JBCS



14:51, sáb out 25

Acesso Aberto/TP



Artigo

Investigation on the nature and provenance of pah found in sediments of the solimões river and some associated lakes

Tereza C. S. de OliveiraI; Arthur de L. ScofieldII; Luana M. SilvaIII; Alcinei P. LopesIV; Angela de L. R. WagenerII,*

I. Departamento de Química, Instituto de Ciências Exatas, Universidade Federal do Amazonas, 69099-000 Manaus - AM, Brasil
II. Departamento de Química, Pontifícia Universidade Católica do Rio de Janeiro, 22451-900 Rio de Janeiro - RJ, Brasil
III. Instituto Federal do Amazonas, Campus Manaus Distrito Industrial, 69075-351 Manaus - AM, Brasil
IV. Instituto de Natureza e Cultura, Universidade Federal do Amazonas, 69630-000 Benjamin Constant - AM, Brasil

Recebido em: 13/05/2022
Aceito em: 06/12/2022
Publicado em: 08/03/2023

Endereço para correspondência

*e-mail: angela@puc-rio.br

RESUMO

The present work aimed at evaluating indicators of hydrocarbon sources to sediments from the Solimões River region, in the central Amazon. The 16PAH, the alkylated homologs and molecular markers were investigated. The entire series of alkylated PAH were present and, in some cases, with a distribution observed when oil residues dominate. Nevertheless, hopanes characterizing immature environments undergoing diagenetic transformation were identified in samples from the Solimões River and in surface as well as in core sediment samples from Preto Lake, in the Coari-Manaus stretch. Investigation suggests early diagenesis of the organic matter confirmed by identifying biogenic markers produced during organic matter transformation. Some of these markers derive from incomplete combustion of biomass and are contained in particulate matter formed during forest burning. In the sediments of an industrial area near the city of Manaus, the entire series of mature hopanes was present indicating anthropogenic source of hydrocarbons. The results so far obtained point out the complexity of PAH source appraisal.

Palavras-chave: PAH; molecular markers; biogenic; diagenesis; biomass combustion.

INTRODUCTION

Solimões is the denomination of the Amazon River in the stretch that extends from the Peru-Brazil border to the area where it joins the Negro River, in central Amazon. The annual sediment discharge into the Solimões River amounts to 812 Mt per year representing about 50% of the Amazon River discharge. The Andean terrains contribute with a large fraction of clay minerals, while from the Amazon Forest derives greater loads of organic matter. These materials contribute to the observed composition of bottom sediments.1 There are, in addition, anthropic inputs to the river derived from forest fires and combustion engine emissions.2,3

The so-called pyrolytic PAH originate from the incomplete combustion of organic matter. The typical mass spectrum profile suggesting presence of pyrolytic PAH in environmental sample shows predominance of parental compounds over the alkylated homologues and of higher molecular weight compounds (4-6 aromatic rings). PAH found in petroleum, derived from slow maturation of organic matter, shows predominance of alkylated isomers in respect to the parental compound and the Co-Cn alkylated distribution profile resembles a bell or Gaussian shape. Perylene is also found at levels higher than 10% of the total.4,5,6

Environmental organic markers can be observed in different ways in the environment, for example, geochemical biomarkers that are classified as contemporary biogenic, produced by microorganisms, animals and plants that undergo degradation once released into the environment; contaminants, which are released into the environment from human sources; and petroleum biomarkers, produced during the oil formation process due to the maturation of sedimentary organic matter. For instance, the homologous series of maturated hopanes (m/z 191) has been applied to indicate oil contamination in the environment.7,8,9 The use of hopanes as markers of oil contamination is due to their structural stability and resistance to degradation. Hopane precursor originates from prokaryotic bacteria membranes, while hopanes are ubiquitous in sediments and in petroleum. The presence of hopanes with sterochemical modification in positions 17, 21 and 22 as in the bacteriohopanetetrol (17B(H)21B(H),22R) indicates diagenetic origin of the observed organic substrate. The presence of the extended hopane series from C27-C35 with stereochemistry 17a(H)21B(H) and 17B(H)21a(H), 22R/S indicates petrogenic origin. Increasing maturation leads to a mixture of S and R isomers in the proportion of 3:2.10,11

Molecular markers derived from pentacyclic triterpenoids are also found in sediments. Mono-to-penta-aromatic compounds derive from precursors such as α-amirin, β-amirin and lupeol present in much of the Amazonian vegetation.12,13,14 In general, chemical transformation includes structural simplification with reduction of functional groups containing oxygen, hydrogenation of carbon-carbon double bonds, aromatization. These reactions are often mediated by microbial activity.15,16

In the present work, the aim was, by using molecular markers, to investigate diagenetic processes and the nature of hydrocarbons found in sediment sample from the Solimões River and from associated lakes in the central Amazon region.

