JBCS



12:28, sáb out 25

Acesso Aberto/TP



Artigo

Chemical constituents and antibacterial activity of three types of amazonian Melipona spp. Geopropolis

Darlan C. dos SantosI,II,*; Jorge M. DavidII,*; Oscar C. S. NetoII,; Brenda O. LimaIII; Regiane YatsudaIII; Bruno O. MoreiraIII; Lucas M. MarquesIII; Richardson F. FrazãoIV

I. Universidade do Estado do Amapá, 68900-070 Macapá - AP, Brasil
II. Instituto de Química, Universidade Federal da Bahia, 40170-280 Salvador - BA, Brasil
III. Instituto Multidisciplinar em Saúde, Universidade Federal da Bahia, 45029-094 Vitória da Conquista - BA, Brasil
IV. Instituto de Pesquisas Científicas e Tecnológicas do Estado do Amapá, 68901-025 Macapá - AP, Brasil

Recebido em 14/06/2023
Aceito em 19/07/2023
Publicado na web 04/09/2023

Endereço para correspondência

*e-mail: jmdavid@ufba.br; darlan.santos@ueap.edu.br

RESUMO

This work describes the first chemical study on the metabolic profile of three geopropolis samples from Meliponafulva, M. compressipes, and M. paraensis collected in the Amazonian region. The samples were submitted to solvent extractions. The silylated hexane extracts were submitted to GC-MS analysis and tentatively identified mainly the presence of triterpenes, steroids, fatty acids, and alcohols. The chemical profile of M. fulva of and M. compressipes geopropolis are similar. However, cholesterol, triacontanol, and palmitic acid are the main compounds in M. fulva; in M. compressipes, palmitic acid, linoleic acid, and oleic acid are predominant. The chemical profile of the M. paraensis sample is entirely different once more than 60% of the extract comprises lupenone and triacontanol. The CHCl3 soluble fraction of the MeOH extract of the M. paraensis geopropolis was submitted to chromatographic techniques, and it afforded cycloartenol, 24-methylene-cycloartenol, lupeol, α- and β-amirins, and 7-O-methylaromadendrin. The MeOH extract of this sample presents antimicrobial activities against strains of Streptococcus mutans, S. sobrinus, and S. aureus (MIC of 15.6-62.5 µg mL-1 and MBC of 62.5-1000 µg mL-1). The M. fulva and M. compressipes geopropolis were not active in this test.

Palavras-chave: Melipona spp; Amazonian geopropolis; 7-O-methylaromadendrin; lipid composition; triterpenes

INTRODUCTION

Geopropolis is a resinous and balsamic mixture produced by stingless bees, composed of various compounds obtained from plant parts. This material is used to build and protect the beehive against invading agents, especially microorganisms.1,2 It has identical characteristics to propolis produced by stinging bees and is known as cerumen. The unique difference from traditional propolis is the addition of soil by stingless bees producing a more rigid and brittle texture of dark brown color and bitter taste.3

The bees of the Meliponini group belong to the subfamily Apinae, known as tropical bees. This subfamily is present in several tropical and subtropical regions of the world, contributing to the pollination of Angiosperms and preserving these plants.4

Geopropolis has been employed in folk medicine since remote ages due to its biological properties such as antioxidant,5 antiproliferative,6 cytotoxic,7 antimicrobial,8 anti-inflammatory,9 antifungal,10 and hepato-protective activities.11 Recently, studies with M. mondury geopropolis sample showed the extract is active against human hepatocellular carcinoma.12 The M. fasciculate geopropolis hydroethanolic extract demonstrated antitumor activity in in vitro assays.13 However, studies investigating the chemical composition and biological activity of geopropolis from different sources are still scarce.

