JBCS



12:18, sáb out 25

Acesso Aberto/TP



Artigo


Análisis multivariado y modelamiento factorial múltiple en la clasificación de mieles peruanas del Bajo Mayo, San Martín Perú
Multivariate analysis and multiple factorial modeling in the classification of peruvian honeys from Bajo Mayo, San Martín, Peru

Guillermo Salamanca GrossoI,II*; Mónica Patricia Osorio TangarifeII; Anderson Guarnizo FrancoI

I. Departamento de Química, Facultad de Ciencias, Universidad del Tolima, 730006 Ibagué, Tolima, Colombia
II. Grupo de Investigaciones Mellitopalinológicas y Propiedades Fisicoquímicas de Alimentos, Universidad del Tolima, 730006 Ibagué, Tolima, Colombia

Recebido em 23/12/2022
Aceito em 22/05/2023
Publicado na web 12/07/2023

Endereço para correspondência

*e-mail: gsalaman@ut.edu.co

RESUMO

Honey is a natural product made mainly from the nectar of flowers; its final quality depends on its botanical and geographical origin. The variability is wide even for honey from the same region. The botanical and geographical origin of honey is still difficult to determine, so it is increasingly necessary to standardize analysis protocols that contribute to the verification of the quality of this important product of the beehive. The physicochemical and sensory properties of fifteen samples of honey from the Mayo River basin, Department of San Martin (Peru) have been evaluated, taking as reference the physicochemical parameters of color, the chromaticity of the CIELab system, pH, free acidity, total sugars, humidity, ash, electrical conductivity, density, and water activity. Additionally, the sensory attributes and intrinsic properties of the honey samples have been related to their classification through a Neuronal Probabilistic Network system, cluster analysis, discriminant, multiple factorial, and PLS-PATH, which have allowed the differentiation and classification of the honey, according to their geographical origin under three categories associated to the Pfund scale in amber, light amber, and extra light amber.

Palavras-chave: main components; classification methods; neural networks; physicochemical properties.

INTRODUCCION

El origen botánico y geográfico de la miel, sigue siendo difícil de determinar, por ello se hace necesario estandarizar protocolos de análisis que contribuyan a la verificación de la calidad desde el punto de vista de su origen floral, reduciendo el mercado de mieles fraudulentas y suplantadas con jarabes de glucosa. La miel se ha definido como un producto natural con propiedades edulcorantes, elaborada a partir del néctar de las flores o secreciones extraflorales de las plantas vivas que las abejas liban y colectan, transportan y transforman con adición de enzimas especiales para finalmente deshidratar, concentrar y almacenar en los panales. Su maduración, es el resultado complejo de una serie de interacciones al interior de la colmena, que dependen del número de abejas que intervienen el proceso de elaboración y del volumen de néctar almacenado. La demanda de miel entre los consumidores a nivel mundial ha crecido de manera significativa, haciéndose necesaria una verificación de su autenticidad con el objetivo de satisfacer los requerimientos de los consumidores, que demandan productos orgánicos, sanos y diferenciados, elaborados bajo rigurosos estándares de calidad.1-3

La miel es tan diversa como lo es su origen botánico, su naturaleza, composición y sus distintas tonalidades de color; éste último cambia en función de la presencia de aminoácidos libres, antocianinas, antocianidinas, carotenos, xantofilas, flavonas y flavonoles, entre otros derivados fenólicos y algunos alcaloides. Las mieles, exhiben importantes variaciones en composición y en las propiedades fisicoquímicas que pueden ser marcadas de una región a otra, esta variabilidad se ha explicado tomando como referencia su origen botánico a través de estudios melisopalinológicos, que se asocian a procesos de extracción, identificación y cuantificación de estructuras polínicas, y que permiten establecer una relación planta-insecto, desde una zona biogeográfica determinada. La identificación de la miel pura y su autenticidad, se ha revelado en función de sus propiedades, es por ello que se usan diferentes métodos analíticos para la su clasificación.4-8 La evaluación sensorial en mieles, permite establecer la calidad en base a sus atributos midiendo y cuantificando sus características a través de los sentidos. La correlación entre las propiedades fisicoquímicas y las evaluaciones sensoriales que se realizan en paneles de valoración, por sí mismas constituyen un reto al análisis estadístico.

Los métodos de clasificación de matrices alimentarias se identifican y agrupan en conjuntos finitos por clase, comparando las propiedades y atributos intrínsecos de los productos. Se conoce una amplia variedad de enfoques de técnicas de análisis multivariado, entre ellas el análisis discriminante lineal (AD), análisis discriminante con mínimos cuadrados parciales (AD-PLS), árboles de clasificación y regresión (ACR), sistema de vectores soporte (SVS), análisis factorial múltiple (AFM) y redes neuronales artificiales (RNA), entre otros. Actualmente, es posible generar matrices de composición tomando como referencia el origen, la naturaleza del producto y sus atributos sensoriales, posibilitando la generación de bases de datos que permitan realizar clasificaciones, mediante análisis exploratorios y técnicas de clasificación.9 El advenimiento de nuevas técnicas estadísticas, han hecho posible el desarrollo de metodologías robustas y uso de análisis discriminante que conducen a la generación de funciones a modo de combinaciones lineales posibles entre los grupos.10

La secuencia de clasificación mediante análisis de componentes principales (ACP), es un método de proyección que permite estimar las observaciones de los parámetros evaluados en un espacio p-dimensional con p variables a un espacio k-dimensional (k < p) para conservar la máxima cantidad de información que se mide a través de la varianza total del conjunto de datos de las dimensiones iniciales. Las técnicas AFM, combinan el análisis de componentes principales (CP) y el de correlación canónica. Los métodos tradicionales por CP, análisis factorial de correspondencias (AFC) y análisis de correspondencias múltiples (ACM), sólo permiten estudiar las relaciones entre las variables de la misma naturaleza, todas cuantitativas o cualitativas, lo que restringe su utilización. En la construcción de modelos PLS, se acude al uso de matrices de datos X, que contienen las muestras n y las características descriptoras p (n × p). La metodología PLS, combina características del ACP y ARM y a diferencia del ACP, se requiere de los datos de entrada de la matriz de predictoras X y la de respuestas Y, de orden n × p.11,12 Diversos trabajos de investigación han considerado el modelamiento PLS-PATH como técnica de clasificación.13-16 El uso de esta técnica en la clasificación de mieles ha sido reportado para muestras de Venezuela,11 y Colombia.12,17

