JBCS



17:43, sáb out 25

Acesso Aberto/TP



Artigo


Fontes de matéria orgânica para os sedimentos superficiais do estuário do rio itapicuru (Bahia - Brasil)
Organic matter sources to the superficial sediment of the itapicuru river estuary (Bahia - Brazil)

Juliana de Souza SantanaI; Iasmim de Deus Gargur LealI; Antonio Fernando de Souza QueirozI; Henrique Cesar Pereira AssumpçãoII; José Roberto Bispo de SouzaIII; Maria do Rosário ZucchiIII; Ana Cecília Rizzatti de Albergaria-BarbosaI,*

I. Departamento de Oceanografia, Universidade Federal da Bahia, 40171-020 Salvador - BA, Brasil
II. Departamento de Geologia, Universidade Federal da Bahia, 40171-020 Salvador - BA, Brasil
III. Departamento de Física da Terra e Meio Ambiente, Universidade Federal da Bahia, 40171-020 Salvador - BA, Brasil

Recebido em: 16/02/2023
Aceito em: 31/03/2023
Publicado em: 23/05/2023

Endereço para correspondência

*e-mail: cecilia.albergaria@ufba.br

RESUMO

The present study evaluated the sources of organic matter (O.M.) in the Itapicuru River estuary (IRE), which is in an environmentally protected area surrounded by the Atlantic Rainforest in the northeast of Brazil. Eleven sediment samples were collected along the study area. Total organic carbon (TOC) and the δ13C values were determined using an elemental analyzer coupled with an isotope ratio mass spectrometer. The n-alkanes composition was evaluated through gas chromatography coupled to a flame ionization detector. TOC and total n-alkanes concentrations ranged, respectively, from not detected to 0.72%, and from lower the limit of detection to 5024 ng g-1. There was a significant concentration of n-C22 and n-C24 in some samples showing bacterial production and recycling of O.M. Values of δ13C ranged from -27.6 to -21.9‰. Carbon preference index, terrestrial-aquatic ratio, aquatic production index, average chain length, and the ratio between n-C29 and n-C31 values ranged, respectively, from 1.42 to 4.11; 2.82 to 9.40; 0.00 to 0.25; 27.7 to 29.9; and 0.27 to 0.43. These results show that concentrations of O.M. to IRE are low, and its main source is C3 plants, such as those from mangroves. There is also the contribution of macrophytes.

Palavras-chave: estuary; n-alkanes; organic matter; rainforest.

INTRODUÇÃO

O litoral brasileiro tem cerca de 7300 km, sendo que sua maior área se encontra no estado da Bahia. O estuário do Rio Itapicuru (Figura 1), localizado no litoral norte do estado em questão, está em uma área protegida pelo Decreto nº 1046, de 17 de março de 1992, que foi criado para mitigar o impacto ambiental causado pela implantação da rodovia BA-099 (Estrada do Coco e Linha Verde). Esse estuário está dentro da Área de Proteção Ambiental do Litoral Norte (APA/LN), o que faz com que ele se encontre relativamente preservado.1 A Mata Atlântica que ocorre ao longo do estuário do Rio Itapicuru é bem desenvolvida,2,3 com a presença de unidades ambientais frágeis e relevantes, como o maior manguezal da APA/LN e suas restingas.4 A quantificação e qualificação da matéria orgânica (M.O.) sedimentar presente nesse sistema se faz importante para melhor entendimento do ciclo do carbono e de como as atividades antrópicas que ocorrem no entorno de um estuário preservado o influenciam.5,6

 


Figura 1. Localização geográfica do estuário do Rio Itapicuru (Bahia, Brasil)

 

Os estuários são ecossistemas costeiros, onde a M.O. neles depositada pode ser alóctone ou autóctone.7 Para essa caracterização, pode-se utilizar marcadores orgânicos moleculares, como os n-alcanos. Esses são hidrocarbonetos alifáticos saturados de cadeias lineares, cuja principais fontes no ambiente marinho são os produtores primários marinhos e as plantas terrestres.8,9

A biossíntese dos n-alcanos se dá principalmente através da descarboxilação dos ácidos graxos, que possuem cadeias pares de carbono.10 Assim, n-alcanos biossintetizados têm, em geral, números ímpares de carbono na cadeia.11 Cadeias menores (de 15 a 17 átomos de carbono) são produzidas principalmente pelo fitoplâncton. As macrófitas tendem a produzir cadeias medianas de n-alcanos (n-C21, n-C23 e n-C25).12 As cadeias maiores (de 27 a 35 átomos de carbono) são produzidas principalmente por plantas terrígenas.13 Enquanto as plantas com padrão fotossintético do tipo C4 tendem a sintetizar maiores proporções de n-C31 e n-C33, as do tipo C3 sintetizam maiores proporções de n-C27 e n-C29.14 Assim, índices baseados na distribuição desses compostos podem ser usados na identificação das fontes de M.O. em uma região.13,15,16

Os isótopos estáveis de carbono também têm sido amplamente utilizados em estudos da identificação das fontes M.O. em ambientes costeiros. Os valores de δ13C dos organismos marinhos fotossintetizantes são dependentes da razão isotópica do carbono inorgânico dissolvido na água. Esse se apresenta sob três formas: CO2aq, HCO3- e CO32-. O CO2aq, quando comparado ao CO2 gasoso, é empobrecido em 13C; e o HCO3- e o CO32- são enriquecidos. O carbono orgânico de origem fitoplanctônica apresenta valores de δ13C variando de -23 a -12‰.17,18 Já o substrato de carbono para a vegetação superior é o CO2 atmosférico. Nas plantas do tipo C3, há uma maior discriminação do 13CO2 durante o processo de fotossíntese, fazendo com que os seus valores de δ13C sejam menores. Nas plantas do tipo C4, para evitar perdas de água, há uma redução no fluxo de CO2, que diminui a discriminação do 13C. O resultado desses diferentes modos de assimilação do CO2 pelas plantas superiores é expresso nos valores de δ13C encontrados no carbono orgânico total. Plantas do tipo C3 apresentam valores de δ13C variando entre -34 e -23‰. Plantas do tipo C4 apresentam valores de δ13C variando entre -17 e -9‰.17,18

