JBCS



12:24, sáb out 25

Acesso Aberto/TP



Artigo


Comparando a eficiência analítica das técnicas FTIR, UV-Vis, CLAE-DAD e ESI(+)MS no estudo de corantes alimentares
Comparing the analytical efficiency of FTIR, UV-Vis, CLAE-DAD and ESI(+)MS techniques in the study of food dyes

Marcos V. V. LyrioI; Danieli G. DebonaI; Nathália dos S. ConceiçãoI; Francisco M. GomesI; Alan R. PereiraI; Henrique A. FrizzeraI; Jessica L. ReisI; Taila T. GreccoI; Bruna C. PiresI; Valdemar Lacerda Jr.I; Eustaquio V. R. CastroI; Marsele M. IsidoroII; Paulo R. FilgueirasI; Wanderson RomãoI,II,*

I. Departamento de Química, Universidade Federal do Espírito Santo, 29075-910 Vitória - ES, Brasil
II. Instituto Federal do Espírito Santo, 29106-010 Vila Velha - ES, Brasil

Recebido em: 14/10/2022
Aceito em: 04/01/2023

Endereço para correspondência

*e-mail: wandersonromao@gmail.com

RESUMO

Food additives are chemical substances added to improve organoleptic characteristics, in this context, there are several synthetic dyes, such as sunset yellow, tartrazine, erioglaucine, allura red, indigo carmine, and new coccine, that can also be identified through different analytical techniques such as infrared spectroscopy, UV-Vis spectrophotometry, high performance liquid chromatography with diode array detector and mass spectrometry. Therefore, the objective of this work was to compare methods developed for different analytical techniques, in order to identify the one that presents greater efficiency in certain applications. For this, the patterns of the dyes were analyzed, as well as their mixtures and foods that had them. As a result, the CLAE-DAD presents excellent selectivity and linearity of the calibration curves, but it presents higher LD and LQ values when compared to the UV-Vis, in turn the infrared provides information regarding functional groups and bonds. Mass spectrometry showed great capabilities in identifying the molecular formula and better selectivity in the absence of the erioglaucine dye. It is not feasible to indicate the best or worst analytical approach, but it is possible to point out which one is more suitable for each application. Regarding the quantification capacity, chromatography and UV-Vis are good alternatives, but in mixtures containing more than one dye, CLAE-DAD is more suitable due to the better selectivity. Regarding the identification capacity, mass spectrometry, especially FT-ICR MS, is the most appropriate technique to propose molecular formulas due to its high resolution and mass accuracy. The advantage of FTIR was the easier sample preparation, being able to analyze the dyes in the solid state.

Palavras-chave: dyes; food; spectrometry; spectroscopy; chromatography.

INTRODUÇÃO

Nos últimos anos, o aumento populacional somado à mudança no estilo de vida, corroboraram para que alterações consideráveis nas formulações dos produtos alimentícios ocorressem, o que impulsionou as indústrias de alimentos incorporarem ingredientes adicionais (aditivos) em seus produtos.1 Os aditivos são substâncias químicas inseridas aos alimentos processados ou bebidas para melhorar características organoléticas e atender às necessidades de produção, processamento, armazenamento e distribuição do produto.2 Eles podem ser classificados como naturais ou sintéticos, sendo esse último vastamente utilizado por causa de sua estabilidade química, custo reduzido e aplicação simplificada.3 Os corantes sintéticos são conhecidos por sua estabilidade em relação ao pH, calor, luz e solubilidade em água,4 dando aos alimentos colorações mais homogêneas tornando-os mais atraentes aos consumidores.5

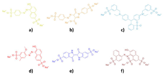
Dentre os diversos corantes sintéticos existentes estão incluídos: o amarelo crepúsculo que tem coloração laranja e é utilizado na fabricação de cereais, balas, xaropes, sucos artificiais em pó nos sabores, morango, abacaxi, tangerina, laranja e maracujá, possuindo boa estabilidade à luz, calor e ácido. Entretanto, ele se descolore na presença de ácido ascórbico e SO2. Já a tartrazina é usada em laticínios, licores, frutas e sucos artificiais nos sabores morango, abacaxi, limão, tangerina, laranja e maracujá, e possui coloração amarelo limão. O azul brilhante, que é sintetizado a partir da tinta do alcatrão do carvão, é utilizado em balas, queijos, gelatinas e refrescos, tem coloração azul turquesa e apresenta alta solubilidade em água. O vermelho 40, que é usado no preparo de alimentos à base de cereais, xaropes, refrigerantes, geléias e sucos artificiais nos sabores goiaba, uva e morango, apresenta boa estabilidade a luz e possui coloração alaranjada. O índigo-carmim apresenta boa estabilidade à luz e ao ácido, entretanto, ele tem baixa estabilidade oxidativa, sendo usado em balas, gelatinas e cereais, e possui coloração azul royal, e o vermelho ponceau que é comumente utilizado em frutas em calda, xaropes, refrigerantes e sucos artificiais nos sabores cereja e morango, tendo estabilidade ao calor, luz e ao ácido e possuindo coloração vermelho vivo.6,7 Todas as fórmulas estruturais dos corantes mencionados acima estão apresentadas na Figura 1.

 


Figura 1. Fórmulas estruturais dos corantes: (a) amarelo crepúsculo; (b) tartrazina; (c) azul brilhante; (d) vermelho 40; (e) índigo-carmim e (f) vermelho ponceau

 

Apesar dos corantes sintéticos desempenharem um papel importante na indústria alimentícia, quando consumidos em excesso podem ser prejudiciais ao organismo humano causando efeitos genotóxicos.8 Por isso, a Food and Drug Administration (FDA)9 e a World Health Organization (WHO)10 avaliam a quantidade aceitável de ingestão desses corantes,7 o que torna necessário controlar o conteúdo dos mesmos em alimentos por meio de análises químicas.4

Nos últimos anos, diferentes técnicas analíticas têm sido utilizadas para identificar e/ou quantificar corantes sintéticos em alimentos. Entre elas, se destacam a espectroscopia Raman,11 a espectroscopia na região do infravermelho com transformada de Fourier (FTIR),12 a espectroscopia ultravioleta-visível (UV-Vis),13 a cromatografia líquida de alta eficiência com detector de arranjo de diodos (CLAE-DAD).14

Diante disso, um dos principais objetivos deste trabalho foi comparar o desempenho analítico de técnicas como FTIR, UV-Vis, CLAE e EM (Fourier transform ion cyclotron resonance mass spectrometry (FT-ICR MS) e linear ion trap mass spectrometry (LTQ MS)), estudadas na disciplina de Análise Orgânica do Programa de Pós-Graduação em Química da Universidade Federal do Espírito Santo (PPGQUI-UFES), na identificação de seis corantes sintéticos (amarelo crepúsculo; tartrazina; azul brilhante; vermelho 40; índigo-carmim e vermelho ponceau) em sua forma pura, como misturas e em suco em pó e gelatina, com intuito de estudar os fenômenos físico-químicos e interpretá-los em diversas técnicas analíticas, fomentando a introdução à pesquisa acadêmica, a colaboração e o intercâmbio de conhecimentos entre pesquisadores de diversas áreas da química, para explorar e indicar a melhor abordagem para discriminação da presença desses corantes em amostras de alimentos.