La aplicación y uso de los modelos de redes neuronales se ha implementado para demostrar el rendimiento y exactitud de técnicas convencionales de clasificación. Estas se ajustan a un sistema de cálculo, teniendo en cuenta un vector de entradas que conducen a las respuestas de salida.18 Los trabajos orientativos al estudio de mieles y productos de la colmena en relación a los métodos de clasificación aún son reducidos. En Perú, la apicultura es una actividad complementaria a la actividad agrícola siendo una fuente secundaria de ingresos para las familias de las áreas rurales del país. La apicultura como actividad comercial en el país resulta rentable debido a la variedad de climas y zonas geográficas que cuentan con abundante flora. Los estudios en mieles, se han basado en la determinación de sus propiedades químicas, físicas o biológicas. En Perú los trabajos de caracterización e identificación de la calidad de mieles, han sido realizados por diversos investigadores,19-25 inclusive con consideraciones melisopalinológicas.26 En la zona de estudio se reconoce además trabajos de investigación referentes a la relación de la variabilidad de parámetros fisicoquímicos.27-28

En éste trabajo, se ha planteado el estudio de algunas de las propiedades fisicoquímicas y atributos sensoriales de mieles tropicales peruanas de las localidades de Zapatero, Lamas, Juan Guerra, Las Palmas y Banda de Shilcayo del Bajo Mayo, San Martín en Perú, tomando como referencias técnicas modernas de clasificación multivariado, haciendo uso de sistemas de análisis de conglomerados, redes neuronales, métodos discriminantes, modelamiento factorial múltiple y PLS-PATH.

 

MATERIALES Y MÉTODOS

Zona de estúdio

Este trabajo se estructuró sobre muestras de mieles colectadas en la cuenca del Río Mayo, ubicada al noroeste de la región San Martín y la Amazónica, con una extensión de 9774,25 km2, un espacio biogeográfico alargado, que se adapta de manera progresiva a una zona ensanchada, en las postrimerías del Río Gera, con oscilaciones topográficas que van desde los 200 a 2000 msnm (Figura 1).

 


Figura 1. Región Amazónica de la cuenca del Río Mayo provincia de San Martín (Perú)

 

Muestras

Se evaluaron 20 muestras de miel de Apis mellifera L. (Hymenoptera: Apidae), colectadas en zona rural de los distritos de Zapatero (ZA), Lamas (LA), Shilcayo (BS), Las Palmas (LP), Juan Guerra (JG) de la provincia de San Martín, Perú, (Tabla 1). A estas muestras, se les realizó un análisis melisopalinológico para determinar el tipo de mieles así como las especies y familias asociadas.

 

 

Valoración melisopalinológica

El análisis se proyectó siguiendo metodologías de la Comisión Internacional de Botánica. En todos los casos, 5 g de muestra se diluyeron en agua destilada a 45 ºC. Los granos de polen se removieron mediante operaciones de centrifugación a 3500 rpm durante 10 min, el sedimento se resuspendió y se adicionaron 5 mL de una mezcla de agua y etanol (30:70) completando el proceso de separación a 3000 rpm por 5 min. Los pellets del sedimento resultante, se dispusieron en tubos de ensayo, con 2,5 mL de la mezcla agua y glicerina (40:60) por 24 h centrifugando a 3000 rpm durante 10 min. La visualización de los granos de polen se realizó haciendo uso de microscopio a 40×. Los granos de polen de las diferentes muestras de miel, fueron evaluados mediante comparación directa usando atlas de referencia. Los conteos de polen cuando fueron inferiores al 45% del total, se relacionan como no dominante, adquiriendo el tenor de granos acompañantes (16-45%) y aislados (3-16%).

Caracterizaciones

En la valoración de la miel, se aplicaron los métodos armonizados de análisis de mieles para los parámetros de humedad (XW, g 100 g-1); azúcares totales (XT) y reductores (XRE fructosa, glucosa y sacarosa g 100 g-1), acidez libre (XAL meq kg-1), Glucosa (G) y Fructosa (F, g 100 g-1), las relaciones fructosa/glucosa (F/G) y glucosa /Humedad (G/H) e índice de Tabouret (IT), color, (Pfund mm), parámetros CIELab, pureza de color (PC), longitud de onda dominante (LOD), actividad de agua (aw), pH, conductividad eléctrica (CE, mS cm-1), índice de diastasas (ID), cenizas (XC, g 100 g-1), sólidos conductores totales (TCD, ppm), grados Baumé, índice de refracción (IR) y rotación específica (POR). Las determinaciones analíticas para los TCD, pH y la conductividad se realizaron usando la unidad EDGE multiparámetro HI 2020 de HannaTM.