O objetivo do presente trabalho foi avaliar as fontes da matéria orgânica depositada nos sedimentos superficiais do estuário do Rio Itapicuru (Litoral Norte da Bahia, Brasil). Este estudo é importante pois verifica quais as principais fontes de M.O. para um estuário tropical preservado. Deve-se destacar que são poucos os trabalhos feitos para essa região,1,3 o que faz relevante os dados gerados no presente estudo.

 

MATERIAIS E MÉTODOS

Caracterização da área de estudo

O estuário do Rio Itapicuru está localizado no Litoral Norte da Bahia, no município de Conde, entre as latitudes 11º44' - 11º49' S e as longitudes 37º30' - 37º35' O (Figura 1). Essa região é caracterizada por apresentar clima tropical úmido. As temperaturas médias são elevadas (entre 24 e 26 ºC), com variações térmicas entre 3 e 6 ºC. Os índices pluviométricos anuais são altos, variando entre 1000 e 1400 mm.19,20,21

O regime de maré da região em questão é do tipo semidiurno, com amplitudes máximas oscilando entre 2,0 e 2,5 m.22,23 As ações das ondas provenientes do sudeste e sul-sudeste, seguidas das marés, são os principais agentes hidrodinâmicos da região,24 controlando a distribuição sedimentar no canal estuarino e a deriva litorânea local para nordeste.22,23,24

A Mata Atlântica presente no município de Conde é dividida em ombrófila densa, mata ciliar, manguezal e restinga. A mata ombrófila densa apresenta grande número de espécies, com árvores uniformes e copas sobrepostas, dificultando a penetração de luz. As principais espécies de flora encontradas no município de Conde são: Inga sp. (ingá), Himatanthus sp. (leiteira), Chrysophyllum sp. (língua de vaca), Miconia albicans (canela-de-velho), Cecropia sp. (embaúba), Bowdichia virgilioides (sucupira), Tapirira guianensis (pau-pombo), Aristolochia brasiliensis (papo de peru), Rheedia brasiliensis (bacupari), Syagrus coronata (licuri), Croton sellowii (velame). Há ainda a presença de vegetação secundária nos mais variados estágios de desenvolvimento, onde as espécies típicas são: Bombax grandiflorum (imbiruçu), Caraipa densiflora (camaçari), Cariniana estrellensis (jequitibá), Brosimun sp. (garrote), Buchenavia sp. (muçambê), Clarisia sp. (oiticica), Copaifera sp. (copaíba), Couepia sp. (oiti), Lecytis sp. (sapucaia), Ocotea sp. (canela vernalha) e Nectandra sp. (louro). A mata ciliar do município de Conde não foi muito estudada, mas apresenta um elevado estágio de regeneração, sugerindo a presença de endemismos.24 Nos manguezais, as espécies mais características são Rhizophora mangle (mangue-vermelho), Avicennia schaueriana e Avicennia germinans (mangue-preto), Laguncularia racemosa (mangue-branco ou mangue doce) e Conocarpus erectus (mangue-de-botão). Nas áreas úmidas, que representam as áreas potencialmente inundáveis dos cursos d'água (brejos), podem ser observadas gramíneas (Paspalum maritimum, Spartina sp.), ciperáceas (Eleocharis sp., Cyperus sp., Scleria sp., Fuirena sp.) e taboa (Thypha domingensis). Já na restinga, tem-se como principais espécies vegetais: Croton sp. (velame), Tabebuia sp. (pau-dárco), Manilkara salzmanni (massaranduba-de-praia), Allagoptera sp. (palmeira caxulé), Bonnetia sp. (mangue doce), Pouteria sp. (bapeba), Humiria sp. (umirí), Hancornia speciosa (mangabeira) e Atallea funifera (piaçava). Grande parte do município do Conde está inserido nesse último tipo de cobertura vegetal.24

Coleta das amostras

Em janeiro de 2017, amostras de sedimentos superficiais (n = 11, Figura 2) foram coletadas ao longo do estuário do Rio Itapicuru através do uso de uma draga de aço inox do tipo Van-Veen. Essas amostras foram armazenadas em um recipiente de vidro previamente calcinado (4 h a 450 ºC) e mantidas congeladas a -20 ºC. Em laboratório, elas foram liofilizadas e homogeneizadas.

 


Figura 2. Localização geográfica dos pontos amostrados no presente estudo

 

Reagentes

O ácido clorídrico (HCl, P.A.) e o peróxido de hidrogênio (H2O2) usados na realização do presente estudo foram obtidos pela Merck. Os solventes utilizados foram: o n-hexano (HEX, com 95% de grau de pureza) e o diclorometano (DCM, com 99,9% de grau de pureza), ambos fornecidos pela J. T. Backer. A sílica (SiO2 - sílica gel 60 × 0,063 × 0,200 mm, Merck) e o sulfato de sódio (Na2SO4, 98% pureza mínima, Synth) foram calcinados a 400 ºC por 4 h em uma mufla para eliminação de possíveis interferentes. Antes da análise, a sílica e o sulfato de sódio foram ativados em uma estufa a 150 ºC e resfriados em dessecador, onde foram mantidos até serem usados. O hexametafosfato usado nas análises granulométricas foi da marca Synth. O cobre usado na eliminação de interferentes causados pelo enxofre foi tratado com ácido clorídrico (HCl 2 mol L-1, preparado a partir de uma solução P.A., Merck), enxaguado com água destilada e imerso em acetona e em DCM até serem usados. O padrão de n-alcanos (n-C8 a n-C40) usado na calibração do equipamento e nas fortificações foi da Sigma-Aldrich. Os padrões de Eicoseno e Hexadeceno usados foram obtidos pela Supelco (com 99,7 a 99,9% de pureza).