 

PARTE EXPERIMENTAL

Materiais e reagentes

Foram utilizados os corantes amarelo crepúsculo (pureza 90%); tartrazina (85%); azul brilhante (padrão analítico); vermelho 40 (80%); índigo-carmim (85%) e vermelho ponceau (75%), da marca Sigma-Aldrich, metanol e acetonitrila com grau de pureza analítica superior a 99,5% (Vetec Química Fina Ltda, Brasil). Todas as soluções foram preparadas com água ultrapura com resistividade não inferior a 18,2 MΩ cm (a 25 °C) obtida pelo sistema de purificação por osmose reversa (Sartorium Arium mini, Göttingen, Germany). Utilizou-se quatro sabores de suco em pó da marca Tang®: laranja, limão, abacaxi e maracujá, cuja formulação inclui compostos tais como açúcar, aspartame, ácido cítrico e os corantes amarelo crepúsculo e tartrazina. Nos experimentos com as gelatinas, utilizou-se cinco sabores: cereja, morango, limão, abacaxi e maracujá da marca Royal®, cujos principais ingredientes são açúcar, gelatina, vitamina C, aspartame e os corantes vermelho 40, amarelo crepúsculo, azul brilhante e tartrazina.

Cromatografia líquida de alta eficiência (CLAE-DAD)

Preparo das amostras

Soluções estoque de 1000 mg L-1 para os corantes amarelo crepúsculo; tartrazina; azul brilhante; vermelho 40; índigo-carmim e vermelho ponceau foram preparadas solubilizando 10 mg dos respectivos corantes em 10 mL de água destilada. As soluções de trabalho, para construção da curva analítica, foram preparadas misturando os corantes por diluição apropriada das soluções estoque até atingirem as concentrações de 1; 5; 10; 50 e 100 µg mL-1. Todas essas soluções foram devidamente armazenadas de modo a permanecerem estáveis até o momento da análise.

Instrumentação

Os cromatogramas foram adquiridos utilizando um CLAE da Agilent modelo 1260 (Palo Alto, CA, EUA) consistindo de bomba quaternária (G1311C), DAD (G1260D) e injetor automático (G1329B). Os dados foram coletados e analisados no software Agilent OpenLab Control Painel. Para as análises foi utilizada uma coluna Phenomenex Gemini C18 (250 mm × 4,6 mm × 5 µm) com temperatura de 35 °C, volume de injeção de 5 µL e vazão de 1 mL min 1. A fase móvel consistiu de 0,1 mol L-1 de acetato de amônio (fase móvel A) e acetonitrila:metanol (50:50, v/v - fase móvel B). Antes de ser utilizada, a fase móvel A foi submetida a filtração com filtro de seringa descartável de 0,22 µm. As condições do gradiente foram ajustadas conforme Tabela 1.

 

 

Os comprimentos de ondas específicos para cada corante foram de 480, 430, 610, 430, 610 e 510 nm para amarelo crepúsculo, tartrazina, azul brilhante, vermelho 40, índigo-carmim e vermelho ponceau, respectivamente.

No que se refere a coluna cromatográfica, a sua eficiência é verificada diante dos pratos teóricos. Os mesmos podem ser calculados pela Equação 116,17 ou obtidos pelo equipamento após a leitura.

onde: N = número de pratos teóricos, dr = distância de retenção e W = largura do pico na altura da linha de base.

Foram construídas curvas de calibração com a mistura dos corantes em cinco níveis de concentração: 1; 5; 10; 50 e 100 µg mL-1 e determinados os limites de detecção (LD) e quantificação (LQ),18,19 conforme apresentados nas Equações 2 e 3, respectivamente.

sendo: LD = limite de detecção, S = desvio padrão da intercessão e m = inclinação da curva analítica.

sendo: LQ = limite de quantificação, S = desvio padrão da intercessão e m = inclinação da curva analítica.

Espectrometria de massas (EM)

Preparo das amostras

Pesou-se 10 mg de cada amostra e diluiu-se em um balão de 10 mL. Posteriormente, 200 µL da solução foi diluída para um volume total de 1 mL da mistura de água e metanol, resultando em uma concentração de 0,2 mg mL-1. Logo após, preparou-se uma mistura com 200 µL de cada um dos seis corantes para explorar a seletividade do método.

ESI(+)FT-ICR MS

Os espectros de massa foram adquiridos no espectrômetro de massas FT-ICR MS modelo 9,4T Solarix (Bruker Daltonics, Bremen, Alemanha) acoplado a uma fonte de ESI configurada para operar no modo positivo de ionização (ESI(+)), sob faixa de massas m/z 154 1500 para a tartrazina, índigo-carmim, azul brilhante e vermelho 40 e m/z 202-1500 para o amarelo crepúsculo e o vermelho ponceau. As condições de operação da fonte ESI foram: i) pressão do gás nebulizador de 1,5 bar; ii) temperatura do gás de secagem de 200 °C; iii) voltagem do capilar de 3,8 kV para o amarelo crepúsculo e vermelho ponceau, e 4 kV para as demais; iv) tempo de acumulação de íons de 0,025 s para vermelho ponceau; 0,02 s para a tartrazina, índigo-carmim e vermelho 40; 0,015 s para amarelo crepúsculo e 0,001 s para azul brilhante.

Os espectros de ESI(+)FT-ICR MS foram adquiridos acumulando 16 varreduras de sinais transitórios no domínio do tempo em conjuntos de dados de 4 mega pontos para amarelo crepúsculo e vermelho ponceau e 2 mega pontos para os demais. Os espectros foram calibrados externamente com uma solução padrão de arginina sob uma faixa de m/z 154-2000, tempo de acumulação de íons de 0,005 s e voltagem do capilar de 3,0 kV. O software utilizado para aquisição e processamentos dos dados foi o Compass Data Analysis (Bruker Daltonics, Bremen, Alemanha), onde foram determinados o erro de massas, a resolução e a composição elementar a partir dos valores de m/z, fixando um erro máximo de 2 ppm.

A exatidão de massas foi definida com base no erro de massas, calculado via software Compass Data Analysis, a partir da Equação 4.

ESI(+)LTQ MS

Para a aquisição de dados, usou-se um espectrômetro de massa LTQ XLT (Thermo Fisher Scientific, EUA), onde as amostras foram injetadas diretamente na fonte de ESI configurada para operar no modo positivo de ionização, ESI(+). A faixa dinâmica de aquisição de íons no analisador foi m/z 50-1500. Os demais parâmetros da fonte ESI foram: i) voltagem da fonte = 4 kV; ii) temperatura do probe de 110 °C; iii) taxa de fluxo do gás = 5 µL min-1; iv) fluxo de gás auxiliar = 2 (unidade arbitrária); v) taxa de fluxo de gás de varredura = 0,01 (unidade arbitrária); vi) voltagem do capilar = 19 V; vii) temperatura capilar de entrada = 275 °C e viii) voltagem de tube lens = 200 V.

A calibração do equipamento foi realizada usando uma solução de CalMix LTQ positivo sob uma faixa de massas de m/z 154-200, tempo de acumulação de íons de 0,005 s e voltagem do capilar de 4,0 kV. Os espectros de massa obtidos foram processados usando o programa Xcalibur, versão 2.2 (Thermo Scientific, Bremen, Alemanha).

Para os experimentos de fragmentação (MS/MS) utilizou-se hélio como gás de colisão e selecionou-se os seguintes fragmentos: m/z 453 e 475 do corante amarelo crepúsculo; m/z 535 da tartrazina; m/z 467 do índigo-carmim; m/z 793 e 815 do azul brilhante; m/z 497 e 519 do vermelho 40, e m/z 605 e 617 do corante vermelho ponceau.

