials from specific brands.

The chromatographic experiments were carried out using a piece of cotton to prevent the loss of the stationary phase. All chromatographic runs were performed under atmospheric pressure and the column filling was carried out with a stationary phase slurry.

It is important to note that the PVC exposure to ethanol and its aqueous solutions causes its deformation and loss of the plasticizer.18 Then, after the experiment, it is recommended to clean the column with neutral detergent and plenty water.

Food coloring solubility assay

A small amount of food coloring (± 1 mg) was dissolved in a tube test containing about 5 mL of a given solvent. The tube was shaken gently and the color observed. The solvents were analytical grade and were used as received without any purification prior use. For the chosen solvents, electronic spectra were recorded in a spectrophotometer Global Trade Technology UV-5100 model using standard configuration and glass cuvettes.

Chromatographic experiment

The preparation of the chromatographic column was done by wetting the adsorbent and filling the column with the slurry carefully prepared in order to give the maximum packaging and avoid breakage (channels). The mobile phase was added continuously till complete packaging and equilibrate the system. Then, in a small beaker, an amount of 10 mg of food coloring was dissolved in a small amount of solvent and applied carefully on the top of the column by running down the column wall. Once completed, the elution was allowed to run down and the eluted fractions were collected separately and analyzed by spectrophotometric measurements. The change of the mobile phase was performed through a gradient in polarity by increasing the amount of water in the composition of the mobile phase.

A set of experiments was carried out in the handmade column and all the eluted fractions were collected in test tubes and data were processed to obtain a chromatogram. For chromatogram building, electronic spectra were registered for all collected fractions and a plot was done by correlating the absorbance value at the maximum absorption wavelength for each dye versus time (the time corresponding for each filled tube test). All these experiments were performed in triplicate to demonstrate the reproducibility.

Relative density measurements of adsorbents

The relative density of river and sea sands, as well as silica gel, were calculated using the pycnometer method and distilled water as reference, according to the procedure reported in literature.19 (See equation 1 and Tables S2 and S3 in Supplementary Material for further details).

Granulometric studies

The granulometric studies of each material to be used as a stationary phase were carried out by sieving by a set of sieves with different openings. In order, the set of sieves were 80, 100, 115, 150 and 170 mesh opening. After the end of the test, the mass retained in each sieve was weighed and compared with initial mass.

Scanning electronic microscopy (SEM)

SEM images were recorded in a scanning electronic microscope HITACHI, S-3400N model operating using a current of 17 kV. For the analysis, each material was dried at 105 ºC for 12 hours. Pulverized samples were dispersed on carbon tapes and metallized with a thin layer of gold before collecting the micrographs.

Handling and safety

All procedures must be carried out with the correct individual protection equipment (gloves, glasses and lab coat), mainly in those steps involving acids or harmful substances during the sand cleaning session. It is highly recommended to prepare the H2SO4 solution in a fume hood. During the sample handling, we recommend the use of gloves, because it is known that some dyes can cause skin irritation.20,21 For the experiments carried out using the handmade column, there was not observed any problems due to solvents or sample with the column material (PVC materials) and no reaction took place between plastic and ethanolic solution. There is no need for additional treatment for waste disposal. All residues from experiments have low toxicity and are soluble in water. Specific recommendations must be given by the instructor.

 

RESULTS AND DISCUSSION

Although this type of experimental activity presents different work perspectives, the suggestion presented is the chromatographic separation, involving a discussion about the technique itself. Furthermore, it is important to maintain a parallel discussion about dyes and their characteristics and how this can impact the interaction between the mobile and stationary phases. Finally, from quantitative measurements, perform the mathematical treatment of the experimental data measured along the chromatographic separation.

Food coloring composition and solubility assay

According to the label, the food coloring composition is constituted by a mixture of three different dyes. Two of them are azo dyes derivatives (tartrazine, present in 74% and amaranth, in 24%) and the third is the brilliant blue, a triphenylmethane derivative, present in 2%. The sample was used as received and no further analysis was performed to confirm the structures of the substances. Figure 1 shows the structure of each dye presented in the sample.