The chemical composition of a geopropolis is quite diverse. It depends on factors such as climate, biodiversity of the region around the bee hive, and the bee species that produced it.14 Chemical analysis of geopropolis samples of M. quadrifasciata anthidioides and M. fasciculate afforded long-chain fatty acids (stearic, palmitic, myristic, and oleic), cinnamic acid, pentacyclic triterpene alcohols, kaurene, pimaric and adiabetic diterpenes, lactic and phosphoric acids.15 Hexanic extract geopropolis sample of M. scutellaris was analyzed by GC-MS, and benzophenones were detected.6 Previous studies describe the presence of flavonoids such as 5,7,4'-trihydroxyflavonone, 3,5,6,7,4'-pentahydroxyflavonol, naringenin-4'-O-β-D-glucopyranoside and myricetin-3-O-β-D-glucopyranoside in M. interrupta and M. seminigra,5 and narigenin and glucosyl cinnamic acid derivatives from the geopropolis of M. orbignyi.16 Due to the presence of clay in geopropolis, the minerals present can interfere with various biochemical processes in the human body as a synergist. Depending on the concentration and type of the mineral present, it can show toxicity, triggering neurological and physiological diseases and, in extreme cases, causing death.17 This study reports for the first time the chemical composition and antibacterial activity of three types of geopropolis produced by Melipona fulva Lepeletier ("uruçú-amarela"), M. compressipes Fabricius ("uruçú-cinzenta"), and M. paraensis Ducke ("uruçú-boca-de-ralo") from the meliponiculture of the state of Amapá, Brazil.

 

EXPERIMENTAL

General procedures

The solvents used in the chromatographic elutions and the preparation of all extracts were of analytical grade of the brand Quimex and Anidrol. In the chromatographic separations by CC, silica gel 60 (Aldrich) with adequate granulations of 0.063-0.200 mm or 40-63 μm were employed. UV light (254 and 366 nm) and exposure to iodine vapors were used to monitor the fractions by silica gel 60 TLC plates (F254 Merck or Supelco, 0.25 mm). The 1H and 13C nuclear magnetic resonance spectra were recorded in a Bruker equipment model Avance III-500 using CDCl3 and CD3OD as solvents and TMS as reference. The silylated chromatographic fractions were analyzed using a Shimadzu® QP2010 gas chromatography apparatus directly interfacing with mass (MS), equipped with a 5% diphenyl 95% dimethyl polysiloxane capillary column (30 m × 0.25 mm, 0.25 μm of film thickness) and helium was used as the carrier gas. Before being analyzed by GC-MS, the samples were submitted to derivatization by silylation. For this reaction, 60 μL of pyridine was added in 3 mg of the sample and, to this solution were added 100 μL of the reaction mixture of N,O-bis(trimethylsilyl)trifluoroacetamide (BSTFA) containing 1% trimethylchlorosilane (TMCS) (Aldrich). This mixture was heated in a vial to 70 ºC for 30 min, and 1 μL of the mixture was injected into the GC-MS. The injector temperature was 290 ºC. The initial temperature was set to 80 ºC for 5 min; after this period, it was increased to 285 ºC at a rate of 4 ºC min-1 and remained at the final temperature for 40 min - the temperature of the detector and the interface at 290 ºC. The mass detector operated with electron impact ionization (70 eV) and mass scanning between 30 to 600 Da. The compounds were identified by comparing the samples' mass spectra with those existing in the database of the apparatus (NIST 08, FFNSC1.3, and WILEY8).

Biological material

Geopropolis samples of the species M. fulva and M. compressipes were collected from hives accommodated in standardized boxes at an experimental farm located in the municipality of Macapá, AP, Brazil (0º03'04.9' 'S 51º06'44.3''W) in june 2022. The sample of geopropolis from M. paraensis was kindly provided in june 2022 by meliponiculturist, who collected it in the same conditions as the above sample but in the municipality of Santana, AP, Brazil (0º22'46.9''N 51º25'48.6''W)