Espectroscopia na região do infravermelho com transformada de Fourier (FTIR)

Preparo das amostras

Primeiramente, seis amostras dos corantes em pó foram analisadas. Posteriormente, foram preparadas e analisadas soluções de todos os corantes na concentração de 1000 mg L-1 em metanol: água (50:50, v/v). A partir das soluções dos corantes tartrazina, índigo-carmim e vermelho ponceau foram construídas curvas de calibração com concentrações de 1; 5; 10; 50 e 100 µg mL-1 e em seguida analisadas por FTIR. Todas as análises foram realizadas em triplicata.

Instrumentação

Para as análises por infravermelho médio foi utilizado o equipamento FTIR Cary 630, fabricado pela Agilent Technologies (Santa Clara, CA, EUA), utilizando um acessório de diamante ATR com ângulo de reflexão de 45°, 1 mm de diâmetro, área ativa de 200 µm e penetração de aproximadamente 2 µm na amostra. A região espectral foi de 4000 a 650 cm-1 com 32 varreduras e resolução de 4 cm-1. As amostras sólidas foram colocadas diretamente sobre o acessório de ATR para obtenção dos espectros. Para as soluções, um volume de 50 µL foi adicionado sobre o suporte de ATR.

Análise multivariada

Os conjuntos espectrais foram pré-processados utilizando a primeira derivada com base no algoritmo de Savitzky-Golay20 aplicando um polinômio de segunda ordem em uma janela de 11 pontos. Após o pré-tratamento, os espectros foram divididos em dois grupos: 70% (n = 17) para o conjunto de calibração e 30% (n = 7) para o conjunto de teste, utilizando o algoritmo de Kennard-Stones.21 Os dados foram centrados na média.

A calibração foi realizada utilizando o modelo PLS (partial last squares), contudo antes foi necessário determinar o número correto de variáveis latentes para evitar subajuste, ou seja, falta de ajuste do modelo causado por um baixo número de variáveis latentes; ou sobreajuste, onde o modelo se ajusta em excesso ao conjunto de treinamento em decorrência do maior número de variáveis latentes.22 Com isso, utilizou-se como critério de seleção a quantidade de variáveis que minimizam a raiz quadrada média do erro da validação cruzada (RMSECV),23 baseando-se no método de validação cruzada venetian blinds k-fold e ponderando-se em evitar sobreajustes ou subajustes.

O modelo foi avaliado em termos de coeficiente de determinação (R2), LD e LQ, raiz quadrada média do erro de calibração (RMSEC) e raiz quadrada média do erro de predição (RMSEP), definidos de acordo com Portela e colaboradores24 e de Souza e colaboradores.23

Todos os cálculos foram realizados no software MATLAB R2015a e utilizando o pacote LibPLS.25

Espectroscopia na região do ultravioleta-visível (UV-Vis)

Preparou-se soluções dos padrões dos corantes em 10 mL de água deionizada cada, com concentrações que variaram de 1 a 50 µg mL 1. Estas soluções foram utilizadas para obtenção dos espectros de cada corante e seleção dos respectivos comprimentos de onda com absorbância máxima (λmáx). Para validação do método, foram construídas curvas de calibração para 36 soluções desses corantes, considerando a faixa de 1 a 50 µg mL-1. O valor de LD e LQ foi calculado conforme as Equações 2 e 3 respectivamente.

Para a análise do UV-Vis e obtenção dos espectros foi utilizado o equipamento espectrofotômetro Cary 60, fabricado pela Agilent Technologies (Santa Clara, CA, EUA). A região espectral foi de 800 a 200 nm, utilizando uma cubeta de quartzo com 1 cm de caminho óptico.

 

RESULTADOS E DISCUSSÃO

Espectroscopia na região do ultravioleta-visível (UV-Vis)

Os comprimentos de onda das bandas de absorção podem ser correlacionados com os tipos de ligação de espécies químicas.26

As estruturas moleculares dos corantes são compostas por dois componentes cruciais, os cromóforos (responsáveis pela produção de cor) e os auxôcromos, que podem não só complementar o cromóforo, mas também tornar a molécula solúvel em água e dar maior afinidade de fixação às fibras.27 A etapa de obtenção dos espectros de absorção no visível para a solução de cada um dos padrões dos corantes consistiu em análises que variaram o comprimento de onda de 200 a 800 nm, os quais estão apresentados na Figura 2.

 


Figura 2. Espectro de absorção molecular dos corantes na região do UV-Vis em suas respectivas concentrações, onde: (a) tartrazina; (b) índigo-carmim; (c) vermelho ponceau; (d) vermelho 40; (e) azul brilhante e (f) amarelo crepúsculo

 

Os comprimentos de onda máximos obtidos: tartrazina (426 nm), índigo-carmim (609 nm), vermelho ponceau (507 nm), vermelho 40 (541 nm), azul brilhante (624 nm), e para o amarelo crepúsculo (463 nm). Os corantes apresentaram sinais de bandas significativos, proporcionando uma visão qualitativa de cada um.

A partir dos comprimentos de onda observados, podemos estimar qual cor cada corante apresentará, visto que, o equipamento de espectroscopia UV-Vis mede o comprimento de onda absorvido, possibilitando estimar a cor dos corantes através da radiação refletida pelo corante, conforme apresentada na Tabela 2.

 

 

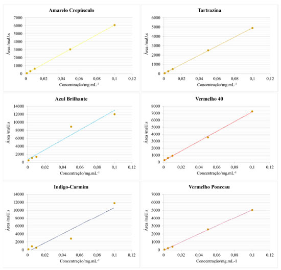
Todos os corantes analisados apresentaram coloração do complexo semelhante ao já descrito na literatura, evidenciando a acurácia dos valores encontrados. Para obtenção das curvas analíticas, Figura 3, utilizou-se os espectros das seis soluções de cada corante, onde extraiu-se as absorbâncias das soluções nos comprimentos de onda máximos.

 


Figura 3. Curvas de calibração para as soluções dos corantes nas faixas de 0,001 a 0,05 mg mL-1

 

A curva evidencia uma linearidade em cada corante. Os corantes índigo-carmim e amarelo crepúsculo apresentaram linearidade a partir das menores concentrações; a tartrazina, vermelho 40 e vermelho ponceau apresentaram linearidade a partir de 0,007 mg mL-1; já o corante azul brilhante somente apresentou linearidade a partir de 0,020 mg mL-1. Através da Tabela 3, observa-se os valores de R2 para cada curva. Os corantes apresentaram boa linearidade, em maioria a partir de 0,010 mg mL-1. A técnica possibilitou a determinação e quantificação dos mesmos, porém, em baixa concentração.

 

 

Outra forma de identificação dos corantes dá-se através da mistura binárias e quaternárias dos mesmos, visto que, cada corante se apresentará na banda de absorção máxima, conforme exemplificado na Figura 4.

 


Figura 4. Espectro de absorção molecular da mistura binária dos corantes na região do visível, onde: (a) mistura amarelo crepúsculo + vermelho ponceau; (b) índigo-carmim + vermelho ponceau; (c) tartrazina + azul brilhante e (d) uma mistura quaternária contendo vermelho ponceau + índigo-carmim + amarelo crepúsculo + tartrazina

 

Para as misturas de tartrazina + azul brilhante e índigo carmim + vermelho ponceau percebe-se uma boa separação das bandas, facilitando a diferenciação dos mesmos; enquanto para a mistura de amarelo crepúsculo + vermelho ponceau, por possuírem valores máximos de absorção próximos, observa-se uma junção das bandas, dificultando a interpretação visual.

Para a mistura quarternária notamos uma dificuldade de separação das bandas onde estão localizados os corantes tartrazina, amarelo crepúsculo e vermelho ponceau pois os mesmos possuem valores máximos de absorção próximos, dificultando a interpretação visual; o corante índigo-carmim apresenta uma banda com melhor definição.

