JBCS



14:52, sáb out 25

Acesso Aberto/TP



Artigo

Physicochemical aspects of industrial plant-based beverages

Júlia d'A. FrancisquiniI; Ramon AltivoII; Cristian C. M. DiazII; Juliana de C. da CostaI; Daniela KharfanIII; Rodrigo StephaniII,*; Ítalo T. PerroneI

I. Departamento de Química, Universidade Federal de Juiz de Fora, 36036-330 Juiz de Fora - MG, Brasil
II. Faculdade de Farmácia, Universidade Federal de Juiz de Fora, 36036-330 Juiz de Fora - MG, Brasil
III. John Bean Technologies Máquinas e Equipamentos Industriais Ltda, 14808-900 São Paulo - SP, Brasil

Endereço para correspondência

*e-mail: rodrigo.stephani@ufjf.edu.br

RESUMO

The variety of vegetables available for plant-based beverage production is associated with a lack of specific regulatory aspects and difficult standardization. The aim of this study was to characterize the physicochemical properties of plant-based beverages (five different sources, three different market brands for each vegetable). The parameters studied were pH, moisture content, acidity, soluble ionic calcium at initial pH and pH 4.3, soluble solids, heat coagulation time (HCT), density, conductivity, surface zeta potential, morphology, polydispersity index, particle size. When comparing the mean values of the results found in the present work with model emulsions and/or plant based beverages produced on a laboratory scale, it can be found that the mean values for pH, moisture, soluble solids, calcium, surface zeta potential, particle size, and polydispersity index were similar to the reported values in the literature, however, acidity, HCT, density, and conductivity were lower than those reported in the literature. The coconut plant-based beverage exhibited the most significant statistical difference as compared to other plant-based beverages, especially in terms of pH, conductivity, particle size, and polydispersity index. This study is a promising aid to regulatory agencies and industries for standardization of nutritional value, production, stability, storage and chemical attributes of these beverages.

Palavras-chave: vegetables; vegetarians; lactose intolerant; regulatory aspects; commercial samples.

INTRODUCTION

The increased number of individuals presenting a certain degree of lactose intolerance or allergy to cow's milk protein, as well as the increase in supporters of diets excluding animal-based foods (flexitarian, vegan, or vegetarian) has been growing. This situation makes it necessary for the industrial production of substitutes for animal products, such as plant-based foods.1

Plant-based beverages can be characterized as suspensions or emulsions produced from plant materials, such as cereals, legumes, nuts, seeds, and/or pseudo-cereals.2 There is significant variability in vegetables that can be used to produce beverages, however, there have been no technical regulations of identity and quality to be followed, resulting in a significant number of non-standard industrialized products on the market. Consequently, these plant-based beverages differ in terms of composition, production, stability, storage, claims, ingredients list, sales denomination, and market price.3

Previous studies have characterized plant-based beverages and model emulsions prepared in the laboratory.4-8 Mello et al.3 also evaluated the aspects such as composition, label, and sale prices of industrialized plant-based products.

However, there is a lack of data in the literature on the physicochemical characterization of industrialized plant-based beverages. Obtaining these data will be useful to provide an idea about parameters that can be standardized by regulatory agencies to favor the production of these beverages.9 To date, there is no specific legislation at the national (Brazil) or international levels.

Therefore, the aim of this study was to perform physicochemical characterization of industrialized plant-based beverages by performing state-of-the-art studies on these beverages.

 

EXPERIMENTAL PART

Plant-based beverages of five different vegetables were commercially obtained, with three different brands for each vegetable (n: 5 × 3 = 15 samples). The vegetables were: (1) oat (A1, A2, A3); (2) almond (B1, B2, B3); (3) chestnut (C1, C2, C3); (4) coconut (D1, D2, D3), and (5) soybean (E1, E2, E3). Analyzes were carried out between April and July 2022. For additional information about the analyzed samples, Table 1 shows the list of ingredients and shelf life date of each carton packing plant-based beverages (all samples with 1 L package).

 

 

pH was determined using a portable digital pH meter (Gehaka, PG 1400). Moisture content was determined using the gravimetric method, according to the AOAC International Official Methods,10 by drying in an oven (102 ± 2 °C until constant mass, time average of three and half hours). The results were analyzed using mathematical calculations according to Equation 1:

where: mf is the final mass (capsule + glass beads + sample to constant mass); mt = capsule mass + glass beads; ma = sample mass.

