JBCS



14:55, sáb out 25

Acesso Aberto/TP



Artigo


Avaliação da degradação térmica do caroço de abacate residual para a produção de biocarvões
Evaluation of thermal degradation of residual avocado seed for biochar production

Régis B. MachadoI; Silvio L. P. DiasI,*; Julio C. P. VaghettiI; Geraldo B. MachadoI; Otávio BianchiII,*

I. Departamento de Química Inorgânica, Instituto de Química, Universidade Federal do Rio Grande do Sul, 91501-970 Porto Alegre - RS, Brasil
II. Departamento de Engenharia dos Materiais, Universidade Federal do Rio Grande do Sul, 91501-970 Porto Alegre - RS, Brasil

Recebido em: 21/02/2023
Aceito em: 14/06/2023
Publicado em: 10/08/2023

Endereço para correspondência

*e-mail: silviol@ufrgs.br; otavio.bianchi@gmail.com

RESUMO

The thermal degradation kinetics of avocado seed biomass (Persea americana) was investigated at the heating rates of 5, 15, 20 and 25 ºC min-1 using thermogravimetric (TGA) and differential thermogravimetric (DTG) analysis techniques in the temperature range from ambient to 780 ºC. Chemical analysis of the avocado seed resulted in: 51.4% cellulose, 42.4% hemicellulose, 20.1% lignin, 2.1% ash, 5.6% extractives. The pyrolysis products were characterized via FTIR, SEM/EDS. The isoconversional methods of Ozawa-Flynn-Wall (OFW) and Kissinger-Akahira-Sunose (KAS) have yielded activation energy, Eα, varying from 36-323 kJ mol-1, respectively. The calorific value of biochars produced in the present study in the range of 265 to 475 ºC was 16,17 to 20,24 MJ kg-1, respectively, which are comparable to those reported values in the literature. Analyzing the DTG simultaneously with the addition of thermal energy, it can be seen that low molecular weight compounds represent the first degradation curves, followed by hemicellulose, cellulose and, lignin. The results obtained in the present work indicate that its feasible to prepare biochars with tunable properties from residual avocado seeds using a slow pyrolysis process, adding commercial value and reducing the environmental impact caused by the inadequate disposal of lignocellulosic materials.

Palavras-chave: avocado seed biomass; thermogravimetry; pyrolysis; FTIR.

INTRODUÇÃO

O aumento populacional e econômico que vem sendo observado desde o final do século 19 associado à mobilidade global, a forte industrialização e as questões ambientais como, por exemplo, a excessiva queima de produtos químicos derivados do petróleo que causam a emissão de substâncias tóxicas e gases (CO2, SOx, NOx) produziram um aumento exponencial das demandas por energia, alimentos, água e outros recursos naturais, impactando fortemente o ecossistema em termos de esgotamento dos recursos naturais, aumento da poluição e provocando fortes mudanças climáticas.1-5 Diante desse cenário, a produção de biocarvão a partir de biomassas tem sido sugerida como uma abordagem importante para a redução das concentrações de CO2 atmosférico para níveis carbono zero devido à possibilidade de retardar as taxas de emissões pelo qual o carbono fixo produzido no processo de fotossíntese é devolvido à atmosfera quando aplicado no solo. Os biocarvões apresentam benefícios adicionais por serem fontes de bioenergia renováveis, serem passíveis de utilização como insumo para a melhoria da produtividade agrícola, serem aplicados na recuperação, controle e correção do pH de solos de baixa fertilidade ou degradados e, também para uso doméstico ou industrial.6-9

A pirólise é um processo de conversão térmica de biomassas em ambiente controlado que produz energia, gases, bio-óleos, biocarvões e compostos químicos sendo considerada uma técnica limpa para recuperar a energia armazenada em diferentes biomassas deixando pouco ou quase nenhum desperdício no final do processo.10,11 Vários fatores podem afetar o processo de pirólise destacando-se a natureza da biomassa, a temperatura, a taxa de aquecimento, o tamanho de partícula e o tempo de residência no reator. Os produtos resultantes são materiais que apresentam um alto conteúdo de compostos condensados aromáticos e C aromáticos com diferentes formas de carbono e incluem C amorfo predominante em baixas temperaturas e C com estruturas turboestráticas formadas em altas temperaturas do tipo C vítreo reticulado e C grafite.12-14

O abacate é um fruto comestível oriundo do abacateiro (Persea americana), árvore da família da Lauraceae nativa do México e da América Central que chegou ao Brasil ao redor de 1893 sendo extensamente cultivado em regiões tropicais e subtropicais. Em 2021, a produção mundial de abacate alcançou a marca de 8,69 milhões de toneladas sendo o México e o Peru os maiores produtores e exportadores do fruto.15,16 Nesse mesmo ano, o Brasil produziu 300.284 toneladas da fruta em uma área total plantada de 18.618 hectares, ocupando atualmente a sexta posição mundial, com destaque para o estado de São Paulo como o maior produtor nacional.17 O caroço ou a semente (endocarpo) de abacate que é descartado como resíduo após o consumo da polpa (mesocarpo) representou cerca de 10-13% da fruta correspondente nesse ano, aproximadamente 30-39 toneladas da produção nacional.17,18 O caroço de abacate tem sido utilizado de forma econômica e ecológica na descontaminação de águas residuais, como por exemplo, para a remoção de corantes, cátions metálicos e ânions orgânicos e inorgânicos.18-21 Os carvões modificados obtidos a partir da pirólise do caroço de abacate têm mostrado uma relação alta de porosidade e superfície alveolar cujos poros são capazes de alocar e ancorar diferentes espécies ativas aniônicas e catiônicas metálicas.18-21 Na constituição da maioria das biomassas lignocelulósicas na sua forma natural, usualmente os principais constituintes são os elementos carbono e oxigênio, o nitrogênio encontra-se em menor proporção assim como outros constituintes menores tais como K, P, Mg, Ca, Cl, Sn e Ba.22,23

O caroço de abacate tem sido estudado como matéria-prima para diferentes aplicações industriais, energéticas e alimentares. Recentemente, devido às propriedades estruturais e físico-químicas únicas do caroço de abacate in natura e dos biocarvões produzidos, a biomassa tem atraído muita atenção para o seu uso em aplicações como na remoção de contaminantes emergentes, transformação energética em biocombustíveis como biodiesel e bioetanol, biorefinarias, alimentos, cosméticos e filmes bioplásticos.9,22-26 Hatzakis et al.27 isolaram a perseorangina, um corante natural presente no caroço do abacate, indicando um uso potencial do material como corante. Perea-Moreno et al.28 converteram caroços de abacate em biocombustível com valores de aquecimento superior e inferior de 19,145 e 17,889 MJ kg-1, respectivamente. Outros estudos têm se concentrado na extração de componentes nutracêuticos, como ácidos fenólicos, procianidinas dímero B e trímeros A e B, catequina, perseitol, catequina e epicatequina de caroços de abacate por meio de técnicas de fermentação e assistida por micro-ondas.29 Rivera-González et al.30 estudaram a composição química e as características de digestão in vitro da farinha de caroços de abacate devido ao alto teor de carboidratos. Após o processamento, a farinha de abacate teve um rendimento de aproximadamente 46%, sendo composta por 27% de amido, 6,7% de proteínas, 3,4% de gorduras e 2,71% de cinzas. Esse perfil macronutricional é um indicativo que o caroço de abacate pode ser utilizado como um ingrediente cru adequado para ser convertido em salgados extrusados do tipo isopor (snacks) devido à sua baixa composição lipídica e proteica, juntamente com seu alto teor de amido. Em contraste aos trabalhos já reportados na literatura, o presente estudo avalia o processo de interação entre a matéria e energia em diferentes patamares de temperaturas para a produção de biocarvões com propriedades que podem ser reguladas buscando obter informações detalhadas sobre as características, composição e do rendimento dos produtos de pirólise.