 

EXPERIMENTAL

Study area and sampling

Figure 1 displays the sampling stations and the area studied in this work. Solimões River is a major river in the central Amazon and its basin englobes several lakes either directly connected to the river or isolated, representing the studied natural environment. The river is the unique transport route used by local population. In the city of Coari (~ 86 thousand stowed population), there is a petroleum terminal (TESOL) and therefore oil and gas are transported along the river to Manaus (~ 2,2 million estimated population), which has a high anthropic influence in its surroundings. Agriculture activities also exists in the floodplain, which is inundated during the rainy season sustaining high levels of both aquatic and terrestrial productivity.17,18

 


Figure 1. Sampling stations in Solimões River (4S), Maracá Lake (7L), Preto Lake (2L) and Manaus area (IND2, IND5)

 

Surface sediments were sampled in the dry season of 2005 by using a van Veen grab. Station were located in the Solimões River (4S) with sample 4SII and in the Maracá Lake (7L) with sample 7LII. The top 5 cm of sediments were subsampled for analysis. A sediment core was sampled with the help of a stainless-steel corer in the Preto Lake (2L). Core segments (5, 10, 20, 30, 40, 60, 70 cm depth) were analyzed for PAHs while two of those segments (2L1B - 5 cm e 2L7B - 70 cm depth) were also inspected for molecular markers. Surface sediment samples from the Manaus industrial area were likewise sampled (IND2 and IND5). Samples were stored in aluminium boxes at -20 ºC. Once in the laboratory samples were lyophilized and kept at -80 ºC until extraction and analysis.

Methods

In order to present some characteristics of the studied sediment samples, the percentage of total organic carbon (Corg) and granulometry were determined. Corg was determined using 2-10 mg of lyophilized sediments, in triplicate, using the Shimadzu TOC-5000 - SSM-5000A analyser and calibration with standard solution of potassium phthalate. The granulometric analyses were carried out by the laser diffraction method using a CILAS 1064 equipment. Measurement were in a liquid medium, after treatment with hydrogen peroxide to remove organic matter, and sodium pyrophosphate as a dispersing agent.

Lyophilized sediments were 24 h Sohxlet extracted using 100 mL dichloromethane:acetone (1:1; v/v) after addition of surrogate standards (d-C16, d-C30, p-terphenyl-d14) as recommended in the method EPA 3540.19 Concentrated extract clean up included the use of glass column fitted with 11 g activated silica, 1 g alumina 5% deactivated, 1 g Na2SO4 and deactivated copper. The aliphatic and aromatic fractions were eluded in 75 mL hexane and 55 mL hexane:dichloromethane (1:1), respectively. Extract concentration used rotatory evaporator and N2 continuous flux.

The same procedure was applied from the open glass column chromatography step, using 1 g of sample and addition of surrogate standards, in triplicate of crude oil samples from the Urucu Production Unit (OilU), granted to this research, and diesel oil purchased at a gas station.

Hopane identification in the aliphatic fraction was based on the mass spectrum, the relative retention time and comparison with literature information. A quadrupole Thermo Finnigan DSQ mass spectrometer coupled to a GC Ultra fitted with a DB5msMSD (30 m × 0.25 mm × 0.25 μm) column was used. Conditions were as follows: splitless injection at 250 ºC; He as carrier gas at 1 mL min-1; interface at 290 ºC; ion source at 200 ºC; electronic ionization impact at 70 eV; full scan analysis 50-500 amu. Column temperature program as follows: initial at 50 ºC for 1 min, 1 min 80 ºC at 50 ºC min-1, 285 ºC at 6 ºC min-1 and isothermal hold for 15 min.