Acidity followed the methodology proposed by ISO/TS 11869:2012-IDF/RM 150:2012.11 An aliquot of the sample was suspended in water, such suspension was titrated potentiometrically by adding sodium hydroxide solution [c(NaOH) = 0.1 mol L-1] until reaching pH 8.30 ± 0.01, with subsequent mathematical calculation expressed by Equation 2:

where: I = titratable acidity in millimoles of sodium hydroxide per 100 g; V = volume in milliliters of sodium hydroxide solution used for titration; m = mass in grams of the sample portion.

A portable ionic calcium meter (LAQUAtwin, Laqua-ca11) was used to determine the soluble ionic calcium at the original sample pH and at pH 4.3 (determined after the acidification of the sample to pH 4.3, by the addition of 12 mol L-1 hydrochloric acid). A portable digital refractometer (Milwaukee, MA-871) was used to obtain the soluble solid content and an oil bath at 155 °C was used to determine the heat coagulation time (HCT).

The density was analyzed using a Gay-Lussac glass pycnometer (25 mL) calibrated with a thermometer (reference temperature of 20 °C), with the result expressed by Equation 3:

where: d = density; m = (mass of full sample pycnometer - mass of empty pycnometer); v = volume expressed in the pycnometer (25 mL).

The conductivity was measured using a microprocessor benchtop conductivity meter (Tecnopon, MCA150). An optical microscope (Medilux, MC30) was used for optical microscopy at the magnification of 0.85 (ocular lens) × 40 (objective lens), performing a total of four fields per analysis performed.

Particle size distribution was determined using a Beckman Coulter LS 13 320 laser diffraction analyzer (Beckman Coulter®, FL, USA) coupled to a liquid analysis module (Beckman Coulter®, FL, USA). The beverages were slowly added to the reservoir containing water at room temperature until an opaque mixture was obtained. Five series of data were collected at 90 s intervals (1.5, 3.0, 4.5, 6.0, and 7.5 min). The results (< 1 and > 1 µm) were obtained using the Fraunhofer approximation for the total solubility.

Finally, the surface zeta potential and particle size distribution were determined by dynamic light scattering (DLS) using a Zetasizer Nano ZS (Malvern, ZEN 3600), with prior dilution of the samples (100 ×). For the surface zeta potential, water was used as a dispersant with a dispersant refraction index of 1.330, viscosity (cP) of 0.8872, and dielectric dispersion constant of 78.5, and three observations were measured at 25 °C.

R language (version 4.2.1) was used to achieve descriptive statistics, and the Shapiro-Wilk test was performed to verify data distribution for each variable prior to computing calculations. The effect of vegetable was analyzed according to the data distribution as follows: (1) for normal data, an ANOVA and Tukey HSD with 95% confidence and (2) for non-normal variables, the Kruskal-Wallis and paired samples Wilcoxon test were applied to estimate the effect of vegetable.

 

RESULTS AND DISCUSSION

Table 2 lists the experimental results obtained for the studied parameters in the physicochemical characterization of the industrially produced plant-based beverages. For comparison, the results found in the literature for each analyzed parameters are also listed in Table 2. According to the Shapiro-Wilk test, 12 out of 15 parameters analyzed did not show a normal distribution; the normal variables were pH, surface zeta potential, and moisture content. Consequently, the mean was calculated as the median and the minimum and maximum values were presented to highlight the variability of the data.

 

 

Currently, there is a lack of results in the literature on the physicochemical characterization of commercially produced plant-based beverages, as the previous reports have focused on plant-based beverages produced in the laboratory. Nevertheless, there are differences in the reported values owing to the methodology used in different studies. The present study is based on the current state-of-the-art in plant-based beverages available commercially, and the objective is to provide a comparison for different vegetable sources that will support new product development.