Com relação ao processo de degradação térmica, a hemicelulose é a principal responsável pela estabilidade térmica e pela ordem reacional, a celulose exerce papel significativo nos parâmetros de Arrhenius enquanto que a lignina é o componente responsável pelo perfil final da curva de análise termogravimétrica (TGA).9,31-35 A avaliação cinética do processo de degradação térmica das biomassas se constitui em uma etapa fundamental para o conhecimento dos mecanismos envolvidos durante o processo de carbonização bem como dos produtos formados.9,36 A obtenção dos parâmetros de Arrhenius (energia de ativação e fator pré-exponencial) e ordem da reação envolvidos no processo cinético facilitam a determinação das condições dos processos de transformação térmica que usualmente consistem de múltiplas reações complexas.

O objetivo do presente estudo foi o de utilizar o caroço de abacate (CA) residual como matéria-prima para a produção de biocarvões, correlacionar as diferentes características morfológicas e químicas dos produtos resultantes com a cinética de degradação térmica via TGA e pirólise lenta e determinar os parâmetros de Arrhenius considerando as reações de estado sólido visando demonstrar que os biocarvões obtidos em diferentes temperaturas de pirólise podem apresentar propriedades ajustáveis.

 

PARTE EXPERIMENTAL

Materiais

Os caroços de abacate utilizados neste estudo foram coletados a partir de frutos de abacate comprados em mercado local da cidade de Porto Alegre, RS, localizado nas coordenadas, latitude: -30.0327384 e longitude: -51.2109109. Posteriormente, a biomassa foi lavada com água corrente, para remover a sujeira, e água destilada e posteriormente seca em estufa a 65 °C por 2 h. Em seguida, os caroços de abacate foram triturados em liquidificador doméstico e peneirados em peneira de 250 μm para obtenção de um pó. O caroço de abacate na forma de pó foi armazenado em frasco de vidro até o uso em condições ambientes.

Análise químicas do caroço de abacate residual e dos biocarvões

A avaliação da composição química da biomassa lignocelulósica CA in natura e dos biocarvões produzidos foi realizada de acordo com os seguintes parâmetros: determinação de umidade, determinação de cinzas, extrativos, lignina insolúvel em ácido também conhecida como "lignina Klason", holocelulose e alfa-celulose conforme adotado por Morais et al.37 As análises foram realizadas em triplicata e os resultados foram expressos com os seus correspondentes desvios-padrões.

O teor de extrativos foi determinada por extração soxhlet com o solvente diclorometano (CH2Cl2, 98%) de acordo com a Equação 1:

onde: % extrativos: teor percentual de extrativos; m3: massa (g) do conjunto recipiente/extrativos; m2: massa (g) do recipiente/resíduo de solvente; m1: massa (g) da amostra seca.

Os teores de lignina Klason insolúvel e holocelulose foram determinados a partir das amostras de caroço de abacate residual isentas de conteúdo de extrativos conforme adotado por Morais et al.37 O teor percentual de lignina Klason insolúvel foi determinada a partir da Equação 2:

onde: % lignina: teor percentual de lignina insolúvel; m6: massa (g) do funil de vidro sinterizado mais a massa lignina Klason insolúvel seca; m5: massa (g) do funil de vidro sinterizado seco; m4: massa (g) da amostra seca livre de extrativos.

O teor percentual de holocelulose foi determinda a partir da Equação 3:

onde: % holocelulose: teor percentual de holocelulose; m7: massa (g) do funil sinterizado mais a massa de holocelulose; m5: massa (g) do funil sinterizado seco; m4: massa (g) de amostra seca livre de extrativos.

O teor de hemicelulose presente na amostra foi calculado pela diferença entre a quantidade de holocelulose e α-celulose, conforme Equação 4:37

onde: (m/m): massa/massa.

Análise termogravimétrica (TGA)

Curvas termogravimétricas não isotérmicas (TGA) e termogravimétricas derivadas (DTG) foram obtidas em um TA Instruments, modelo SDT Q600 (New Castle, EUA) utilizando as seguintes condições experimentais: aquisição de sinal de 12 pontos por minuto; temperatura inicial, 20 °C; temperatura final, 700 °C; massa das amostras 10,00 mg; razão de aquecimento de 5, 10, 15 e 25 °C min-1 e fluxo de nitrogênio de 100 mL min-1. Os parâmetros cinéticos de Arrhenius (energia de ativação (Eα) e fator pré-exponencial (A)) foram calculados segundo os métodos cinéticos de Ozawa-Flynn-Wall (OFW) e Kissinger-Ahakira-Sunose (KAS) utilizando o software Origin PRO9.0.32,38 Mais detalhes sobre esses métodos cinéticos podem ser encontrados na literatura.32 Os biocarvões foram produzidos pelo aquecimento da biomassa caroço de abacate por duas horas sob condições isotérmicas nas termperaturas de 265, 299, 353 e 475 °C, respectivamente. As temperaturas utilizadas para obtenção das isotérmicas foram coletadas nos picos de máximo das curvas fornecidas pela primeira derivada (DTG versus taxa de aquecimento) do termograma da biomassa caroço de abacate in natura. Após o processo de termoconversão, os biocarvões resultantes foram utilizados para as caracterizações subsequentes. A TGA isotérmica foi realizada a 265, 299, 353 e 475 °C durante 400 min com amostras contendo aproximadamente 10,00 mg. Em todos os experimentos de TGA, a temperatura do forno foi calibrada usando sinal DTA com padrões de índio e zinco.

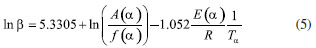
O método de OFW foi aplicado utilizando a aproximação de Doyle, conforme a Equação 5:

Nesse método, é construído um gráfico de ln β que é a razão de aquecimento em função da 1/Tα para cada respectivo valor do grau de conversão, α. Para determinação do fator pré-exponencial normalmente assume-se uma determinada função f(α). Nesse trabalho foi assumido que a mais provável é uma função F1 que é uma reação de primeira ordem (1-α). O método de KAS pode ser aplicado através da utilização de uma correlação linear entre ln ⁡ vs. 1/Tα, de acordo com a Equação 6:

Análise estrutural e morfológica

A espectroscopia de infravermelho com transformada de Fourier (FTIR), modo de transmissão, confirmou os grupos funcionais da biomassa lignocelulósica CA in natura. As medidas de FTIR foram realizadas em um espectrômetro marca Perkin Elmer Impact 400 FTIR na faixa de comprimento de onda entre 4000-400 cm-1, com 32 varreduras e resolução de 4 cm-1 (cristal de diamante a 45º).

