JBCS



14:54, sáb out 25

Acesso Aberto/TP



Artigo

Mathematical modeling of the biodiesel oxidation process in the presence of natural ethanolic extracts of jabuticaba peels, gabiroba leaves, and hibiscus flowers

Isadora Guilherme BrancoI; Julia W. CamposI; Nathan F. SilvaI; Marco Aurelio J. ClementeI; Ana Carolina G. MantovaniII; Letícia Thaís ChendynskiIII; Dionisio BorsatoI,*

I. Departamento de Química - LPAC, Universidade Estadual de Londrina, 86057-970 Londrina - PR, Brasil
II. Centro Universitário Ingá (UNINGÁ), 87035-510 Maringá - PR, Brasil
III. Instituto Federal do Paraná, 86870-000 Ivaiporã - PR, Brasil

Recebido em: 05/04/2023
Aceito em: 06/07/2023
Publicado em: 16/08/2023

Endereço para correspondência

*e-mail: dborsato@uel.br

RESUMO

Natural additives with antioxidant properties can be used as biodegradable and sustainable alternatives to synthetic products, because they can inhibit the biodiesel oxidation reaction, increasing oxidative stability and extending its storage period. This research evaluated the efficiency of jabuticaba peels, gabiroba leaves, and hibiscus flowers in ethanolic extracts, analyzing through the simplex-centroid design, the induction periods (IP) and rate constants (k) of the biodiesel oxidation reaction at 110 °C. Antioxidant activity was observed in all extracts, either decreasing k or increasing the IP. The mathematical models obtained showed coefficients of determination greater than 0.9400, a non-significant lack of fit at the 5% level, and low dispersion between predicted and experimental data, indicating that the 1st order reaction fit was appropriate and can be used for predictive purposes. In this work, the optimization was performed with maximization of IP and minimization of k showing that the mixture containing 25% of jabuticaba peels extract and 75% of gabiroba leaves extract was the most suitable, because proportionally increased the IP and decreased k of the biodiesel oxidation reaction. It is possible to suggest the use of jabuticaba peels extract or gabiroba leaves extract as well as various combinations between them as antioxidant additives.

Palavras-chave: induction period; rate constant; simplex-centroid; phenolic compounds.

INTRODUCTION

There is a growing search for renewable and sustainable energy sources to replace petroleum derivatives to minimize environmental impacts caused by gas emissions from vehicle engines powered by fossil fuels and mitigate the consequences such as air pollution and climate change.1

The use of biofuels has been presented as a viable alternative in the search for clean and renewable energy sources.2,3 Among biofuels, biodiesel is highlighted for its increasingly important role in the energy matrix of several countries, and its demand continues to increase every year.3,4

Biodiesel can be defined as a mono-alkyl ester of fatty acids derived from renewable sources, which can be produced through the transesterification reaction of vegetable oils or animal fats with an alcohol, usually methanol, and a catalyst, such as sodium or potassium hydroxide.5,6

However, due to the nature of the raw material used in biodiesel production, it degrades more quickly than fossil fuels, which are relatively inert and maintain their essential characteristics during storage. Biodiesel can change due to the effects of air, light, temperature, humidity, and the presence of inorganic contaminants such as ions of some transition metals. The oxidation resulting from exposure to atmospheric air is one of the main degradation problems.4,7

The changes caused by oxidation produce organic compounds such as acids, aldehydes, esters, ketones, peroxides, and alcohols.4,8 These products not only affect the properties of biodiesel but also cause malfunctions in vehicles. This instability is a major barrier to the increased acceptance of biodiesel by engine manufacturers.9

To inhibit or delay biodiesel oxidation, chemical compounds with antioxidant properties are used, which can be of synthetic or natural origin.10,11 The addition of antioxidants delays or inhibits the stages of initiation and propagation of biodiesel oxidation. The oxidation of unsaturated compounds occurs at different rates depending on the number and position of the double bonds. Biodiesel contains significant amounts of esters of oleic, linoleic, or linolenic acids, which influence the oxidative stability.12 Phenolics compounds can inhibit chain reactions of radical oxidation, providing hydrogens of the hydroxyl groups, forming stable substances that do not promote the oxidation propagation of the methyl and ethyl esters of the biodiesel,13 allowing its prolonged storage while maintaining its performance characteristics and ensuring its suitability for use in engines.14