Las cenizas se estimaron luego de la calcinación de cada una de las muestras en una mufla a 550 °C,28 La actividad de agua (aw) fue evaluada en la unidad AW Sprint TH500/RTD-502 de NovasinaTM, la respuesta del sensor del sistema de medición se verificó usando cloruro de litio 13,3 m (aw, 0.250), cloruro de litio 8.50 m (aw, 0,500) y cloruro sódico 6,0 m (aw, 0,760).28-30 Los parámetros de color se realizaron en la unidad HannaTM (HI96785). Las muestras evaluadas se clasificaron según su apariencia, como mieles líquidas. El potencial de hidrógeno de las muestras no calentadas, se determinó en disoluciones de miel previamente homogenizada y en solución final al 10% p/v, usando agua destilada libre de dióxido de carbono. Las determinaciones se realizaron usando la unidad potenciométrica (pHmetro Corning pH/ion meter 450) acoplada con un electrodo combinado de vidrio y compensador automático de temperatura. La acidez libre, lactónica y total, se determinó potenciométricamente.29,31,32

La densidad se determinó por gravimetría, usando picnómetro de 25 mL y en operaciones sucesivas de pesada en una balanza analítica Radwag AS/220/C/2 220 × 0.001 g. Los resultados finales se relacionaron con la densidad del agua a 20 °C.30 En relación a la densidad óptica, se evaluaron las absorbancias y transmitancias de muestras de miel, mediante técnicas espectrofométricas a 462 y 600 nm, operando un espectrofotométrica UV-Visible Thermo ScientificTM (Genesys 10S), usando en cubetas de cuarzo de 10 mm de paso espectral.

Los azúcares reductores se determinaron mediante el método volumétrico de Lane-Eynon titulando con el reactivo de Fehling, operando sobre una muestra de miel al 1% p/v. La determinación se realizó empleando 12.5 mL de Fehling A y 12.5 mL de Fehling B, que fueron sometidos a ebullición con la adicción del indicador azul de metileno, posteriormente se efectuó la titulación con la solución de trabajo. La rotación específica, se determinó conforme al método establecido por la International Honey Commission (IHC), usando como agente clarificante reactivo de Carrez I y II, seguido de la dilución con agua destilada. En las mediciones se usó un polarímetro WXG-4 con rango de medida ± 180o y divisiones de escala de 0.05o acoplado a una lámpara monocromática de vapor de sodio a 589.3 nm.

La actividad diastásica, fue realizada mediante test de Phadebas de acuerdo con los métodos armonizados de la Comisión Europea de la miel.33 Las lecturas se realizaron en la unidad espectrofotométrica UV-Vis Thermo Scientific Helyos a 620 nm.31,34 Los análisis de hidroximetil furfural, se determinaron a dos longitudes de onda 284 y 336 nm, previa separación del HMF, conforme la descripción del manual de métodos normalizados (AOAC). Se empleó reactivo de Carrez I y II que fueron adicionados a 5.0 g ± 0.1 mg de miel disuelta en 50 mL de agua destilada. Se utilizó bisulfito de sodio al 0.2% para eliminar el HMF presente en la matriz del blanco y como referencia cuando fuera necesario. Todas las lecturas se realizaron empleando unidad espectrofotométrica UV-Vis.35,36

Parámetros cromáticos

Los parámetros de cromaticidad fueron evaluados siguiendo la técnica de análisis triestímulo para 30 longitudes de onda en el rango 400-700 nm, evaluando la transmitancia de mieles líquidas, filtradas y homogenizadas a través de un tamiz de 200 mm de paso y centrifugadas a 4000 rpm durante 10 min. Las determinaciones se realizaron en celdas de cuarzo de 10 mm de paso. Se evaluaron los parámetros de luminancia (L), cromaticidad roja/verde (a*), amarillo/azul (b*) y croma (C). El iluminante de referencia ha sido C (Xn 98.4; Yn 100 y Zn 118.1), siguiendo las relaciones de Adams-Nikerson.29,34

Fenoles y flavonoides

Las determinaciones se realizaron usando Follin-Ciocalteau. Se pesaron 5 g ± 0,01 mg de miel que fueron mezclados con metanol y sometidos a extracción continua durante 24 h. A una alícuota de 25 μL le fueron adicionados175 μL de agua destilada, 800 μL de solución de carbonato de sodio al 7,5% y 1000 μL del reactivo. La mezcla se dejó reposar por 45 minutos y se leyó la absorbancia a 725 nm. Los resultados se expresan como mg de ácido gálico kg-1 de muestra. Los flavonoides, fueron determinados por espectrofotometría usando solución de tricloruro de aluminio y patrones de quercetina. Las determinaciones se realizaron por espectrofotometría en el equipo UV-Vis Genesys 10s (Thermo ScientificTM), usando celdas de cuarzo de 10 mm de paso espectral, conforme a las directrices descritas en la literatura.29

Valoraciones sensoriales

Se evaluaron las muestras de miel de ZA, JG, BS, LM y LP, y se caracterizaron sus atributos sensoriales de aroma, la fluidez, color, sabor y la aceptación global, en una escala hedónica (0-9), además se consideraron descriptores para los atributos olfato-gustativos haciendo uso de usando una escala hedónica de clasificación de 0 a 35, siguiendo criterios del análisis cuantitativo descriptivo (QDATM).29

Estadística

Los datos fueron analizados siguiendo criterios de análisis de varianza de una vía (ANOVA), con un nivel de significancia del 95% de confianza, en virtud al número de muestras analizadas para analizar diferencias significativas entre muestras de miel. Los ensayos se realizaron por triplicado, los resultados finales de las determinaciones de cada uno de los parámetros se expresan como su promedio y desviación estándar. Con la información generada de las propiedades fisicoquímicas y sensoriales, se realizó un estudio usando las técnicas de PLS, procurando una metodología que permita cuantificar las relaciones de las caracterizaciones. Se usaron los paquetes estadísticos JMP® Pro 16.0, Statgraphics Centurion 19TM, XLSTATTM y SmartPLSTM.

 

RESULTADOS Y DISCUSION

Sistema apícola

El área geográfica de la cuenca del Río Mayo, se enmarca en un entorno amazónico de bosque seco tropical (bs-T), con condiciones montañosas y con amplia diversidad ecosistémica, donde se presenta una oferta floral de periodos cortos y largos durante todo el año y con floraciones densas.37 En la zona, la apicultura se consolida como una actividad secundaria, la producción nacional es del orden de 2.314 tn año-1, con un rendimiento medio de 10.8 kg colmena año-1, asociado a cerca de 300.000 colmenas, que dan cuenta de una reducción de áreas forestales, por efecto de la deforestación, con la destrucción indiscriminada de bosques y flora nativa, ya que posee una superficie estratégica para el aprovechamiento sostenible de la apicultura y cuenta con especies vegetales donde se distinguen especies arbóreas y arbustivas con más de 30 familias botánicas.