A análise química do CA in natura e dos quatro biocarvões para avaliação da composição elementar (carbono, nitrogênio e hidrogênio) foi realizada em triplicata utilizando um analisador Thermo Scientific modelo FlashSmart, sob as seguintes condições de operação: 1-3 g de amostra, tempo de corrida de 720 s com temperatura de combustão do forno a 950 °C. A razão atômica N/C foi determinada para a avaliação do grau de funcionalização e inserção do elemento N na estrutura dos materiais enquanto que as razões atômicas H/C e O/C fornecem informaçõs sobre o grau de aromaticidade e o grau de condensação estrutural do material. Os dados obtidos de composição elementar foram sujeitos a análise de variância (ANOVA) e, quando diferenças estatísticas foram detectadas pelo teste F, foi aplicado o teste de Tukey para 5% de probabilidade (P < 0.05) usando o software Origin PRO9.0.32,38

A morfologia dos biocarvões foi investigada por microscopia eletrônica de varredura (JEOL, JSM-6610LV, Tóquio, Japão) que opera em uma faixa de tensão de 0,1 a 30 kV acoplado com um detector de espectroscopia de raios-X dispersivo de energia acoplado. Antes da análise, os biocarvões produzidos foram depositados em uma fita de carbono e as amostras foram revestidas com uma fina camada de ouro usando um sputtering.

A determinação do poder calorífico da biomassa caroço de abacate in natura na forma de pó e dos biocarvões produzidos foi realizada em um conjunto constituído de uma bomba calorimétrica e um calorímetro adiabádico no Departamento de Físico-Química no Instituto de Química/UFRGS, segundo a norma ABNT NBR 11956 de 1990.39

O efeito térmico da combustão é calculado a partir da observação da elevação da temperatura do sistema e do conhecimento da capacidade térmica do conjunto calorimétrico. A padronização do conjunto bomba calorimétrico/calorímetro foi realizada em relação ao poder calorífico superior do ácido benzóico: 6.324,4 cal g-1 ou 26.479 J g-1.40

 

RESULTADOS E DISCUSSÃO

Composição química

Os procedimentos de análise da composição química da biomassa caroço de abacate foram realizados conforme procedimentos adaptados por Morais et al.37 cujos resultados preliminares foram: 2,1% de cinzas, 5,6% de extrativos com diclorometano, 29,8% de celulose, 20,1% de lignina, 53,0% de holocelulose, 10,6% de alfacelulose e 42,4% de hemicelulose. Os valores foram calculados com base em peso seco. A Tabela 1 apresenta uma comparação da composição química da biomassa caroço de abacate com outras fibras lignocelulósicas.

 

 

Pode ser observado que a amostra da biomassa caroço de abacate apresenta quantidades percentuais de hemicelulose consideravelmente maiores bem como de celulose e de lignina comparáveis as outras fontes de biomassas incluindo as madeiras e os resíduos agro-industriais (cascas e sementes indicando que esses parâmetros devem influenciar diretamente nas propriedades térmicas da fibra). Usualmente, uma maior quantidade de celulose na estrutura lignocelulósica permite uma maior resistência térmica devido à estrutura cristalina menos suscetível ao calor. Fibras que apresentam na sua constituição química maior quantidade de hemicelulose tendem a absorver mais umidade resultando em um aumento do platô térmico da curva de degradação térmica, por exemplo, aumentando a faixa de temperatura de aplicação. Por outro lado, uma maior quantidade de extrativos pode acelerar o processo de degradação exigindo uma menor temperatura de decomposição da biomassa. O maior teor de lignina resulta em menor flexibilidade bem como menor colapsibilidade, resultando em uma diminuição das propriedades mecânicas. Como resultado, uma rede menos compacta é formada aumentando as propriedades do material lignocelulósico.51

Análise elementar e poder calorífico

Os resultados da análise elementar da biomassa caroço de abacate in natura e dos quatro biocarvões são apresentados na Tabela 2. Biomassas e biocarvões residuais ricos em carbono são materiais que usualmente apresentam uma área superficial específica variável e podem ser utilizados periodicamente na remediação de contaminantes devido ao expressivo número de substâncias polares e não-polares. Esses materiais apresentam forte afinidade por elementos inorgânicos tais como metais tóxicos e por moléculas orgânicas persistentes e/ou vestigiais presentes principalmente em ambientes aquosos, podem ser utilizados no condicionamento de solos e contribuem para reduzir as emissões de NH3 e N2O durante os processos de compostagem dependendo das condições de pirólise.52,53 Comumente, o conteúdo de carbono aumenta com o aumento da temperatura de pirólise a partir de 250 até 800 °C enquanto que o conteúdo de hidrogênio diminui.54

 

 

A Tabela 2 mostra os resultados da análise elementar e do poder calorífico para o caroço de abacate in natura submetido às temperaturas de pirólise de 265, 299, 353 e 475 °C. Os resultados demonstraram, com um nível de confiança de 95%, que o aumento da temperatura de pirólise de 265 para 475 °C foi suficiente para os teores dos elementos carbono, hidrogênio, nitrogênio e oxigênio presentes nos biocarvões produzidos a partir do caroço de abacate in natura diferirem estatisticamente (p < 0.05). O teor de oxigênio foi estimado por diferença a partir dos dados obtidos da composição orgânica da biomassa caroço de abacate in natura e dos biocarvões produzidos conforme estabelecido na Tabela 2.18 O aumento gradual da temperatura resultou em um aumento da concentração de carbono nos biocarvões, uma perda progressiva no teor percentual dos elementos hidrogênio e oxigênio e um comportamento que pode ser considerado uma ambiguidade para o elemento nitrogênio, em especial, nas temperaturas intermediárias. As temperaturas utilizadas no processo de pirólise, 265, 299 e 353 °C, não foram suficientes para causar diferenças significativas nos teores de nitrogênio nos biocarvões produzidos nessas referidas temperaturas. Enquanto os teores de nitrogênio no biocarvão produzido a 299 °C não diferem estatisticamente dos teores encontrados para o caroço de abacate in natura, o mesmo comportamento estatístico também é observado para os biocarvões produzidos a 265 e 353 °C com relação ao biocarvão produzido a 475 °C, segundo o teste de Tukey. O aumento da temperatura no processo de pirólise proporcionou um aumento aproximado de 63,2% e 77,5% nos teores de carbono e nitrogênio, respectivamente, e uma diminuição nos teores de hidrogênio e oxigênio da ordem de 45,0% e 44,1%, respectivamente, para o biocarvão produzido a 475 °C com relação ao conteúdo de carbono no caroço de abacate in natura, resultados consistentes com a literatura.52-54 Foi observado que o aumento da temperatura de pirólise para valores na faixa de estudo de 265 até 475 °C proporcionou uma redução da razão atômica de H/C da ordem de 27,6% (0,145 para 0,04), para O/C da ordem de 27,5% (1,02 para 0,28), enquanto que para a proporção N/C, a razão atômica se manteve constante em 0,03 quando comparado ao caroço de abacate in natura. A diminuição observada nas razões atômicas H/C e O/C possivelmente está associada à perda de grupamentos hidroxila (OH) e de compostos orgânicos menos estáveis em razão da ocorrência de reações de desidratação, desidrogenação e desoxigenação que se intensificam em temperaturas mais elevadas.55 Esse fato é corroborado pela diminuição drástica das intensidades dos picos associados aos grupos funcionais presentes nos biocarvões quando a temperatura de pirólise é aumentada, principalmente acima de 300 °C tornando a superfície do biocarvão com características mais hidrofóbicas conforme pode ser observado comparando os espectros de infravermelho apresentados na Figura 3. O nitrogênio é um elemento essencial para o crescimento das plantas e a aplicação de biocarvões para o condicionamento de solos agrícolas é uma forma potencial de aumentar a biodisponibilidade de nutrientes e diminuir a lixiviação do solo.54 A produção de biocarvões em temperaturas de pirólise entre 350-500 °C pode aumentar a disponibilidade de nitrogênio e reduzir as emissões de N2O devido ao conteúdo de aromáticos policíclicos hidrocarbonetos enquanto a temperatura de pirólise mais alta pode aumentar a disponibilidade de potássio, cálcio e magnésio.54-57 Uma maior redução das emissões de N2O é obtida para os biocarvões preparados em temperaturas acima de 250 °C devido a quantidade relativamente grande de compostos fenólicos formados.