Identification and quantification of PAH used a GC-ion trap Polares-Q Thermo Finnigan system, splitless injection, DB5msMSD (30 m × 0.25 mm × 0.25 μm) capillary column. Conditions were as follows: He as the carrier gas at 2.0 mL min-1, injector at 290 ºC and detector at 300 ºC. Column program: initial temperature at 50 ºC for 5 min, 80 ºC for 5 min-1, increase to 280 ºC over 6 min and hold for 20 min. Ionization source was set at 200 ºC; full scan was from 55-450 amu; scan time 0.45 s; electron ionization impact 70 eV; emission current 250 A.

Quantification (modified EPA 8270D method) was based on internal standard, quantification limit was 0.25 ng g-1 for 20 g dry sediment and recoveries ranged from 87.4-115.2%. Certified reference material (CRM) (NIST, 1944) was used to check recoveries that ranged from 64.5 to 95.7%. The targeted compounds were: naphthalene (N, C0−C4), acenaphthylene (Aceft), acenaphthene (Ace), fluorene (F, C0−C3), phenanthrene (Ph, C0−C4), anthracene (A), fluoranthene (Fl), pyrene (P, C0−C2), benz(a) anthracene (BaA), chrysene (Ch, C0−C2), benz(b)fluoranthene (BbFl), benz(k)fluoranthene (BkFl), benz(a)pyrene (BaPy), perylene (Pe), indene(1,2,3-c,d)pyrene (IPy), dibenz(a,h)anthracene, benz(g,h,i) perylene (BghiPe), dibenzthiophene (DBT, C0−C3).

Qualitative analysis of the aromatic fraction was performed to investigate geochemical markers from natural sources. The analytical conditions were the same as detailed above for PAH.

 

RESULTS AND DISCUSSION

Granulometry and organic carbon

The granulometric composition shows predominance of the fraction of fines (silt and clay at 99.5%), except for the samples in the industrial area in Manaus, IND2 and IND 5, which ranged from 4.6 to 24.0%, respectively. The fine fraction is relevant in providing bonding sites for both organic and inorganic compounds.20 The concentrations of the compounds determined in samples from the industrial area were corrected for the percentage of the fine fraction.

The Corg percentage in the sediment was highlighted for station 2L, with a very high Corg content, 14.0%. This station is located at Preto Lake, which, as it does not maintain any connection with the Solimões River, accumulates organic matter from the local vegetation. Samples I4SII and 7LII showed significantly lower values, 4.82 and 2.47%, respectively. It was not possible to perform the determination of Corg for samples from the industrial area, IND2 and IND5. As highlighted in Figure 2, organic carbon in core samples (2LB) from Preto Lake showed the following results: ~ 6% (30 and 40 cm depth), 10-11% (10, 20, 50 cm depth) and 14% (5, 60 cm depth). Organic carbon content was not related to any of the quantified PAH.

 


Figure 2. Percentage of organic carbon in the sediment core (2LBII) of Preto Lake

 

PAH

Table 1 shows that ∑PAHs appears in elevated concentrations in the industrial area, especially in sample IND2, while the higher percentage of perylene are in samples from the Solimões River and lakes (Table 1).

 

 

Figure 3 shows the PAH profiles for IND samples. The typical profile of alkylated PAH when degraded oil is present (increasing concentration from Co to Cn) is present while the phenanthrene homologues show a bell-shape distribution with maximum in C2 as expected when recent oil residues are present.5,9 Perylene had very low levels in these samples with predominance of anthropic influence, differently from the samples of pristine areas.

 


Figure 3. Parental and alkylated PAH in sediments from the industrial district. Total PAHIND2 = 4713 ng g-1; Total PAHIND5 = 364 ng g-1; PeIND2 = 3.15%; PeIND5 = 0.66%

 

In the samples from Maracá Lake and Solimões River (Figure 4), the alkylated series show similar distribution as described for IND2, in the industrial area, although these sites are in pristine areas and concentrations were by far lower. Dibenzothiophenes are in high concentrations in the IND samples and appear with distribution profile expected for degraded oil residues, while in the Solimões River and Maracá Lake samples, concentrations are the lowest among the determined PAHs.