Cromatografia líquida de alta eficiência (CLAE-DAD)

A CLAE vem sendo utilizada em estudos com corantes devido a sua alta sensibilidade, boa repetibilidade e capacidade de detectar vários pigmentos simultaneamente.4 Desta forma, os cromatogramas típicos dos corantes analisados, são apresentados na Figura 5 de forma individualizada.

 


Figura 5. Cromatogramas das soluções padrão (1000 mg L-1) para os corantes (a) amarelo crepúsculo: 480 nm; (b) tartrazina: 430 nm; (c) azul brilhante: 610 nm; (d) vermelho 40: 510 nm; (e) índigo-carmim: 610 nm e (f) vermelho ponceau: 510 nm

 

A tartazina foi o primeiro corante a ser eluído (7,14 min), seguido do índigo-carmim (9,87 min), vermelho ponceau (10,97 min), amarelo crepúsculo (11,53 min), vermelho 40 (12,46 min) e azul brilhante (14,85 min), isso porque, respectivamente apresentaram menor tempo de retenção, ou seja, menor interação com a coluna, corroborando com o estudo de Cheibub e colaboradores14 que apresentaram resultados semelhantes.

Observa-se na Figura 5 que os primeiros corantes a eluírem foram os azos seguidos dos corantes não azo, considerando uma exceção para o corante índigo-carmim (não azo), que foi o segundo composto a eluir pela coluna cromatográfica, devido à presença de cetonas e funções de amina que o caracterizam polar em relação aos demais corantes, assim como a tartrazina (primeiro composto a eluir), que além disso é um corante com o grupo azo, tornando-o com caráter mais polar que os demais compostos analisados.19 O último corante a ser eluído, possui um forte caráter apolar, pois é um derivado de triafenilmetano.28 Além disso, não possui em sua estrutura grupos funcionais que poderiam proporcionar maior polaridade, como cetonas, logo ele interage por mais tempo com a coluna C18. Ainda sobre o corante azul brilhante (Figura 5(c)), observa-se a presença de um pequeno pico ao lado do pico majoritário no cromatograma, que deve ser consequência dos isômeros do enxofre em sua estrutura química.29 Outra questão que pode explicar a maior apolaridade do azul brilhante é seu arranjo molecular simétrico, que promove o balanço das cargas.

Além da eluição, o fator simetria também é um parâmetro a ser analisado, uma vez que diz sobre a qualidade dos dados obtidos, e é dado pela distância do pico da linha central ao início do mesmo, sendo o valor igual a 1,0 considerado uma simetria ideal.30 Logo temos que dentre todos os corantes analisados, o azul brilhante (1,18) e vermelho ponceau (1,00) apresentaram melhor simetria em detrimento aos demais. Em contrapartida, os corantes tartrazina (0,81) e amarelo crepúsculo (0,87) apresentaram menor simetria, o que pode ter sido consequência de fatores como a mudança da composição da fase móvel, ou ainda, efeitos extra-coluna.31

Os pratos teóricos avaliam a eficiência da coluna, seu valor (N) depende tanto do analito como das condições cromatográficas, sendo que N > 2000 equivale a uma eficiente separação cromatográfica.30 Assim os resultados para todos os corantes apresentaram-se eficientes, sendo o azul brilhante o corante de destaque quanto a esse parâmetro.

Os cromatogramas das misturas dos corantes são apresentados na Figura 6, enquanto a Tabela 1S apresenta a descrição da área para cada corante identificado nesses espectros.

 


Figura 6. Cromatogramas das misturas com concentração 0,001 mg mL-1 com os corantes: (a) amarelo crepúsculo; (b) tartrazina; (c) azul brilhante; (d) vermelho 40; (e) índigo-carmim e (f) vermelho ponceau em cinco níveis de concentração: 0,001; 0,010; 0,100; 0,005; 0,050 mg mL-1, separados e detectados por um CLAE-DAD com comprimentos de onda de 430 nm, 480 nm, 510 nm e 610 nm

 

A Figura 6, demonstra a eficiência da técnica CLAE acoplada a um DAD para separação e identificação de corantes em misturas. Observa-se que os dados apresentados estão em conformidade com os cromatogramas dos padrões apresentados na Figura 5. Independente da concentração da mistura no comprimento de 430 nm, no tempo de retenção entre 7,055 e 7,141 min, temos a presença do pico responsável pela tartrazina; já no comprimento de 480 nm, observa-se o tempo de retenção entre 11,524 a 11,533 min, onde se encontra o amarelo crepúsculo. Em 510 nm, temos a presença de dois picos com tempos de retenção entre 10,959 a 10,969 min e 12,451 a 12,459 min, responsáveis por indicar a presença do vermelho ponceau e vermelho 40, respectivamente. Por fim, em 610 nm, os corantes índigo-carmim e azul brilhante se apresentaram nos tempos de retenção entre 9,864 a 9,874 e 14,823 a 14,852 min, respectivamente.

É possível ainda observar na Tabela 1S que as áreas dos picos variaram para todos os corantes em função da concentração da mistura, sendo um comportamento comum a todos eles: quanto maior a concentração, maior a área. Áreas cromatográficas são medidas para se estabelecer as quantidades de analitos presentes nas amostras analisadas.32 Isso mostra que a CLAE é uma importante técnica para análises de misturas com diferentes concentrações, como é o caso em questão.

De forma complementar, curvas de calibração foram traçadas para as soluções dos corantes a partir das áreas dos picos cromatográficos, conforme estudo de Bonan e colaboradores.29 Percebe-se que os valores dos coeficientes de determinação (R2) se encontram na faixa de 0,92-1,00, conforme mostra a Tabela 4 e Figura 7. Os valores de LD e LQ variaram de 0,4-62,1 µg mL-1 e de 7,2-188,1 µg mL-1 respectivamente, e se assemelham com os resultados encontrados por Bento, Lima e Paim19 e Prado e colaboradores.28 Isso sugere que o método desenvolvido para análise dos corantes por CLAE é eficiente.

 

 

 


Figura 7. Curvas analíticas para as soluções da mistura dos corantes nas faixas de 0,001 a 0,1 mg mL-1

 

Espectrometria de massas

Análise dos padrões de corantes

No intuito de avaliar as capacidades da espectrometria de massas no estudo de corantes, procedeu-se a análise dos espectros de ESI(+)FT-ICR MS e ESI(+)LTQ MS, as quais possibilitaram a avaliação da exatidão de massas, capacidade de obtenção da composição elementar e seletividade em uma mistura. Observamos na Figura 8 (a)-(f) os espectros gerados no ESI(+)FT-ICR MS para os corantes amarelo crepúsculo, tartrazina, índigo-carmim, azul brilhante, vermelho 40 e vermelho ponceau onde foram detectados na forma de aduto sodiado, [M+Na]+ (m/z 474,96170; 556,93993; 488,94120; 815,11182; 518,98828; 626,91614, respectivamente) e na forma de dímero sodiado, com exceção dos corantes azul brilhante e vermelho ponceau, Figura 8(d) e (f), respectivamente, que não apresentaram este sinal. No entanto, para o ESI(+)LTQ MS, todos os compostos, Figura 8 (g)-(l), foram detectados na forma protonada, [M+H]+ (m/z 453,04345; 535,00411; 467,02078; 793,24487; 497,08978; 605,01723, respectivamente) e sodiada [M+Na]+ (m/z 475,04377; 557,00284; 489,03855; 815,23193; 519,09122; 627,02389, respectivamente). Somente as espécies amarelo crepúsculo, tartrazina, índigo-carmim, vermelho 40 e vermelho ponceau, Figura 8 (g)-(i) e Figura 8 (k)-(l) foram detectadas na forma de dímero sodiado [2M+Na]+, (927,02810; 1090,81447; 955,07559; 1015,0848; 1230,85907, respectivamente). Adicionalmente, as espécies azul brilhante e vermelho 40 não apresentaram íons na forma de dímero sodiado e dímero protonado, respectivamente, na análise por ESI(+)LTQ MS.