 


Figure 1. The chemical structures of the dyes constituting the dark brown food coloring powder, according to the information displayed in product´s label. All compounds are sodium salts

 

Tartrazine is an azo dye commercially available as a yellow powder. Amaranth (also known as bordeaux S), also an azo dye, is a red compound while brilliant blue, as the name suggests, is a blue compound and it belongs to the triphenylmethane class of dyes.21 All of them are synthetic compounds22 and their use in food industry has been approved in Brazil since 197723 (see Table S4 in Supplementary Material for further details).

All dyes are anionic and have three negative charges. The blue dye shows a charge balance between a positive and a negative charge, thus leading the molecule a two negative overall charged. This feature causes a reduction in the polarity of this dye as a whole.

To understand the solubility of the food coloring, a set of test tubes with polar and non-polar solvents was performed. Among the polar solvents, protic and non-protic were tested as well. The solubility of the sample in this set of solvents is shown in Figure 2.

 


Figure 2. Food coloring (above) and food coloring solubility test in protic and non-protic solvents (below). *Dipole moment value not found for that substance; **Value attributed from n-hexane24

 

As can be seen, no color was observed in light petroleum ether. A little bit solubility was registered in chloroform. In propanone and acetonitrile, only partial solubility was achieved. In pure ethanol (absolute ethanol) a dark blue solution was observed. For 96% ethanol, a green solution corresponds to the solubility of the brilliant blue and tartrazine dyes. For 54% ethanol solution, a brown solution was observed as expected for the brownish food coloring. Methanol and pure water gave brownish solutions as well.

Amongst the organic solvents tested, acetonitrile, ethanol and methanol have the highest dielectric constant and dipole moment. Nonetheless, complete solubility is only achieved in methanol. This feature must be attributed not only the dipole moment and dielectric constant, but there are a set of characteristics which play the role for complete solubilization, which includes the hydrogen bond and the chemical structure of methanol, containing only one carbon atom.

The polarity of the three dyes is also affected by their chemical structures. Brilliant blue is a triphenylmethane derivative and has a lower overall negative charge than tartrazine and amaranth. Clearly, brilliant blue is the less polar dye among them, since a blue solution is seen even in propanone. Tartrazine and amaranth are azo dyes derivatives and, between them, amaranth is the most polar, as it is only completely soluble in 54% ethanol, methanol and water.

Despite providing complete solubilization, methanol was not the solvent chosen due to the known toxicity and also because it was not easy to buy (not in Brazil, at least). Figure 3 shows the electronic spectra of the food coloring in water and in hydroalcoholic solutions.

 


Figure 3. Electronic spectra of the food coloring in 96% ethanol, 54% ethanol and water (for color solutions, see Figure 2)

 

When dissolved in water, the food coloring results in a dark brown solution (as shown in Figure 2). Figure 3 shows the absorptions spectra of the sample in 96% ethanol, 54% ethanol and water. The maximum absorption wavelengths are depicted in the Figure. For 96% ethanol solution, amaranth has a very poor solubility.

Solubility testing plays an important role in establishing the best mobile phase constitution for any type of liquid chromatography. In this work, the objective was to understand the effect of solvents on the solubility of food coloring since the product has three different dyes. However, the solubility experiment constitutes an interesting essay to be used by the instructor to discuss all the matters related to solubility, intermolecular interactions, chemical structures, polarity and so on with the students.

Stationary phases chromatographic studies

A typical chromatographic experiment using the handmade column is shown in Figure 4 as well as some collected fractions and the corresponding TLC analysis using 96% ethanol solution as eluent. As shown in TLC the blue spot is relative to the brilliant blue dye. The green spot was attributed to a mixture between brilliant blue and tartrazine, but the TLC showed no such separation. The yellow and the orange fractions contain tartrazine and traces of amaranth, whereas the last fraction is relative only to amaranth dye. A TLC run using anhydrous ethanol failed.

 


Figure 4. Column chromatography experiment using the handmade column and river sand as a stationary phase. Some tube tests of collected fractions are shown as well as the corresponding silica TLC analyses for each fraction using 96% ethanol solution as eluent

 

The use of TLC in this work was made in order to adjust the mobile phase for column chromatography experiments. However, the use of TLC is also a subject to discussion with the students, its use, limitations and applications can help the students to understand the differences between column and thin layer chromatographies.

The experiments involving the river and the sea sands as well as the silica were performed accordingly described and, in all cases, the first fraction collected was brilliant blue that running down the column with 96% ethanol. Afterward, a greenish fraction corresponding to the mixture of brilliant blue and tartrazine was collected. Then, tartrazine was collected as the third fraction. The last fraction collected was amaranth when 54% ethanol solution was used as a mobile phase. Each collected fraction was analyzed by TLC as shown in Figure 4.

