JBCS



17:12, sáb out 25

Acesso Aberto/TP



Artigo

Kinetic study of the reaction between the cyclopalladated complex [PdCl(C2,N-dmba)(tu)] (dmba = N,N-dimethylbenzylamine, tu = thiourea) and L-cysteine

Diego B. FélixI; Daniela R. TruzziII; Adelino V. de Godoy NettoI; Maria Isabella Z. SoaresI; Gian V. RodriguesI;
José Clayston M. PereiraI,*

I. Departamento de Química Analítica, Físico-Química e Inorgânica, Instituto de Química de Araraquara, Universidade Estadual Paulista Júlio de Mesquita Filho, 14800-900 Araraquara - SP, Brasil
II. Departamento de Bioquímica, Instituto de Química, Universidade de São Paulo, 05508-000 São Paulo - SP, Brasil

Recebido em: 27/07/2023
Aceito em: 26/10/2023
Publicado em: 05/12/2023

Endereço para correspondência

*e-mail: jose.clayston@unesp.br

RESUMO

Cancer is a severe disease that causes a significant number of deaths worldwide every year. Treatments have been available, such as cisplatin, to help combat this disease. However, recent studies have shown that the enzyme system glutathione/glutathione S-transferases (GSH/GST) can cause resistance of tumor cells to this type of cancer treatment. Fortunately, there are alternatives, such as using palladium complexes such as [PdCl(C2,N-dmba)(tu)], which have demonstrated effectiveness against cancer cells. However, even these metallopharmaceuticals can be inhibited by GSH/GST system, which can modify the chemical structure of the complex and prevent it from working as an anticancer agent. That's why it's crucial to study the reaction between the complex [PdCl(C2,N-dmba)(tu)] and L-cysteine using techniques such as NMR, mass spectroscopy, UV-Vis spectroscopy, and stopped-flow. The study of this type of reaction will help researchers understand how these organometallics work in biological systems and how we can improve them to treat cancer more effectively.

Palavras-chave: complex; cancer; palladium; L-cysteine; kinetic.

INTRODUCTION

Cisplatin has been used since the 1970s as an anticancer agent whose mechanism of action involves its interaction with DNA, yielding mono adducts and intra- and interstrand cross-links. Although its clinical success in the treatment against some types of cancer, the toxicity of cisplatin has been a concern. In addition, resistant cancer cell lines capable of inactivating it by the GST enzyme activity represent another drawback of cisplatin.1-2

To improve cancer treatment and reduce collateral effects, researchers have developed new platinum anticancer agents of second and third generations and investigated other metal complexes as novel antitumor drugs candidates.3-5 Particularly, palladium(II) compounds have appeared as promising drugs against cancer due to their structural analogy comparable to the platinum(II) complexes.1,6-10 Despite the similarities of the coordination chemistry, palladium(II) compounds are between 103 and 105 times more reactive than those of platinum(II). The rapid ligand exchange of palladium(II) complexes in the biological fluid can be unfavorable since their chemical structure would be unstable long enough to reach the pharmacological site(s).

The use of chelating ligands has been considered a successful strategy to reduce the lability of bioactive palladium(II) complexes.11-12 In this context, the biological effects of palladacycles bearing a five-membered ring "(C2,N)Pd" have been the subject of many studies due to their well-established enhanced stability in solution.13 Although Pd(II) complexes containing chelating ligands have higher stability than their analogs with monodentate ligands, they may not be inert to the attack of sulfur donor molecules such as L-cysteine or glutathione, the last one found at high concentrations in the biological system.14-15 These sulfur-donor biomolecules have a high affinity for Pt(II) and Pd(II) complexes, forming very stable metal-sulfur bonds before the drug reaches the DNA and/or other pharmacological target(s). Therefore, the formation of these Pt-S or even Pd-S adducts has an essential role in protecting resistant cancer cells from the effect of the platinum or palladium compounds.1 However, it's worth noting that a metal-sulfur adduct can also act as a drug reservoir, and slowly release the active species to DNA, as shown in a recent article.16