Muestras

El perfil melisopalinológico de las mieles cosechadas en LA, LP y ZA, revelaron ser mieles multiflorales con granos de polen acompañantes y aislados y con predominio de Pouteria sp. (Sapotaceae, 22%), Amburana cearensis (Allemao) A.C.Sm, Apuleia leiocarpa (Vogel) J.F. Macbr., Cyathostegia mathewsii (Benth.) Schery, Erythrina ulei Harms, Gliricidia sepium (Jacq.) Walp., Inga thibaudiana DC. y Leucaena leucocephala (Lam.) de Wit (Leguminosae, 18%), Brunfelsia grandiflora D.Don y Cestrum conglomeratum Ruiz & Pav. (Solanaceae, 16,8%), Brosimum guianense (Aubl.) Huber ex Ducke (Moraceae, 7%), Cecropia angustifolia Trécul (Urticaceae, 3%), Sapium glandulosum (L.) Morong. (Euphorbiaceae, 8%), Cissus trianae Planch. (Vitaceae, 17%), Eugenia florida DC., Myrcia splendens (Sw.) DC., Syzygium jambos (L.) Alston (Myrtaceae, 13%). Mieles de LP, con presencia de polen de Anacardium occidentale L. y Schinopsis peruviana Engl. (Anacardiaceae, 33%), Cissus trianae Planch. (Vitaceae, 28%), además de polen aislado esporádico y otros granos presentes de Attalea cephalotus Poepp. ex Mart. (Arecaceae). Las muestras de BS y JG, presentaron polen de Mangifera indica L. (Anacardiaeae, 36%), Aiphanes horrida (Jacq.) Burret, Attalea cephalotus Poepp. ex Mart. y Mauritia flexuosa L.f (Arecaceae, 21%), Annona hypoglauca Mart., Annona squamosa L. (Annonaceae, 16%) y Citrus sp. (Rutaceae 14%). La no presencia de elementos de mielada y la cantidad total de pólenes estimados (P), permite indicar que las muestras analizadas corresponden a la categoría de mieles florales.38-41

Caracterizaciones

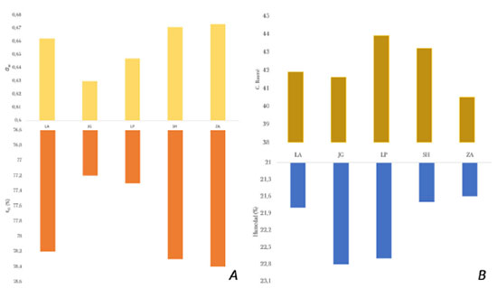
Los parámetros analíticos relativos a la caracterización de las muestras evaluadas, se recogen en la Tabla 2. La aw, de la miel está determinada principalmente por la concentración de especies químicas solubles, se presenta como un indicador de estabilidad para la disponibilidad del potencial del agua y la actividad de los microorganismos en virtud a su estado de madurez y el origen floral, además de la temporada de cosecha, el grado de madurez de la miel dentro de los panales y los factores climáticos.42 En las mieles peruanas evaluadas el parámetro obtuvo valores altos JG (0,630), LP (0,647), BS (0,671) y ZA (0673), valores inusualmente mayores en relación a muestras de otros entornos geográficos.11,43-44 La cantidad máxima para la humedad contenida en la miel está regulada por seguridad contra la fermentación, las muestras analizadas, presentaron niveles superiores al 20% en ZA de 21,6% y en JG de 22,8, la cantidad máxima permitida por los sistemas de legislación internacional, recomiendan valores inferiores al 19,0%, (Figura 2). La actividad del agua en la miel, los monosacáridos fructosa, glucosa y en menor medida algunos disacáridos como la sacarosa, maltosa e isomaltosa, se relacionan con las densidades observadas (1,398 a 1401), los índices de refracción (1,480 a 1,485) y los grados Baumé (40,5 a 43,9).

 

 

 


Figura 2. (A) Relación entre los parámetros de actividad de agua y sólidos solubles totales. (B) Grados Baumé y humedad en muestras de mieles de la cuenca baja del Río Mayo

 

Los azucares de las muestras analizadas oscilaron entre 77,2 a 78,4 g 100 g-1. En la distribución de los perfiles de azucares, no se evidencian diferencias significativas entre los grupos de muestras (Figura 3). El mayor contenido de fructosa, se presentó en las mieles de JG con 40,1% y el menor valor de glucosa en muestras de LP con 27,1%, se deducen valores bajos para la relación F/G y G/XW, en este último caso con valores inferiores a 1,70 característico de mieles que no tienen tendencia a la cristalización. Los índices de Tabouret observados, oscilaron en el rango entre 3,37 a 4,26. La formación de fases contribuye al deterioro de estas mieles, con evolución de procesos de fermentación y cambios de color por efecto de pardeamiento enzimático.

 


Figura 3. Distribución del contenido de azucares de mieles de la cuenca baja del Río Mayo

 

El pH de la miel se ve afectado por condiciones durante la extracción y el almacenamiento, lo que también influencian la textura, estabilidad y vida útil, este parámetro es un indicador de actividad microbiana, la mayoría de las bacterias crecen de forma neutra y en un leve ambiente alcalino, mientras que las levaduras y los mohos son capaces de evolucionar en ambientes ácidos. Los valores de las mieles analizadas fluctuaron entre 3,01 puntualmente más acido de lo convencional a 3,73. Estos valores son consistentes con los niveles de acidez libre que se presentan en mayor proporción en las muestras de BS (43,4 ± 3,21) y LP (42,2 ± 2,70). Las mieles generadas a partir de flora tropical de la zona, presentan pH más bajos respecto de las cosechadas en la Unión Europea. El contenido de cenizas (g 100 g-1), presentan valores relativamente bajos entre 0,141 a 0,247 a excepción de las mieles cosechadas en JG de 0,556. La conductividad eléctrica, osciló entre 0,407 y 0,628 mS cm-1 en ZA y BS respectivamente, mientras que en JG 1,254, que coinciden con los valores observados para los sólidos conductores totales (TCD).