As the physicochemical characterization of industrial plant-based beverages has not been previously reported, the results shown in Table 2 are valuable and represent an innovation that can support new product development for plant-based beverages by facilitating comparison. Therefore, the results are relevant for both academic and industrial areas, as physicochemical attributes are fundamental for seeking standardization, improving physical and thermal stability, and increasing the shelf life of products. Despite the increase in the production of plant-based beverages at the industrial level, there is still no specific legislation for this product at the national (Brazil) or international level. Thus, the results presented here can be of relevance, as they highlight the differences between beverages due to the lack of standardization. Specific legislation is necessary for searching physicochemical, nutritional, sensorial, microbiological standardization, shelf life, and permitted ingredients added to beverages regardless of the type of vegetable used.

The mean values for pH, moisture, soluble solids, calcium, surface zeta potential, particle size, and polydispersity index were similar to the reported values. However, acidity, HCT, density, and conductivity were lower than those reported in the literature. The range between the minimum and maximum values in the parameters presented in Table 1 indicates a lack of standardization among the analyzed samples. According to the one-way ANOVA, the vegetable material had an important impact on pH (p = 0.0153), moisture (p = 0.0000), and surface zeta potential (p = 0.0008). However, the Kruskal-Wallis test results suggest that Dv90 (p = 0.3567) is the only variable where vegetable does not have an impact. The other non-normal variables presented p-values lower than 0.05, indicating a significant impact of this factor.

Considering the impact of vegetables on plant-based beverage parameters, the physicochemical features cannot be grouped for all vegetables available in the market. This suggests that it is not possible to generate a single list of physicochemical requirements that defines the identity of a plant-based beverage. This demonstrates that it is the limiting factor for specific regulation. Thus, an option to allow partial standardization of the product is to identify trends and subgroups that could generate different types of plant-based beverages.

For industrialized plant-based beverages, the absence of specific legislation implies different manufacturing technologies and the addition of different types and quantities of ingredients.

In reference to the reports on laboratory plant-based beverages, the following results can be highlighted. Padula et al.7 obtained mean values of 3.90 for pH, 1.13 g mL-1 for density, 14.5 °Brix for solids content soluble in plant-based beverages laboratory-formulated with different concentrations of rice and soy. Vallath et al.13 evaluated the physicochemical and sensory properties of plant-based beverage developed with chickpea and obtained moisture contents between 90.63 and 92.02 g 100 g-1, soluble solids content between 4.68 and 7.30 °Brix, and pH between 6.97 and 7.37.

Rincon et al.12 developed plant-based beverages containing chickpea and coconut. They reported maximum soluble solids content of 4.04 °Brix and pH of 6.50, besides titratable acidity between 0.78 and 1.39 mL NaOH 1 mol L-1 100 g-1. Fructuoso et al.15 reviewed the nutritional aspects of plant-based beverages and found that the variation in the amount of calcium was 0.00-1252.94 mg 100 mL-1. Jeske et al.14 studied the effects of high-pressure homogenization and heat treatments on the physicochemical properties of lentil protein solutions and emulsions. They performed HCT analysis and obtained clotting times of 8.28 to 17.41 min.

Rahmati et al.17 investigated the thermodynamic compatibility and probable interactions between speckled sugar been protein and xanthan gum (O/W emulsion). In this study, particle size values between 700.00 and 1072.00 nm, PDI between 0.13 to 1.29, surface zeta potential between -25.00 and -50.00 mV were obtained. Park et al.16 evaluated the effect of high-pressure homogenization on the physicochemical properties of natural plant-based model emulsions. They found the mean particle size was 29.01 ± 2.96 μm, which decreased to 5.12 ± 0.09 μm at 100 MPa and the electrical conductivity increased from 0.58 to 0.61 S m-1 in natural plant based model emulsion. The authors correlated the particle size with conductivity results. The electrical conductivity of a liquid depends on the number of ions that can freely move in the liquid. Moreover, the increase in electrical conductivity can result in modification of the colloidal phase and dispersion of oil globules in the liquid.16 In the aforementioned study, an inverse relationship was found between particle size and electrical conductivity, that is, if the size of the particles increased, there was a reduction in the electrical conductivity. However, in this study, no significant statistical correlation was found between the conductivity and particle size, which can be attributed to the fixed particle size in the emulsion.16