O poder calorífico é um importante indicador do potencial energético de qualquer tipo de biomassa ou da eficiência de um processo que pode ser definido como o calor ou a energia liberada por combustão de uma determinada espécie material sob condições específicas. O valor do poder calorífico de uma biomassa pode variar dependendo da composição química, das condições de preservação, da natureza dos contaminantes orgânicos e inorgânicos que podem estar depositados, existindo diferenças entre espécies lignocelulósicas ou até mesmo dentro de uma mesma espécie. Dentro deste contexto, o teor de cinzas, umidade, extrativos, carbono e de hidrogênio, são alguns dos fatores que afetam os valores de poder calorífico de uma determinada biomassa.58 Os resultados da determinação do poder calorífíco da biomassa caroço de abacate in natura e dos quatro biocarvões são apresentados na Tabela 2. Pode ser observado que ocorre um aumento do poder calorífico com o aumento da temperatura de pirólise a partir de 265 até 475 °C. Esses resultados demonstram que quanto maior é a concentração de carbono fixo no biocarvão residual, maior é o poder calorífico dos biocarvões obtidos em temperaturas mais elevadas. A diminuição da razão atômica H/C contribuiu para o aumento expressivo do poder calorífico de 14,71 MJ kg-1 da biomassa caroço de abacate in natura para 20,24 MJ kg-1 do biocarvão obtido a 475 °C. Também contribui para a obtenção desses resultados o baixo teor de cinzas (2,1%) e de extrativos (5,6%) encontrados na composição química da biomassa caroço de abacate in natura. Baixos teores de cinzas e de umidade aumentam a eficiência de conversores termoquímicos já que necessitam de um menor consumo de oxigênio, diminuindo a interferência no poder calorífico e causando menos perda de energia. Os valores de poder calorífico obtidos nesse trabalho são consistentes com relação a alguns valores similares encontrados na literatura para diferentes biomassas lignocelulósicas tais como resíduos de eucalipto (17,30 MJ kg-1),59 casca de amendoim (18,55 MJ kg-1),60 casca de coco (17,35 MJ kg-1),61 casca de avelã (17,21-18,42 MJ kg 1),62 uva (bagaço 16,07-18,97 MJ kg-1; casca 14,60-17,75 MJ kg-1; semente 19,78 21,13 MJ kg-1),63 açaí (fibra 19,91 MJ kg-1; semente 19,32 MJ kg-1).64 Biomassas lenhosas e biocarvões residuais ricos em carbono e com baixo teor de cinzas são materiais que usualmente apresentam um valor de poder calorífico relativamente alto, portanto, são adequados para serem utilizados como materiais combustíveis em fornalhas e caldeiras.65

Microscopia eletrônica de varredura (MEV/EDS)

A morfologia e a evolução estrutural dos biocarvões obtidos por TGA pode ser observada na Figura 1.

 


Figura 1. Microscopia eletrônica de varredura do caroço de abacate in natura e dos biocarvões obtidos por TGA bem como os respectivos teores em termos de massa percentual para K2O; P2O5 e MgO determinados por espectroscopia de energia dispersiva: (a) CA; (b) T = 265 ºC;(c) T = 299 ºC; (d) T = 353 ºC; (e) T = 475 ºC

 

Pode ser verificado que o biocarvão obtido a 265 °C apresenta uma estrutura morfológica fibrosa com feixes unidos muito semelhantes à biomassa lignocelulósica in natura e com um baixo número de poros superficiais, mas que começa a sofrer decomposição térmica com consequente modificação estrutural. A presença de um baixo número de poros observados para o biocarvão obtido a 265 °C é uma indicação da desidratação e do início da liberação de gases voláteis presos dentro da biomassa natural e que a pirólise causou pouca mudança no material de partida. Com o aumento da temperatura de pirólise de 265 para 299 °C há um aumento desordenado e heterogêneo da porosidade provavelmente devido à pequena diferença no aumento da temperatura e a presença de material volátil ainda preso à estrutura. Os biocarvões obtidos a 353 e 475 °C apresentaram mudanças relevantes nas suas superfícies como consequência do grande ressecamento e desintegração do tecido fibroso e surgimento de um grande aumento no número de poros superficiais com características heterogêneas possivelmente formadas pela eliminação intensa de gases e compostos voláteis em temperaturas mais altas. Também pode ser verificado na Figura 1, que em temperaturas acima de 299 °C os elementos como P e Mg determinados por EDS tenderam a apresentar maiores quantidades enquanto que o teor de K diminui ligeiramente. Esses resultados são concordantes com o baixo teor de cinzas da biomassa do caroço de abacate in natura e dos biocarvões obtidos em temperaturas mais elevadas já que a quantidade de cinzas está diretamente relacionada com a quantidade e qualidade de minerais presentes na biomassa como cálcio, magnésio, potássio, fósforo, ferro e sódio que podem provocar redução nos teores de carbono fixo no carvão vegetal.

Espectroscopia de infravermelho com transformada de Fourier (FTIR)

Os espectros de infravermelho com transformada de Fourier (FTIR) da biomassa caroço de abacate em diferentes razões de aquecimento são apresentados na Figura 2. Levando em consideração que o principal objetivo desse estudo foi o de avaliar se a biomassa caroço de abacate preserva os seus grupos funcionais quando submetida a diferentes taxas de aquecimento é possivel inferir que há uma diminuição progressiva de grupos funcionais polares, conforme a análise elementar.

 


Figura 2. Espectros de FTIR dos biocarvões produzidos por análise de TGA nas taxas de aquecimento de 5, 15, 20 e 25 ºC min-1

 

 


Figura 3. Espectros comparativos dos FTIR das amostras de caroço de abacate (CA) in natura e dos quatro biocarvões obtidos no TGA e na pirólise (P) em forno tubular vertical nas temperaturas de (a) 265 ºC; (b) 299 ºC; (c) 353 ºC e (d) 475 ºC

 

Os espectros de FTIR foram coletados entre 4000 e 400 cm-1 onde foram observadas as seguintes bandas: banda larga e intensa em 3440 cm-1 que é atribuída ao grupo O-H; duas bandas nítidas em 2916 e 2846 cm-1 são atribuídas ao estiramento C-H simétrico e assimétrico; uma banda em 1631 cm-1 pode ser atribuída à deformação assimétrica de carboxilatos (O=C=O); pequenas bandas em 1406 e 1387 cm-1 podem ser atribuídas a modo de anel do anel aromático e à flexão O-H, respectivamente; a banda em 1035 cm-1 é atribuída à deformação C-O de grupos fenólicos e álcoois; e a banda em 695 cm-1 pode ser atribuída a curvatura C-H fora do plano nos anéis aromáticos.18,66 Os grupos funcionais mais importantes presentes no caroço de abacate são mantidos mesmo após a variação da taxa de aquecimento e incluem (i) grupos O-H provavelmente de álcoois e fenóis, (ii) anéis aromáticos, (iii) grupos carboxilatos O=C=O e (iv) grupamentos C-H de compostos aromáticos e cadeias alifáticas.18,66

Também foram feitos espectros da FTIR para as amostras do caroço de abacate e dos biocarvões obtidos nas temperaturas de 265; 299; 353 e 475 ºC utilizando as técnicas de análise termogravimétrica (TGA) e por pirólise no forno tubular vertical conforme Figura 3.