Usualmente el color de las mieles con bajos contenidos de minerales, han sido relacionadas con tonos de miel claro y bajos niveles de conductividad, las muestras oscuras con una mayor fracción de materiales solubles.45 Se observó una correlación lineal positiva para el contenido de cenizas y la conductividad eléctrica. La miel, posee la propiedad de hacer girar la luz en un plano de polarización y presentan características levógiras debido a la concentración de fructosa en la miel, que posee una rotación específica negativa, más que la glucosa y otros azúcares como melecitosa y erlosa en relación a mieles de mielada o adulteradas que son dextrógiras. Este parámetro, sirve como indicador de mieles adulteradas y en relación a las muestras analizadas, todas presentaron propiedades levógiras, con valor característico de mieles florales entre −11,0 (JG) a −25,3 (BS). En general se notaron diferencias significativas entre los grupos de muestras. Las mieles procedentes de la localidad de ZA y LA, mostraron los mayores valores de transmitancia (%), por tanto, tienen menor barrera a la luz, en relación a las otras mieles estudiadas. Estos resultados, se corroboran porque son considerados como mieles de color claro. Las mieles más oscuras fueron procedentes de JG y de BS y presentaron una elevada barrera a la luz, esto debido a la presencia de pigmentos, mieles procedentes de panales muy viejos, presencia de aminoácidos y compuestos nitrogenados.

Parámetros cromáticos

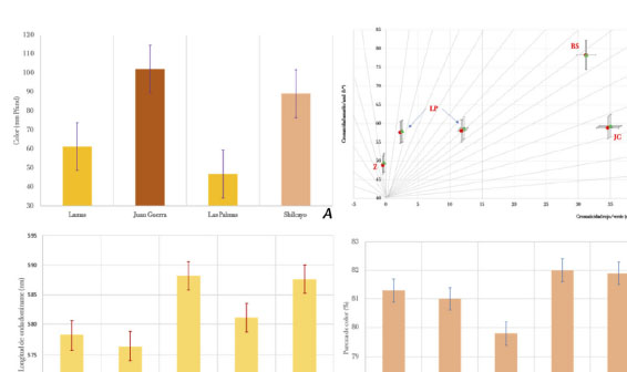
Los valores observados sobre las caracterizaciones de color, permitieron agrupar las mieles, en las categorías ámbar extra claro (34-50), ámbar claro (51-85) y ámbar (86-114). Las evaluaciones relativas al color en términos de longitud de onda dominante presentaron diferencias importantes entre grupos de muestras (Pv < 0,05), al igual que la pureza del color, la cromaticidad (a*/b*) y los valores finales del color en la escala Pfund, (Figura 4). La tonalidad de las mieles, se da principalmente por compuestos como aminoácidos, carotenos, xantofilas y flavonoides presentes en el néctar de las flores, así como el contenido de minerales que de igual forma aporta coloración a la miel.30 La densidad óptica en las mieles evaluadas, presentaron diferencias significativas tanto a 462 como a 600 nm (Tabla 3).

 


Figura 4. (A) Distribución de parámetros asociados al color escala Pfund (mm). (B) Parámetros de cromaticidad CIElab (a*/b*). (C) Longitud de onda dominante. (D) Pureza de color de muestra de miel del ecosistema de la cuenca del Bajo Mayo (San Martín, Perú)

 

 

 

Fenoles y flavonoides

Los estudios relacionados con la actividad antioxidante y capacidad para inhibición de radicales libre en mieles, ha sido relacionada con en el contenido de compuestos fenólicos, incorporados por las plantas desde el néctar y el polen. Los principales metabolitos en las mieles se han relacionado con la presencia de pinobanksina, crisina, hesperetina, luteolina, 3-metil quercetina, isorramnetina, pinocembrina, dimetil cafeato, fenil etil cafeato, miricetina 3,7,4',5'-metiléter, galangina, galangina-3-metiléter, tectocrisina, ácido elágico, 8-metoxikaempferol, apigenina, dimetilalil cafeato, quercetina, kaempferol, pinobanksin-3-6 acetato, entre otros.46 Los niveles de flavonas y flavonoles (como equivalentes de quercenina) y flavononas (equivalentes de naringenina) de las mieles peruanas se muestran en la Figura 5. El mejor aporte de antioxidantes en términos de fenoles totales, se presentó las muestras de miel de LA y ZA.

 


Figura 5. Contenido de fenoles totales, naringenina y quercetina en mieles de la cuenca del Bajo Mayo (San Martín, Perú)

 

Valoraciones sensoriales

Las muestras de LP y ZA, presentaron delicado sabor dulce, ligeramente persistente, con notas florales que superan su carácter herbáceo, retrogusto no muy marcado, astringencia baja, ausencia de tonos afrutados y libre de sabores metálicos (Figura 6). Las muestras de BS, presentaron una marcada connotación herbal y de mielato con notas astringentes de persistencia media y las mieles de JG se acompañan de un marcado acento boscoso y tenue fragancia floral de sensación suave con tonos dulces y delicado, leve tenor ácido, ausencia de sabores metálicos y reducido sabor a cera de panal. La apreciación general, indica que los tipos de miel presentaron notas dulces marcadas, de tonos florales y herbáceos distintivos al retrogusto, sensación cálida media, caracteres diferenciales tipo mielada y astringencia media baja, característicos de sabana selvática húmeda donde predominan altas condiciones térmicas. Se evidencia un alto grado de similitud entre los grupos de mieles de ZA y LP, que corresponden a los tipos ámbar extra claro y que se perciben con diferencias respecto a las muestras de BS y JG que corresponden a mieles ámbar y ámbar claro de LM. Los atributos sensoriales entre los grupos de muestras presentaron diferencias significativas, en virtud a las propiedades intrínsecas de las mieles evaluadas.