 


Figura 8. Espectros dos corantes para o ESI(+)FT-ICR MS em (a), (b), (c), (d), (e) e (f), e para o ESI(+)LTQ MS em (g), (h), (i), (j), (k) e (l). Em vermelho estão as casas decimais com a incerteza da leitura

 

A formação de clusters, ou seja, moléculas protonadas, adutos sodiados, dímeros protonados e sodiados, são resultados esperados do processo de ionização por electrospray (ESI),33,34 que podem ser favorecidos dependendo do tipo de fabricante da fonte de ionização, como provado neste trabalho e por Lyrio e colaboradores.35

Em termos de determinação da composição elementar, os sinais identificados no ESI(+)FT-ICR MS, Tabela 5, apresentam erros absolutos médios para os seis corantes inferiores aos apresentados pelos sinais identificados no ESI(+)LTQ MS (0,602 e 115,584 ppm, respetivamente). É possível observar que ESI(+)FT-ICR MS apresentou valores de resolução na ordem de 105, maiores que os apresentados no ESI(+)LTQ MS (ordem de 103). A maior exatidão de massas demanda maior poder de resolução para sustentar que o sinal adquirido corresponde a apenas um composto,36 dito isso, o analisador ESI(+)FT-ICR MS é o mais adequado dentre os estudados para determinação da massa exata, e portanto, da composição elementar de moléculas.35

 

 

Os equipamentos que comportam analisadores de massas baseados no princípio da ressonância, como o FT-ICR MS, são mais caros quanto a manutenção e instalação, além de maior complexidade de operação, porém apresentam altíssima resolução e exatidão de massas.36,37 Em contrapartida, os analisadores do tipo quadrupolo ion trap linear (LTQ) possuem menor custo, são mais compactos, fáceis de operar, possuem alta sensibilidade e possibilitam experimentos de multiestágio de fragmentação (MSn) contudo, apresentam menor resolução, exatidão e limite de massas quando comparado ao FT ICR MS.35,37,38 A Tabela 5 e a Figura 1S descrevem esses dados.

Análise de misturas dos padrões

A seletividade do método é relevante quando há sistemas com múltiplos componentes e reflete na capacidade de detectar ou quantificar um analito na presença de interferentes.39 Dessa forma, analisando-se os espectros de massas da mistura dos seis corantes, Figura 9, há prevalência dos sinais [M+Na]+ (m/z 815) no ESI(+)FT-ICR MS e ESI(+)LTQ MS e [M+H]+ (m/z 793) no ESI(+)LTQ MS, referentes ao azul brilhante, indicando que houve uma supressão dos demais corantes.

 


Figura 9. Espectros da mistura de corantes no (a) ESI(+)FT-ICR MS e (b) ESI(+)LTQ MS

 

Ao excluir o azul brilhante da mistura foi possível identificar, Figura 10, os sinais dos demais corantes (amarelo crepúsculo, tartrazina, índigo-carmim, vermelho 40 e vermelho ponceau) na forma de aduto sodiado [M+Na]+, m/z 475,02563; 557,00284; 489,03855; 519,07680 e 627,00473, respectivamente, e também o sinal protonado [M+H]+ (m/z 497,03918 do corante vermelho 40).

 


Figura 10. Espectro de massas da mistura dos corantes: amarelo crepúsculo (M1 = C16H10N2Na2O7S2); tartrazina (M2 = C16H9N4Na3O9S2); índigo-carmim (M3 = C16H8N2Na2O8S2); vermelho 40 (M4 = C18H14N2Na2O8S2) e vermelho ponceau (M5 = C16H8N2Na2O8S2), analisados no ESI(+)LTQ MS. Em vermelho estão as casas decimais com a incerteza da leitura

 

A supressão iônica é um fator que afeta o desempenho quantitativo de um detector de massas e tem probabilidade de efeito danoso atenuada em fontes de ionização por electrospray (ESI), onde alguns materiais não-voláteis, como sais, podem afetar tanto na formação das gotículas quanto na evaporação do solvente presente nelas, interferindo na quantidade de íons que efetivamente atingem o detector.40-42

Outro fator que afeta a capacidade de resposta do electrospray é o logaritmo negativo da constante de ionização de base (pkb), menores valores de pkb indicam maior capacidade de resposta. Um menor valor de pkb (maior kb) indica que os produtos são favorecidos no equilíbrio químico, enquanto que maiores valores de pkb (menor kb) indicam que o analito mantem-se preferencialmente no estado neutro.43 Os resultados obtidos podem indicar que o corante azul brilhante possui maior facilidade na ionização por conta de ser supostamente de caráter mais básico, além disso, ele se diferencia das demais moléculas principalmente por ser um sal iônico, já possuindo uma carga natural em sua estrutura.44

Análise de sucos e gelatinas comerciais

Sucos e gelatinas comerciais são produtos que contém em sua formulação corantes sintéticos cuja finalidade está na formação do aspecto visual do produto como ponto de seleção por parte dos consumidores. A cor está relacionada com muitos aspectos da vida cotidiana, incluindo a escolha de alimentos.45,46

Nas quatro amostras de sucos comerciais (abacaxi, laranja, maracujá e limão) lê-se em seus respectivos rótulos a presença dos corantes tartrazina e amarelo crepúsculo, com exceção do suco de limão, que só continha o corante tartrazina. Entretanto, na análise por ESI(+)LTQ MS, Figura 11 (a)-(c), observa-se nas amostras dos sucos de abacaxi, laranja, maracujá e limão a presença do sinal de íon protonado [M1+H]+ (m/z 295) e [M1+Na]+ (m/z 317 para o suco de abacaxi e laranja) ambos referente ao aspartame (C14H18N2O5; Mw = 294,30 g mol-1), e sinal de um aduto sodiado [M2+Na]+ (m/z 365) referente a sacarose (C12H22O11; Mw = 342,30 g mol-1), dímero sodiado [2M2+Na]+ (m/z 706, com exceção do suco de limão) também referente a sacarose, e sinais de aduto sodiado [M4+Na]+ (m/z 214) referente ao ácido cítrico (C6H8O7; Mw = 192,12 g mol-1).

 


Figura 11. Espectros de ESI(+)LTQ MS de sucos em pó comerciais dos sabores: (a) abacaxi; (b) laranja; (c) maracujá e (d) limão. Em vermelho estão as casas decimais com a incerteza da leitura

 

A detecção da tartrazina, foi possível apenas nas amostras de suco de abacaxi, laranja, maracujá e limão, [M3+Na]+ (m/z 557), e [2M3+Na]+ (m/z 1090,54294). O último sinal foi apenas observado para o suco de maracujá, Figura 11(c). Logo não foi possível por ESI(+) via infusão direta a detecção do corante amarelo crepúsculo em nenhuma das amostras. Isso se deve principalmente a grande quantidade de compostos químicos presentes em uma amostra comercial que possuem diferentes potenciais de ionização e concentrações.