Many antioxidants have been studied and commercialized for this purpose. Synthetic compounds are commonly used, such as tert-butylhydroquinone (TBHQ), butylhydroxyanisole (BHA), butylhydroxytoluene (BHT), and propylgallate (PG)2,15 but they have a high cost, low biodegradability and high toxicity.16 An alternative to replace synthetic antioxidants is natural extracts with antioxidant properties, such as those produced from fruit peels,17,18 condiments,19,20 leaves, and flowers.21,22

Some authors have used experimental designs with multiresponse optimization algorithms to evaluate the efficiency of antioxidants in biodiesel, individually or in mixtures. For example, three natural antioxidants were tested in babassu biodiesel using a 23 experimental design. The viscosity, specific mass, and oxidative stability of the biodiesel samples were evaluated, and to determine the best conditions for the use of antioxidants, a statistical analysis was performed applying the response surface methodology.10 The simplex-centroid mixture design was employed to determine the apparent activation energy, the relative protection factor, and the efficiency of natural antioxidants in the biodiesel oxidation reaction.23

Mixture designs are used to improve the formulation or even the development of new products. In these designs, two or more ingredients or components are mixed in different proportions and the characteristics of the products are registered, with the responses obtained depending only on the proportions of the components present in the mixture and not on their absolute quantity.24,25 The optimal formulation of a product is not only strictly a technological problem nor a commercial problem. In general, both areas offer restrictions that contribute to determining which formulations are possible.23

Optimization methods have been applied in different ways in industries that use chemicals, thermal processes, and management to reduce costs. Orives et al.26 used multi-response optimization to minimize the cost of synthetic antioxidants and maximize the induction period (IP) of biodiesel obtained from soybean oil and lard. Galvan et al.27 modeled and simulated the transesterification reaction using the finite element method associated with simplex optimization to determine the forward and backward rate constants in three-step consecutive reversible reactions. Galvan et al.28 evaluated four different kinetic models and mechanism approaches for the soybean oil transesterification reaction. The optimization of the kinetic parameters was obtained by the particle swarm optimization method. Monitoring of reaction progress was also performed based on experimental results applying self-organizing map neural networks.

Regarding obtaining optimal formulations, mixture designs can generate several responses simultaneously, making it difficult to find the optimal solution.6,26 However, Derringer and Suich29 suggested a method to determine the best combination of multiple responses with restrictions using a compromise function defining the desirable ranges.

The objective of this research was to present an efficient analysis of natural extracts with antioxidant properties when added to biodiesel, using the experimental design of mixtures, as well as to study the biodiesel oxidation kinetics by monitoring the oxidation reaction at 110 ºC.

 

EXPERIMENTAL

Biodiesel

The biodiesel used was obtained from the transesterification reaction of a mixture of refined palm oil (S.S. Moratto Comércio de Insumos®) with refined soybean oil (COAMO®), in the proportion of 50% w/w, with potassium hydroxide (95%, Sigma-Aldrich) as a catalyst at a concentration of 0.8% w/w. The synthesis occurred under reflux, heating at 60 °C and stirring for 2 h. The phases were separated and the biodiesel was washed first with an aqueous solution of hydrochloric acid (1.5% w/w) and then with water, both at 80 °C, until neutral pH and dehumidified.