Pode ser observado nas Figuras 3(a) e 3(b) que os biocarvões obtidos nas temperaturas de 265 e 299 °C, por pirólise em forno tubular vertical apresentam um espectro de infravermelho muito similar ao espectro obtido para o caroço de abacate in natura na forma de pó indicando que os grupos funcionais presentes no material original são preservados nos biocarvões obtidos por essa técnica. Já nos biocarvões obtidos nessas duas temperaturas pela técnica de TGA podem ser observados uma atenuação nítida na intensidade das principais bandas características do caroço de abacate in natura provavelmente devido às características do processo de carbonização do material sólido que ocorre com uma massa em microescala e em condições experimentais mais próximas de um equilíbrio químico dinâmico. Com o aumento da temperatura de carbonização para 353 e 475 °C, Figuras 3(c) e 3(d), respectivamente, pode ser observado uma atenuação similar das principais bandas características do material de partida do caroço de abacate na forma de pó indicando que em temperaturas acima de 350 °C, os processos globais de carbonização ocorrem de maneira completa e os biocarvões resultantes apresentaram praticamente a mesma composição físico-química com características mais apolares.

Comportamento térmico - TGA e DTG

A temperatura do processo de pirólise, a taxa de aquecimento, o tempo de residência médio e as fontes de biomassas lignocelulósicas são parâmetros que influenciam as propriedades físico-químicas de biocarvões como área superficial, o diâmetro dos poros, os grupos funcionais, a hidrofobicidade, a estabilidade, o potencial Zeta e o pH.65-67 Os processos de pirólise conduzidos em taxas de temperatura lenta ou moderada levam à produção máxima de biocarvões devido à sua faixa de temperatura reacional (300-700 °C), taxas de aquecimento mais lentas (5-30 °C min-1) e tempo de reação mais longos (≥ 30 min).67-69 A escolha da taxa de aquecimento bem como dos outros parâmetros dependerá muito da aplicação final que está sendo escolhida para a biomassa lignocelulósica.

As Figuras 4(a) e 4(b) mostram as curvas de TGA e DTG para o caroço de abacate e para os biocarvões obtidos nas taxas de aquecimento de 5; 15; 20 e 25 °C min-1.

 


Figura 4. (a) Análise termogravimétrica do caroço de abacate em diferentes taxas de aquecimento: 5, 15, 20 e 25 ºC min-1; (b) curvas de DTG

 

Pode ser observado nas Figuras 4(a) e 4(b) um deslocamento no sentido das temperaturas altas com o aumento da taxa de aquecimento cujo efeito é esperado devido às diferenças na transferência de calor durante o aquecimento. A perda de massa em torno de 100 °C é devido à evaporação de produtos voláteis como água e compostos de baixo peso molecular. À medida que a reação prossegue, aparecem dois picos principais, decorrentes do processo de degradação, ao redor de 200 e 300 °C. Esses picos são resultantes do alto conteúdo percentual de hemicelulose presente nas biomassas lignocelulósicas, composto que aumenta a estabilidade térmica. Sabe-se que a maior quantidade de extrativos e de umidade acelera o processo de degradação bem como da celulose que é a responsável pelo pico principal de degradação.9,70-72

Na Figura 4(b) temos as curvas de DTG para o caroço de abacate nas taxas de aquecimento estudadas em 5; 15; 20 e 25 °C min-1. Devido à complexidade estrutural das biomassas lignocelulósicas quando a degradação térmica ocorre em atmosfera inerte seguem-se inúmeras reações múltiplas que ocorrem simultaneamente. Como resultado, pode ser observada uma sobreposição dos picos de degradação com consequente pouca separação dos picos conforme mostrado na Figura 4. O modelo de degradação térmica da biomassa caroço de abacate provavelmente segue a reação de Waterloo, caminho onde os componentes sólidos são decompostos em biocarvões e compostos voláteis.73 Por esse mecanismo reacional, inicialmente, a biomassa lignocelulósica sólida se decompõe em biocarvões sólidos e compostos voláteis gasosos para, em seguida, o biocarvão sólido, se decompor em compostos voláteis gasosos.9,32,74

Apesar de serem mantidos os principais grupos funcionais constatados pelo FTIR, a estabilidade térmica diminui notavelmente com a temperatura. Há uma perda gradual de massa entre as temperaturas de 265 e 299 °C, enquanto que em temperaturas de pirólise mais altas, a diminuição é mais abrupta. Este resultado mostra uma influência evidente da pirólise nas propriedades isotérmicas. Com o objetivo de verificar o efeito da pirólise na estabilidade térmica de biocarvões obtidos em 265; 299; 353 e 475 °C e contribuir para a compreensão os tipos de estruturas formadas durante o processo de pirólise foram realizados curvas isotérmicas em um tempo total de 250 min (Figuras 5(a) e 5(b)).

 


Figura 5. (a) Efeito da pirólise na estabilidade térmica; (b) gráfico da perda de massa percentual em função da temperatura de pirólise em forno de reator tubular vertical

 

Foi verificado nas Figuras 5(a) e 5(b) que os biocarvões obtidos mantêm os principais grupos funcionais observados por FTIR, no entanto, a estabilidade térmica diminui notavelmente com temperatura. Há uma perda gradual de massa para o biocarvão produzido a 265 °C, enquanto para as temperaturas de pirólise acima de 299 °C, a diminuição é mais abrupta. Este resultado mostra uma influência evidente da pirólise nas propriedades isotérmicas. Na temperatura de 265 °C, a massa restante foi ao redor de 45%, a 299 °C de 29%, 353 °C ao redor de 24% e, a 475 °C de 5,4%, o que mostra uma redução quase linear até 475 °C (R ≥ 0,90).

Estudos cinéticos

A dependência da energia de ativação, Eα, foi estudada aplicando os métodos isoconversionais OFW e KAS. O pressuposto básico dos métodos isoconversionais assume que para uma dada extensão da conversão, a velocidade da reação depende apenas da temperatura enquanto o mecanismo de reação independe da taxa de aquecimento.

Os métodos isoconversionais consideram que o modelo de reação para cada grau de conversão a uma determinada taxa de aquecimento é constante e que nenhum conhecimento prévio do mecanismo de reação é necessário.9,75-77

A energia de ativação (Eα) e o fator pré-exponencial (A) associados ao processo de degradação térmica do caroço de abacate em diferentes taxas de aquecimento. A energia de ativação relativa ao processo global é conhecida como energia de ativação aparente e corresponde à soma das energias de ativação das reações químicas e processos físicos que ocorrem simultaneamente durante o processo global da degradação térmica.

As Figuras 6(a) e 6(b) resultaram da aplicação dos métodos FWO e KAS para o caroço de abacate a partir da análise termogravimétrica utilizando as taxas de aquecimento de 5; 15; 20 e 25 °C min-1.