Cinco amostras comerciais de gelatina (abacaxi, cereja, limão, maracujá e morango) foram também analisadas, onde lê-se nos rótulos a presença do corante vermelho 40 (cereja e morango), azul brilhante (cereja e limão), amarelo crepúsculo (morango, limão, abacaxi e maracujá) e tartrazina (limão, abacaxi e maracujá). Entretanto os resultados de ESI(+)LTQ MS (Figura 12(a)-(e)), detectaram apenas o corante vermelho 40 (sinal do íon protonado [M3+H]+ de m/z 497) para as gelatinas de abacaxi, cereja, limão e morango, e o corante tartrazina (sinal [M4+Na]+ de m/z 557,09394) referente a gelatina de limão. Os corantes azul brilhante e amarelo crepúsculo não foram detectados em nenhuma das amostras. O espectro da gelatina de maracujá não apontou nenhum dos corantes estudados.

 


Figura 12. Espectros de massa de gelatinas comerciais analisadas por ESI(+)LTQ MS com sabores: (a) abacaxi; (b) cereja; (c) limão; (d) maracujá e (e) morango. Em vermelho estão as casas decimais com a incerteza da leitura

 

Percebemos a presença do corante vermelho 40 em amostras que, segundo o rótulo dos produtos, não deveria estar presente. São elas: abacaxi e maracujá. Atribuímos a uma provável falha industrial no controle de qualidade dessas amostras, onde esse corante não deveria estar presente. O rigor no controle na área de alimentos visa a proteção à saúde do consumidor, com base na rotulagem e listagem de ingredientes de todo alimento comercializado.47

De modo semelhante aos resultados observados para as amostras de sucos comerciais, estão presentes também nos espectros das gelatinas o sinal sodiado [M2+Na]+ (m/z 365) referente a sacarose e o sinal [M1+H]+ (m/z 295) referente ao aspartame. Os sinais dos corantes foram pouco intensos e suprimidos pelos sinais da sacarose e aspartame, principalmente por causa das diferenças de concentração. Segundo a Agência Nacional de Vigilância Sanitária (ANVISA), por meio da Resolução RDC nº 259 de 2002, a listagem de ingredientes nos rótulos deve seguir uma ordem decrescente, ou seja, do composto em maior quantidade para o de menor.47 Nesse caso, os rótulos dos produtos comerciais estudados apontam, por meio da ordem dos ingredientes, que a sacarose e o aspartame estão em maiores quantidades do que os corantes (compostos de menor concentração na formulação dos ingredientes), justificando a maior intensidade desses sinais.

Espectroscopia na região do infravermelho com transformada de Fourier (FTIR)

As análises por FTIR foram realizadas com o objetivo de enfatizar a estrutura dos seis corantes apresentados neste estudo, isso porque, essa técnica é pautada na interação da radiação eletromagnética com as moléculas que possuem momentos de dipolo permanente ou induzido e/ou diferentes estados vibracionais o que possibilita a identificação de grupos funcionais presentes na mesma.48

A Figura 13 apresenta os espectros vibracionais na região do infravermelho médio obtidos para as amostras de corantes sintéticos e suas respectivas estruturas moleculares.

 


Figura 13. Espectros vibracionais na região do infravermelho médio para amostras de corantes

 

Na Tabela 6 encontra-se os principais comprimentos de onda identificados para cada corante e suas respectivas atribuições para caracterização da amostra.

 

 

Os resultados encontrados, corroboram com os estudos apresentados por Campos6 e Vlase e colaboradores,51 que também utilizaram a técnica de FTIR na região do médio para caracterizar corantes alimentícios, e encontraram bandas de absorção compatíveis com as apresentadas neste estudo. É também importante enfatizar que essas mesmas bandas dizem respeito aos grupos funcionais presentes nas estruturas dos corantes analisados, conforme mostra Figura 13, e que são compatíveis com os grupos encontrados no estudo de Campos.6

Existem bandas alargadas que representam grupos funcionais que são comuns a praticamente todos os corantes, elas aparecem entre os comprimentos de onda de 1000 a 1200 cm-1 e indicam a presença de ligação S=O, presentes em aromáticos, ou ainda ligações C-N demonstrando que há semelhanças estruturais nas moléculas dos corantes estudados. Entretanto, existem bandas características para cada corante, o que permite a identificação individual deles como reportado por Campos6 e Lohumi e colaboradores.52

A Figura 14 mostra o espectro de FTIR para soluções dos corantes tartrazina, indigo-carmim e vermelho ponceau em metanol e água 50:50, com concentrações variando de 1 a 0,001 mg mL-1, onde é possível identificar e destacar quatro bandas vibracionais: 2952 e 2840 cm-1, que dizem respeito às ligações de C-H e CH3 respectivamente, e estão presentes na estrutura de todos os corantes, a banda 1630 cm-1 se refere ao grupo C=C de aromáticos50 e, por fim, a banda mais evidente em 1015 cm-1 que diz respeito aos modos de vibração relacionados ao estiramento do grupo C-OH,53 podem estar relacionados ao metanol adicionado como solvente da solução.

 


Figura 14. Espectros de absorção na região do infravermelho médio para amostras de corantes tartrazina, índigo-carmim e vermelho ponceau nas concentrações: 0,001; 0,005; 0,010; 0,050 e 0,100 mg mL-1

 

Calibração multivariada

O modelo e calibração PLS foi construído para quantificar o teor de corante em uma solução. O primeiro modelo construído, Figura 15(a), foi para o corante vermelho ponceau com um número ótimo de 4 variáveis latentes, os valores de RMSEC, RMSEP, R2c e R2p foram iguais a 0,0608 mg mL-1; 0,1328 mg mL-1; 0,9759 mg mL-1 e 0,5211 mg mL-1, respectivamente, resultou em LD e LQ iguais a 40,3 e 131,3 µg mL-1, respectivamente. Entretanto, melhores valores de coeficiente de determinação para o conjunto de testes foram obtidos com o modelo para o corante índigo-carmim, com 4 variáveis latentes e RMSEC, RMSEP, R2c e R2p iguais a 0,1051 mg mL-1; 0,1619 mg mL-1; 0,9221 mg mL-1 e 0,8964, mg mL-1 respectivamente, contudo, apresentou valores de LD e LQ (48,5 e 161,7 µg mL-1, respectivamente), RMSEC e RMSEP maiores que o modelo do vermelho ponceau. O modelo para o corante tartrazina manteve-se com 4 variáveis latentes, a valores de RMSEC, RMSEP, R2c e R2p iguais a 0,1521 mg mL-1; 0,2149 mg mL-1; 0,8440 mg mL-1 e 0,7141 mg mL-1, respectivamente, com LD e LQ igual a 35,7 µg mL-1 e 119,7 µg mL-1.

 


Figura 15. Relação entre o valor predito e o valor de referência para (a) vermelho ponceau, (b) índigo-carmim e (c) tartrazina

 

Quando comparamos as figuras de mérito da técnica de ultravioleta na região do visível com os de CLAE-DAD e infravermelho médio (FTIR), pode-se inferir que a técnica analítica UV-Vis apresenta uma melhor eficiência quanto a detecção e quantificação para os corantes tartrazina, índigo-carmin e vermelho ponceau, uma vez que os valores de LD e LQ são menores.