Natural extract

Jabuticaba peels, gabiroba leaves, and hibiscus flowers were dried in an oven at 60 °C, separately. Each extract was prepared by mixing 10 g of the dry sample in 250 mL of absolute ethanol and kept in the dark for 48 h. Then, the mixture was filtered using a quantitative filter paper (UNIFIL®). Each solution had its volume reduced by the heating plate at 60 °C to approximately 50 mL, transferred to 50 mL volumetric flasks, and completed with absolute ethanol.30

Phenol content

Total phenolic compounds were determined using the Folin-Ciocalteu method and UV-Vis spectrometer (Thermo Scientific, model Evolution 60) at 760 nm. The phenol content in each extract was expressed in gallic acid equivalents (GAE) per gram of dry matter.22

Chromatography

The chromatographic analysis of each extract was performed in a Finnigan Surveyor Thermo Scientific liquid chromatograph equipped with a photodiode array detector (HPLC-PDA) at 200, 210, and 330 nm wavelengths. Gradient elution took place at a controlled temperature of 20 °C and flow rate of 1000 μL min-1. The mobile phase solvent system consisted of ultrapure water (A) and acetonitrile (B), with a mode elution gradient from 5 to 70% B in 28 min, 70% B between 28 and 40 min, and 70 to 100% B between 40 and 60 min. The column used was ACE5 C18 (250 mm × 4.6 mm i.d., particle size: 5 µm) and an injection volume of 20 μL. The extract was diluted 1:100 in the initial mobile phase of the chromatographic run and filtered through a PTFE 20/25 0.20 µm membrane (Chromafil® Xtra). Data were processed using the ChromQuest 4.2 program. The high-performance liquid chromatography with photodiode array detection was used to verify the chemical diversity present in the ethanolic extracts from the physical separation of these components and the consequent detection of the molecular absorption spectral profile in the region of 190-800 nm.31

Mixture experimental design

The simplex-centroid experimental design (Figure 1) with 2q-1 combinations was used, where q = 3 is the number of components whose sum is 1 or 100%, with two replications at the central point.24

 


Figure 1. Simplex-centroid experimental design for three components

 

Mathematical model

The special cubic model used was:

where Y represents the dependent variables or induction period and rate constant responses, and x1, x2 e x3 are the components that correspond, respectively, to the proportion of extracts of jabuticaba peels, gabiroba leaves, and hibiscus flowers, β are the estimated parameters and ε are the independent random errors with a normal distribution (Equation 1).24,25

Sample preparation

Biodiesel samples were prepared individually by adding 7.5, 11.8, and 20.6 mL of jabuticaba peels extract, gabiroba leaves extract and hibiscus flowers extracts, all alcohol-free, respectively, to 100 g of biodiesel, and kept at rest for 24 h. These volumes were determined through prior experimental tests to ensure that each biodiesel sample had the same concentration of GAE with IP equal to or greater than 8 h, which is the minimum value specified by the EN14214 standard.32 The alcohol was removed through evaporation using a heating plate at 60 °C. The binary and ternary mixtures were prepared according to the simplex-centroid design.

Oxidative stability

The oxidative stability of the control biodiesel and each sample containing only one type of natural extract and in binary and ternary mixtures were analyzed in a Rancimat equipment, model 743 (Metrohm Instruments®), according to the specifications established by the EN14112.33

Rate constant

The rate constants (k) were determined for each assay at 110 °C. The data were adjusted to the natural logarithm (ln) of electrical conductivity vs. time provided by the accelerated oxidative stability test (EN14112),33 until the inflection point, considering the first-order reaction.30 According to Equation 2, the slope corresponds to the rate constants (k) of the biodiesel oxidation reaction.

where Λ is the electrical conductivity at time t; Λ0 is the initial conductivity and ti and tf correspond to the initial and final time, respectively.

Multi-response optimization

To evaluate the importance of the combined addition of the three extracts with antioxidant properties, their proportion was optimized to maximize the induction period and minimize the rate constant of the biodiesel oxidation reaction. It was used the desirability functions originally developed by Harrington34 and improved by Derringer and Suich.29 According to Borsato et al.2 this method can evaluate a set of responses simultaneously, allowing the determination of the most desirable set of conditions.