 


Figure 4. Parental and alkylated PAH in sediments from Solimões River and Maracá Lake. Perylene is not shown (4SII = 85%; 7LII = 79% of the ∑PAH)

 

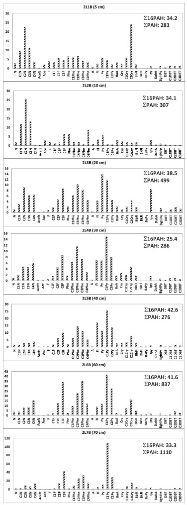
Figure 5 shows PAH profiles in surface (5 cm) and depth (70 cm) samples from core 2LB. Major compounds in sample 2L1B are those in the alkylated series (naphthalenes, fluorines, phenanthrenes and chrysenes). Homologue distribution is bell shaped, while dibenzothiophenes are again of lesser importance. In sample 2L7B concentrations, the alkylated series do not show a predominant trend and are, in general, higher than in the surface sample, with exceptional contribution of C1-pyrene. Dibenzothiophenes are at very low concentrations. Perylene predominated in surface sample (5 cm) increasing by 5.8 times towards the deepest core layer (70 cm).

 


Figure 5. Parental and alkylated PAH in core from Preto Lake (samples from 5-70 cm depth). Perylene is not shown (127 ng g-1 at 5 cm and 741 ng g-1 at 70 cm)

 

Concentrations of the most relevant alkylated compounds in all core samples appear in Figure 6. Major common trend is of increasing concentration with depth except for naphthalenes at 5 and 10 cm and for chrysenes at 5 cm depth. In all cases, even for those two series afore mentioned, concentrations increase with depth and show increasing ramp profile (Co < Cn) with exception of the phenanthrene series that display a bell shape (as expected for recent oil residues) with maximum in C2 or C3.5,21 This general increasing trend of alkylated PAH homologs with depth suggests either increasing oil contamination or early processes of organic matter transformation.22,23 Concentrations in 2LB core are lower than expected for sediments contaminated by oil. The region has been free of spillages, and the major petrogenic source would be boat traffic. This suggests that early diagenesis of plant derived organic matter, driven by microbial action at the elevated regional temperatures may be responsible for the observed alkylated predominance and trend.21

 


Figure 6. Alkylated PAH along a core profile from Preto Lake (2LB)

 

Indications of organic matter transformations are highlighted by the relative intensities of alkylated isomers, for instance, methylphenanthrenes and dimethylfluorines along the sediment profile.6 Comparison with the distribution in the oil produced regionally (OilU from Urucu region, see Figure 1 for location) and sediments from the industrial district are relevant in the source investigation.

Figures 1S and 2S (supplementary material) show similar relative intensities of the alkylated isomers (m/z 192) in the OilU and in sediments from the industrial area. In samples from 2LB profile, there is different distribution of alkylated isomers and variations along the profile. Budzinski et al.24 indicated that the distribution of alkylated isomers reveals maturity and origin of oils as well as environmental maturity or immaturity. The absence of oil contamination in the examined profile and the presence of early diagenesis of organic matter is further discussed under the section of saturated and aromatic molecular markers.

Benner et al.25 evaluated the use of alkylated phenanthrene to differentiate PAH formed during wood combustion from those derived from internal combustion motors. It turned out that wood combustion (Araucariaceae) lead to prevalence of 1,7-dimethylphenanthrene (1,7-DMePhe) among other isomers, as for instance 2,6-dimethylphenanthrene (2,6-DMePhe), in the combustion residues. Figure 7 displays chromatographic profile for Preto Lake surface sediment sample (a) and for sample from industrial Manaus area (b). The dominance of 2,6-DMePhe in the industrial area sample is similarly observed in chromatogram for a Diesel sample in which 2,6-DMePhe > 1,7-DMePhe. These observations reveal presence of wood combustion residues in the Solimões River and associated lakes, resulting from forest fires.

 


Figure 7. Chromatographic profile of C2-phenathrene in Preto Lake surface sediment sample (upper plot) and in sediments from Manaus industrial area (lower plot)

 

Perylene in the river and lake samples is the most relevant PAH, making up to 85% in 4SII, 79% in 7LII and 45-73% of ∑PAH along core 2LII without evidence of a trend. Berg et al. studying sediments in the Solimões River upstream Coari, found low concentrations of Pe in Coari Lake (~ 0.8-10 ng g-1) and elevated in Solimões samples (~ 119-220 ng g-1).26 In the present work, only in IND2 and IND5 Pe was low, making 3 and 0.7% of ∑PAH, respectively.