 


Figura 6. Determinação da energia de ativação (Eα) e do fator pré-exponencial (A) pelos modelos: (a) OFW e (b) KAS

 

Os valores de graus de conversão, α, entre 0,1 e 0,7 foram utilizados para representar os dados. Pode ser verificado que a proximidade entre as linhas para as conversões entre 0,3 e 0,7 indica a possibilidade de um mecanismo de reação simples ou a unificação/sobreposição de múltiplos mecanismos de reação diferentes com variações da energia de ativação razoáveis em relação com a conversão. Estudos recentes demonstram que apesar da energia de ativação apresentar uma variação ligeiramente linear com o grau de conversão, o qual geralmente é determinado por um mecanismo de degradação de uma etapa, três etapas diferentes são obtidas para as fibras vegetais constituídas por celulose, hemicelulose e lignina.9 A Eα parece seguir características da celulose, enquanto a hemicelulose e a lignina afetam a ordem de reação de forma mais significativa. Também pode ser observado um distanciamento maior entre as linhas paralelas para α igual a 0,1 e 0,2 com relação às conversões mais altas que é indicativo de mudança no mecanismo reacional (Figuras 6(a) e 6(b)). Esse comportamento de afastamento do processo de degradação global foi corroborado pelos menores valores de coeficiente de determinação (R2) ao redor de 0,90 obtidos para as conversões 0,1 e 0,2 com relação às conversões mais elevadas.

Na Tabela 3 são apresentados os parâmetros cinéticos de Eα e ln A determinados por cada um dos modelos isoconversionais de FWO e KAS para as variações de conversão de 0,1-0,7.

 

 

Pode ser observado na Tabela 3 que as Eα variam desde 36 323 kJ mol-1; 38-323 kJ mol-1, para os métodos OFW e KAS, respectivamente, resultados concordantes com a literatura.75-79 Ambos os métodos resultaram em valores de energia de ativação semelhantes. Na Tabela 3 são apresentados os valores de Eα e ln A. Nota-se que existe um incremento gradual dos valores da energia de ativação com o incremento da conversão para os modelos avaliados. No entanto, os dois métodos geraram energias de ativação, Eα, consistentes com relação a alguns valores encontrados na literatura para diferentes biomassas lignocelulósicas similares como a espiga de milho (OFW: 110-250 kJ mol-1),78 casca de tomate (OFW: 182-245 kJ mol-1, KAS: 58-151 kJ mol-1),79 palha de soja (OFW: 155-179 kJ mol-1, KAS: 159-179 kJ mol-1),80 casca de avelã (OFW: 155-179 kJ mol-1, KAS: 159-179 kJ mol-1),81 resíduo de laranja (KAS: 125-250 kJ mol-1).82 Os valores de ln A (s-1) para ordem de reação n = 1 também apresentaram um aumento gradual e constante com o aumento da conversão da ordem de OFW (3-26 s-1) e KAS (4-25 s-1) sendo consistentes com a literatura.

A Figura 7 apresenta a evolução dos perfis da energia de ativação aparente em função da conversão ln A para cada um dos métodos estudados (OFW e KAS), considerando os valores da faixa de conversão de 0,1 e 0,7.

 


Figura 7. Variação da energia de ativação (Eα) com a conversão para os métodos OFW e KAS

 

Pode ser observado na Figura 7 que há um aumento nos valores de Eα e ln A com o aumento do grau de conversão, independentemente do método usado. Nas frações de conversão entre 0,1-0,2 é possível inferir que o comportamento energético das moléculas da biomassa caroço de abacate se mantém praticamente constante seguido de um incremento energético entre as conversões 0,3 e 0,4 e, finalmente, uma tendência de um platô de energia de ativação para as conversões entre 0,4 e 0,6 que posteriormente aumenta. Este comportamento está relacionado com a decomposição das frações de cada um dos componentes principais (hemicelulose, celulose e lignina) da biomassa usada no trabalho. Em relação ao comportamento de ln A, nota-se que o perfil da curva apresenta uma forma similar a encontrada para Eα já que os valores de ln A refletem as características dos complexos ativados, segundo a teoria de Eyring.9 Portanto, pode-se inferir que à medida que o grau de conversão aumenta implica em uma diminuição na entropia dos complexos ativados, visto que em maiores graus de conversão atingem-se maiores temperaturas em experimentos não isotérmicos. Essa redução da entropia mostra que em menores temperaturas não formam estruturas com ligações condensadas com ligações C-C, que reflete em menores valores de energia de ativação. No entanto, à medida que a temperatura de pirólise aumenta, os complexos ativados são mais organizados e o reflexo disso é o aumento de Eα. Portanto, esse aumento reflete o fato de que ao final da temperatura de pirólise há mais estruturas de carvão com ligações C-C condensadas.

 

CONCLUSÕES

Nesse trabalho foi estudada a degradação termoquímica de uma das porções não comestíveis do fruto de abacate, o caroço de abacate. A composição química indicou que o caroço de abacate comparado a outras biomassas lignocelulósicas possui uma quantidade menor de celulose, um teor intermediário de lignina e um teor de extrativos ao redor de quatro vezes menor influenciando diretamente no comportamento de degradação térmica verificado por TGA. A análise elementar indicou um aumento significativo do teor de carbono fixo de 265 °C (49,59%) para 475 °C (74,48%), uma diminuição praticamente linear 265 °C (5,73%) para 475 °C (2,97%) para o teor de hidrogênio enquanto que o conteúdo de nitrogênio permaneceu praticamente constante. O efeito da temperatura de pirólise na estabilidade térmica do biocarvões indicou uma perda gradual de massa para o biocarvão produzido a 265 °C enquanto para as temperaturas acima de 299 °C a diminuição é mais abrupta. Na temperatura de 265 °C a massa restante foi ao redor de 45%, a temperatura de 299 °C foi de 29%, a 353 °C a perda de massa foi de 24% e a temperatura de 475 °C foi de 5,4% com uma redução praticamente linear até a temperatura de 475 °C. O aumento da temperatura de pirólise possibilitou observar mudanças estruturais significativas por MEV com os biocarvões apresentando características mais desordenadas em temperaturas mais baixas e mais ordenadas em temperaturas mais altas. Foi observado que a Eα determinada pelos isoconversionais de OFW e KAS variou de 36-323 kJ mol-1 considerando o faixa de conversão de 0,1-0,7. Os biocarvões preparados em temperaturas superiores a 300 ºC podem ser considerados materiais promissores para serem utilizados como materiais combustíveis em fornalhas e caldeiras devido a serem ricos em carbono, apresentarem baixo teor de cinzas, boa estabilidade térmica, temperatura de combustão mais elevadas e um conteúdo energético médio relativamente elevado (~ 19 MJ kg-1).

 

AGRADECIMENTOS

Os autores agradecem a agência brasileira Coordenação de Aperfeiçoamento de Pessoal de Nível Superior (CAPES, Brasil) - (código 001) e Conselho Nacional de Desenvolvimento Científico e Tecnológico (CNPq, Brasil) pelo apoio financeiro da chamada Universal CNPq (processos nº 420936-2018-1 e pelo auxílio nº 305814/2021-4). Agradecem também a Central Analítica/IQ/UFRGS, ao Laboratório Multiusuário da Análise Térmica (LAMAT)/IQ/UFRGS e ao Laboratório de Geologia Isotópica(LGI)/IGEO/UFRGS pela disponibilização da infraestrutura.

 

REFERÊNCIAS

1. United Nations; World Population Prospects, Highlights, disponível em https://population.un.org/wpp/publications/files/wpp2019_highlights.pdf, acessada em julho de 2023.

2. United Nations; Back to Our Common Future: Sustainable Development in the 21st Century, disponível em https://sustainabledevelopment.un.org/content/documents/UN-DESA_Back_Common_Future_En.pdf, acessada em julho 2023.