In order to give a complete information about how the system is able to separate the three dyes in the food coloring sample, a detailed analysis was done for each chromatographic run according the stationary phase used. Figure 5 shows the chromatogram constructed from a set of experiments and monitored using spectrophotometry for each stationary phase and using the handmade column chromatography.

 


Figure 5. Chromatograms constructed from spectrophotometric measurements for each stationary phase studied

 

Figures 6-8 shows the complete spectral analysis for each fraction collected from a chromatographic run. The experiments were run in triplicate for each stationary phase studied.

 


Figure 6. Left: fractions collected during the experiment using silica as a stationary phase (in triplicate); Right: spectra registered for all fractions collected. All experiments were run in the handmade chromatographic column and all the spectra were recorded in water

 

 


Figure 7. Left: fractions collected during the experiment using river sand as a stationary phase (in triplicate); Right: spectra registered for all fractions collected. All experiments were run in the handmade chromatographic column and all the spectra were recorded in water

 

 


Figure 8. Left: fractions collected during the experiment using sea sand as a stationary phase (in triplicate); Right: spectra registered for all fractions collected. All experiments were run in the handmade chromatographic column and all the spectra were recorded in water

 

The complete solubilization of the sample was achieved dissolving the food coloring in 96% ethanol with some drops of 54% ethanol solution. The elution began with 96% ethanol as eluent and after collecting the tartrazine, the eluent was changed to a 54% ethanol solution. An attempt to begin the elution using anhydrous ethanol failed. As can be seen in Figure 5, it was not possible to perform the complete separation of the three dyes in the food coloring, even using silica as the stationary phase. Another common fact is the difficulty in separating tartrazine from brilliant blue. The greenish fraction (Figure 6-left) is due to the mixture between these two dyes and can be attributed to the overall charge on brilliant blue compared to tartrazine. Theoretical calculation of partition coefficient (expressed as CLogP) reported to these three dyes25 reinforced such hypothesis.

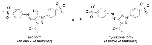
It is well reported that most azo-dyes exhibit an azo-hydrazone tautomerism.26,27 For tartrazine, this is pronounced and the tautomeric forms in equilibrium is shown in Figure 9.

 


Figure 9. Azo-hydrazone equilibrium for tartrazine

 

Studies show that hydrazone form is stabilized in pure water.27,28 The condition used in this work causes differences in solubility, thus leading to a poor separation of tartrazine during the chromatographic run independently which stationary phase was used as can be seen analyzing the electronic spectra in Figures 6-8 (absorption at λ = 428 nm).

The brilliant blue dye left completely the column after 27 minutes and 12 minutes of elution, using silica and river sand, respectively. In the case of sea sand, this dye remained inside the column being collected also in the last fractions. Such behavior can be attributed to surface-dye interaction,29 causing its retention, since the column preparation was carried out with extreme care in order to avoid channels formation. The problems associated with the interaction between dye-surface is evidenced by the band broadening observed in Figure 5 mainly for the brilliant blue and for tartrazine.

A complete chromatographic experiment demands almost three hours to be completed using silica as the stationary phase whereas around two hours and one hour for river and sea sands, respectively (Figure 5). All chromatographic experiments were run under atmospheric pressure. As can be seen in the chromatogram of Figure 5, there are differences among the experiments according the stationary phase used. Table 1 brings information about the solid materials and features that could be obtained from the chromatogram analyses according to the chromatography theory.30 For all experiments, the amount of the stationary phase was enough to achieve the same height in the column (dry materials).

 

 

The retention factor was calculated by approximation using the first signal detection as the hold-up time (tM) and the retention time (tR) relatively to amaranth dye. Under the conditions proposed in this work, the mobile phase linear speed and flux are similar between silica and sand river. However, the retention factor between the two sands is similar and higher than that observed to silica. It was not possible to estimate the number of plates since a poor separation was observed among the three dyes. The differences amongst the three solids used as the stationary phases lead us to investigate their granulometric distribution and the surface aspect by scanning electronic microscopy (SEM).

Granulometric analysis and scanning electronic microscopy images of adsorbents

Figure 10 shows the granulometric distribution of each solid used as a stationary phase in the chromatographic experiments. Also, this figure shows the visual aspect of each solid.