The effects of cyclopalladated compounds of the type [PdX(C2,N-L)(Y)] (L = orthometallated benzylamines and oximes; Y = N, P, S-donor ligands; X = halides and pseudohalides) on tumor cells and pathogenic microorganisms have been our research topic in the last decade.17,18 Motivated by the role of the reactions of sulfur donor molecules with palladium(II) compounds on their bioactivity, we have chosen L-cysteine as a model compound to investigate these interactions with the complex [PdCl(C2,N-dmba)(tu)] (dmba = N,N-dimethylbenzylamine; tu = thiourea). Cyclometallated compounds of the formula [PdX(C2,N-dmba)(tu)] (X = Cl-, Br-, I-) have been demonstrated to be active against LM3 and LP07 tumor cell lines and Mycobacterium tuberculosis.12,17,19,20 Thus, studying the interaction between cyclometallated Pd(II) complexes and thiols in solution could give us not only more information about their reactivity towards sulfur-donor biomolecules, but also help us design new complexes with improved bioactivity and possible lower side effects.

In this work, we investigated the reactions between the complex [PdCl(C2,N-dmba)(tu)] and L-cysteine using UV-Vis spectrophotometric, NMR, and stopped-flow techniques.

 

EXPERIMENTAL

Reagents and solutions

Organic solvents such as methanol, chloroform, and n-pentane of analytical purity were purchased from Merck. The reagents thiourea (Merck), N,N-dimethylbenzylamine (Aldrich), PdCl2 (Degussa), were employed without further purification. The compound [PdCl(C2,N-dmba)(tu)] was prepared according to the methods published in the literature and its characteristics checked by UV-Vis, NMR, and IR spectroscopies techniques.12

Instrumentation

The 1H and 13C{1H} NMR spectra were measured in DMSO solutions, whose residual solvent signal was employed as an internal reference and recorded in Fourier transform mode on a Bruker Multinuclear Spectrometer, model Avance III HD 600, operating at 600 MHz (14.1 T) at 298 K. UV-Vis measurements were performed in a 1.0 cm quartz cell on a Hitachi U3501 spectrophotometer. The compounds were prepared in Tris-HCl buffer (5 × 10-3 mol L-1 Tris-HCl and 50 × 10-3 mol L-1 NaCl, pH 7.4) with 5% DMSO. During the kinetics experiments, the temperature was controlled within ± 0.2 ºC using a Tecnal TE 184 thermostat. The changes in the absorbance at 330 nm of the UV-Vis spectrum of the solution were monitored in an Applied Photophysics SX-18MV stopped-flow spectrometer. The experimental conditions were held constant except for the concentration of L-cysteine, which varied from 10 to 50 times greater than the concentration of the complex. The experiments were performed over a pH of 7.4 at 25 °C.

The manipulations of air-sensitive complexes were performed under an argon atmosphere. The ESI mass spectrometric measurements were performed on an ion trap instrument. The ESI parameter for the reaction solution was of source voltage at 5000 V. The ion trap mass spectrometer operated in the positive ion mode and negative mode. Compounds were dissolved in methanol (to obtain a concentration of 10-6 mol L-1). The obtained solutions were injected by direct infusion.

Preparation of the complex [PdCl (C2, N-dmba) (tu)]

A 10 mL chloroform solution of [Pd(C2,N-dmba)(μ-Cl)]2 (0.10 g; 0.16 × 10-3 mol) was mixed with a 5 mL methanol solution of thiourea (0.024 g; 0.32 × 10-3 mol) at room temperature. The mixture was stirred for 1 h and the yellow solid formed was filtered off, washed with methanol, chloroform, n-pentane, and then dried under vacuum.12

Data treatment

Kinetics measurements were investigated by following the absorbance changes at selected wavelengths. The observed pseudo-first order constants (kobs) were determined from plots of ln(A-At) vs. time.14 The specific rate constants, k1 and k-1 were calculated from the Equation 1 where L = CySH or CyS-, and the specific second-order rate constants were calculated according to the equilibrium equations for the respective reactions.

 

RESULTS AND DISCUSSION

Characterization of the in situ reaction

In previous studies,12,19 the spectroscopic results of the complex [Pd(C2,N-dmba)(Cl)(tu)] were reported and discussed. Mass spectrometry, NMR, and electronic spectroscopy were carried out to confirm the formation of the compound [PdCl(C2,N-dmba)(tu)] and to identify a new complex in solution from its reaction with L-cysteine. When L-cysteine (1.0 Eq) was added to the solution containing the complex [PdCl(C2,N-dmba)(tu)] (1.0 Eq), an immediate change of color tone was observed. The electronic spectrum of the complex [PdCl(C2,N-dmba)(tu)] presents a band in 330 nm (Figure 1). The addition of L-cysteine to the solution containing the Pd(II) complex gives rise to a band with slight displacement (305 nm), indicating an ongoing reaction (Figure 1).