 


Figura 6. Perfil de atributos sensoriales de la clasificación de los tipos de mieles del Bajo Mayo (San Martín, Perú)

 

Análisis discriminante y redes neuronales

Los parámetros de referencia seleccionados para el estudio de clasificación de las muestras marcan diferencias entre mieles del tipo ámbar, ámbar claro y ámbar extra claro, asociados al origen geográfico. Las funciones de clasificación para los tres tipos de mieles observadas se ajustan con una relación lineal. Los coeficientes de las funciones discriminantes de las muestras, se recogen en la Tabla 4. La expresión lineal es de la forma β0 + β1(a*) + β2(b*)...+ β7(CE) + β7(aw) + β9(pH). La Figura 7, relaciona la red neuronal para los tipos de mieles conforme a la clasificación de color de los grupos dominantes: ámbar, ámbar claro y ámbar extra claro. Los 10 casos del conjunto de entrenamiento, permitió clasificar correctamente el 96,3% de las muestras. Este trabajo es consistente con el trabajo reportado por Rodríguez y colaboradores.47

 

 

 


Figura 7. Red probabilística neuronal de clasificación de los tipos de mieles del estudio

 

Análisis de conglomerados

Este análisis, reveló tres grupos definidos de miel en relación al entorno biogeográfico de donde proceden las muestras (Figura 8). Uno de los grupos se asocia con mieles ELA (45,7-47,3 mm), luminancia (87,2 a 80,7), cromaticidad (a*/b*) de −0,36 a 2,40/49,2 a 57,8. Un segundo y tercer grupo de mieles LA (62,0 mm) y A (94,0 a 103,7 mm).

 


Figura 8. Dendograma y proyección de análisis de constelaciones en relación al origen geográfico y los parámetros fisicoquímicos de la clasificación de mieles del estudio

 

Análisis de componentes principales

La secuencia de clasificación, reveló el aporte de los parámetros fisicoquímicos: LOD, F/G, XW, FLAV, L, pH y S de una parte y los sensoriales dulce/retrogusto, astringente, herbáceo y flora/afrutado, que permitieron discriminar las muestras en virtud a su origen geográfico. Las correlaciones asociadas a los componentes principales fisicoquímicos y sensoriales se recogen en la Tabla 5. El modelo generado está relacionado con las secuencias de Tablas múltiples (Tabla 6) y dos submodelos, uno de ellos estructural o interno relacionado con parámetros fisicoquímicos de los tipos de mieles los criterios sensoriales asociados al análisis cuantitativo descriptivo (QDA) y el juicio de los evaluadores de los parámetros sensoriales y olfato gustativos. En el diagnóstico se cumplieron los supuestos del modelo de regresión en términos de normalidad e independencia de los residuos y homocedasticidad en las observaciones.

 

 

 

 

Las evaluaciones en términos de componentes principales (C1 y C2), mostraron una dimensionalidad diferente para cada una de las muestras estudiadas, (Figura 9). La prueba de Bartlett que permite evaluar el origen de muestras considerando la varianza, conllevó a la homocedasticidad para los grupos de mieles de JG, LA, LP, BS y ZP. Las principales correlaciones entre los parámetros fisicoquímicos fueron aw/XAL, pH/PRO, pH/EC y EC/PRO y entre los sensoriales los M/F-R, F-R/A-R, P/A-R, SC/A-R. La Tabla 7, recoge los valores propios y los porcentajes de inercia del análisis de componentes principales para los parámetros fisicoquímicos, sensoriales y los evaluadores de las mieles. Estos valores se explican en las cinco primeras componentes con 97,6% de la variabilidad de los parámetros fisicoquímicos, 83% de los sensoriales y 85,9% del criterio de los jueces.

 


Figura 9. Proyección del análisis de componentes principales a partir de los parámetros fisicoquímicos y sensoriales en la clasificación de las mieles analizadas

 

 

 

En la estructura del modelo PLS-PATH, se recogen los análisis fisicoquímicos y sensoriales en función de su correlación con los dos primeros componentes y que conlleva a la configuración de las variables latentes en cuatro grupos. El primer eje del análisis factorial múltiple (AFM), sugiere las correlaciones entre el bloque de parámetros fisicoquímicos (aw, XAL, pH), los azucares (G, F), la relación (F/G), el bloque sensorial y los juicios de los parámetros hedónicos. En la Figura 10, los números que conectan las variables observables con las latentes son las correlaciones. Los parámetros fisicoquímicos presentan correlaciones positivas, junto a longitud de onda dominante (LOD) y la cromaticidad amarillo/azul (b*) que representan el tono de color de las mieles del Bajo Mayo al igual que, los parámetros sensoriales de aroma, color, dulce/retrogusto, floral/retrogusto y herbáceo y los criterios de juicio de los panelistas. Las correlaciones entre los parámetros cromáticos y los fisicoquímicos de una parte y de los sensoriales y los jueces de otra, presentan las mayores correlaciones de 0,70 y 0,75, respetivamente. Los resultados son comparables con otros trabajos relacionados con mieles.9,11,48

 


Figura 10. Relación PLS-PATH en la clasificación de mieles peruanas del Bajo Mayo a partir del análisis factorial múltiple

 