 


Figure 10. (a) Granulometric studies by sieving the materials used as stationary phases in chromatographic separation of the food coloring; (b) photography of each studied material

 

The granulometric analysis was performed on a set of sieves with different meshes. The higher the mesh value, the smaller the grain size. The materials retained in an 80-mesh sieve means that the grains were larger than 177 μm. Likewise, materials passing through the 170-mesh sieve mean the grains had size smaller than 88 μm. Keeping such information in mind, it can be seen that 100% of river's sand grains are larger than 177 μm, since all grains were retained in the 80-mesh sieve. In contrast, only 84% of the grains were retained in the 80-mesh sieve and 11% on a 100 mesh sieve for sea sand. Silica gel was used as a standard and the size distribution was quite heterogeneous. Comparing river and sea sands, the presence of a slightly heterogeneous distribution observed for sea sand can justify the differences in packaging observed during chromatographic experiment, since a larger amount of sea sand is required to fill the column (Table 1).

This pronounced differences in flux demonstrates differences in column packaging due to the differences in granulometry among the stationary phases and consequently, differences in efficiency and retention factor.31

Silica is a material composed exclusively of SiO2. Sands have quartz (SiO2) as the major constituent, but different minerals can be found in sand composition depending on the type of sand (river, sea) as well as the geographical localization where the sand is collected.32 Minor mineral compounds can affect surface acidity causing the dye separation problems observed in this study due to some dye-surface interactions.

Although the granulometric experiment showed some differences amongst the studied adsorbents, a scanning electron microscopy (SEM) study was carried out in order to look additional differences on materials surface from collected images. Figure 11 display images of selected magnifications for river sand, sea sand and silica.

 


Figure 11. SEM images with different magnifications for the adsorbents studied

 

It is possible to see differences in porosity and roughness amongst river sand, sea sand and silica.

The analysis from SEM images must be interpretated carefully since it is very difficult to obtain a conclusive answer on surface properties. At first glance, the river sand seems to be more porous and the grains look like larger than the sea sand ones, since an increase of 100-fold is already enough to see a single grain of sand. On the other hand, a 1000-fold increase is required to see a grain of sea sand. Higher magnifications become evident the high porosity in river sand (e.g. 1500-fold) in comparison with the sea sand, although the sea sand has little porous but when the magnified view was 5000-fold the surface is slightly wrinkled.

The proposal to use a handmade column is an attractive since it can be constructed using easy access and low-price materials. The low-cost chromatographic column could be constructed for less than R$ 20.00 (Brazilian real; using a fee of R$ 1.00 = US$ 0.19, it could be constructed with US$ 3.84). The limitations of this procedure are intrinsic to the use of low polarity and halogenated mobile phases, since the solvent can react with PVC. For the conditions proposed, based on ethanolic solutions, the chromatography works very well and no problems were related between solvents and PVC. The use of dyes is a good approach to facilitate visual inspection and allows the instructor to conduct a wide discussion of many aspects of chemistry, such as the phenomenon of separation by chromatography technique alone, but also, going to the discussion of polarity aspects on chemical structures of dyes, purification laboratory techniques, aspects of environmental and health hazards caused by the incorrect disposal of dyes and ingestion of commercial foods and beverages, and materials science and intrinsic properties of the materials, as can be seen summarized in Figure 12. The concepts indicated within the boxes in Figure 12 are suggestions of subjects commonly discussed in chemistry classes (lab or classroom). In any case, the instructor must feel free to approach the most convenient topics according the experiment proposal. As can be seen in Supplementary Material (topic 5), two instructors were consulted and their responses on this proposal can be read. A suggestion for an experimental protocol was also proposed (Supplementary Material, topic 6). This procedure is a suggestive protocol that may be suitable according to the instructor's point of view.

 


Figure 12. Possibility of subjects to be explored in an experimental class through the proposal of this work

 

It is important to mention that the use of river and sea sands are only examples of low cost and easy access material to be used. Depending on the kind of separation required, there are some materials which could substitute the sand, such as starch or, eventually, residual biomass (after processing). The instructor must feel free to choose the materials considering the experiment desired as well the availability of materials where the experiment will be carried out.