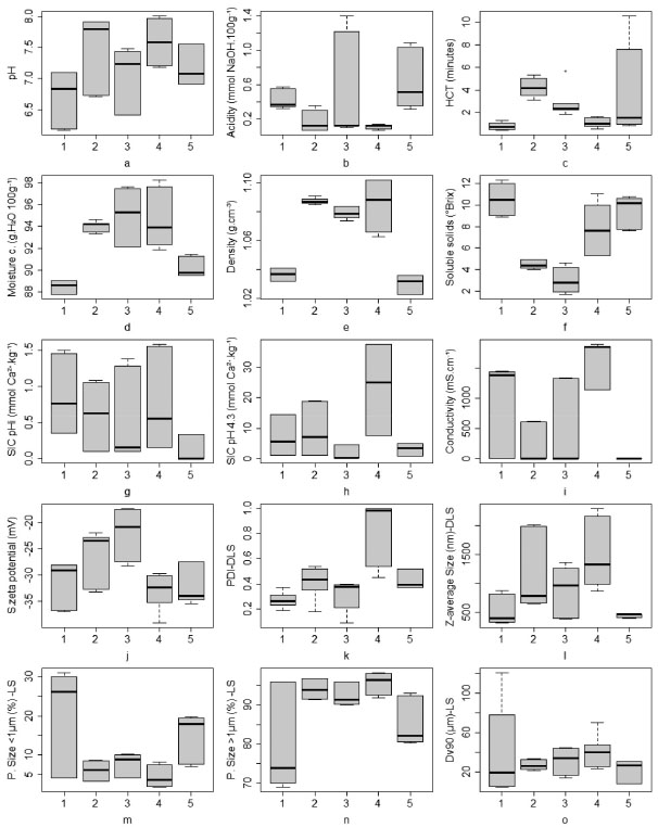
Figure 1 shows the impact of vegetable on the studied parameters. Box plots are plotted as a function of each vegetable (oat, almond, chestnut, coconut, and soybean). The objective of this study was to identify similarities and subgroups that would allow further standardization of different types of plant-based beverages.

 


Figure 1. Box plots as a function of each vegetable (1 = oat, 2 = almond, 3 = chestnut, 4 = coconut, 5 = soybean). The variables analyzed were: (a) pH, (b) acidity (mmol NaOH 100 g-1), (c) HCT (min), (d) moisture c. (content) (g H2O 100 g-1), (e) density (g cm-3), (f) soluble solids content (°Brix), (g) SIC (soluble ionic calcium) pHi (original sample pH) (mmol Ca2+ kg-1), (h) SIC pHi (soluble ionic calcium at initial pH) in pH 4.3 (mmol Ca2+ kg-1), (i) conductivity (mS cm 1), (j) S (surface) zeta potential (mV), (k) PDI (polydispersity index) by DLS, (l) Z-average size by DLS (nm), (m) particle size < 1 µm by LS (%), (n) particle size > 1 µm by LS (%), (o) Dv90 by LS (µm)

 

As not all the analyzed variables present a normal distribution, it is worth mentioning that the comparisons performed in this section consider a Tukey HSD (using the average) and paired samples Wilcoxon test (using the median), according to the distribution of the variable.

For each vegetable, three commercial products of different brands were considered, and they had different ingredients. Hence, it was possible for one brand, when it was significantly different from the other two, to generate a high amplitude in the box plot affecting the distribution. In this situation, all three brands were analyzed, and the extreme values were not filtered as outliers. As all commercial products are commercially available, they are considered safe for consumption.

The pH (Figure 1a) values ranged between 6.0 and 8.0. The highest median (above 7.5) and highest variability were obtained for the beverages formulated with almonds. However, the lowest median (below 7.0) was found for oats and the lowest for soybeans. According to the Tukey HSD, the results with 95% confidence almond, chestnut, coconut, and soybean did not present significant differences, while oat was marginally different from almond (p = 0.043) and significantly different from coconut (p = 0.015).

Regarding acidity (Figure 1b), the medians of almond, chestnut, and coconut did not present significant differences according to the paired samples Wilcoxon test. This group was lower than that of oats and soybeans. In addition, the smallest variability was observed for almonds, oats, and coconuts. Notably, excluding soybean, the median values were below 0.4 mmol NaOH 100 g-1, and it was confirmed that the acidity values were between 0.1 and 0.6 mmol NaOH 100 g-1 for 13 out of 15 brands analyzed, in which only one brand for chestnut and soybean showed results above the limit.