CONCLUSIONES

El trabajo, permitió evaluar y estudiar las propiedades fisicoquímicas, cromáticas y sensoriales de mieles peruanas a través del análisis de correlación, simultáneo de grupos de variables que han dado paso a estructuras comunes con características definidas, que permitieron formular y generar procesos de clasificación. Se usaron técnicas de análisis multivariado en la construcción de espacios que se interrelacionan con propiedades fisicoquímicas intrínsecas y sensoriales, asociadas a las mieles del Bajo Mayo beneficiadas en la localidad de San Martín, Perú. Los parámetros de acidez libre, actividad de agua, densidad, conductividad eléctrica, humedad, potencial de hidrógeno, color y cromaticidad, contribuyeron a definir los procesos de clasificación y diferenciación de muestras en las categorías ámbar, ámbar claro y ámbar extra claro. Los atributos sensoriales de las mieles de los distritos Juan Guerra, Zapatero, Lamas, Banda de Shilcayo y las Palmas que fueron asociados al análisis cuantitativo descriptivo, posibilitaron la clasificación de grupos de muestras con atributos similares de manera independiente del origen geográfico, hecho que se ha corroborado a través del análisis de redes probabilísticas neuronales y que dieron paso al establecimiento de funciones discriminantes y al agrupamiento mediante análisis de conglomerados. El modelamiento de clasificación mediante técnicas PLS-PATH, permitió cuantificar el efecto que tienen las características y atributos de las mieles del Bajo Mayo, San Martín, Perú, evaluadas en función del origen geográfico. El estudio, se consolida como un modelo para clasificar mieles de diferentes entornos biogeográficos y que brinda la posibilidad de generar nuevas alternativas de organización de datos haciendo, uso de técnicas de análisis robusto.

 

AGRADECIMIENTOS

Los autores expresan su gratitud a los campesinos y apicultores de las localidades de Juan Guerra, Lamas, Las Palmas, Banda de Shilcayo y Zapatero, por facilitar las condiciones para el muestreo. A los profesores Fernando Coronado, Javier Ormeño, Teddy Castillo y al personal técnico de las Facultades de Ingeniería Agroindustrial y Ciencias Agrarias de Universidad Nacional de San Martín (Tarapoto, Perú), por la consolidación del muestreo y las condiciones de traslado de las muestras a la Universidad del Tolima en Colombia. Al equipo de trabajo del Grupo de Investigaciones Mellitopalinológicas y Propiedades Fisicoquímicas de Alimentos de la Universidad del Tolima, por el trabajo adelantado en el proceso de caracterización. Al Departamento de Química por el habitual apoyo al grupo y por el acompañamiento en el proceso de preparación del manuscrito. Finalmente, expresamos toda nuestra gratitud a los evaluadores del artículo y los colaboradores permanentes de la revista Química Nova por las observaciones, sugerencias y recomendaciones al documento final durante el proceso de arbitraje.

 

REFERENCIAS

1. Campo, B. O. I.; Hincapié, Ll. G.A.; Revista Mutis 2022, 13, 1. [ Crossref]

2. de Toledo, V. A. A.; Chambó, E.; En Honey Analysis - New Advances and Challenges; de Toledo, V. A. A.; Chambó, E. D., eds.; IntechOpen: London, 2020. [ Crossref]

3. Perna, A.; Simonetti, A.; Intaglietta, I.; Sofo, A.; Gambacorta, E.; Int. J. Food Sci. Technol. 2012, 47, 1909. [ Crossref]

4. Soares, S.; Amaral, J. S.; Oliveira, M. B. P. P.; Mafra, I.; Food Control 2015, 48, 130. [ Crossref]

5. Silva, A. S.; Alves, C. N.; Fernandes, K. G.; Müller, R. C. S.; J. Braz. Chem. Soc. 2013, 24, 1135. [ Crossref]

6. Soares, S. J.; Soares, S. N.; Pires, S. M. L.; Novaes, S. S.; Lacerda, J. J.; J. Braz. Chem. Soc. 2008, 19, 502. [ Crossref]

7. Anklam, E.; Food Chem. 1998, 63, 549. [ Crossref]

8. Zielinski, L.; Deja, S.; Jasicka-Misiak, I.; Kafarski, P.; J. Agric. Food Chem. 2014, 62, 2973. [ Crossref]

9. Salamanca, G. G.; Álvarez, H. R.; Cienc. Tecnol. 2008, 7, 77. [ Link] accedido en junio 2023

10. Nikhashemi, S. R.; Valaei, N.; Asia Pacific Journal of Marketing and Logistics 2018, 30, 84. [ Crossref]

11. Osorio, M. P.; Rodríguez, N.; Salamanca, G. G.; Ciencia en Desarrollo 2017, 8, 129. [ Crossref]

12. Altendorff, L.; Winter, J.; Lavalle, A.; Revista de Investigaciones Agropecuarias 2019, 45, 74. [ Link] accedido en junio 2023

13. Veiga, G. C.; Johann, G.; Lima, V. A.; Kaushik, N.; Mitterer‐Daltoé, M. L.; J. Sens. Stud. 2021, 36, 1. [ Crossref]

14. Martens, M. En Consumer-Led Food Product Development; Martens, M.; Tenenhaus, M.; Vinzi, V. E.; Martens, H., eds.; Woodhead Publishing: Cambridge, 2007, p. 492. [ Crossref]

15. Tenenhaus, M.; Hanafi, M. En A Bridge Between PLS Path Modeling and Multi-Block Data Analysis: Handbook of Partial Least Squares, Vinzi, V. E.; Chin, W.; Henseler, J.; Wang, H., eds.; Springer: Berlin, 2009, p. 99.

16. Tenenhaus, M.; Pagès, S. J.; Ambroisine, L.; Guinot, C.; Food Quality and Preference 2005, 16, 315. [ Crossref]

17. Álvarez, H. R.; Salamanca, G. G.; Alimentos Ciencia e Ingeniería 2007, 16, 311. [ Link] accedido en junio 2023

18. Rodríguez, A. N.; Reyes, L. M.; Salamanca, G. G.; Congreso Iberoamericano de Ingeniería de Alimentos, Cibia 9, Valencia, España, 2014. [ Link] accedido en junio 2023

19. Marconi, M.; Ormeño, L. J.; Vecco-Giove, C. D.; Peruvian Journal of Agronomy 2020, 4, 55. [ Crossref]

20. Delgado, C.; Mejía, K.; Rasmussen, C.; Cienc. Rural 2020, 50, 12. [ Crossref]

21. Romero-Quispe, A.: Caracterización de Mieles de Abeja (Apis mellifera Lin) en Bosques Secundarios de 6 Localidades de Coronel Portillo, Ucayali; Tesis de Pregrado, Universidad Nacional Agraria La Molina, Lima, Perú, 2017. [ Link] accedido en junio 2023