Todo material utilizado em laboratório foi deixado em uma solução contendo detergente alcalino Extran (Merck, 5%) por 12 h, sendo posteriormente enxaguado com água destilada e seco em temperatura ambiente. Após seco, aquele material destinado para análise granulométrica, elementar e isotópica foi descontaminado com HCl (10%, v:v, preparado a partir de uma solução P.A., Merck) e enxaguado com água Milli-Q. O material não-volumétrico destinado à determinação dos marcadores orgânicos moleculares foi descontaminado através de calcinação (400 ºC, 4 h), e o volumétrico, através do enxague com solventes orgânicos (DCM e HEX).

Análise granulométrica

Aproximadamente 1 g do sedimento amostrado (pesado em balança analítica) foi peneirado em uma grade de 500 µm. A fração não retida foi pesada em balança analítica e colocada em um tubo de ensaio. Nessa fração, foi adicionado 1 mL de H2O2 concentrado para retirada da M.O. Após 8 h, os tubos de ensaio foram colocados em um bloco digestor a 100 ºC, reduzindo o volume de H2O2. O procedimento de adição de H2O2 e redução de seu volume foi repetido até não ser observada mais a reação de oxidação da M.O. As amostras foram, então, transferidas para um tubo de ensaio plástico e foram adicionados 20 mL de hexametafosfato de sódio (0,1 mol L-1). As amostras permaneceram em uma mesa agitadora por 4 h. Após esses procedimentos, o material passou por um analisador de partículas com difração a laser (modelo Cilas 1064), sendo realizada a leitura de frações de 0,0004-0,5 mm. Para contabilizar o conteúdo de areia presente nas amostras, foi somada à areia fina aquela fração retida na peneira de 500 µm. Os dados gerados foram divididos em areia (diâmetro do grão maior que 64 µm), silte (diâmetro do grão entre 4 e 64 µm) e argila (diâmetro do grão menor que 4 µm). Não foi observada a presença de cascalhos.

Análise isotópica (δ13C) e de carbono orgânico total

Partículas finas têm maior capacidade de absorção da M.O.25 Assim, amostras arenosas costumam ter baixos teores de carbono orgânico total (COT), podendo não ser possível sua detecção para análises de δ13C do bulk da M.O. As amostras usadas no presente estudo foram arenosas e, quando analisadas integralmente, não foi possível a detecção do COT presente em sua composição. Assim, uma alíquota dos sedimentos (pesada em balança analítica) foi peneirada em uma grade de 180 µm, analisando-se o COT e o δ13C somente em uma fração mais fina das amostras coletadas. Essa fração foi pesada em balança analítica (aproximadamente 1 g) e colocada em tubos Falcon. Foram adicionados 10 mL de ácido HCl (1 mol L-1). Após 12 h, as amostras foram centrifugadas à 3000 rpm (5 min) e o HCl foi retirado com a ajuda de uma pipeta de vidro. Esse procedimento foi repetido cinco vezes ou até que a reação com o carbonato não fosse mais observada. Para total retirada do HCl, adicionou-se 10 mL de água destilada nas amostras, centrifugando-as a 3000 rpm (5 min). A água foi retirada com o auxílio de uma pipeta de vidro. Esse procedimento foi repetido três vezes.

As amostras foram secas em uma estufa (50 ºC). Aproximadamente 10 mg de cada sedimento, pesados em balança analítica, foram acondicionados em cartuchos de estanho (5 × 9 mm) e submetidos a análise elementar e isotópica em um analisador elementar (EA, Costec Instruments Elemental Combustion System) acoplado a um detector de espectrometria de massas de razão isotópica (IRMS, Thermo Scientific Delta V Advantage Isotope Ratio MS).

Os padrões USGS-40 e USGS-41 foram analisados para calibrar o gás de referência. Um pulso desse gás foi adicionado às análises das amostras. Pelo menos dez sequências de pulsos do gás foram avaliados até o desvio padrão ficar menor que 0,03. O padrão adotado para quantificação do COT foi a acetanilida (Acetanilide Standard Costech, COT = 71,09%). A calibração do δ13C foi feita através do uso de dois padrões certificados pela United States Geological Survey (USGS): USGS-40 (ácido L-glutamínico: δ13C = -26,39 ‰ vs Pee Dee Belemnite - PDB) e USGS-41 (ácido L-glutamínico enriquecido em 13C: δ13C = +37,63 ‰ vs Pee Dee Belemnite - PDB). Esses padrões foram analisados em replicata, e as precisões encontradas nas análises para COT e δ13Corg foram 0,1% e 0,3‰, respectivamente.