Coagulation time (Figure 1c) was between 1 and 10 min. The clotting time is extremely important for the stability of the sample during storage. It is relevant that for oats and soybeans, the brand with higher titratable acidity exhibited better HCT stabilities with higher times. It generates the amplitude of the soybean box plot with only brand over 6 min of coagulation. Nevertheless, this trend was not observed for the chestnut brands with higher titratable acidity. In general, the median of almond was higher than that of the other vegetables, being the products with better stability, while oats presented a lower HCT time, and the results were homogeneous in the different brands.

Moisture content can be divided into two groups. The first group comprised of oats and soybeans, which had the lowest median value. The other group consisted of almond, chestnut, and coconut, which had higher moisture content. The highest median moisture content (Figure 1d) was found for chestnuts (above 95%) and the lowest for oats (below 90%). The beverages formulated based on chestnut and coconut exhibited greater variability, while those formulated based on almond showed the least variability in the results.

The humidity values ranged from approximately 88 to 98 g H2O 100 g-1, which implies that some products with high moisture content do not represent a significant source of nutritional components relevant to the consumer, such as proteins or carbohydrates. Regarding the density (Figure 1e), as well as moisture, the vegetable oat and soybean represent the group with lower density, below 1.040 g cm-3, while almond, chestnut, and coconut presented higher density, above 1.070 g cm-3. The only vegetable with the greatest variability was the coconut.

In reference to the soluble solids (Figure 1f), higher contents were found for oats and soybeans (above 10 °Brix). This group had samples with higher acidity, lower moisture content, and lower density. Intermediate medians and greater variability were obtained for the coconuts (values between 6-8 °Brix). Finally, lower mean for soluble solids content (less than 5 °Brix), as well as lower variability were obtained for almond and chestnut. Soluble solid content is an important indicator of the flavor and market value of plant-based beverages, indicating maturity and quality of consumption. Soluble solids correspond to the total solids dissolved in water.18 Therefore, the higher the value of °Brix, the greater the concentration of solids in the sample. The highest content of soluble solids was found in the sample based on oats and the lowest based on chestnuts.

The soluble ionic calcium at the original sample pH (Figure 1g) exhibited high variability in the results, regardless of the type of vegetable used. This may be because of the absence of specific legislation that does not stipulate the minimum or maximum concentration of calcium added as an ingredient during the production of commercial plant-based beverages. All the medians in the soluble ionic calcium at the initial sample pH were below 1.0 mmol Ca2+ kg 1. The highest mean value was observed for oats (above 0.7 mmol Ca2+ kg-1), and the lowest value was observed for soybean (below 0.1 mmol Ca2+ kg-1).

Measurement of soluble ionic calcium at pH 4.3 allows the release of calcium bound to sample components, such as proteins, allowing us to obtain the total calcium of a sample. In this case, there was less variability in the results of the soluble ionic calcium pH 4.3 (Figure 1h) compared to the original sample pH. The coconut-based samples exhibited the greatest variability and the highest median of soluble ionic calcium at pH 4.3 (the only one above 20.0 mmol Ca2+ kg-1). The chestnut-based samples had the lowest variability and the lowest mean (close to 2.0 mmol Ca2+ kg 1). Specifically, there is approximately 10 times difference between one vegetable and another. All vegetables had median values below 10.0 mmol Ca2+ kg-1 (except for coconuts). Soybean showed the lowest concentration of Ca2+ in the soluble phase, and the acidic extraction did not release a significant amount of Ca2+, as inferred from the soluble ionic calcium in the original sample pH and soluble ionic calcium sample at pH 4.3. In contrast, the vegetable that released the most important amount of Ca2+ was the coconut, followed by oats and almonds. The conductivity values (Figure 1i) were related to the ions in the solution, and the total ion concentrations of soybean, almond, and chestnut were significantly lower than those of oat and coconut. The samples formulated using oats and coconuts had mean values close/or above 1500 mS cm-1, excluding one brand for oats. In the other samples (soybean, almond, and chestnut), the mean value was close to zero. The concentration of ions in the aqueous phase was practically null. The dispersion of the data was significantly high for all groups because the values obtained were above 1000 mS cm-1 or lower than 5 mS cm-1. For soybean, the three brands had values lower than 5 mS cm-1.