22. Yuca-Rivas, R.; Ecología Aplicada 2017, 16, 31. [ Crossref]

23. Matamoros, G. P.; Crisostomo, J. L. M.: Características Físiso y Químico de la Miel de Abeja en el Distrito de Acoria-Huancavelica; Tesis de Pregrado, Universidad Nacional de Huancavelica, Perú, 2018. [ Link] accedido en junio 2023

24. Yuca-Rivas, R.; Ecología Aplicada 2016, 15, 27. [ Link] accedido en junio 2023

25. Borja, G.: Análisis del Origen Botánico de la Miel y el Polen Corbicular del Bosque Seco de Lambayeque - Perú; Tesis de Pregrado, Universidad Peruana Cayetano Heredia, Lima, Perú, 2014. [ Link] accedido en junio 2023

26. Paredes, R.; Bryant, V. M.; Palynology 2020, 44, 344. [ Crossref]

27. Coronado, J. M.; Ormeño, L. J.; Barrera, L. M.; Castillo, D. T.; Arnaldoa 2019, 26, 607. [ Link] accedido en junio 2023

28. Saxena, S.; Gautam, S.; Sharma, A.; Food Chem. 2010, 118, 391. [ Crossref]

29. Salamanca, G. G.; Osorio, T. M.; Reyes, M. L.; Quim. Nova 2017, 40, 854. [ Crossref]

30. Reyes, M.; Salamanca, G.; Rev. Fac. Nac. Agron., Univ. Antioquia 2014, 67, 461. [ Link] accedido en junio 2023

31. Chakir, A.; Romane, A.; Barbagianni, N.; Bartoli, D.; Ferrazzi, P.; Aust. J. Basic Appl. Sci. 2011, 5, 223. [ Link] accedido en junio 2023

32. Silva, L. R.; Videira, R.; Monteiro, A. P.; Valentão, P.; Andrade, P. B.; Microchem. J. 2009, 93, 73. [ Crossref]

33. Haouam, L.; Dailly, H.; Bruneau, E.; Tahar, A.; J. Microbiol., Biotechnol. Food Sci. 2019, 8, 1276. [ Crossref]

34. Reyes, M. L.; Salamanca, G. G.; Congreso Iberoamericano de Ingeniería de Alimentos, Cibia 9, Valencia, España, 2014. [ Link] accedido en junio 2023

35. Salamanca, G. G.: Estudio Analítico Comparativo de las Propiedades Fisicoquímicas de Mieles de Apis mellifera, en Algunas Zonas Apícolas de los Departamentos de Boyaca y Tolima; Tesis de Doctorado, Universidad Politécnica de Valencia, Valencia, España, 2004. [ Link] accedido en junio 2023

36. Khalil, M. I.; Sulaiman, S. A.; Gan, S. H.; Food Chem. Toxicol. 2010, 48, 2388. [ Crossref]

37. Ormeño, L. J.: Valoraciones Mellitopalinológicas, Físico-Químicas y Sensorial de Mieles Obtenida por Apis mellifera L. (Hymenoptera-Apoidea) en Ecosistemas de la Cuenca del Bajo Mayo - San Martín; Tesis de Doctorado, Universidad Nacional de San Martín, Tarapoto, Perú, 2019. [ Link] accedido en junio 2023

38. Segurondo, L. S. R.; Huanca, C. M. A.; Cruz, H. M.; Revista Con-Ciencia 2020, 8, 103. [ Link] accedido en junio 2023

39. Gamboa-Abril, M. V.: Estudio e Identificación de Características de Composición y Biactividad Propias de Mieles de Mielato de Apis mellifera; Tesis de Maestría, Universidad Nacional de Colombia, Bogotá, Colombia, 2014. [ Link] accedido en junio 2023

40. Kirkwood, K. C.; Mitchell, T. J.; Smith, D.; Analyst 1960, 85, 412. [ Crossref]

41. Ortiz, V. A.: Contribución a la Denominación de Origen de la Miel de la Alcarria; Tesis de Doctorado, Facultad de Ciencias Biológicas de la Universidad Complutense de Madrid, Madrid, 1992. [ Link] accedido en junio 2023

42. https://www.apiservices.biz/es/articulos/ordenar-por-popularidad/715-determinacion-de-la-actividad-de-agua-en-mieles-colombianos, accedido en junio 2023.

43. Abramovič, H.; Jamnik, M.; Burkan, L.; Kač, M.; Food Control 2008, 19, 1086. [ Crossref]

44. Subbiah, B.; Blank, U. K. M.; Morison, K. R.; Food Chem. 2020, 326, 126981. [ Crossref]

45. Starowicz, M.; Ostaszyk, A.; Zieliński, H.; Foods 2021, 10, 967. [ Crossref]

46. Muñoz, A. M.; Alvarado-Ortíz, C.; Blanco, T.; Castañeda, B.; Ruiz, J.; Alvarado, A.; Rev. Soc. Quim. Peru 2014, 80, 287. [ Crossref]

47. Rodríguez, A. N.; Osorio, T. M.; Salamanca, G. G.; Congreso Iberoamericano de Ingeniería de Alimentos, Cibia 9, Valencia, España, 2014. [ Link] accedido en junio 2023

48. Avilés, H. A.; Matos, R. A.; Revista de Investigación Universitaria 2009, 1, 5. [ Link] accedido en junio 2023

On-line version ISSN 1678-7064 Printed version ISSN 0100-4042
Qu�mica Nova
Publica��es da Sociedade Brasileira de Qu�mica
Caixa Postal: 26037 05513-970 S�o Paulo - SP
Tel/Fax: +55.11.3032.2299/+55.11.3814.3602
Free access

GN1