The Spearman non-parametric test was applied to verify possible pyrolytic source of Pe since forest fires are frequent in the Amazon region. Correlations of Pe with BbFl, BkFl, BaPy, compounds formed during combustion at high temperature were significant (p <<< 0.05), differentiating the correlations of these compounds between all compounds analyzed. Factorial analysis also demonstrated significant correlation of Pe with Fl (r = 0.79), BaA (r = 0.76), BbFl (r = 0.83), BkFl (r = 0.66) and BaPy (r = 0.83), presenting, therefore, a strong indication of pyrolytic origin, as Pe showed a strong association with these higher molecular weight PAHs, with 4-6 rings.21 Yunker et al.27 used some of these PAH to indicate biomass burning.

Saturated and aromatic molecular markers

Saturated hydrocarbons

Figures 8 and 9 display ion chromatograms for m/z 191 that characterize families of tricyclic and pentacyclic tripterpanes (hopanes) identified in the industrial area samples, in the river sediments and lake sediments, respectively. The spectrum obtained for samples from the industrial area shows the hopane homologous series 17α(H), 21β(H) and 22R/S for the isomers with C31 and C35 carbon atoms which indicate presence of oil residues.5,6,28

 


Figure 8. Series of recent plus entirely maturated hopanes in surface sediments from the Manaus industrial area (IND2 and IND5)

 

 


Figure 9. Series of unsaturated compounds (C27=, C29=, C30=, C31=) and recent hopanes (H27β, H29ββ, H30ββ, H31ββ) in samples 4SII and 7SII (Solimões River and Maracá Lake, respectively)

 

Similarly, to the reported by Berg et al. for hopanes in Coari samples, ββ configurations indicate biogenic origin for the hopanes identified both in lake and river samples.26 Spectra for samples 4SII, 7LII, 2L1B and 2L7B show patterns typical of hopanes from diagenetic origin, for instance, presence of 17β(H)21β(H) isomers such as the C31ββ 22R. Unsaturated isomers probably from the hopane group are noted, although the precise position of the unsaturation cannot be obtained. The 17α(H)21β(H) isomers could not be detected and if present were below the quantification limit of 16 ng g-1. The peak at ~ min observed in the river and lake sediments may be ascribed to the fragment C9H15 derived from the bicyclic sesquiterpene (C16H30: m/z 123). These compounds originate from the microbial degradation of high molecular weight biogenic precursors such as the polycadinanes, which are present in plants resins and essential oils.29,30 Sesquiterpenoids are abundant in extracts of Copaifera multijuga commonly found tree in Amazon rich in resins.31 Sesquiterpenoids are also precursors of aromatic compounds commonly found in sediments and in oil.28,31,32

Aromatic molecular markers

River and lake sediments showed abundant presence of aromatic compounds derived from pentacyclic triterpenes (α-amyrin, β-amyrin and lupeol). Examples of tetra- and pentacyclic triterpenoids found in the river and lake sediments are: diaromatic, tri- and tetramethylchrysenes, di- and triaromatic triterpenoids, monoaromatic dinorursa, dinoroleana and monoaromatic dinorlupa, tri- and tetra-aromatic tetramethylpycenes, lupa tri- and tetra- aromatic pentacyclic triterpenoids. Different mechanisms lead to the formation of the geochemical markers here identified and mostly derived from angiosperms.8 Oxidation processes allows the formation of compounds up to penta-aromatic tetramethylpycene while heating processes and oxidation with ring A breakage may lead to transformations up to tetra-aromatic trimethylchrysene. These processes are, in general, mediated by microbial activity.16,24,33

Compound identification relied on comparison with mass spectra reported in the literature and on observation of the elution order. The presence of the identified compounds suggests intense contribution of forest derived material to the sediment pool. However, these markers may also come in part from biomass combustion that occurs at large scale in the Amazon region. For instance, Abas et al.33 identified these molecular markers derived from amyrins in particulate matter present in smoke samples collected in the Amazon.

The ion chromatograms in Figures 3S (supplementary material) highlight the presence of higher intensity peaks in the lake sediments in respect to the river sediment, however, the spectra show in both cases the presence of the same molecular markers.