Análise de n-alcanos

Assim como para análise de COT, uma alíquota do sedimento foi peneirada em uma grade de 180 µm para avaliar a presença de n-alcanos em uma fração mais fina. Entre 2 e 10 g dessa fração (pesada em balança analítica) foi colocada em vials de vidro calcinados de 100 mL, sendo adicionados 10 µL de surrogate (hexadeceno e eicoseno; 100 µg mL-1) e 25 mL da mistura DCM:HEX (1:1, v:v). Os procedimentos de extração e purificação adotados estão descritos em Guimarães et al.3 Brevemente, as amostras foram colocadas em um ultrassom (T = 50 ºC) por 15 min. O solvente foi transferido para um balão de vidro de fundo redondo. Esse processo de extração foi repetido 3 vezes. Foram adicionados (por 1 h) fios de cobre ativados na solução resultante para remoção do enxofre presente. O extrato foi concentrado em um evaporador rotativo a vácuo até 1 mL. A solução resultante foi submetida ao procedimento de purificação e separação em uma coluna de vidro contendo 3 g de sílica (100% ativada) e sulfato de sódio. Foi utilizado, como eluente, 10 mL de HEX. Os extratos finais foram concentrados, usando-se um evaporador rotativo a vácuo e fluxo de N2, para 100 μL. Esses foram injetados em um cromatógrafo a gás (GC, Agilent Technologies modelo 7890B) com injetor automático (Agilent Technologies modelo 7890B) acoplado a um detector de ionização de chamas (Agilent Technologies modelo 7890B, FID). As condições do equipamento estão descritas em Guimarães et al.3 Os compostos quantificados foram aqueles que continham de 13 a 33 átomos de carbono na cadeia (n-C13 a n-C33). A quantificação desses compostos foi feita através da construção de uma curva analítica obtida a partir da injeção de padrões (n = 5) com concentrações de n-alcanos distintas (5 a 100 mg L-1). O coeficiente de correlação linear de Pearson para essas curvas de calibração foi igual ou superior a 99,5% (r2 = 0,995) para todos os compostos analisados. A concentração final do analito foi calculada com base no volume final de extrato e na massa de sedimento seco extraído. O resultado final foi reportado em ng g-1 de sedimento seco.

O cálculo de recuperação do surrogate foi realizado através da área de quantificação dos compostos (hexadeceno/eicoseno). A faixa de recuperação considerada aceita foi entre 60 e 120%. As amostras que não obtiveram essa faixa de recuperação foram refeitas.

A determinação do limite de detecção do método (LDM) foi baseada em Shrivastava e Grupta.26 Ela foi calculada a partir da análise de sete replicatas de sulfato de sódio fortificadas com uma solução padrão (20 µL; 50 µg mL-1) contendo os n-alcanos de interesse. O LDM foi calculado como três vezes (3×) o desvio padrão dessas análises. Os valores obtidos variaram de 8,51 a 36,1 ng µL-1 (Material Suplementar, Tabela 1S).

 

 

A análise do padrão de qualidade analítico adotado no presente trabalho foi realizada conforme proposto por Citac/Eurachem27. A cada 10 amostras, foi realizada a extração de uma amostra branco (Na2SO4 calcinado) para avaliar a presença de possíveis interferentes nas análises. As concentrações de todos os compostos estiveram menores que o LDM para as amostras branco analisadas.

Para avaliar a repetibilidade e acurácia do método, devido à baixa massa das amostras coletadas no presente estudo, avaliou-se três amostras branco (sulfato de sódio calcinado) fortificadas com uma solução padrão (100 µL, 50 µg mL-1) contendo os n-alcanos de interesse. A recuperação dos compostos variou de 69 a 132% (Material Suplementar, Tabela 2S). O desvio padrão relativo das concentrações obtidas para as três amostras analisadas variou de 3,2 a 19% (Material Suplementar, Tabela 2S).

Índices aplicados

Baseando-se nas concentrações dos n-alcanos detectados, alguns índices foram aplicados para melhor entender a distribuição de M.O. para a região de estudo.

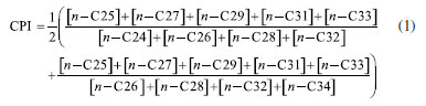
O CPI (Índice Preferencial de Carbono) é uma relação entre as concentrações dos compostos com cadeias ímpares e pares de carbono e pode ser calculado através da seguinte equação:11,28

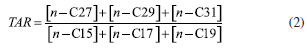
A TAR (Razão Terrígena-Aquática) verifica a importância de compostos de maiores massas moleculares sobre aqueles com menores massas moleculares, sendo calculada através da seguinte equação:29

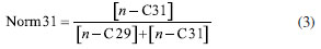
O Norm31 avalia a relação entre as concentrações do n-C29 e n-C31, através da seguinte equação:30,31

O ACL23-33 (Tamanho Médio de Cadeia) descreve o número médio de carbono dos n-alcanos (com 23 a 33 átomos de carbono) presentes em uma região, podendo ser calculado através da seguinte equação:28

onde: Ci = n-alcanos com i números de carbono (i variando de 23 a 33).

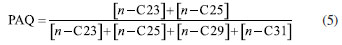
O PAQ (Índice de Produção Aquática) é utilizado para avaliar se a principal fonte de M.O. de uma região são as macrófitas emersas, flutuantes/submersas ou a vegetação superior, sendo calculado através da seguinte equação:12

Análise estatística

O software BioEstat AnalysSoft, versão 6, foi utilizado na realização das correlações de Pearson feitas entre as variáveis analisadas (p < 0,05). O software Arcgis 10.1 (Envi, 2016) foi usado para confecção dos mapas.

 

RESULTADOS E DISCUSSÃO

Distribuição granulométrica e da matéria orgânica no estuário do Rio Itapicuru

O conteúdo de argila e silte encontrado nas amostras avaliadas variou de 0,5 a 2,5% e de 1,6 a 17%, respectivamente (Tabela 1). O conteúdo arenoso foi predominante em todas as amostras, com teores variando de 81 a 98% (Tabela 1, Figura 3). Essa predominância se dá devido às características hidrodinâmicas da região.3,32 O Rio Itapicuru apresenta uma alta vazão, sendo uma das maiores do Litoral Norte. Além disso, seu estuário tem um canal estreito, com correntes de alta intensidade, o que dificulta a deposição dos sedimentos finos (silte e argila), que são carregados para locais adjacentes.32 A região de coleta também é dominada por ondas e correntes de maré que aumentam a hidrodinâmica local,32 permitindo o depósito de maiores proporções de areia.32,33,34,35 Destaca-se ainda a presença de erosão nos cordões litorâneos e nas planícies costeiras da região, que podem ser responsáveis pelo sedimento arenoso depositado no estuário em questão.32