3. Singh, D. P.; Dwevedi, A. Em Solutions to Environmental Problems Involving Nanotechnology and Enzyme Technology; Dwevedi, A., ed.; Academic Press: London, 2019, p. 49. [Crossref]

4. Wan, X.; Li, C.; Parikh, S. J.; Environ. Pollut. 2020, 261, 114157. [Crossref]

5. Lee, J.; Kim, K.; Kwon, E. E.; Renewable Sustainable Energy Rev. 2017, 77, 70. [Crossref]

6. Woolf, D.; Amonette, J. E.; Street-Perrott, F. A.; Lehmann, J.; Joseph, S.; Nat. Commun. 2010, 1, 56. [Crossref]

7. Fowles, M.; Biomass Bioenergy 2007, 31, 426. [Crossref]

8. Lehmann, J.; Gaunt, J.; Rondon, M.; Mitigation and Adaptation Strategies for Global Change 2006, 11, 403. [Crossref]

9. Bazzo, A.; Dias, S. L. P.; Vaghetti, J. C. P.; Ornaghi Junior, H. L.; Agnol, L. D.; Bianchi, O.; Biomass Convers. Biorefin. 2021. [Crossref]

10. Tianqi, L.; Pengyun, M.; Yang, S.; Kuok, H. D. T.; Pow-Seng, Y.; Sci. Total Environ. 2022, 810, 152181. [Crossref]

11. Ubando, A. T.; Rivera, D. R. T.; Chen, W. H.; Culaba, A. B.; Bioresour. Technol. 2019, 291, 1218137. [Crossref]

12. Batista, E. M. C. C.; Shultz, J.; Matos, T. T. S.; Fornari, M. R.; Ferreira, T. M.; Szpoganicz, B.; de Freitas, R. A.; Mangrich, A. S.; Sci. Rep. 2018, 8, 10677. [Crossref]

13. Tomczyk, A.; Sokołowska, Z.; Boguta, P.; Rev. Environ. Sci. Biol.Technol. 2020, 19, 191. [Crossref]

14. Ronsse, F.; van Hecke, S.; Dickinson, D.; Prins, W.; GCB Bioenergy: Bioproducts for a Sustainable Bioeconomy 2013, 5, 104. [Crossref]

15. https://www.statista.com/statistics/577455/world-avocado-production, acessada em julho 2023.

16. Food and Agriculture Organization of the United Nations; Internacional Trade Major Tropical Fruits: Preliminary Results 2021, Rome, 2022. [Crossref] acessado em julho 2023

17. https://www.ibge.gov.br/explica/producao-agropecuaria/abacate/br, acessada em julho 2023.

18. Bazzo, A.; Adebayo, M. A.; Dias, S. L. P.; Lima, E. C.; Vaghetti, J. C. P.; de Oliveira, E. R.; Leite, A. J. B.; Pavan, F. A.; Desalin. Water Treat. 2016, 57, 15873. [Crossref]

19. Leite, A. B.; Saucier, C.; Lima, E. C.; dos Reis, G. S.; Umpierres, C. S.; Mello, B. L.; Shirmardi, M.; Dias, S. L. P.; Sampaio, C. H.; Environ. Sci. Pollut. Res. 2018, 25, 7647. [Crossref]

20. Salomón-Negrete, M. A.; Reynel-Ávila, H. E.; Mendoza-Castillo, D. I.; Bonilla-Petriciolet, A.; Duran-Valle, C. J.; J. Mol. Liq. 2018, 254, 188. [Crossref]

21. Merodio-Morales, E. E.; Reynel-Ávila, H. E.; Mendoza-Castillo, D. I.; Duran-Valle, C. J.; Bonilla-Petriciolet, A.; Int. J. Environ. Sci. Technol. 2020, 17, 115. [Crossref]

22. Mora-Sandí, A.; Ramírez-González, A.; Castillo-Henríquez, L.; Lopretti-Correa, M.; Vega-Baudrit, J. R.; Polymers 2021, 13, 1727. [Crossref]

23. Caballero Sanchez, L.; Lázaro-Mixteco, P. L.; Vargas-Tah, A. A.; Castro-Montoya, A. J.; Research Square 2022. [Crossref]

24. Lara-Flores, A. A.; Araújo, R. G.; Rodríguez-Jasso, R. M.; Aguedo, M.; Aguilar, C. N.; Ruiz, H. A. Em Waste to Wealth; Singhania, R.; Agarwal, R.; Kumar, R.; Sukumaran, R., eds.; Springer: Singapore, 2018, p. 141. [Crossref]

25. Bahru, T. B.; Tadele, Z. H.; Ajebe, E. G.; Chem. Sci. Int. J. 2019, 27, 1. [Crossref]

26. Merino, D.; Bertolacci, L.; Paul, U. C.; Simonutti, R.; Athanassiou, A.; ACS Appl. Mater. Interfaces 2021, 13, 38688. [Crossref] acessado em julho 2023

27. Hatzakis, E.; Mazzola, E. P.; Shegog, R. M.; Ziegler, G. R.; Lambert, J. D.; Food Chem. 2019, 293, 15. [Crossref]

28. Perea-Moreno, A. J.; Aguilera, M. J.; Manzano-Agugliaro, F.; Fuel 2016, 186, 358. [Crossref]

29. Bangar, S. P.; Dunno, K.; Dhull, S. B.; Siroha, A. K.; Changan, S.; Maqsood, S.; Rusu, A. V.; Food Chem.: X 2022, 16, 100507. [Crossref]

30. Rivera-González, G.; Amaya-Guerra, C. A.; de la Rosa-Millán, J.; Int. J. Food Sci. Technol. 2019, 54, 2447. [Crossref]

31. Sunphorka, S.; Chalermsinsuwan, B.; Piumsomboon, P.; Fuel 2017, 193, 142. [Crossref]

32. Cabeza, A.; Sobrón, F.; Yedro, F. M.; García-Serna, J.; Fuel 2015, 148, 212. [Crossref]

33. Ornaghi Junior, H. L.; Ornaghi, F. G.; de Carvalho, B. K. C. C.; Bianchi, O.; Cellulose 2019, 26, 7145. [Crossref]

34. Yao, F.; Wu, Q.; Lei, Y.; Guo, W.; Xu, Y.; Polym. Degrad. Stab. 2008, 93, 90. [Crossref]

35. Erceg, M.; Kresić, I.; Vrandečić, N. S.; Jakić, M.; J. Therm. Anal. Calorim. 2017, 131, 325. [Crossref]

36. Khawam, A.; Flanagan, D. R.; J. Phys. Chem. B 2006, 110, 17315. [Crossref]

37. Morais, J. P. S.; Rosa, M. F.; Marconcini, J. M.; Documento 236: Procedimento para Análise Lignocelulósicas, Campina Grande, Embrapa, 2010. [Crossref] acessado em julho 2023

38. Origin Pro9.0 SR2; OriginLab Corporation, Northampton, MA, USA, 1991.

39. Associação Brasileira de Normas Técnicas (ABNT); NBR11956: Coque - Determinação do Poder Calorífico Superior, Rio de Janeiro, 1990. [Crossref] acessado em julho 2023

40. Shen, J.; Zhu, S.; Liu, X.; Zhang, H.; Tan, J.; Energy Procedia 2012, 17, 208. [Crossref]

41. Bai, Y. Y.; Xiao, L. P.; Shi, Z. J.; Sun, R. C.; Int. J. Mol. Sci. 2013, 14, 21394. [Crossref]

42. Le Floch, A.; Jourdes, M.; Teissedre, P. L.; Carbohydr. Res. 2015, 417, 94. [Crossref]

43. Hossen, M. Z.; Akhter, S.; Tahmina; Akter, S.; Dayan, M. A. R.; American Journal of Pure and Applied Biosciences 2020, 2, 177. [Crossref]