These functions involve normalizing each dependent variable into a desirability value (dn), where 0 ≤ dn ≤ 1, dn = 0 for Yn ≤ a (lower limit), and dn = 1 for Yn ≥ b (upper limit) when the objective is maximization. To perform the minimization, these limits are inverted, which represents a complement (1-dn). The curvature degree between the inflection points is user-specified. The convenience response function (D) must be determined as the geometric mean of the individual desirability functions, as suggested by Derringer and Suich.29

A null value for dn indicates that the contribution of D is zero, representing an unsatisfactory response. On the other hand, if the value of the function is the maximum convenience (D = 1), the overall contribution has been achieved.29,34

Statistical analysis

The statistical parameters of the mathematical models, the coefficients of determination (R2), the analysis of variance (ANOVA), and the multiresponse optimization were determined using the Statistica software v.13.4.0.14 (2018).35

 

RESULTS AND DISCUSSION

High-performance liquid chromatography with photodiode array detection was used to identify the varieties of chemical components present in jabuticaba peels, gabiroba leaves, and hibiscus flowers, separating the substances in the region of 190-800 nm.

Chromatography analysis of the jabuticaba peels extract showed the presence of citric acid, flavan-3-ol monomers as catechins, and phenolic acids such as gallic, protocatechuic, and caffeic acids.31,36 In the analysis of the extract of gabiroba leaves, the presence of pigments with absorption bands in the visible region at 674 nm was verified, probably chlorophyll, as well as molecular spectra characteristic of organic acids and phenolic acids. In the hibiscus flowers extract, the presence of flavan-3-ol organic acids and phenolic acids in its composition was identified.31

The alcoholic extracts of jabuticaba peels, gabiroba leaves, and hibiscus flowers were analyzed for total phenol concentration by the Folin-Ciocalteu method. Phenols have in their chemical structures one or more hydroxyl groups that are responsible for decreasing the reactivity of organic radicals generated during the oxidation of biodiesel esters.20

The total phenol content expressed in gallic acid equivalent in the extracts of jabuticaba peels, gabiroba leaves, and hibiscus flowers were as follows: 28.56 mg GAE g-1 dry mass, 18.16 mg GAE g-1 dry mass, 10.39 mg GAE g-1 dry mass, respectively.

These values are similar to those found in the literature for extracts of jaboticaba peels (Myrciaria jaboticaba), gabiroba leaves (Campomanesia xanthocarpa), and hibiscus flowers (Malvaviscus arboreus), despite not being in the same concentration units. Sant'Anna et al.37 analyzed gabiroba leaves extracts and obtained a total phenol content of 3.74 mg GAE mL-1, da Silva et al.38 found 23.73 ± 1.65 mg GAE g-1 for the jabuticaba peels extract and Kannan et al.39 analyzed a red-colored methanolic extract of Malvaviscus arboreus, obtaining 42.57 ± 0.68 mg GAE g-1. It must be considered that the extracts were obtained using different solvents and that climate factors and planting regions can explain differences in the phenolic compound levels.

The control and biodiesel samples containing the alcohol-free extracts were submitted to the accelerated oxidative stability test by the Rancimat method at 110 ºC (EN 14112),33 according to the simplex-centroid design composed of 7 assays and two replications at the central point (Figure 1).

The induction period (IP) values, corresponding to the inflection point of the conductivity vs. time curves were determined for the control and each assay. The rate constants (k) values of the biodiesel oxidation reaction were calculated from the slope of the linear fit of the natural logarithm of electrical conductivity vs. reaction time in hours (Equation 2). The coefficients of determination (R2) ranged from 0.9695 to 0.9933, indicating a good fit of the linear models to the experimental data and confirming that the choice of the 1st order reaction was adequate.

The values of the induction periods and rate constants of the 9 assays and the control are shown in Table 1. The results of the experimental design showed that all proportions of the extracts presented antioxidant properties and delayed the biodiesel oxidation reaction compared to the control, with IP values exceeding the minimum requirement of 8 h specified by the EN14214 standard.32 Among the assays, assay 1 which involved the addition of jabuticaba peels extract, presented the longest induction period, while assay 2, containing the addition of gabiroba leaves extract to the biodiesel, exhibited the lowest rate constant. However, assay 3, containing the biodiesel sample with hibiscus flowers extract, showed the shortest induction period and the highest rate constant.