 


Figura 3. Distribuição do conteúdo de areia (%) encontrada ao longo do estuário do Rio Itapicuru

 

As concentrações de COT e de AlcTot (somatório dos n-alcanos totais) encontradas variaram de não detectado (n.d.) a 0,72% e de < LDM a 5014 ng g-1 (Tabela 1). Esses valores são menores ou estão na mesma ordem de grandeza que aqueles já reportados para a área de estudo.3 Eles também são menores que aqueles encontrados em outros estuários tropicais brasileiros16,36,37,38,39 e internacionais.40,41,42 Isso provavelmente se deve ao fato de que a fração arenosa no presente estudo foi alta, diminuindo a concentração de M.O. adsorvida no sedimento amostrado. Destaca-se também que as análises de COT e AlcTot no presente estudo foram realizadas somente na fração sedimentar com diâmetro menor que 180 µm, enquanto nos demais trabalhos ela foi realizada na amostra total.

Na Figura 4, tem-se o mapa da distribuição do COT e AlcTot ao longo da região estudada. Não houve correlação significativa entre COT e AlcTot (p = 0,12), indicando diferenças na distribuição de ambas as variáveis ao longo da área de estudo. Para o COT, as maiores concentrações ocorreram onde os teores de areia são menores (Figura 3). Guimarães et al.,3 estudando a variação temporal de n-alcanos no estuário do Rio Itapicuru, haviam observado essa tendência, atribuindo-a ao fato de que fração mais grossa do sedimento (areia) tem menor tendência de acumular M.O. quando comparada a mais fina (silte e argila). Isso se deve a menor superfície de contato e capacidade de troca catiônica que essa fração tem.25,43

 


Figura 4. Distribuição das concentrações de carbono orgânico total (COT,%) e AlcTot (somatório da concentração de n-alcanos detectados, ng g-1) encontradas ao longo do estuário do Rio Itapicuru

 

Para AlcTot, as maiores concentrações ocorreram mais a jusante do estuário. Essa região apresenta uma Mata Atlântica densa e maiores contribuições de braços fluviais. Enquanto isso, os menores valores de AlcTot foram observados na desembocadura do estuário e em sua região mediana (Figura 4). Isso provavelmente se dá pela diminuição da faixa vegetação nas margens, em comparação com a parte mais interna do estuário, sendo também relatados desmatamentos da vegetação nativa e plantações de cocos na área de estudo.32

Fontes de matéria orgânica para o estuário do Rio Itapicuru

Os valores de δ13C do COT variaram de -27,6 a -21,9‰ (Tabela 1), indicando que a principal fonte de M.O. para o estuário do Rio Itapicuru são as plantas terrígenas do tipo C3 (valores do δ13C variando de -30 a -22%).43,44,45 O estuário do Rio Itapicuru e sua área adjacente apresentam uma Mata Atlântica bem desenvolvida, com a presença de vegetação de mangue, cujas principais espécies apresentam o ciclo fotossintético em questão.

Na Figura 5, tem-se o mapa de distribuição do δ13C ao longo da área de estudo. Ao contrário do AlcTot, os menores valores foram encontrados a montante do estuário. Uma vez que a Mata Atlântica é mais desenvolvida nessa região, a introdução de M.O. provindas de plantas do tipo C3 deve ser mais significativa, fazendo com que a M.O. depositada seja mais empobrecida em 13C que nas demais áreas do estuário. Já no interior da área amostrada, os valores de δ13C são maiores. Apesar das plantas do tipo C3 ainda serem a principal fonte de M.O., esses maiores valores mostram que possivelmente a contribuição fitoplanctônica nessa área é mais significativa que nas demais. A influência marinha nessa região é maior que no interior do estuário, o que pode estar contribuindo nesses valores de δ13C.

 


Figura 5. Variação espacial dos valores de δ13C (‰) encontrados ao longo do estuário do Rio Itapicuru

 

As concentrações de n-alcanos individuais encontradas no presente estudo podem ser verificadas no Material Suplementar (Tabela 1S). Algumas amostras apresentaram concentrações abaixo de LDM para todos os compostos analisados. Entretanto, para aquelas onde houve a detecção de n-alcanos, observa-se o predomínio de moléculas ímpares, principalmente de n-C29, seguido pelo n-C31. Esse perfil é comumente observado em amostras coletadas em ambientes aquáticos,16,38,39,46 e está associado à vegetação que se desenvolve no entorno desses sistemas.

Deve-se destacar que foram também observadas concentrações significativas de n-C22 e n-C24 entre os n-alcanos detectados (Tabela 1S). Geralmente, a prevalência de compostos pares está associada à presença de contaminação por petróleo.37,42 Entretanto, esse tipo de perfil também é observado em ambientes preservados, podendo estar associado à degradação da matéria orgânica,47 bem como à produção bacteriana48 e fúngica.48,49

Para melhor entender a distribuição e fontes dos n-alcanos para o estuário do Rio Itapicuru, calculou-se o CPI, TAR, PAQ, Norm31 e ACL23-33 nas amostras onde os compostos foram detectados. Os resultados encontrados para cada uma dessas razões podem ser observados na Tabela 1 e na Figura 6.