Extraction and isolation of the chemical constituents

Samples of geopropolis of M. fulva (200 g),M. compressipes (200 g), and M. paraensis (240 g) were manually powdered and subsequently submitted to extraction by cold maceration using hexane (1 L) as an extracting solvent for 48 h for 3× consecutively. The filtrate obtained in each step was concentrated under reduced pressure furnishing the hexane extracts of the three geopropolis M. fulva (356 mg), M. compressipes (1.011 g), and M. paraensis (1.969 g). The same extraction procedure was repeated using MeOH (1 L) as the extracting solvent and furnished the MeOH extracts of geopropolis M. fulva (1.313 g), M. compressipes (958 mg), and M. paraensis (6.049 g).

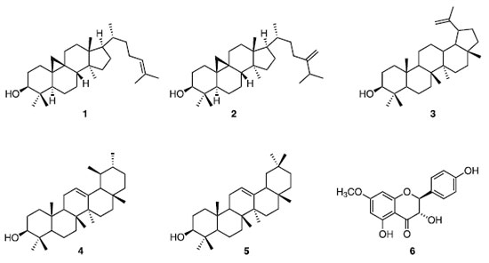
The MeOH extract of geopropolis from M. paraensis was sequentially dissolved in MeOH/H2O (7:3) and partitioned between CHCl3 to give the CHCl3 soluble fraction (2.74 g). This fraction was submitted to a silica gel 60 CC and eluted with mixtures of CHCl3:MeOH in a polarity gradient. The chromatographic fractions (17 fractions of 50 mL each) were analyzed by TLC. Similar ones were joined, totaling 13 subfractions with similar TLC profiles. The fraction 5 (20 mg), eluted with CHCl3:MeOH (95:05), was identified as a mixture and was composed of cycloartenol (1), 24-methylene-cycloartenol (2), lupeol (3), α-amirin (4) and β-amirin (5). The fraction 12 (25 mg) eluted with CHCl3:MeOH (9:1) was purified by treatment with pure CHCl3 furnishing a white precipitate identified as (2R,3R)-3,4',5-trihydroxy-7-methoxyflavanone (6). In the other chromatographic fractions, pure compounds could not be obtained due to the problematic separation of the constituents.

Antibacterial activity

The Streptococcus mutans (ATCC 700610) and S. sobrinus (6715) strains used in the antimicrobial tests were obtained from the Department of Pharmacology, Anesthesiology and Therapeutics of the School of Dentistry of UNICAMP (Campinas, SP, Brazil). The strain of Streptococcus mutans ATCC 25175 was provided by the National Institute of Quality Control in Health (INCQS) - Fundação Oswaldo Cruz - FIOCRUZ (Rio de Janeiro, Brazil). The strains were incubated for 24 h at 37 ºC and 5% CO2 in BHI broth with 1% glucose. The microorganisms Staphylococcus aureus ATCC 43300 INCQS 00306 (resistant to amoxicillin) and clinical isolates of S. aureus 16A, 112, 92, and 29, collected from two public hospitals in the city of Vitória da Conquista, Bahia, Brazil, were also incubated for 24 h at 37 ºC in BHI broth.

The antimicrobial activity was determined by minimum inhibitory concentration (MIC) and minimum bactericidal concentration (MBC). Briefly, for MIC determination, the starting inoculum of the above microorganisms was 1-2 × 108 CFU mL-1 (McFarland scale), and 10 μL of hexane and MeOH extracts of M. fulva,M. compressipes, and M. paraensis geopropolis, with final concentrations ranging from 1000 to 31.25 μg mL-1 with serial dilution by a ratio of 2. This test was performed in 96 wells microplates, in which each well was filled with 190 μL BHI with inoculum (inoculation 1:1000), except the negative control wells. The plates were incubated for 24 h at 37 ºC and 5% CO2.18 After incubation, the growth evaluation was visually observed by turbidity of the medium and/or the presence of colonies at the bottom of the wells. For those wells with no visual growth, 20 μL of 0.01% resazurin (Sigma) were added. After 20 min of incubation with resazurin, blue indicated the absence of growth, and pink color, bacterial growth.19 MIC was defined as the lowest fraction concentration that inhibits a microorganism's visible growth (no visible growth) and confirmed with resazurin. To determine MBC, an aliquot (8 μL) of suspensions from the wells where there was no bacterial growth was inoculated in plates with BHI (Kasvi©) agar and incubated for 24 h, 5% CO2 at 37 ºC. The MBC was defined as the lowest concentration enabling no agar growth (99.9% kill). Tests were conducted in triplicate at three different times (n = 9).20 Aqueous ethanol 10 % (v/v) was employed as the negative control, and chlorhexidine (0.12 %) was employed as the positive control (this compound presents a bactericidal activity for all tested strains).