The surface zeta potential (Figure 1j) indicated that the beverages mainly contained fat, carbohydrates, and proteins, which generated high variability. The median values of the samples formulated with oats, almonds, and chestnuts were above -30 mV. In contrast, for the samples formulated with coconut and soybean, the values were below -30 mV. The amplitudes of all vegetables were similar, and the coconut was less dispersed. In terms of colloidal structures, the surface zeta potential refers to the charge of the particles. Almond and chestnut exhibited a less negative charge, whereas coconut and soybean exhibited a more negative charge. The protein charge depends on the isoelectric point, and there is no correlation between pH and surface zeta potential, which suggests that the protein composition may be different in the vegetable groups. The surface charge is also related to calcium extraction by acidification in the coconut, suggesting that the calcium ions are strongly attached to the proteins, but they are released in acidic media, similar to gastric digestion conditions. In soybean, the ion concentration is lower, and they are strongly attached to the proteins, not being released; therefore, we compared the HCT values (Figure 1c), where soybean is the most stable group.

The monodisperse sample had a high degree of uniformity (PDI < 0.4). In contrast, a polydisperse sample has a low degree of uniformity (PDI > 0.4).19 Interestingly, when the PDI was higher than 0.7, the distribution was considered to be polydisperse. The only polydisperse population is coconut (mean PDI around 1.00), the other group's results are between 0.20 and 0.40 (Figure 1k). The oat beverage exhibited the lowest PDI (mean of approximately 0.25), which should therefore be considered the most monodisperse. Previous reports have shown that larger the monodispersity of an emulsion, dispersion, or foam, the greater the structural kinetic stabilization. In addition, the presence of larger particles could be related to a pronounced destabilizing effect.20 With this, it can be understood that the higher the PDI of emulsions, as in the case of plant-based beverages, the greater the chance of the product to destabilize, resulting in problems such as phase separation during the storage period, which may imply difficulty in acceptance by consumers. This demonstrates that, depending on the type of vegetable used, there is variation in the monodispersity/polydispersity of the product, which may affect the stability of industrialized plant-based beverages.

The particle size measured using DLS (Figure 1l) exhibited very little variability in the soy-based sample. In association, these samples, as well as the plant-based beverages that used oats, showed mean particle sizes below 500 nm. Intermediate particle sizes have been reported for almonds and chestnuts (500 and 1000 nm). The largest particle sizes were found in the coconut plant-based beverages (> 1000 nm). Finally, the greatest variability in the data was found for samples made from almonds and coconuts.

Regarding the parameter smaller than 1 µm (Figure 1m), the variability was more significant in the samples formulated based on oats. The mean values found for the % of particles smaller than 1 µm in the samples were also different among the analyzed vegetables: oat (> 25%), almond (close to 5%), chestnut (close to 10%), coconut (lower than 5%), and soybean (close to 20%). The number of particles above 1 µm (Figure 1n), as expected, followed the opposite trend, implying that the increase in the mean followed the sequence: oat (70-75%), soybean (80-85%), chestnut and almond (90-95%), and coconut (> 95%).

Dv90 corresponds to the fact that the particles have values of 90%, which is equal to or less than the reported results.21 For all analyzed vegetables, 90% of the particles exhibited mean values in the region between 20 and 40 µm. In relation to this attribute, plant-based beverages formulated with oats obtained greater amplitude. The other samples varied slightly with the brands analyzed. Notably, the particle size distribution in this case ranged from approximately 5-120 µm. Interestingly, from the box plot, it can be concluded that oats had the lowest and highest values for the particles.

The two methodologies used to determine particle size and distribution confirmed the same result (in relation to the mean value): sample oats showed smaller particle sizes and sample coconuts showed larger particle sizes. Large particles are usually associated with problems in stability during the storage of beverages. The size of the dispersed phase particles in plant-based beverages is an important factor governing their stability and may thus interfere with the shelf life of the product, as well as its acceptability by consumers.22 In view of the above, it can be concluded that the oat sample (for the most part) is probably the one with the greatest stability against storage, whereas the coconut-based sample (for the most part) will probably exhibit less stability during this shelf life. It is relevant that oats and soybeans represent a group with a higher percentage of particles smaller than 1 µm (Figures 1m and 1n) and a lower Z-average size determined by DLS (Figure 1l). This is strongly related to the density of this sample and significantly differentiates this group from almond, chestnut, and coconut. With increasing Z-average size, the HCT time decreased, suggesting that the correlation between particle size and stability was significant when more than 90% of the particles had a size greater than 1 µm (Figure 1n).