The occurrence of triaromatic tetrachrysenes sustains the diagenesis hypothesis for the tetra-aromatic occurrence with production of methyl- and dimethylchrysenes. These findings emphasize the possibility of attributing naturally occurring markers to the presence of oil contamination when examining PAHs in sediments and using diagnostic ratios.21

An additional example of misleading interpretation of alkylated PAH data relates to the naphthalene, since molecular markers derived from bicyclic sesquiterpenes may occur, after aromatization and formation of diaromatic compounds.28 van Aarssen et al.34 demonstrated that the polycadinanes are the precursors of the aromatization process that leads to formation of C2-naphthalenes. Bicyclic sesquiterpenes identified in the saturated fraction show the structural skeleton of cadalene, a diaromatic corresponding to C5-naphthalene. Figure 10 display a partial ion chromatogram of sample 2L1 with the identification of sesquiterpenes such as cadalene (C15H18: m/z 198), the calamenene and the 5,6,7,8-tetrahydrocadalene which are isomers (C15H22: m/z 202).

 


Figure 10. Partial ion chromatogram containing: (a) cadalene, (b) calamenene, (c) 5,6,7,8-tetrahydrocadalene in sample 2L1

 

Elias et al.29 report the presence of sequiterpenes in water samples from the Amazon River mouth and propose the degradation of cadinane sesquiterpenes to diaromatic compounds due to oxidation processes.

Esters

A substantial fraction of the natural compounds so far identified in the sediments is made up of esters deriving from long chain acids and alcohols, and triterpene esters. These compounds are part of the chemical composition of epicuticle waxes, found in several plants in the Amazon region, as studied by Pereira et al.35 Siqueira et al.36 identified these components in leaves of Carapa guianensis, Bertholletia excelsia, Theobroma grandifolium, Simaruba amara and Hervea brasiliensis. Esthers of the following acids were reported: hexanoic acid (C16: m/z 285), octadecanoic (C18: m/z 313), eicosanoic (C20: m/z 341) and tetraeicosanoic (C24: m/z 369). The authors report for Simaruba amara an extended homologous series from the tetradecanol (C14) to the tetratriacontanol (C34) and identified terpene esters as molecular markers of biomass combustion in aerosols.

In the present work, the homologous series of acid esters extended from C12 to C18, as shown in Figure 11, by the corresponding fragments (m/z: 200, 241, 228, 242, 256, 270 and 284). As reported by Siqueira et al.,23 co-elution of isomers resulted in broadening of peaks that highlights the large contribution of these natural compounds to the studied sediments.

 


Figure 11. Total ion chromatogram of Preto Lake samples displaying homologous series of fatty acids esters and ion chromatogram of m/z 200 ions (didecanoic C12), 214 (tridecanoic, C13), 228 (tetradecanoic, C14), 242 (pentadecanoic, C15), 256 (hexadecanoic, C16), 270 (hepatadecanoic, C17) and 284 (octadecanoic, C18)

 

CONCLUSIONS

Differences in PAH typology found in sediments highlight distinct provenance of these compounds found in the industrial district, lake and river samples. For the lake and river sediments, there are strong indications that major PAH sources are the early transformation of organic matter, derived from plants and biomass combustion. The PAH distribution in the industrial area sediments show evidences of petrogenic sources, such as higher concentrations of PAH and the hopane characteristics. Source investigation based on aromatic and saturated markers confirmed the distinct provenances.

The identification of the homologous series of maturated hopanes revealed the presence of petrogenic residues in the sediment from the Manaus industrial district. In the river and lake samples, however, hopanes predominantly derive from diagenesis of precursors synthesised by vascular plants. The significant presence of bicyclic sesquiterpene cardinenes resulting from diagenesis of biogenic compounds also demonstrates the predominance of biogenic precursors in these samples.

Aromatic molecular markers produced during the early diagenesis of organic matter from terrestrial plants (tricyclic terpenes, such as tetrahydrochrysenes, poliaromatic tetrahydropycenes, diaromatic cadalene, calamanene and 5,6,7,8 tetrahydrocadalene) may lead to errors in the source appraisal of PAH when based solely on determination of alkylated PAH series.