 

 

With the application of the experimental simplex centroid design, special cubic models represented by Equations 3 and 4 were obtained for the induction period and rate constant, respectively. The terms with asterisks are significant at a level of 5% and the values indicated below the coefficients are related to the standard error. The determination coefficients R2 and R2 adjusted for Equation 3 were 0.998 and 0.994, and for Equation 4, 0.985 and 0.941, respectively. According to Borsato et al.2 the results show that the models obtained are considered acceptable.

According to Equation 3, the linear terms were the ones that most contributed to the increase in the induction period. The mixtures showed synergism, contributing positively to the increase in the induction period, except for the binary mixture between the extract of jabuticaba peels and gabiroba leaves, which showed antagonism. However, this term, as well as the mixture between the extract of gabiroba leaves and hibiscus flowers, did not contribute significantly at a level of 5% to the induction period response. For the rate constant (Equation 4), only the mixture of jabuticaba peels extract and gabiroba leaves showed synergism, while the others showed antagonism. This is desirable because the lower the rate constant, the smaller the propagation of the reaction of biodiesel oxidation. However, the coefficients obtained were low, except those observed for the linear and ternary terms.

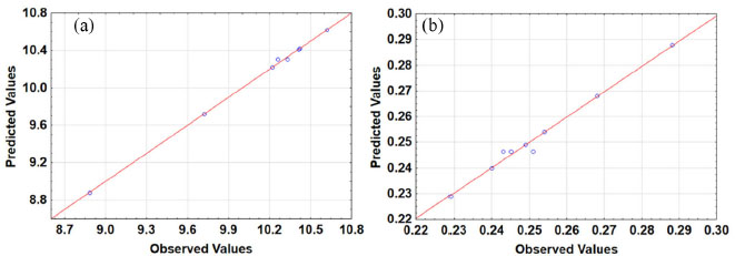
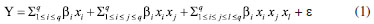
The differences between the observed values and the predicted values represent the variation that is not explained by the model, but it is known that the better the fit, the smaller the residual values.35Figure 2 shows the dispersion graph between the predicted and observed values for the induction period (Figure 2a) and for the rate constant (Figure 2b). For the induction period, residues ranging from -0.0467 to 0.0233 and from -0.0033 to 0.0046 were observed for the rate constant. In both cases, residuals occurred only in assays performed at the centroid. The low dispersion observed between the predicted and experimental values obtained for the induction period and the rate constant is an indication of the quality of the mathematical models obtained.

 


Figure 2. Dispersion graphs between predicted and experimental values for the induction period (a) and for the rate constant (b)

 

Figure 3 shows the pareto chart of each effect used in the analysis of the induction periods and rate constants responses. In this graph, the estimated effects are ranked from the highest to the lowest absolute values of each response. The magnitude of each effect is represented by a column and a line that crosses the columns indicating the significance of the effects, that is, which terms most influenced the induction period response (Figure 3a) and the rate constant (Figure 3b). In the pareto chart, the number to the right of the rectangle refers to the t-test value and the perpendicular line shows the terms that are significant at the level of 5%. For the first model, the binary interaction of the mixture containing jabuticaba peels extract and gabiroba leaves, the binary mixture between the gabiroba leaves extract and hibiscus flowers, and ternary interaction were non-significant terms. For the second model, only the linear terms were significant.

 


Figure 3. Pareto chart for the induction period (a) and rate constant (b) for each effect estimated by the models

 

Tables 2 and 3 represent the analysis of variance, without the least significant term (Figure 3), for the models that estimate the induction period (x2x3) and rate constant (x1x3), respectively. The removal of these terms allowed the determination of the lack of fit of the models. Both models were significant at the level of 5% (p1 = 5.340 × 10-4 and p2 = 5.974 × 10-3) and the lack of fit was not significant at the same level (p1 = 0.293 and p2 = 0.931), showing that they can be used for predictive purposes.

 

 

 

 

The contour graphs (Figure 4), represented by lines of various shades of color, show the levels of desirability of the global response produced in different regions of the plane defined by the three independent variables evaluated. Each region of the plane represents a different combination of these variable levels. This graphical feature can help identify the most suitable mixture that the process may require. If more than three independent variables are used, the less significant or less important ones must be set according to the user's convenience. The pareto chart (Figure 3) can help in choosing the variables to be fixed.