 


Figura 6. a) Mapas de distribuição dos valores de CPI (índice preferencial de carbono); b) TAR (razão terrestre-aquático); c) PAQ (índice de produção aquática); d) Norm31 (razão entre o n-C29 e o n-C31) e; e) ACL23-33 (tamanho da cadeia média) encontrados nas amostras coletadas no presente estudo

 

Os valores de CPI (Tabela 1, Figura 6) variaram de 1,42 a 4,11. Esse índice mostra a relação entre as concentrações das cadeias ímpares e pares encontradas em um ambiente, podendo ser usado para distinguir se a principal fonte de M.O. para uma região é natural ou antropogênica. Valores de CPI maiores que 3 são geralmente relacionados às fontes terrígenas/biogênicas de M.O. Valores próximos a 1 são geralmente relacionados às fontes petrogênicas.11 Assim, para a maioria das amostras, a principal fonte de M.O. para o estuário do Rio Itapicuru é aquela provinda da produção biogênica de plantas superiores. Somente a amostra Sed 02 apresentou valores próximos a 1 (Tabela 1, Figura 6). Entretanto o estuário do Rio Itapicuru apresenta-se pouco contaminado por petróleo.1 Ankit et al.50 encontraram que baixos valores de CPI em ambientes pouco contaminados podem estar relacionados à reciclagem de matéria orgânica presente no sedimento. Assim, o valor de CPI observado na região em questão (Sed 02) pode estar vinculado à uma maior degradação da matéria orgânica sedimentar.

Os valores de TAR (Tabela 1, Figura 6) variaram de 2,82 a 9,40. Diversos autores têm aplicado essa razão para verificar se o aporte de M.O. para uma determinada região é principalmente alóctone ou autóctone.29 Segundo Yu29 e Chevalier,51 valores de TAR maiores que 4 demonstram que as principais fontes de M.O. para uma região são as plantas terrígenas superiores. Valores menores que 4 estão relacionados à produção fitoplanctônica. Somente um ponto (Sed 11, Tabela 1, Figura 6) apresentou resultado menor que 4, indicando a influência dos produtores primários marinhos na M.O. depositada. A região onde está localizado esse ponto encontra-se próxima à uma área residencial. Nessa região pode estar ocorrendo despejo de esgoto, fornecendo nutriente às águas, e aumentando a produção fitoplanctônica.

Os valores de ACL23-33 e Norm31 (Tabela 1, Figura 6) variaram, respectivamente, de 27,7 a 29,9 e de 0,27 a 0,43. Há, assim, a predominância de cadeias de n-alcanos longas (ACL23-33 > 27), com valores de Norm31 menores que 0,5, o que caracteriza M.O. provinda principalmente de plantas vasculares do tipo C3.18,52 Esse resultado corrobora com o fato de que essa região possui o maior manguezal da APA/LN,4 com uma área de aproximadamente 900 Km2 de vegetação lenhosa.21 Essa vegetação tem como principais espécies R. mangle, A. schaueriana, A. germinans, L. racemosa e C. erectus (mangue-de-botão), que são do tipo C3.

Os valores de PAQ (Tabela 1, Figura 6) variaram de 0,00 a 0,25. Esse índice é geralmente usado para avaliar a influência de macrófitas submersas, emersas/flutuantes e plantas superiores na M.O. depositada.12 Valores de PAQ maiores que 0,4 (que não ocorreu no presente estudo) mostram que principal fonte de M.O. para a região são as macrófitas submersas e/ou flutuantes. Valores entre 0,1 e 0,4, que foram encontrados para as amostras Sed 5, Sed 07, Sed 09 e Sed 11 (Tabela 1, Figura 6), mostram que a origem dessa M.O. são as macrófitas emersas.12 Se o PAQ for menor que 0,1, o que aconteceu nas amostras Sed 02, Sed 04 e Sed 06 (Tabela 1, Figura 6), a M.O. depositada na região é predominantemente terrígena. As macrófitas se desenvolvem em regiões litorâneas de ambientes quentes, com alta produção de nutrientes e com baixa hidrodinâmica. Além disso, ambientes que sofreram ação antrópica podem favorecer o crescimento desse tipo de vegetação.53,54 No presente estudo, a contribuição dessas macrófitas se dá principalmente nas partes mais internas do estuário, havendo um aumento dos valores desse índice para essa direção (Figura 6). Mais a montante do estuário, há uma maior contribuição fluvial dos braços ao longo do rio e das áreas úmidas presentes.4 Provavelmente ela ocorre pelo crescimento favorável dessas plantas, devido às ações antrópicas da região. Próximo a esse ponto ocorreram desmatamentos para construções de casas e do Píer de Barra de Siribinha, criando áreas alagadas e com baixa hidrodinâmica. Segundo o CRA,4 espécies como orelha-de-burro (Pontederia lanceolata), aguapé (Eichhornia crassipes), briófitas-veludo (Sphagnum sp.) e (Spartina alterniflora) são comuns na região.

 

CONCLUSÃO

As concentrações de matéria orgânica no estuário do Rio Itapicuru são baixas devido à predominância de sedimentos arenosos. Esses são provindos dos cordões litorâneos e das planícies costeiras da região, e sua distribuição está associada às características hidrodinâmica e à geologia local. O estuário do Rio Itapicuru encontra-se preservado, sendo que a matéria orgânica da região tem origem biogênica. As principais fontes dessa matéria orgânica são as plantas do tipo C3, provindas dos manguezais bem desenvolvidos que ocorrem no local. As macrófitas emersas também são importantes fontes de matéria orgânica para o estuário em questão. Algumas áreas apresentam matéria orgânica sendo reciclada e/ou com fonte bacteriológica.

 

MATERIAL SUPLEMENTAR

O material suplementar desse trabalho (Tabelas 1S e 2S) está disponível em http://quimicanova.sbq.org.br/, na forma de arquivo PDF, com acesso livre.