O trabalho desenvolvido enquadra-se na área técnico-científica da química analítica, visando estudar os fenômenos físico-químicos e interpretá-los em diversas técnicas analíticas, apontando suas vantagens e limitações na análise de corantes alimentares. Contudo, os experimentos e escrita foram desenvolvidos inteiramente por discentes de pós-graduação do PPGQUI/UFES de diversas subáreas da química que, sob orientação de um professor, se uniram para desenvolver a presente pesquisa, consistindo em uma oportunidade perfeita para introdução à pesquisa acadêmica, a colaboração e o intercâmbio de conhecimentos entre pesquisadores de diversas áreas da química. Sendo assim, as abordagens científicas exploradas não são voltadas a área educacional, porém elas apresentam potencial para serem extrapoladas para futuras aplicações com essa finalidade, que foram percebidas durante o desenvolvimento da pesquisa. Alguns discentes manifestaram interesse em técnicas específicas, principalmente a espectrometria de massas e a CLAE-DAD, seja pela versatilidade da técnica ou pelas possibilidades de pesquisa. A técnica FT-ICR MS foi a que representou o maior interesse e dificuldade por parte dos discentes, principalmente devido a sua maior complexidade e exclusividade, contudo, o desenvolvimento da pesquisa oportunizou o melhor entendimento do equipamento e do tratamento dos dados, encaminhando novos discentes a seguirem essa linha de pesquisa. De maneira geral, a pesquisa não traz somente contribuição científica para a área da analítica, mas também capacita os discentes no planejamento e condução de uma pesquisa acadêmica, bem como na escrita de artigos científicos.

 

CONCLUSÃO

A espectrometria de massas, principalmente o ESI(+)FT-ICR MS é uma técnica que combina altíssima resolução e exatidão de massas que consegue identificação da fórmula molecular de um analito qualquer, contudo, tanto ESI(+)FT-ICR MS quanto o ESI(+)LTQ MS não obtiveram um desempenho satisfatório em misturas de corantes contendo azul brilhante devido ao efeito de supressão iônica, porém, na ausência deste corante, a espectrometria de massas conseguiu detectar todos os outros cinco corantes presentes, demonstrando certo nível de seletividade. Nas misturas de sucos e gelatinas, o ESI(+)LTQ MS detectou parte dos corantes indicados nos rótulos dos produtos, além de outros compostos, como sacarose, aspartame e ácido cítrico. A vantagem da espectrometria de massas ESI(+)FT-ICR MS é a obtenção da fórmula molecular com altíssima exatidão, enquanto que o ESI(+)LTQ MS, apesar de menor resolução e exatidão de massas, é aplicável na realização de estudos de multiestágio de fragmentação (MSn), o que permite a obtenção de informações estruturais sobre as moléculas.

O CLAE-DAD é um método simples que quando aplicado para a determinação de seis corantes sintéticos - amarelo crepúsculo, tartrazine, azul brilhante, vermelho 40, índigo-carmim e vermelho ponceau - se mostra eficiente, visto que possui boa capacidade de separação sendo considerada seletiva. Na construção da curva foi a que obteve melhores linearidades, contudo apresenta LD e LQ médios inferiores ao método com UV-Vis.

O UV-Vis se apresenta como uma boa alternativa pois utiliza pequenos volumes da amostra, facilidade no manuseio, porém não permite identificação real de moléculas a partir de seu comprimento de onda. Os espectros permitiram a detecção e quantificação dos analitos em baixas concentrações (0,001 a 0,050 mg mL-1). Em contraste com o CLAE, o método desenvolvido apresenta seletividade limitada.

O infravermelho é uma técnica que exige uma manipulação mínima no preparo da amostra podendo ser considerado uma boa opção para análises preliminares, pois ele é capaz de identificar bandas funcionais características de cada corante de modo a indicar qual a matriz está sendo analisada. Os valores de RMSEP para três dos corantes analisados variaram entre 0,1328-0,2149 mg mL-1, enquanto que o R2p variou entre 0,52-0,89. Os resultados de LD e LQ médios para o modelo de calibração multivariada com dados de FTIR foram maiores que os calculados para as técnicas CLAE-DAD e UV-Vis, que além disso, apresentaram R2 superior a 0,9 para todos os corantes analisados.

Apesar da pesquisa visar o estudo dos fenômenos físico-químicos e interpretá-los em diversas técnicas analíticas a partir da análise de corantes alimentares, o projeto contribuiu para a interação entre discentes de diversas subáreas da química, fomentando a introdução à pesquisa acadêmica e a colaboração. De uma maneira geral, a pesquisa não traz somente contribuição científica para a área da química analítica e alimentos, mas também, capacita os discentes no planejamento e condução de pesquisas, bem como na escrita de artigos científicos, e fornece um material que pode ser utilizado futuramente para fins didáticos dado a experiência proporcionada aos discentes.

 

MATERIAL SUPLEMENTAR

Espectros de massa do experimento de fragmentação (MS/MS) dos corantes estudados (Figura 1S) e descrição da área para cada corante identificado nos espectros UV-Vis no CLAE-DAD (Tabela 1S) estão disponíveis em http://quimicanova.sbq.org.br, em formato PDF, com acesso livre.

 

AGRADECIMENTOS

Os autores agradecem à CAPES, à FAPES (Pronem 596/2018 e PPE Agro 76459934/16) e ao CNPq (310057/2020-5) pelo suporte financeiro.

 

REFERÊNCIAS

1. Martins, F. C. O. L.; Sentanin, M. A.; de Souza, D.; Food Chem. 2019, 272, 732. [Crossref]

2. Pereira, J. M. G.; Formigoni, M.; Viell, F. L. G.; Pante, G. C.; Bona, E.; Ieira, A. M. S.; Realidades e Perspectivas em Ciência dos Alimentos, 1a ed.; Pantanal Editora: Mato Grosso, 2020, cap. 3.

3. Zeece, M.; Introduction to the Chemistry of Food, 1st ed.; Elsevier: London, 2020.

4. Han, Q.; Sun, Y.; Shen, K.; Yan, Y.; Kang, X.; Food Chem. 2021, 347, 129026. [Crossref]

5. Li, X. Q.; Zhang, Q. H.; Ma, K.; Li, H. M.; Guo, Z.; Food Chem. 2015, 182, 316. [Crossref]

6. Campos, P. R. P.: Desenvolvimento e Validação de um Método de Quantificação de Corantes em Amostras de Suco Artificial em Pó; Tese de Doutorado, Universidade Federal do Rio Grande do Norte, Brasil, 2014. [Link] acessado em fevereiro 2023

7. Downham, A.; Collins, P.; Int. J. Food Sci. Technol. 2000, 35, 5. [Crossref]

8. Sarikaya, R.; Selvi, M.; Erkoç, F.; Chemosphere 2012, 88, 974. [Crossref]

9. https://www.fda.gov/regulatory-information, acessado em fevereiro 2023.

10. World Health Organization (WHO); Food Additives, disponível em https://www.who.int/news-room/fact-sheets/detail/food-additives, acessado em fevereiro 2023.

11. Peica, N.; Pavel, I.; Pînzaru, S. C.; Rastogi, V. K.; Kiefer, W.; J. Raman Spectrosc. 2005, 36, 657. [Crossref]

12. Leulescu, M.; Rotaru, A.; Pălărie, I.; Moanţă, A.; Cioateră, N.; Popescu, M.; Morîntale, E.; Bubulică, M. V.; Florian, G.; Hărăbor, A.; Rotaru, P.; J. Therm. Anal. Calorim. 2018, 134, 209. [Crossref]

13. Wahyuningsih, S.; Ramelan, A. H.; Wardani, D. K.; Aini, F. N.; Sari, P. L.; Tamtama, B. P. N.; Kristiawan, Y. R.; IOP Conf. Ser.: Mater. Sci. Eng. 2017, 193, 1. [Crossref]

14. Cheibub, A. M. S. S.; Lyra, E. S. B.; Alves, B. J.; Donagemma, R. A.; Pereira Netto, A. D.; Food Chem. 2020, 323, 126811. [Crossref]

15. Guo, T.; Zhang, Z.; Yannell, K. E.; Dong, Y.; Cooks, R. G.; Anal. Methods 2017, 9, 6273. [Crossref]

16. Lanças, F. M.; McNair, H. M.; Quim. Nova 1983, 6, 6. [Link] acessado em fevereiro 2023

17. Collins, C. H.; Braga, G. L.; Bonato, P. S.; Introdução a Métodos Cromatográficos, 7ª ed.; Editora da Unicamp: Campinas, 1997.