 


Figure 4. Response surface for the induction periods (a) and rate constant (b) of the different proportions of jabuticaba peels, gabiroba leaves, and hibiscus flowers extracts

 

The oxidative stability of biodiesel allows us to estimate storage time without compromising its quality. Therefore, the determination of the best combination of the independent variables used to maximize the induction period stands out, as it will allow estimating the storage time of this biofuel as well as the efficiency of the extract used.

The rate constant k is a proportionality factor that represents the reaction rate and has a value for each proportion of antioxidants used. The lower the rate constant, the longer will be the induction period of the biodiesel sample with the extract. Therefore, the best response for this dependent variable would be the minimum value obtained.6,20

In Figure 4, it can be observed that the highest values for the induction period were reached in the highest proportions of jabuticaba peels extract, which are indicated by the red regions on the response surface (Figure 4a). On the other hand, the response surface for the rate constant shows its minimum in the green region (Figure 4b), which corresponds to higher proportions of gabiroba leaves extract. This response surface exhibits linear contour regions since the interactions in the model are not significant at the 5% level. Therefore, an appropriate mixture of these two extracts is one of the alternatives to delay or inhibit the biodiesel oxidation process increasing its storage time, when compared to the control sample, which suggests a joint optimization of these two responses with the maximization of IP and minimization of k.

The desirability function represents the relationship between the predicted responses and the optimal interaction between them. It is necessary to specify the convenience function for each dependent variable, assigning values ranging from zero (very undesirable) to one (very desirable), for its maximization and to determine the ideal response.29,34 To minimize this relationship, the values must be inverted so that values close to zero are the most desired response.35 Desirable coded responses for each dependent variable are then combined by calculating their geometric mean.29,34

Figure 5 shows the proportions optimization of the natural extracts of jabuticaba peels, gabiroba leaves, and hibiscus flowers, aiming to maximize the induction period. It was analyzed the possibility of longer storage time and the minimization of the rate constant, seeking a lower rate of the oxidation reaction and less oxidative degradation. Figure 5 shows that the best combination corresponds to the mixture containing 25% of jabuticaba peels extract and 75% of gabiroba leaves extract. However, considering the observed confidence interval, it is also possible to suggest the use of either jabuticaba peels extract or gabiroba leaves extract, as well as various combinations between them, as antioxidant additives.

 


Figure 5. Optimization of the induction period and the rate constant with proportions of jabuticaba peels, gabiroba leaves, and hibiscus flowers extracts

 

CONCLUSIONS

The jabuticaba peels, gabiroba leaves, and hibiscus flowers extracts increased the biodiesel induction period compared to the control sample, showing that they can act as an antioxidant additive to delay the biodiesel oxidation reaction. The experimental design of simplex-centroid mixtures proved to be an adequate tool to evaluate the inhibition of the oxidative process and the efficiency of natural extracts, with antioxidant properties, added to biodiesel obtained from a mixture of soybean and palm oil. The mathematical models showed determination coefficients greater than 94% and a non-significant lack of fit at the 5% level, indicating that they can be used for predictive purposes. The gabiroba leaves extract and its mixture with the jabuticaba peels extract provided the highest increase in the induction period and the lowest rate constant. The use of inedible products such as peels, leaves, and flowers with antioxidant properties, in the industrial biofuel's production, in addition to meeting the recommendation and legislation of many countries, has proved to be a good alternative to synthetic substances to delay the reaction of biodiesel oxidation.

 

ACKNOWLEDGMENTS

Laboratory of Chemometrics in Natural Sciences of the State University of Londrina (UEL), National Council for Scientific and Technological Development (CNPq), Coordination for the Improvement of Higher Education Personnel (CAPES), Araucaria Foundation to Support Scientific and Technological Development of the State of Paraná.