According the Figure 12, there are many possibilities of subjects to be discussed within Chemistry. Unlike some published works, we suggest that the chromatographic run be accompanied by measuring the time taken to complete the run (void volume and the time taken to collect each fraction). Each fraction collected must be analyzed in a spectrophotometer and the data must be treated using a mathematical worksheet. Once the presence of the dyes in the electronic spectrum is detected, the student must choose the wavelength of maximum absorbance and correlate the data to obtain a graph as shown in Figure 5. The instructor should guide students on how the results can be analyzed, as well as discuss factors that should be adjusted for maximum separation efficiency. This approach, using the results themselves, gave significance to student, since certainly each student (or groups) can obtain different results according to the ease of manipulation of the experiment.

Considering the experiment proposed, it is clear that this approach makes it possible to apply the concepts of chromatography from the results themselves, thus, developing skills in working with spreadsheets and mathematical treatment of data. Chromatograms are often displayed as a result of an instrumental analysis. The student is now able to plot a chromatogram based on a detailed spectral analysis and discuss the separation efficiency and others related subjects, such as point out in Figure 12. While some reports deal with the use of a simple chromatographic separation of dyes to get the attention of the students by visual effect caused by colored substances, our proposal goes beyond, allowing an applied and meaningful learning processes based on a real problem. This approach places the student as the protagonist and stimulates the critical thinking and, as a consequence, develops the critical analysis on the own experimental procedure doing them to search for conditions to breakthrough.

 

CONCLUSIONS

The reported work brings a low-cost proposal for chromatographic experiments using a handmade chromatography column as well as the use of alternative, non-toxic and easy-access materials to be used as stationary and mobiles phases in such experiments. The limitations of this proposal are related to the mobile phase to be used, since the material of the handmade column, PVC, can react with low-polar and halogenated solvents. The proposal provides a significative learning process since the student is now able to plot a chromatogram based on a detailed spectral analysis and discuss the separation efficiency and others related subjects. The possibility of applying the concepts of chromatography from the results themselves helps the student in developing skills in working with spreadsheets and mathematical treatment of data, going beyond the visual effect caused by colored substances. If applicable, the instructor will be able to discuss the chromatography concept and theory based in a real experience and broaden the discussion to other aspects related to chemistry, such as how the chemical structure influences the compound-stationary phase interaction, solubility phenomenon, polarity and so on. Also, aspects of hazards related to health and the environment in discarding dyes or ingestion from foods and beverages containing food dyes. The experiment using this set up is adequate to a 2 hours' experimental session (common experimental class in undergraduate chemistry courses in Universities in Brazil).

 

SUPPLEMENTARY MATERIAL

Supplementary explanation and data are available in the supplementary material at http://quimicanova.sbq.org.br in pdf format, with free access.

 

ACKNOWLEDGMENTS

The authors (B. C. Cerqueira and R. De Paula) thank Prof. Dr. Y. N. Watanabe for instrumental facilities regarding to the spectrophotometer for the electronic measurements. Also, we would like to thank Dr. S. D. Cunha and Dr. E. P. da Silva for their valuable discussions and contributions on the results reported herein as well as the referees for all valuables suggestions and recommendations. Finally, we also thank the researchers' staff from Laboratory of Catalysis (Chemistry Institute/University Federal of Bahia) for performing the granulometric and SEM analyses.

 

REFERENCES

1. Engel, R. G.; Kriz, G. S.; Lampman, G. M.; Pavia, D. L.; Química Orgânica Experimental: Técnicas de Escala Pequena, 3ª ed.; Cengage Learning: São Paulo, 2013.

2. Maia, D.; Iniciação no Laboratório de Química, 1ª ed.; Átomo: Campinas, 2015.

3. McGuffin, V. L. In Journal of Chromatography Library; Heftmann, E., ed.; Elsevier: Amsterdam, 2004, ch. 1. [Crossref]

4. Collins, C. H.; Scientia Chromatographica 2009, 1, 7. [Link] accessed in February 2023

5. Degani, A. L. G.; Cass, Q. B.; Vieira, P. C.; Quim. Nova Esc. 1998, 7, 21. [Link] accessed in February 2023

6. Cazes, J.; Scott, R. P. W.; Chromatography Theory, 1st ed.; CRC Press: Boca Raton, 2002. [Crossref]

7. Kumar, S. S.; Subhashini, D.; Res. Rev.: J. Chem. 2015, 4, 90. [Link] accessed in February 2023

8. https://www.cdc.gov/niosh/topics/organsolv/, accessed in February 2023.