 

AGRADECIMENTOS

J. S. S. agradece à Pró-Reitoria de Pesquisa, Criação e Inovação (PROPCI) da Universidade Federal da Bahia (UFBA), pela bolsa de Iniciação Científica (Edital PROPCI - PROPG/UFBA 201/2014 - PRODOC/UFBA 2014). J. S. S. e I. D. G. L agradecem à Coordenação de Aperfeiçoamento de Pessoal de Nível Superior (CAPES), pela bolsa de mestrado. A. C. R. A. B. (CNPq 305210/2019-0) e A. F. S. Q. (CNPq 313221/2020-0) agradecem ao Conselho Nacional de Desenvolvimento Científico e Tecnológico (CNPq) pelas bolsas de produtividade. Os autores agradecem a André Luiz Amorim dos Santos Junior pela cessão de sua casa durante as estadias em Conde, facilitando a realização das coletas. Os autores também agradecem a André Luiz Amorim dos Santos Junior, Lucas de Almeida Guimarães, Larissa Nabuco e aos pescadores da comunidade de Siribinha pela ajuda na realização das coletas.

 

REFERÊNCIAS

1. Guimarães, L. M.; de França, E. J.; de Arruda, G. N.; Albergaria-Barbosa, A. C. R.; Mar. Pollut. Bull. 2020, 156, 111218. [Crossref]

2. INEMA - Instituto do Meio Ambiente e Recursos Hídricos; Comitê da Bacia Hídrica do Itapicuru, 2018. [Link] acessado em abril 2023

3. Guimarães, L. M.; Lima, T. A. C.; de Franca, E. J.; de Arruda, G. N.; de Souza, J. R. B.; de Albergaria-Barbosa, A. C. R.; Quim. Nova 2019, 42, 611. [Crossref]

4. Centro de Recursos Ambientais (CRA); Análise Preliminar de Risco à Saúde Humana, Relatório Síntese, 2005. [Link] acessado em abril 2023

5. Dittmar, T.; Lara, R. J.; Estuarine, Coastal Shelf Sci. 2001, 52, 249. [Crossref]

6. Alongi, D. M.; Estuarine, Coastal Shelf Sci. 2008, 76, 1. [Crossref]

7. Kristensen, E.; Andersen, F. Ø.; J. Exp. Mar. Biol. Ecol. 1987, 109, 15. [Crossref]

8. Xing, L.; Zhang, H.; Yuan, Z.; Sun, Y. ; Zhao, M.; Cont. Shelf Res. 2011, 31, 1106. [Crossref]

9. Izart, A.; Palhol, F.; Gleixner, G.; Elie, M.; Blaise, T.; Suarez-Ruiz, I.; Sachsenhofer, R. F.; Privalov, V. A.; Panova, E. A.; Org. Geochem. 2012, 43, 125. [Crossref]

10. Killops, S.; Killops, V.; Introduction to Organic Geochemistry, 2nd ed.; Blackwell Publishing: Malden, 2005.

11. Eglinton, G.; Hamilton, R. J.; Science 1967, 156, 1322. [Link] acessado em abril 2023

12. Ficken, K. J.; Li, B.; Swain, D. L.; Eglinton, G.; Org. Geochem. 2000, 31, 745. [Crossref]

13. Pu, Y.; Wang, C.; Meyers, P. A.; Palaeogeogr., Palaeoclimatol., Palaeoecol. 2017, 475, 106. [Crossref]

14. Schefuß, E.; Ratmeyer, V. ; Stuut, J. B. W.; Jansen, J. H. F.; Damsté, J. S. S.; Geochim. Cosmochim. Acta 2003, 67, 1757. [Crossref]

15. Meyers, P. A.; Chem. Geol. 1994, 114, 289. [Crossref]

16. Albergaria-Barbosa, A. C. R.; Schefuß, E.; Taniguchi, S.; Santos, P. S.; Cunha-Lignon, M.; Tassoni-Filho, M.; Figueira, R. C. L.; Mahiques, M. M.; Bicego, M. C.; Regional Studies in Marine Science 2022, 57, 102728. [Crossref]

17. Schubert, C. J.; Calvert, S. E.; Deep Sea Res., Part I 2001, 48, 789. [Crossref]

18. Zhou, J.; Wu, Y. ; Zhang, J.; Kang, Q.; Liu, Z.; Chemosphere 2006, 65, 310. [Crossref]

19. Alvares, C. A.; Stape, J. L.; Sentelhas, P. C.; Gonçalves, J. L. M.; Sparovek, G.; Meteorol. Z. 2013, 22, 711. [Crossref]

20. INEMA - Instituto do Meia Ambiente e Recursos Hídricos, disponível em http://www.inema.ba.gov.br/gestao-2/unidades-de-conservacao/apa/, acessado em abril 2023.

21. Esquivel, M. S.: O Quaternário Costeiro do Município de Conde: Implicações para a Gestão Ambiental; Dissertação de Mestrado, Universidade Federal da Bahia, Bahia, Brasil, 2006. [Link] acessado em abril de 2023

22. Bittencourt, A. C. S. P.; Livramento, F. C.; Dominguez, J. M. L.; Silva, I. R.; Rev. Bras. Geocienc. 2010, 40, 125. [Crossref]

23. Nunes, J. M. C.; de Matos, M. R. B. Litoral Norte da Bahia: Caracterização Ambiental, Biodiversidade e Conservação; Nunes, J. M. C.; Matos, M. R. B., orgs.; EDUFBA: Salvador, 2017.

24. Centro de Recursos Ambientais (CRA); Projeto de Gerenciamento Costeiro. Diagnóstico Oceanográfico e Proposição de Disciplinamento de Usos da Faixa Marinha do Litoral Norte do Estado da Bahia, Relatório Técnico, 2003.