 

REFERENCES

1. Hoang, A. T.; Tabatabaei, M.; Aghbashlo, M.; Carlucci, A. P.; Ölçer, A. I.; Le, A. T.; Ghassemi, A.; Renewable Sustainable Energy Rev. 2021, 135, 110204. [Crossref]

2. Borsato, D.; Dall'Antonia, L. H.; Guedes, C. L. B.; Maia, E. C. R.; de Freitas, H. R.; Moreira, I.; Spacino, K. R.; Quim. Nova 2010, 33, 1726. [Crossref]

3. Rezende, M.; de Lima, A. L.; Silva, B.; Mota, C.; Torres, E.; da Rocha, G.; Cardozo, I.; Costa, K.; Guarieiro, L.; Pereira, P.; Martinez, S.; de Andrade, J.; J. Braz. Chem. Soc. 2021, 32, 1304. [Crossref]

4. Angilelli, K. B.; Mantovani, A. C. G.; Chendinsky, L. T.; Mathematical Modeling of Biofuel Synthesis and Storage, 1st ed.; EDUEL: Londrina, 2022.

5. Silva, E. T.; Spacino, K. R.; Silva, L. R. C.; Romagnoli, E. S.; Angilelli, K. G.; Borsato, D.; Acta Sci., Technol. 2018, 40, 35108. [Crossref]

6. Lancheros, A.; Guedes, C.; Borsato, D.; Biofuels 2023, 1, 1. [Crossref]

7. Cremonez, P. A.; Feroldi, M.; de Oliveira, C. J.; Teleken, J. G.; Meier, T. W.; Dieter, J.; Sampaio, S. C.; Borsatto, D.; Ind. Crops Prod. 2016, 89, 135. [Crossref]

8. Schaich, K. M. In Bailey's Industrial Oil and Fat Products; Shahidi, F., ed.; John Wiley & Sons: New Jersey, 2005, ch. 7.

9. Dinkov, R.; Hristov, G.; Stratiev, D.; Boynova Aldayri, V.; Fuel 2009, 88, 732. [Crossref]

10. Girardi, J. C.; Bariccatti, R. A.; Savada, F. Y.; Borsato, D.; de Souza, S. N. M.; Amaral, C. Z.; Prior, M.; Renewable Energy 2020, 159, 346. [Crossref]

11. Romola, C. V. J.; Meganaharshini, M.; Rigby, S. P.; Moorthy, I. G.; Kumar, R. S.; Karthikumar, S.; Renewable Sustainable Energy Rev. 2021, 145, 111109. [Crossref]

12. Knothe G.; Gerpen J. V.; Krahl, J.; The Biodiesel Handbook, 2nd ed.; AOCS Publishing: Champaign, 2005.

13. Chendynski, L. T.; Romagnoli, E. S.; da Silva, P. R. C.; Borsato, D.; Energy Fuels 2017, 31, 9613. [Crossref]

14. Jeyakumar, N.; Huang, Z.; Balasubramanian, D.; Le, A. T.; Nguyen, X. P.; Pandian, P. L.; Hoang, A. T.; Int. J. Energy Res. 2022, 46, 20437. [Crossref]

15. Savada, F.; Silva, H.; Mantovani, A.; Chendynskic, L.; Angilelli, K.; Borsato, D.; Quim. Nova 2022, 45, 365. [Crossref]

16. de Sousa, L. S.; de Moura, C. V. R.; de Oliveira, J. E.; de Moura, E. M.; Fuel 2014, 134, 420. [Crossref]

17. Melo, E. A.; Maciel, M. I. S.; de Lima, V. L. A. G.; do Nascimento, R. J.; Rev. Bras. Cienc. Farm. 2008, 44, 193. [Crossref]

18. Witt, E. P.; Johann, G.; Triques, C. C.; Silva, E. A.; Silva, C.; Borsato, D.; Baumgartner, T. R. S.; Environ. Prog. Sustainable Energy 2022, 41, 1. [Crossref]

19. Del Ré, P.; Jorge, N.; Rev. Bras. Plant. Med. 2012, 14, 389. [Crossref]

20. Chendynski, L. T.; Cordeiro, T.; Messias, G. B.; Mantovani, A. C. G.; Spacino, K. R.; Zeraik, M. L.; Borsato, D.; Fuel 2020, 261, 116379. [Crossref]