Figure 2 shows the optical microscopy images of the analyzed samples and overlapping laser diffraction particle size distribution curves (LS). In this section, the aim was to visually present the particle size distribution and morphology of the samples for each vegetable and brand.

 


Figure 2. Optical microscopy images and particle size distribution at the analyzed plant-based beverages (1 = oat, 2 = almond, 3 = chestnut, 4 = coconut, and 5 = soybean) of three different brands for each plant (brands A, B, and C)

 

Optical microscopy showed that the highest variation was due to the differences in the vegetables used. Within the same vegetable, beverages formulated with almond, chestnut, and coconut showed the largest discrepancy among different brands. Beverages formulated with oats and soybeans showed a similar microscopy results, despite the variation in commercial brands. Interestingly, in addition to the physicochemical analysis, the optical microscopy of commercial plant-based beverages presented is one of the first times reported in the literature.

In addition to the results of particle size distribution, an overall mean of 11.16% of particles were in the region below 1 µm and an overall mean of 88.85% of particles were in the region above 1 µm. The sample that showed the highest volume percentage of large particles (> 1 µm) was coconut (around 98.10%) and the sample with the lowest volume percentage of large particles (> 1 µm) was oat (approximately 69.00%).

It is possible to infer high variability between samples with regard to the percentage number of particles above and below 1 µm (coefficient of variation of 85.78% for < 1 µm and 10.78% for > 1 µm). It was then observed that there was no standardization of the particle size. Plant-based beverages are colloidal dispersions that feature a number of components of different sizes, such as fat globules, ground raw materials, proteins, and carbohydrates. This can contribute to unstable products during storage owing to phenomena such as creaming, sedimentation, and phase separation.22

Each sample exhibited different behavior with respect to particle size distribution. Therefore, there was no pattern between vegetables or within the same vegetables. For some foods such as milk, a pattern has already been reported in the literature for this granulometric distribution.23 This difference and lack of standards may be due to the different types of vegetables used, as well as different types of ingredients. Nevertheless, a common situation for all analyzed samples was that the particle distribution was in the range of 0.10 and 1000 µm. As mentioned previously, this study represents the state of the-art commercial plant-based beverages. Thus, the mentioned fact can contribute to a possible inference of the usual range of the particle distribution.

It is difficult to find previous reports that corroborate the presented results in this study regarding optical microscopy and particle size for industrial plant-based beverages. They were found in studies carried out by Wang et al.,4 Dai et al.,5 Zhang et al.,6 and Li et al.,8 which showed the results of optical microscopy and particle size. However, in the model, emulsions were formulated based on vegetables.

 

CONCLUSION

This study proves to be promising, given the lack of previously reports on the characterization of industrial plant-based beverages. Therefore, the presented research can be considered a state-of-the-art referring to the current state of knowledge about industrialized plant-based beverages commercialized in the market, which can help industries in the development of new plant-based beverages with greater standardization. Additionally, it can help in the potential development of specific legislation for these plant-based beverages.

 

ACKNOWLEDGEMENTES

The authors are thankful for the support from the National Council for Scientific and Technological Development (CNPq) with the support grants 307334/2020-1 and 317190/2021-0 the support grants from the academic doctorate of innovation (403602/2020-3 DAI Program-CNPq) and postdoctoral support CNPq-PDE 402339/2022 3. We also appreciate the Coordination for the Improvement of Higher Education Personnel (CAPES), grant number 001, and John Bean Technologies Máquinas e Equipamentos Industriais Ltda. The authors declare no conflicts of interest.