 

RESULTS AND DISCUSSION

The composition of the hexane extracts of the different geopropolis was tentatively performed by GC-MS (Table 1). The total ion chromatograms obtained were complex, and the identified substances were previously submitted to silylation for the complete volatilization of the chemical content. The samples of geopropolis M.fulva and M. compressipes, collected in the same region, showed similar peaks in the chromatograms' 35.0 to 65.0 min, although with different relative proportions. The sample of M. paraensis geopropolis, collected in a different spot, presented a completely distinct chromatographic profile.

 

 

The majority of the identified compounds have already been reported in samples of bee products (honey, propolis, geopropolis, beeswax). Table 1 describes 15 compounds in the M.fulva sample, 14 in the M. compressipes sample, and just 6 in M. paraensis. Based on the results, there are common compounds among the three species, mainly between M. fulva and M. compressipes. These results are reasonable once these two geopropolis samples are collected in the same region, and the bees probably visited practically the same plants. Cholesterol (24.61%), triacontanol (15.10%) and palmitic acid (7.74%) are the major constituents of M. fulva geopropolis. Cholesterol is not an abundant plant metabolite, and consequently, in the present sample, it can be obtained from different sources, but it was previously identified in propolis of Tetragonisca fiebrigi collected in Mato Grosso do Sul (Brazil).21 Triacontonol has already been identified as a sample of red propolis from the state of Alagoas (Brazil), and it is common in plant flowers; it is widely used in agriculture for the growth of seedlings of different agricultural cultivation such as rice, corn, tomato, and barley.22 Fatty acids were the compounds with the highest occurrence in the volatile fraction of M. compressipes samples, especially palmitic acid (14.72%), linoleic acid (13.78%), and oleic acid (12.75%). Palmitic acid is the largest constituent of palm oil and is also found in animals and dairy products. A recent study verified the existence of this compound in six samples of propolis from the Minas Gerais triangle region.23 Long-chain aliphatic, such as oleic, stearic, linoleic, and palmitic acids, and the minor compound azelaic acid, were higher than the other similar compounds in M. fulva and are common in propolis.24 Azelaic acid is a well-known dicarboxylic acid implicated as mobile signals confer increased resistance against different plant pathogens and present antibacterial activity. On the other hand, triacontanol and lupenone were the major constituents of the geopropolis of M. paraensis; they represent more than 60% of the identified compounds in this geopropolis. Lupenone is a very common triterpene occurring in various plant species, and it shows antifungal action against the Candida tropicalis fluconazole-resistant strain and probably acts in synergism with other compounds.25

From the column chromatography of the CHCl3 soluble fraction of the MeOH extract, a fraction enriched of triterpenes and their content were identified in the mixture by 1H and 13C NMR data analysis employing methodology previously published.26 The 13C NMR peaks in the olefinic carbons region are relevant for identifying the triterpenes skeletal since they are evident in the spectrum. Thus, the δ 130.89 (C-25) and δ 125.28 (C-24) are evident for cycloartenol (1); δ 156.92 (C-24) and δ 105.95 (C-31) for 24-methylene-cycloartenol (2); δ 150.96 (C-20) and δ 109.33 (C-29) for lupeol (3); δ 139.61 (C-13) and δ 124.44 (C-12) for α-amyrin (4); and δ 145.20 (C-13) and δ 121.75 (C-12) for β-amyrin (5). The C-3 oxidation pattern of this compound could be confirmed by the presence of the peak at δ 3.23 and δ 78.86/δ 79.05 in the 1H and 13C NMR spectra, respectively (Figure 1). Finally, the secure identification was carried out with comparison with all the NMR data registered with the previously published.27