25. Zhang, Z.; Zhao, M.; Eglinton, G.; Lu, H.; Huang, C.; Quat. Sci. Rev. 2006, 25, 575. [Crossref]

26. Shrivastava, A.; Gupta, V.; Chron. Young Sci. 2011, 2, 21. [Crossref]

27. CITAC, EURACHEM; Guide to Quality in Analytical Chemistry, 2nd ed.; Citac and Eurachem: United Kingdom, 2002. [Link] acessado em abril 2023

28. Poynter, J. G.; Farrimond, P.; Robinson, N.; Eglinton, G. Em Paleoclimatology and Paleometeorology: Modern and Past Patterns of Global Atmospheric Transport; Sarnthein, M.; Leinen, M., eds.; Springer: Dordrecht, 1989.

29. Yu, Y. ; Li, Y. ; Guo, Z.; Zou, H.; Arch. Environ. Prot. 2016, 42, 49. [Crossref]

30. Carr, A. S.; Boom, A.; Grimes, H. L.; Chase, B. M.; Meadows, M. E.; Harris, A.; Org. Geochem. 2014, 67, 72. [Crossref]

31. Rommerskirchen, F.; Eglinton, G.; Dupont, L.; Rullkötter, J.; Geochem., Geophys., Geosyst. 2006, 7, 1. [Crossref]

32. Farias, F. F.: Condições de Sedimentação e Preenchimento dos Estuários do Itapicuru e Real, Litoral Norte do Estado da Bahia; Tese de Doutorado, Universidade Federal da Bahia, Bahia, Brasil, 2014. [Link] acessado em abril 2023

33. Flemming, B. W.; Cont. Shelf Res. 2000, 20, 1125. [Crossref]

34. Boer, P. L.; Gelder, A.; Nio, S.; Tide-Influenced Sedimentary Environments and Facies, 1st ed.; Springer: Dordrecht, 1988.

35. Shepard, F. P.; SEPM Journal of Sedimentary Research 1954, 24, 1. [Crossref]

36. Maioli, O. L. G.; de Oliveira, C. R.; Dal Sasso, M. A.; Madureira, L. A. S.; Azevedo, D. A.; de Aquino Neto, F. R.; Estuarine, Coastal Shelf Sci. 2012, 114, 140. [Crossref]

37. de Lima Sobrinho, R.; Peçanha, G. C.; de Souza, T. M.; Cotovicz Junior, L. C.; Vidal, L. O.; Pereira Netto, A. D.; Bernardes, M. C.; Environ. Pollut. 2023, 316, 120567. [Crossref]

38. da Costa, B. V. M.; Santos, P. J. P. ; Yogui, G. T.; Estuaries Coasts 2021, 44, 1262. [Crossref]

39. Wilhelm, M. M.; Cabral, A. C.; Dauner, A. L. L.; Garcia, M. R.; Figueira, R. C. L.; Martins, C. C.; Environ. Earth Sci. 2023, 82, 22. [Crossref]

40. Gadelha, L. G.; Frena, M.; Damasceno, F. C.; Santos, E.; Sant'Anna, M. V. S.; Vinhas, M. A.; Barreto, T. S. A.; Alexandre, M. R.; Mar. Pollut. Bull. 2019, 149, 110607. [Crossref]

41. Dan, S. F.; Liu, S. M.; Yang, B.; Udoh, E. C.; Umoh, U.; Ewa-Oboho, I.; Sci. Total Environ. 2019, 678, 351. [Crossref]

42. Zou, Y.; Wang, C.; Liu, X.; Wang, H.; Mar. Pollut. Bull. 2022, 178, 113639. [Crossref]

43. Ramaswamy, V. ; Gaye, B.; Shirodkar, P. V.; Rao, P. S.; Chivas, A. R.; Wheeler, D.; Thwin, S.; Mar. Chem. 2008, 111, 137. [Crossref]

44. Barros, G. V.; Martinelli, L. A.; Novais, T. M. O.; Ometto, J. P. H. B.; Zuppi, G. M.; Sci. Total Environ. 2010, 408, 2226. [Crossref]

45. Fry, B.; Stable Isotope Ecology, 2006th ed.; Springer: New York, 2006.

46. Zhang, T.; Wang, X.; J. Ocean Univ. China 2019, 18, 735. [Crossref]

47. Welte, D. H.; Ebhardt, G.; Geochim. Cosmochim. Acta 1968, 32, 465. [Crossref]

48. Grimalt, J.; Albaiges, J.; Al-Saad, H. T.; Douabul, A. A. Z.; Naturwissenchaften 1985, 72, 35. [Link] acessado em abril 2023

49. Grimalt, J.; Albaiges, J.; Geochima et Cosmochima Acta 1987, 51, 1379. [Crossref]

50. Ankit, Y. ; Mishra, P. K.; Kumar, P. ; Jha, D. K.; Kumar, V. V. ; Ambili, V. ; Anoop, A.; Mar. Chem. 2017, 196, 62. [Crossref]

51. Chevalier, N.; Savoye, N.; Dubois, S.; Lama, M. L.; David, V. ; Lecroart, P.; le Ménach, K.; Budzinski, H.; Org. Geochem. 2015, 88, 69. [Crossref]

52. Belligotti, F. M.; Carreira, R. S.; Soares, M. L. G.; Geochim. Bras. 2007, 21, 71. [Link] acessado em abril 2023

53. Henry-Silva, G. G.; Camargo, A. F. M.; Planta Daninha 2006, 24, 21. [Crossref]

54. Cunha-Santino, M. B.; Bianchini Junior, I.; Boletim ABLimno 2011, 39, 1.

On-line version ISSN 1678-7064 Printed version ISSN 0100-4042
Qu�mica Nova
Publica��es da Sociedade Brasileira de Qu�mica
Caixa Postal: 26037 05513-970 S�o Paulo - SP
Tel/Fax: +55.11.3032.2299/+55.11.3814.3602
Free access

GN1