18. Alp, H.; Başkan, D.; Yaşar, A.; Yaylı, N.; Ocak, Ü.; Ocak, M.; J. Chem. 2018, 2018, 1. [Crossref]

19. Bento, W. A. S.; Lima, B. P.; Paim, A. P. S.; Food Chem. 2015, 183, 154. [Crossref]

20. Savitzky, A.; Golay, M. J. E.; Anal. Chem. 1964, 36, 1627. [Crossref]

21. Kennard, R. W.; Stone, L. A.; Technometrics 1969, 11, 137. [Crossref]

22. Haaland, D. M.; Thomas, E. V.; Anal. Chem. 1988, 60, 1193. [Crossref]

23. de Souza, A. M.; Filgueiras, P. R.; Coelho, M. R.; Fontana, A.; Winkler, T. C. B.; Valderrama, P.; Poppi, R. J.; J. Near Infrared Spectrosc. 2016, 24, 293. [Crossref]

24. Portela, N. A.; Oliveira, E. C. S.; Cunha Neto, A.; Rodrigues, R. R. T.; Silva, S. R. C.; Castro, E. V. R.; Filgueiras, P. R.; Fuel 2016, 166, 12. [Crossref]

25. Li, H. D.; Xu, Q. S.; Liang, Y. Z.; Chemom. Intell. Lab. Syst. 2018, 176, 34. [Crossref]

26. Skoog, D. A.; West, D. M.; Holler, J.; Fundamentos de Química Analítica, 8ª ed.; Editora Thomson: São Paulo, 2006.

27. Gupta, V. K.; Suhas; J. Environ. Manage. 2009, 90, 2313. [Crossref]

28. Prado, M. A.; Vilas Boas, L. F.; Bronze, M. R.; Godoy, H. T.; J. Chromatogr. A 2006, 1136, 231. [Crossref]

29. Bonan, S.; Fedrizzi, G.; Menotta, S.; Elisabetta, C.; Dyes Pigm. 2013, 99, 36. [Crossref]

30. Gonçalvez, A. F. J.: Desenvolvimento e Validação de Métodos Analíticos por HPLC de uma Formulação para Aplicação Tópica; Dissertação de Mestrado, Universidade de Coimbra, Portugal, 2014. [Link] acessado em fevereiro 2023

31. Santos Neto, J. A.; Scientia Chromatographica 2010, 2, 71. [Link] acessado em fevereiro 2023

32. Valente, A. L. P.; Riedo, C. R. F.; Augusto, F.; Revista Chemkeys 2018, 10, 1. [Crossref]

33. Crotti, A. E. M.; Vessecchi, R.; Lopes, J. L. C.; Lopes, N. P.; Quim. Nova 2006, 29, 287. [Crossref]

34. Schug, K.; McNair, H. M.; J. Sep. Sci. 2002, 25, 759. [Crossref]

35. Lyrio, M. V. V.; Feu, A. E.; Motta, L. C.; Figueroa, L. P. R.; Boasquevisque, L.; Pinto, R. T.; Rosa, A. C. L.; de Arantes, H. T. L.; Bottocim, R. R. T.; Fonseca, V. R.; Santos, N. A.; Lacerda Júnior, V.; Castro, E. V. R.; Romão, W.; Quim. Nova 2022, 45, 455. [Crossref]

36. Marshall, A. G.; Blakney, G. T.; Chen, T.; Kaiser, N. K.; McKenna, A. M.; Rodgers, R. P.; Ruddy, B. M.; Xian, F.; Mass Spectrom. 2013, 2, S0009. [Crossref]

37. Vaz, B. G.; Moraes, L. A. B.; Romão, W. Em Fundamentos da Espectrometria e Aplicações; Beatriz, A.; Lacerda, V., eds.; Editora Atheneu: São Paulo, 2017, cap. 1.

38. Hoffmann, E.; Stroobant, V.; Mass Spectrometry, 3rd ed.; Wiley: London, 2007.

39. González, A. G.; Herrador, M. A.; TrAC, Trends Anal. Chem. 2007, 26, 227. [Crossref]

40. King, R.; Bonfiglio, R.; Fernandez-Metzler, C.; Miller-Stein, C.; Olah, T.; J. Am. Soc. Mass Spectrom. 2000, 11, 942. [Crossref]

41. Annesley, T. M.; Clin. Chem. 2003, 49, 1041. [Crossref]

42. Bonfiglio, R.; King, R. C.; Olah, T. V.; Merkle, K.; Rapid Commun. Mass Spectrom. 1999, 13, 1175. [Crossref]

43. Ehrmann, B. M.; Henriksen, T.; Cech, N. B.; J. Am. Soc. Mass Spectrom. 2008, 19, 719. [Crossref]

44. Unger, K. K.; Lamotte, S.; Machtejevas, E. Em Liquid Chromatography: Fundamentals and Instrumentation; Fanali, S.; Haddad, P. R.; Poole, C. F.; Schoenmakers, P.; Lloyd, D., eds.; Elsevier: Waltham, 2017, ch. 3.

45. Alves, S. P.; Brum, D. M.; de Andrade, E. C. B.; Pereira Netto, A. D.; Food Chem. 2008, 107, 489. [Crossref]

46. Clydesdale, F. M.; Crit. Rev. Food Sci. Nutr. 1993, 33, 83. [Crossref]

47. Agência Nacional de Vigilância Sanitária (ANVISA); RDC no259, de 20 de setembro de 2022. [Link] acessado em fevereiro 2023

48. Zanoni, M. V. B.; Yamanaka, H.; Corantes: Caracterização Química, Toxicológica, Métodos de Detecção e Tratamento, 1ª ed.; Cultura Acadêmica: São Paulo, 2016.

49. Pavia, D. L.; Lampman, G. M.; Kriz, G. S.; Vyvyan, J. R.; Introdução à Espectroscopia, 5ª ed.; Cengage Learning: São Paulo, 2016.

50. Silverstein, R. M.; Webster, F. X.; Kiemle, D. J.; Spectrometric Identification of Organic Compounds, 8th ed.; John Wiley & Sons: New Jersey, 2005.

51. Vlase, T.; Vlase, G.; Modra, D.; Doca, N.; J. Therm. Anal. Calorim. 2007, 88, 389. [Crossref]

52. Lohumi, S.; Joshi, R.; Kandpal, L. M.; Lee, H.; Kim, M. S.; Cho, H.; Mo, C.; Seo, Y. W.; Rahman, A.; Cho, B. K.; Food Addit. Contam., Part A 2017, 34, 678. [Crossref]

53. Moreira, G. F.; Peçanha, E. R.; Monte, M. B. M.; Leal Filho, L. S.; Stavale, F.; XXVI Encontro Nacional de Tratamento de Minérios e Metalurgia Extrativa, Belém, Brasil, 2017. [Link] acessado em fevereiro 2023

On-line version ISSN 1678-7064 Printed version ISSN 0100-4042
Qu�mica Nova
Publica��es da Sociedade Brasileira de Qu�mica
Caixa Postal: 26037 05513-970 S�o Paulo - SP
Tel/Fax: +55.11.3032.2299/+55.11.3814.3602
Free access

GN1