 


Figure 1. Compounds isolated from the MeOH extract of Melipona paraensis geopropolis

 

From the same chromatographic column was isolated a pure compound that the NMR data analysis permitted to identify as 7-O-methylaromadendrin (6). This identification was based on the doublets at δ 7.38 (J = 8.5 Hz) and δ 6.85 (J = 8.5 Hz) observed in the 1H NMR spectrum that was indicative of an AA'BB' spin coupling of a 1,4-disubstituted aromatic ring. The H-2/H-3 trans stereochemistry in the flavanonol structure was based on the coupling constants of the peaks of these hydrogens observed in the spectrum; the oxybenzylic H-2 at δ 5.03 and the oxymethyne H-3 at δ 4.59, both presenting a J of 11.5 Hz. The methoxyl group was located in the C-7 through the HMBC spectra due to the correlation of the A-ring's signal at δ 3.82 and C-7. The 13C NMR data were compared to the literature, and they corroborated with the structure of 7-O-methylaromadendrin or (2R,3R)-3,4',5-trihydroxy-7-methoxyflavanone (6).28 This compound was previously detected in geopropolis from M. subnitida29 and Brazilian brown propolis.30 However, it was the first isolated and fully identified, including with determined stereochemistry from M.paraensis.

The MeOH extract of the geopropolis of M. paraensis was a unique extract with suitable antibacterial activities (Table 2). The extracts of the geopropolis of M.compressipes and M. fulva did not inhibit the growth of Streptococcus mutans, S. sobrinus, and S. aureus. The comparison of the MIC and MBC of this extract with the results published for the red propolis from Alagoas (Brazil)31 indicated that the M. paraensis geopropolis showed a higher potential, probably due to the presence of the triterpenes and detected and isolated and other phenolics present in the MeOH extract.

 

 

CONCLUSIONS

The present study deals with the chemical composition of geopropolis collected in Amapá from Melipona fulva,M. compressipes, and M. paraensis. The geopropolis collected in different regions presented a distinct chemical composition referring to non-polar compounds. The geopropolis of M. paraensis showed that it has bioactive compounds of the class of flavonoids and triterpenes; the methanolic extract also demonstrated excellent antibacterial activity. Besides, some triterpenes and 7-O-methylaromadendrin were isolated for the first time in this geopropolis. These results suggest profound studies with these types of geopropolis from the Amazon since bee products are widely used in the region.

 

SUPPLEMENTARY MATERIAL

Some spectra, figures, spectrometric data, and chromatograms are available as supplementary material free of charge at http://quimicanova.sbq.org.br.

 

ACKNOWLEDGMENTS

D. C. S. thanks Universidade do Estado do Amapá for the financial support, and the authors are grateful for the scholarship and grants of the Conselho Nacional de Desenvolvimento Científico e Tecnológico (CNPq) under (# 302848/2022-3).

 

REFERENCES

1. Zilse, G. A. C.; Silva, C. G. N. In Bees: Biology, Threats and Colonies; Florio, R. M. ed.; Nova Science Pub Inc. : New York, 2012, ch. 4.