Tricyclic terpenes demonstrate the ubiquitous incidence of biomass combustion and therefore are good makers for tracking history of forest fires in the region.

 

SUPPLEMENTARY MATERIAL

Figures 1S, 2S and 3S are available in the supplementary material at http://quimicanova.sbq.org.br in pdf format, with free access.

 

ACKNOWLEDGEMENTS

The authors are grateful to CNPq and FINEP for financial support. PIATAM project of the Universidade Federal do Amazonas for the logistical support of sample collections. Laboratory of Sedimentary Biogeochemistry of the Department of Geochemistry at Universidade Federal Fluminense, for the support with the granulometric analysis. Especially to Dr. Fernando Pellon de Miranda, COPPE/Federal University of Rio de Janeiro, for encouraging the study.

 

REFERENCES

1. Espinoza-Vilar, R.; Martinez, J. M.; Armijos, E.; Espinoza, J. C.; Filizola, N.; Santos, A.; Willems, B.; Fraizy, P.; Santini, W.; Vauchel, P.; C. R. Geosci. 2018, 350, 4. [Crossref]

2. Melo, M. G.; Castro, L. G.; Reis, L. A.; Costa, G. S.; Silva, F. M. A.; Bolson, M. A.; Chaar, J. S.; Koolen, H. H. F.; Sargentini Junior, E.; Bataglion, G. A.; Chemistry 2020, 2, 274. [Crossref]

3. Souza, H. M. L.; Taniguchi, S.; Bícgo, M. A. C.; Oliveira, L. A.; Oliveira, T. C. S.; Barroso, H. S.; Zanotto, S. P.; J. Braz. Chem. Soc. 2015, 26, 1438. [Crossref]

4. Baumard, P.; Budzinski, H.; Michon, Q.; Garrigues, P.; Burgeot, T.; Bellocq, J.; Estuarine, Coastal Shelf Sci. 1998, 47, 77. [Crossref]

5. Yunker, M. B.; Macdolnald, R. W.; Org. Geochem. 2003, 34, 1525. [Crossref]

6. Bicego, M. C.; Taniguchi, S.; Yogui, G. T.; Montone, R. C.; Silva, D. A. M.; Lourenço, R. A.; Martins, C. C.; Sasaki, S. T.; Pellizari, V. H.; Weber, R. R.; Mar. Pollut. Bull. 2006, 52, 1784. [Crossref]

7. Eganhouse, R. P.; Olaguer, D. P.; Gould, B. R.; Phinney, C. S.; Mar. Environ. Res. 1988, 25, 1. [Crossref]

8. Peters, A. S.; Walter, C. C.; Moldowan, J. M.; The Biomarker Guide: Biomarker and Isotopes in the Environment and Human History, vol. 1, 2nd ed.; Cambridge University Press: Cambridge, 2010.

9. Aboul-Kassim, T. S. T.; Simoneit, B. R. T. In The Handbook of Environmental Chemistry, vol. 5E; Aboul-Kassim, T. S. T.; Simoneit, B. R. T., eds.; Springer: Berlin, 2001. [Crossref]

10. Mackenzie, A. S. In Advances in Petroleum Geochemistry; Brooks, J.; Welte, D., eds.; Academic Press: London, 1984.

11. Simoneit, B. R. T.; Mass Spectrom. Rev. 2005, 24, 719. [Crossref]

12. Henrique, M. C.; Nunomura, R. C. S.; Nunomura, S. M.; Gomes, S. G.; Acta Amazonica 2014, 44, 533. [Crossref]

13. Vargas, F. S.; Almeida, P. D. O.; Aranha, E. S. P.; Boleti, A. P. A.; Newton, P.; Vasconcellos, M. C.; Veiga Junior, V. F.; Lima, E. S.; Molecules 2015, 20, 6194. [Crossref]

14. Ferreira, R. G. S.; Silva Júnior, W. F.; Veiga Junior, V. F.; Lima, A. A. N.; Lima, E. S.; Molecules 2017, 22, 298. [Crossref]

15. Wolf, G. A.; Trendel, J. M.; Albrecht, P.; Tetrahedron 1989, 45, 6721. [Crossref]

16. Bouloubassi, I.; Saliot, A.; Mar. Chem. 1993, 42, 127. [Crossref]

17. Instituto Brasileiro de Geografia e Estatística (IBGE), available at https://cidades.ibge.gov.br/brasil/am/manaus/panorama, accessed on January 31, 2023.