9. Lederer, M.; Leipzig-Pagani, E.; J. Chem. Educ. 1996, 73, 974. [Crossref]

10. Du Toit, M. H.; Eggen, P. O.; Kvittingen, L.; Partali, V.; Schmid, R.; J. Chem. Educ. 2012, 89, 1295. [Crossref]

11. Sjursnes, B. J.; Kvittingen, L.; Schmid, R.; J. Chem. Educ. 2015, 92, 193. [Crossref]

12. Torres, J. L. T.; Hiley, S. L.; Lorimor, S. P.; Rhoad, J. S.; Caldwell, B. D.; Zweerink, G. L.; Ducey, M.; J. Chem. Educ. 2015, 92, 900. [Crossref]

13. Stankus, B.; White, R.; Abrams, B.; J. Chem. Educ. 2019, 96, 739. [Crossref]

14. Celeghini, R. M. S.; Ferreira, L. H.; Quim. Nova Esc. 1998, 7, 39. [Link] accessed in February 2023

15. de Oliveira, A. R. M.; Simonelli, F.; Marques, F. A.; Quim. Nova Esc. 1998, 7, 37. [Link] accessed in February 2023

16. Fonseca, S. F.; Gonçalves, C. C. S.; Quim. Nova Esc. 2004, 20, 55. [Link] accessed in February 2023

17. Ferreira, M. L. S. V.; Dissertação de Mestrado, Universidade do Minho, Portugal, 2011. [Link] accessed in February 2023

18. Yu, Q.; Selvadurai, A. P. S.; Polym. Degrad. Stab. 2005, 89, 109. [Crossref]

19. Sampaio, J. A.; da Silva, F. A. N. G. In Tratamento de Minérios: Práticas Laboratoriais; Sampaio, J. A.; França, S. C. A.; Braga, P. F. A., eds.; CETEM/MCT: Rio de Janeiro, 2007, ch. 2.

20. Lederer, J.; Alimentação e Câncer, 3ª ed.; Manole Dois: São Paulo, 1990.

21. Panić, V. V.; Stevanović, R. M.; Jovanović, V. M.; Dekanski, A. B.; J. Power Sources 2008, 181, 186. [Crossref]

22. Aditivos e Ingredientes 2009, 28. [Link] accessed in February 2023

23. Ministério da Saúde, Comissão Nacional de Normas e Padrões para Alimentos; Resolução no 44, de novembro de 1977. [Link] accessed in February 2023

24. Lide, D. R.; Handbook of Chemistry and Physics, 85th ed.; CRC Press: New York, 2003.

25. Sârbu, C.; Casoni, D.; Kot-Wasik, A.; Wasik, A.; Namieśnik, J.; J. Sep. Sci. 2010, 33, 2219. [Crossref]

26. Özen, A. S.; Doruker, P.; Aviyente, V.; J. Phys. Chem. A 2007, 111, 13506. [Crossref]

27. Deneva, V.; Lyčka, A.; Hristova, S.; Crochet, A.; Fromm, K. M.; Antonov, L.; Dyes Pigm. 2019, 165, 157. [Crossref]

28. Reeves, R. L.; Kaiser, R. S.; J. Org. Chem. 1970, 35, 3670. [Crossref]

29. Bevziuk, K.; Chebotarev, A.; Koicheva, A.; Snigur, D.; Monatsh. Chem. 2018, 149, 2153. [Crossref]

30. Poole, C. F.; The Essence of Chromatography, 1st ed.; Elsevier Science: Netherlands, 2003.

31. Lanças, F. M.; Scientia Chromatographica 2009, 1, 39. [Link] accessed in February 2023

32. Girardi, G.; Revista Pesquisa Fapesp 2007, 138. [Link] accessed in February 2023

33. Prado, M. A.; Godoy, H. T.; Aliment. Nutr. 2003, 14, 237. [Link] accessed in February 2023

On-line version ISSN 1678-7064 Printed version ISSN 0100-4042
Qu�mica Nova
Publica��es da Sociedade Brasileira de Qu�mica
Caixa Postal: 26037 05513-970 S�o Paulo - SP
Tel/Fax: +55.11.3032.2299/+55.11.3814.3602
Free access

GN1