2. Nogueira-Neto, P.; Vida e Criação de Abelhas Indígenas sem Ferrão, 1ª ed.; Wiley: São Paulo, 1997.

3. Ferreira, M. J.; Silva, F. C. C.; Salatino, A.; Message, D.; Negri, J.; J. Evidence-Based Complementary Altern. Med. 2017, 2018, 14. [Crossref]

4. Sawaya, A. C. H. F.; Calado, J. C. P.; Santos, L. C.; Marcucci, M. C.; Akatsu, I. P.; Soares, A. E. E.; Abdelnur, P. V.; Cunha, I. B. S.; Eberlin, M. N.; Journal of ApiProduct and ApiMedical Science 2009, 1, 37. [Crossref]

5. Silva, E. C. C.; Muniz, M. P.; Nunomura, R. C. S.; Nunomura, S. M.; Zilse, G. A.; Quim. Nova 2013, 36, 628. [Crossref]

6. Cunha, M. G.; Franchin, M.; Galvão, L. C. C.; Ruiz, A. L. T. G.; Carvalho, J. E.; Ikegaki, M.; Alencar, S. M. A.; Koo, H.; Rosalen, P. L.; BMC Complementary Altern. Med. 2013, 13, 23. [Crossref]

7. Santos, D. C.; David, J. M.; David, J. P.; Quim. Nova 2017, 40, 171. [Crossref]

8. Zanella, H. G.; Rossin, A. R. S.; Hardt, J. C.; Rosenberger, A. G.; Wiggers, J. C.; Caetano, J.; Dragunski, D. C.; Quim. Nova 2021, 44, 1245. [Crossref]

9. Franchin, M.; Cunha, M. G.; Denny, C.; Napimoga, M. H.; Cunha, T. M.; Koo, H.; Alencar S. M.; Ikegaki, M.; Rosalen, P. L.; J. Ethnopharmacol. 2012, 143, 709. [Crossref]

10. Yang, S. Z.; Peng, L. T.; Su, X. J.; Chen, F.; Cheng, Y. J.; Fan, G.; Pan, S. Y.; Food Chem. 2011, 127, 210. [Crossref]

11. Lustosa, S. R.; Galindo, A. B.; Nunes, L. C. C.; Randau, K. P.; Rolim-Neto, P. J.; Rev. Bras. Farmacogn. 2008, 18, 447. [Crossref]

12. dos Santos, T. L. A.; Queiroz, R. F.; Sawaya, A. C. H. F.; Lopez, B. G. C.; Soares, M. P. B.; Bezerra, D. P.; Rodrigues, A. C. B. C.; de Paula, V. F.; An. Acad. Bras. Cienc. 2017, 89, 2251. [Crossref]

13. Pereira, F. A. N.; Barboza, J. R.; Vasconcelos, C. C.; Lopes, A. J. O.; Ribeiro, M. N. S.; Pharmaceuticals 2021, 14, 1131. [Crossref]

14. Araújo, A. B. C.; Dias, A. J. S.; Freitas, R. L. S.; Nunes, A. R.; Silva, G. A.; Santos, D. C.; Rev. Virtual Quim. 2020, 12, 492. [Crossref]

15. Bankova, V.; Christov, R.; Marcucci, M. C.; Popov, S.; Zeitschrift für Naturforschung C 1998, 53, 402. [Crossref]

16. dos Santos, H.; Campos, J.; Santos, C.; Balestieri, J.; Silva, D.; Carollo, C.; Souza, K. P.; Estevinho, L. M.; dos Santos, E. L.; Int.J. Mol. Sci. 2017, 18, 953. [Crossref]

17. Freitas, A. S.; Vit, P.; Barth, M. O. In Stingless Bees Process Honey and Pollen in Cerumen Pots; Vit, P.; Roubik, D. W. , eds.; Universidad de los Andes: Merida, 2013, ch. 1.