 

REFERENCES

1. Aydar, E. F.; Tutuncu, S.; Ozcelik, B.; J. Funct. Foods 2020, 70, 1. [Crossref]

2. Sethi, S.; Tyagi, S. K.; Anurag, R. K.; J. Food Sci. Technol. 2016, 53, 3408. [Crossref]

3. Mello, L. O.; Francisquini, J. D. A.; da Costa, J. D. C.; Kharfan, D.; Perrone, I. T.; Stephani, R.; Research, Society and Development 2021, 10, 1. [Crossref]

4. Wang, L.; Wu, M.; Liu, H. M.; Carbohydr. Polym. 2017, 163, 181. [Crossref]

5. Dai, L.; Sun, C.; Wei, Y.; Mao, L.; Gao, Y.; Food Hydrocolloids 2018, 74, 239. [Crossref]

6. Zhang, Y.; Zhou, F.; Shen, P.; Zhao, Q.; Zhao, M.; Food Hydrocolloids 2020, 103, 105646. [Crossref]

7. Padula, C. C. G. B.; Coutinho, A. P. C.; Battaglini, N. M. P.; Brazilian Journal of Development 2020, 6, 39825. [Crossref]

8. Li, H.; Li, F.; Wu, X.; Wu, W.; Food Hydrocolloids 2021, 121, 107006. [Crossref]

9. Arbach, C. T.; Alves, I. A.; Serafini, M. R.; Stephani, R.; Perrone, I. T.; de Carvalho, J. D. C.; Science of Food 2021, 5, 1. [Crossref]

10. AOAC: Official Methods of Analysis, available at https://www.aoac.org/scientific-solutions/standards-and-official-methods/, accessed in August 2023

11. ISO; ISO/TS 11869:2012 (IDF/RM 150:2012) Fermented Milks - Determination of Titratable Acidity, 2022. [Crossref] accessed in July 2023

12. Rincon, L.; Botelho, R. B. A.; de Alencar, E. R.; LWT--Food Sci. Technol. 2020, 128, 109479. [Crossref]

13. Vallath, A.; Shanmugam, A.; Rawson, A.; The Pharma Innovation Journal 2021, 10, 1871. [Crossref] accessed in July 2023

14. Jeske, S.; Bez, J.; Arendt, E. K.; Zannini, E.; Eur. Food Res. Technol. 2019, 245, 1519. [Crossref]

15. Fructuoso, I.; Romão, B.; Han, H.; Raposo, A.; Ariza-Montes, A.; Araya-Castillo, L.; Zandonadi, R. P.; Nutrients 2021, 13, 2650. [Crossref]

16. Park, S. H.; Min, S. G.; Jo, Y. J.; Chun, J. Y.; Korean Society for Food Science of Animal Resources 2015, 35, 630. [Crossref]

17. Rahmati, N. F.; Koocheki, A.; Varidi, M.; Kadkhodaee, R.; J. Food Sci. Technol. 2018, 55, 1143. [Crossref]

18. Sirisomboon, P.; Nawayon, J.; J. Near Infrared Spectrosc. 2017, 25, 203. [Crossref]

19. Queiroz, E. S.; Rezende, A. L. L.; Perrone, I. T.; Francisquini, J. D. A.; de Carvalho, A. F.; Alves, N. M. G.; de Oliveira, L. F. C.; Stephani, R.; LWT--Food Sci. Technol. 2021, 147, 111516. [Crossref]

20. Dickinson, E.; J. Colloid Interface Sci. 2015, 449, 38. [Crossref]

21. de Paula, I. L.; Teixeira, E. B. S.; Francisquini, J. D. A.; Stephani, R.; Perrone, I. T.; de Carvalho, A. F.; de Oliveira, L. F. C.; LWT--Food Sci. Technol. 2021, 151, 112124. [Crossref]

22. Dhankhar, J.; Kundu, P. In Milk Substitutes-Selected Aspects; Ziarno, M., ed.; IntechOpen: London, 2021, ch. 3.

23. Francisquini, J. D. A.; Martins, E.; Renhe, I. R. T.; Oliveira, L. F. C. D.; Stephani, R.; Perrone, I. T.; Carvalho, A. F. D.; Quim. Nova 2020, 43, 226. [Crossref]

On-line version ISSN 1678-7064 Printed version ISSN 0100-4042
Qu�mica Nova
Publica��es da Sociedade Brasileira de Qu�mica
Caixa Postal: 26037 05513-970 S�o Paulo - SP
Tel/Fax: +55.11.3032.2299/+55.11.3814.3602
Free access

GN1