21. Cid-Ortega, S.; Guerrero-Beltrán, J. A.; Temas Selectos de Ingeniería de Alimentos 2012, 6, 47. [Crossref] accessed in July 2023

22. Romagnoli, E. S.; Borsato, D.; Silva, L. R. C.; Tashima, D. L. M.; Canesin, E. A.; Biofuels 2020, 11, 1. [Crossref]

23. Gregório, A. P. H.; Borsato, D.; Moreira, I.; Silva, E. T.; Romagnoli, E. S.; Spacino, K. R.; Biofuels 2019, 10, 607. [Crossref]

24. Cornell, J.; Experiments with Mixtures: Designs, Models, and the Analysis of Mixture Data, 3rd ed.; John Wiley & Sons: New York, 2002.

25. Castro, I. A.; Silva, R. S. F.; Tirapegui, J.; Borsato, D.; Bona, E.; Int. J. Food Sci. Technol. 2003, 38, 103. [Crossref]

26. Orives, J. R.; Galvan, D.; Pereira, J. L.; Coppo, R. L.; Borsato, D.; J. Am. Oil Chem. Soc. 2014, 91, 1805. [Crossref]

27. Galvan, D.; Chendynski, L.; Mantovani, A. C.; Quadri, M.; Killner, M.; Cremasco, H.; Borsato, D.; J. Braz. Chem. Soc. 2020, 31, 313. [Crossref]

28. Galvan, D.; Cremasco, H.; Mantovani, A. C. G.; Bona, E.; Killner, M.; Borsato, D.; Fuel 2020, 267, 117221. [Crossref]

29. Derringer, G.; Suich, R.; Journal of Quality Technology 1980, 12, 214. [Crossref]

30. Gregório, A. P. H.; Romagnoli, E. S.; Borsato, D.; Galvan, D.; Spacino, K. R.; Sustainable Energy Technologies and Assessments 2018, 28, 60. [Crossref]

31. Marcheafave, G. G.; Tormena, C. D.; Pauli, E. D.; Rakocevic, M.; Bruns, R. E.; Scarminio, I. S.; Microchem. J. 2019, 146, 713. [Crossref]

32. European Committee for Standardization; EN 14214: Liquid Petroleum Products - Fatty Acid Methyl Esters (FAME) for Use in Diesel Engines and Heating Applications, 2020. [Crossref] accessed in August 2023

33. European Committee for Standardization; EN 14112: Fat and Oil Derivatives - Fatty Acid Methyl Esters (FAME), Determination of Oxidation Stability (Accelerated Oxidation Test), 2020. [Crossref] accessed in August 2023

34. Harrington, E. C.; Ind. Qual. Control 1965, 21, 494.

35. Statistica Software for windows, version 2018/13.4; StatSoft Inc., Tulsa, OK, USA, 2018.

36. Wang, L.; Yang, J.; Lin, Q.; Xiang, L.; Song, Z.; Zhang, Y.; Chen, L.; J. Zhejiang Univ., Agric. Life Sci. 2019, 45, 47. [Crossref]

37. Sant'Anna, L. S.; Merlugo, L.; Ehle, C. S.; Limberger, J.; Fernandes, M. B.; Santos, M. C.; Mendez, A. S. L.; Paula, F. R.; Moreira, C. M.; J. Evidence-Based Complementary Altern. Med. 2017, 2017, 1. [Crossref]

38. da Silva, J. K.; Batista, A. G.; Cazarin, C. B. B.; Dionísio, A. P.; de Brito, E. S.; Marques, A. T. B.; Maróstica Junior, M. R.; LWT--Food Sci. Technol. 2017, 76, 292. [Crossref]

39. Kannan, M.; Thamaraiselvi, S. P.; Uma, D.; J. Pharmacogn. Phytochem. 2018, 7, 1261. [Crossref] accessed in July 2023

On-line version ISSN 1678-7064 Printed version ISSN 0100-4042
Qu�mica Nova
Publica��es da Sociedade Brasileira de Qu�mica
Caixa Postal: 26037 05513-970 S�o Paulo - SP
Tel/Fax: +55.11.3032.2299/+55.11.3814.3602
Free access

GN1