18. Rodrigues, J. Z. S.; Passos, M. B.; Neres, N. S. M.; Almeida, R. S.; Pita, L. S.; Santos, I. A.; Silveira, P. H. S.; Reis, M. M.; Santos, I. P.; Ricardo, L. O. N.; Lima, B. O.; Marinho, P. D. F.; Soares, A. B.; Andrade, L. O. S. B.; Pessoa, S. M. B.; Silva, M. M. L.; Moura, M. A.; Cruz, M. P.; Yatsuda, R.; Santos, T. T.; Pires, P. N.; Dias, J. C. T.; Rezende, R. P.; Uetanabaro, A. P. T.; Microb. Pathog. 2020, 142, 1. [Crossref]

19. Palomino, J. C.; Camacho, A. M. M.; Guerra, H.; Portaels, J. S. F.; Antimicrob. Agents Chemother. 2002, 46, 2720. [Crossref]

20. Moreira, B. O.; Vilar, V. L. S.; de Almeida, R. N. S.; Morbeck, L. L. B.; Andrade, B. S.; Barros, R. G. M.; Neves, B. M.; de Carvalho, A. L.; Cruz, M. P.; Yatsuda, R.; David, J. M.; J. Ethnopharmacol. 2022, 289, 115089. [Crossref]

21. Campos, J. F.; Santos, U. P.; Rocha, P. S.; Damião, M. J.; Balestieri, J. B. P.; Cardoso, C. A. L.; Paredes-Gamero, E. J.; Estevinho, L. M.; Souza, K. P.; Santos, E. L.; J. Evidence-Based Complementary Altern. Med. 2015, 2015, 1. [Crossref]

22. Castro, P. R. C.; Henrique, A. A.; Fumis, T. F.; Babboni Júnior, A. C.; Minarelli, A. M.; Di Stasi, L. C.; Rodrigues, J. D.; An. Esc. Super. Agric. , "Luiz de Queiroz," Univ. Sao Paulo 1987, 44, 891. [Crossref]

23. Funari, S. C.; Ferro, V. O.; Cienc. Tecnol. Aliment. (Campinas, Braz. ) 2006, 26, 171. [Crossref]

24. Naggar, Y. A.; Sun, J.; Robertson, A.; Giesy, J. P.; Wiseman, S.; J. Apic. Res. 2016, 55, 305. [Crossref]

25. Tavares, N. N. O.; Lemos, A. S. O.; Pereira, A. P. O.; Fabri, R. L.; Chedier, L. M.; Rev. Virtual Quim. 2019, 11, 1579. [Crossref]

26. Olea, R. S. G.; Roque, F. N.; Quim. Nova 1990, 13, 278. [Link] accessed in August 2023

27. Das, M. C.; Mahato, S. B.; Phytochemistry 1983, 22, 1071. [Crossref]

28. Rodrigues, J.; Gomes, L. M.; Gutierrez, A. G.; Mendez-Callejas, G.; Reyes, A. I.; Tellez, L. C.; Rodriguez, A. O. E.; Terrenegra, G. R. D.; Indian J. Sci. Technol. 2018, 11, 1. [Crossref]

29. de Souza, S. A.; da Silva, T. M. G.; da Silva, E. M. S.; Camara, C. A.; Silva, T. M. S.; Phytochem. Anal. 2018, 29, 549. [Crossref]

30. Ribeiro, V. P.; Arruda, C.; Aldana-Mejia, J. A.; Bastos, J. K.; Tripathi, S. K.; Khan, S. I.; Khan, I. A.; Ali, Z.; Chem. Biodiversity 2021, 18, e2100288. [Crossref]

31. Cabral, I. S. R.; Oldoni, T. L. C.; Prado, A.; Bezerra, R. M. N.; Alencar, S. M.; Ikegaki, M.; Rosalen, P. L.; Quim. Nova 2009, 32, 1523. [Crossref]

On-line version ISSN 1678-7064 Printed version ISSN 0100-4042
Qu�mica Nova
Publica��es da Sociedade Brasileira de Qu�mica
Caixa Postal: 26037 05513-970 S�o Paulo - SP
Tel/Fax: +55.11.3032.2299/+55.11.3814.3602
Free access

GN1