18. Filizola, N.; Guyot, J. L.; Molinier, M.; Guimarães, V.; Oliveira, E. In Amazônia uma Perspectiva Interdisciplinar; Rivas, A.; Freitas, M. A., eds.; EDUA: Manaus, 2002.

19. US Environmental Protection Agency; Method 3540C - Soxhlet Extraction. [Link] accessed on January 31, 2023

20. Ferreira, S. J. F.; Reichardt, K.; Miranda, S. A. F.; Acta Amazonica 1999, 29, 277. [Crossref]

21. Wang, Z.; Fingas, M.; Page, D. S.; J. Chromatogr. A 1999, 843, 369. [Crossref]

22. Wakeham, S.; Schaffner, C.; Ginger, W.; Geochim. Cosmochim. Acta 1980, 44, 415. [Crossref]

23. Iqbal, J.; Overton, E. B.; Gisclair, D.; Environ. Forensics 2008, 9, 63. [Crossref]

24. Budzinski, M. F.; Garrigues, P.; Bernard, G.; Bellocq, J.; Hinrichs, K.; Rullkötter, J. In Proceedings of the Ocean Drilling Program, Scientific Results; Flood, R. D.; Piper, D. J. W.; Klaus, A.; Peterson, L. C., eds.; Texas A&M University: Texas, 1997. [Crossref]

25. Benner, B. A.; Wise, S. A.; Currie, L. A.; Klouda, G. A.; Kline-Dinst, D. B.; Zweidinger, R. B.; Stevens, R. K.; Lewis, C. W.; Environ. Sci. Technol. 1995, 29, 2382. [Crossref]

26. Berg, M. M.; Siqueira, C. Y. S.; Landau, L.; Miranda, F. P.; Mello, T. S.; Aquino Neto, F. R.; Environ. Earth Sci. 2016, 75, 1034. [Crossref]

27. Yunker, M. B.; Macdonald, R. W.; Vingarzan, R.; Mitchell, R. H.; Goyette, D.; Sylvestre, S.; Org. Geochem. 2002, 33, 489. [Crossref]

28. Elias, V. O.; Cardoso, J. N.; Simoneit, B. R. T.; Org. Geochem. 1996, 25, 241. [Crossref]

29. Philp, R. P.; Gilbert, T. D.; Freidrich, J.; Geochim. Cosmochim. Acta 1981, 45, 1171. [Crossref]

30. Lunardi, I.: Síntese do Sesterterpeno Hyrtiosal a partir do Ácido Copálico. Determinação da Configuração Absoluta do Produto Natural; Tese de Doutorado, Universidade Estadual de Campinas, Brasil, 2002. [Crossref]

31. Hostettler, F. D.; Rapper, J. B.; Kvenvolden, K. A.; Luoma, S. N.; Geochim. Cosmochim. Acta 1989, 53, 1563. [Crossref]

32. Alam, M.; Pearson, M. J.; Org. Geochem. 1990, 15, 461. [Crossref]

33. Abas, M. R.; Simoneit, B. R. T.; Elias, V.; Cabral, J. A.; Cardoso, J. N.; Chemosphere 1995, 30, 995. [Crossref]

34. van Aarssen, B. G. K.; Hessels, J. K. C.; Abbnik, O. A.; De Leeuw, J. W.; Geochim. Cosmochim. Acta 1992, 56, 1231. [Crossref]

35. Pereira, A. S.; Siqueira, S. D.; Elias, V. O.; Simoneit, B. R. T.; Cabral, J. A.; Aquino Neto, F. R.; Phytochemistry 2002, 61, 711. [Crossref]

36. Siqueira, D. S.; Pereira, A. S.; Aquino Neto, F. R.; Quim. Nova 2003, 26, 633. [Crossref]

On-line version ISSN 1678-7064 Printed version ISSN 0100-4042
Qu�mica Nova
Publica��es da Sociedade Brasileira de Qu�mica
Caixa Postal: 26037 05513-970 S�o Paulo - SP
Tel/Fax: +55.11.3032.2299/+55.11.3814.3602
Free access

GN1