 


Figure 1.. UV-Vis spectra of the reaction between [PdCl(C2,N-dmba)(tu)] and L-cysteine in DMSO. Experimental conditions: [Pd] = 1 × 10-3 mol L-1, [cys]tot = 1 × 10-3 mol L-1, Tris-HCl buffer (5 × 10-3mol L-1 Tris-HCl and 50 × 1 0 -3 mol L-1 NaCl, pH 7.4) with 5% DMSO, t = 25 °C (source: elaborated by the authors)

 

The NMR data strongly suggest an interaction between the palladium complex and L-cysteine. The 1H NMR spectrum of the complex [PdCl(C2,N-dmba)(tu)] in DMSO presents signals between 6.7 and 7.3 ppm attributed to the aromatic hydrogens of the ligand dmba, which disappears concomitant with the appearance of signals at 7.59 and 7.46 ppm after the mixture of the reagents. The vinyl proton signal changes from 3.93 to 4.25 ppm, and a singlet of the methyl groups (2.66 ppm) was observed to displace to 2.70 ppm after the addition of L-cysteine. The signals at 8.52 ppm disappear concomitant with the appearance of one signal at 7.12 ppm, indicating the release of thiourea from the coordination sphere substituted by L-cysteine (Figure 2 and Figure 1S).

 


Figure 2. 1H NMR spectrum of the reaction between [PdCl(C2,N-dmba)(tu)] and L-cysteine in DMSO (source: elaborated by the authors)

 

The solution containing the complex and L-cysteine showed typical signals of the dmba group at δ 131.5-129.07 and (Car), 59.91 (-N-CH2-) and 54.31 [-N(CH3)2] in the 13C{1H} NMR spectrum (Figure 2S), as well as signals attributed to the L-cysteine coordinated to the metal complex at 3.29, 3.33, 4.21, and 8.69 ppm in the 1H NMR spectrum (Figure 1, Table 1).12 The chemical shift position of the protons of the NH2 group of the L-cysteine was altered from 8.52 in the free ligand to 8.69 ppm in complex-L-cysteine, indicating the coordination of the thiol to the metal through nitrogen. This effect was also observed by Parish et al.13 Additionally, a strong change from 24 (only complex) to 37 ppm (solution with complex and L-cysteine) was observed in the 13C NMR spectrum due to the interaction between the metal center and sulfur atom of the L-cysteine (Table 1). It seems that the coordination of the thiol to the metal does not happen through the fragment associated with the carboxyl proton found at 10.8 ppm.

 

 

Figure 3S displays the ESI-mass spectrum in negative mode of the solution containing the complex and L-cysteine. The molecular ion peak at m/z 358.99 corresponds to [Pd(C2,N-dmba)(CyS)], indicating that both ligands, Cl- and tu, were exchanged by L-cysteine in the coordination sphere. The ESI-mass spectrum in positive mode of the solution containing the complex and L-cysteine indicates a mass loss of 45.02 of the complex [Pd(C2,N-dmba)(CyS)], which corresponds to the mass of the carboxyl group of the L-cysteine (Figure 3). Therefore, it can be inferred that the coordination of L-cysteine to palladium occurs through the sulfur and nitrogen atoms, which is quite different from what we have seen in other studies.19,21 Those studies showed that cysteine coordinates with palladium complexes via the sulfur atom and the carboxylate.19

 


Figure 3. Mass spectrum of the reaction between [PdCl(C2,N-dmba)(tu)] and L-cysteine. Positive mode (source: elaborated by the authors)

 

Kinetics studies

The reaction between the complex [PdCl(C2N-dmba)(tu)] and L-cysteine was monitored by a change of the electronic spectra using stopped-flow and conventional techniques. After mixing the reagents, an increase in the absorbance at 330 nm occurred until it reached a plateau after a few seconds (Figure 4).