44. Chen, C.; Tan, J.; Wang, X.; Carbohydr. Polym. 2022, 297, 119996. [Crossref]

45. Queiroz, B. G.; Ciol, H.; Inada, N. M.; Frollini, E.; Int. J. Biol. Macromol. 2021, 181, 978. [Crossref]

46. Gao, Y.; Guo, X.; Liu, Y.; Fang, Z.; Zhang, M.; Zhang, R.; You, L.; Li, T.; Liu, R. H.; Sci. Rep. 2018, 8, 10482. [Crossref]

47. Manrich, A.; Martins, M. A.; Mattoso, L. H. C.; Sci. Agric. (Piracicaba, Braz.) 2022, 79, 1. [Crossref]

48. de la Torre, I.; Martin-Dominguez, V.; Acedos, M. G.; Esteban, J.; Santos, V. E.; Ladero, M.; Appl. Microbiol. Biotechnol. 2019, 103, 5975. [Crossref]

49. Zhang, H.; Chen, Y.; Wang, S.; Ma, L.; Yu, Y.; Dai, H.; Zhang, Y.; Carbohydr. Polym. 2020, 238, 1. [Crossref]

50. Fatimatu Bello, F.; Chimphango, A.; Int. J. Biol. Macromol. 2020, 167, 1379. [Crossref]

51. Li, Z.; Zhang, H.; Wang, X.; Zhang, F.; Li, X.; RSC Adv. 2016, 6, 109211. [Crossref]

52. Iqbal, H.; Garcia-Perez, M.; Flury, M.; Sci. Total Environ. 2015, 521, 37. [Crossref]

53. Sohi, S. P.; Krull, E.; Lopez-Capel, E.; Bol, R.; Adv. Agron. 2010, 105, 47. [Crossref]

54. Ding, Y.; Liu, Y.; Liu, S.; Li, Z.; Tan, X.; Huang, X.; Zeng, G.; Zhou, L.; Zheng, B.; Agron. Sustainable Dev. 2016, 36, 36. [Crossref]

55. Sbizzaro, M.; Sampaio, S. C.; dos Reis, R. R.; Beraldi, F. A.; Rosa, D. M.; Maia, C. M. B. F.; Cordovil, C. S. C. M. S.; do Nascimento, C. T.; da Silva, E. A.; Borba, C. E.; J. Mol. Liq. 2021, 343, 117667. [Crossref]

56. Liu, Z.; He, T.; Cao, T.; Yang, T.; Meng, J.; Chen, W.; J. Soil Sci. Plant Nutr. 2017, 17, 515. [Crossref]

57. Yao, D.; Hu, Q.; Wang, D.; Yang, H.; Wu, C.; Wang, X.; Chen, H.; Bioresour. Technol. 2016, 216, 159. [Crossref]

58. Demirbas, A.; Energy Explor. Exploit. 2002, 20, 105. [Crossref]

59. Oliveira, J. L.; Silva, J. N.; Pereira, E. G.; Oliveira Filho, D.; Carvalho, D. R.; Renewable Sustainable Energy Rev. 2013, 21, 52. [Crossref] acessado em julho 2023

60. Perea-Moreno, M. A.; Manzano-Agugliaro, F.; Hernandez-Escobedo, Q.; Perea-Moreno, A. J.; Sustainability 2018, 10, 3254. [Crossref]

61. Said, M.; John, G.; Mhilu, C.; Manyele, S.; J. Renewable Energy 2015, 2015, 1. [Crossref]

62. Hebda, T.; Brzychczyk, B.; Francik, S.; Pedryc, N.; Engineering for Rural Development 2018, 23, 1860. [Crossref]

63. Burg, P.; Ludín, D.; Rutkowski, K.; Krakowiak-Bal, A.; Trávníček, P.; Zemánek, P.; Turan, J.; Visacki, V.; Int. Agrophys. 2016, 30, 261. [Crossref]

64. Bufalino, L.; Guimarães, A. A.; Silva, B. M. S.; de Souza, R. L. F.; de Melo, I. C. N. A.; de Oliveira, D. N. P. S.; Trugilho, P. F.; J. Renewable Sustainable Energy 2018, 10, 053102. [Crossref]

65. Tripathi M.; Sahu, J. N.; Ganesan. P.; Renewable Sustainable Energy Rev. 2016, 55, 467. [Crossref]

66. Ahmad, T.; Danish, M.; Chemosphere 2022, 296, 134036. [Crossref]

67. Kan, T.; Strezov, V.; Evans, T. J.; Renewable Sustainable Energy Rev. 2016, 57, 1126. [Crossref]

68. Leng, L.; Xiong, Q.; Yang, L.; Li, H.; Zhou, Y.; Zhang, W.; Jiang S.; Li, H.; Huang, H.; Sci. Total Environ. 2020, 763, 144204. [Crossref]

69. Sajdak, M.; Słowik K.; J. Anal. Appl. Pyrolysis 2014, 109, 152. [Crossref]

70. Poletto, M.; Ornaghi Junior, H. L.; Zattera, A. J.; Reactions and Mechanisms in Thermal Analysis of Advanced Materials, 1st ed.; Wiley-Scrivener: Weinheim, 2015. [Crossref]

71. Ornaghi Junior, H. L.; Zattera, A. J.; Amico, S. C.; Cellulose 2013, 21, 189. [Crossref]

72. Benini, K. C. C. C.; Voorwald, H. J. C.; Cioffi, M. O. H.; Milanese, A. C.; Ornaghi Junior, H. L.; J. Nat. Fibers 2016, 14, 112. [Crossref]

73. Van de Velden, M.; Baeyens, J.; Brems, A.; Janssens, B.; Dewil, R.; Renewable Energy 2010, 35, 232. [Crossref]

74. Ali, I.; Bahaitham, H.; Naebulharam, R.; Bioresour. Technol. 2017, 235, 1. [Crossref]

75. Ren, J.; Cao, J. P.; Zhao, X. Y.; Yang, F. L.; Wei, X. Y.; Renewable Sustainable Energy Rev. 2019, 116, 109426. [Crossref]

76. Dhyani, V.; Bhaskar, T.; Renewable Energy 2018, 129, 695. [Crossref]

77. Cai, J.; Xu, D.; Dong, Z.; Yu, X.; Yang, Y.; Banks, S. W.; Bridgwater, A. V.; Renewable Sustainable Energy Rev. 2018, 82, 2705. [Crossref]

78. Phuakpunk, K.; Chalermsinsuwan, B.; Assabumrungrat, S.; Energy Reports 2020, 6, 168. [Crossref]

79. Prasad, K. M.; Murugavelh, S.; J. Cleaner Prod. 2020, 254, 120115. [Crossref]

80. Huang, X.; Cao, J. P.; Zhao, X. Y.; Wang, J. X.; Fan, X.; Zhao, Y. P.; Wei, X. Y.; Fuel 2016, 169, 93. [Crossref]

81. Ceylan, S.; Topcu, Y.; Bioresour. Technol. 2014, 156, 182. [Crossref]

82. Lopez-Velazquez, M. A.; Santos, V.; Balmaseda, J.; Torres-Garcia, E.; J. Anal. Appl. Pyrolysis 2013, 99, 170. [Crossref]

On-line version ISSN 1678-7064 Printed version ISSN 0100-4042
Qu�mica Nova
Publica��es da Sociedade Brasileira de Qu�mica
Caixa Postal: 26037 05513-970 S�o Paulo - SP
Tel/Fax: +55.11.3032.2299/+55.11.3814.3602
Free access

GN1