 


Figure 4. Absorbance as a function of the time (s) for the reaction monitored using the stopped-flow technique. Insert: plot of the kobs values against different concentrations of [CysS]tot. Experimental conditions: [Pd] = 1 × 10-3 mol L-1, [cys]tot = 5 × 10-2 mol L-1, Tris-HCl buffer (5 × 10-3 mol L-1 Tris-HCl and 50 × 1 0 -3 mol L-1 NaCl, pH 7.4) with 5% DMSO, t = 25 °C (source: elaborated by the authors)

 

We have ascribed such change to the formation of the product [Pd(C2,N-dmba)(CysS)] (Figure 4). However, other species could be formed since several steps of the reaction have been noted. Herein, we have analyzed the kinetic data of each step of the reaction and proposed a mechanism.

Formation of the [Pd(C2,N-dmba)(RS)(tu)] species

According to the literature on similar platinum and palladium complexes, an equilibrium reaction would take place between a complex having a halide ligand and an aqua complex, as stated in Equation 2.16,21,22 After this equilibrium reaction, the first step of the reaction could be proposed as a substitution of the ligand Cl- (or H2O) for L-cysteine (Equation 3) via a rate law that is first-order in [complex] as well as in [L-cysteine].

The kinetics for the reaction between [PdCl(C2,N-dmba)(tu)] and L-cysteine were studied in buffer 7.4 (5% DMSO), which is used in vitro experiments. The solvent DMSO has been used since the complex [PdCl(C2,N-dmba)(tu)] is not entirely soluble in water.12

The kinetics experimental conditions followed the pseudo-first-order method, meaning that the L-cysteine present in the reaction medium was in excess, and the effective change in [CysS] was small during the kinetics experiment. Based on the experimental data and information of pKa of the cysteine reported in the literature,14,23 a substitution reaction of the ligands for a thiol sulfur atom is illustrated in Equations (3) and (4).

Since pH of the solution of the reaction is 7.4 and pKa of the L-cysteine at 25 °C is 8.3 we can assume that [CysS]tot = [CysS-] + [CysSH], which the kinetic expression can be written below (Equation 5):

Figure 4 shows the increased absorption at 330 nm in milliseconds of timescale, in which the curve can be fit well to an exponential growth function, indicating the rate to be first-order in the limiting reagent Pd. A plot of the kobs values against different concentrations of [CysS]tot proved to be linear (Figure 4), thus confirming the second-order rate law (Equation 6) for this step.

The overall second-order rate constant (k1) determined in this manner is (1.9 ± 0.2) × 102 mol L-1 s-1, which is similar in magnitude to the k1 values determined in previous studies for similar systems.5,17

Formation of the [Pd(C2,N-dmba)(RS)] species

We have noted a slower second step of the reaction, which seems to be related to the formation of the species [Pd(C2,N-dmba)(CysS)] (Equation 7). However, kinetic traces for that step exhibited well fit a double exponential function (Figure 5). Thus, kinetics traces show more than two steps that do not seem to be L-cysteine concentration-dependent. The values for the second and third steps are 0.08 and 0.004 s-1, respectively.

 


Figure 5. Plot of the absorbance vs. time (s). Experimental conditions: [Pd] = 1 × 10-3 mol L-1, [CysS]tot = 5 × 10-2 mol L-1, buffer 7.4 (5% DMSO), μ = 0.2 mol L-1, t = 25 °C (source: elaborated by the authors)

 

On the other hand, an increase of absorbance in the second step of the reaction occurs with an increase in the concentration of cysteine, which indicates a displacement of the reaction towards the formation of the species [Pd(C2,N-dmba)(CysS)(tu)] in the first step of reaction as a consequence would be expected an increase of the concentration of the compound [Pd(C2,N-dmba)(CysS)]. The third step of the reaction seems to be the slowest studied, which would be the entrance of solvent (water or DMSO) on the coordination sphere of the palladium (Equation 8). As anticipated, this step of the reaction is not cysteine-dependent.

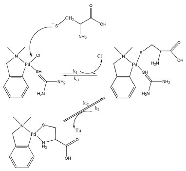
Mechanism of the reaction

Based on the kinetic and characterization data provided, it is proposed that the reaction for the formation of [Pd(C2,N-dmba)(CysS)] occurs in two steps (Scheme 1). The first step involves an interaction between the sulfur atom of L-cysteine and palladium, releasing the Cl- ligand. The second step is a cyclization process of L-cysteine coordinated to the complex, releasing the tu ligand. This step yields the product [Pd(C2,N-dmba)(CysS)], which was identified by NMR analysis. The fragmentation of carbonyl from cysteine observed on the mass spectrum of the reaction indicates interaction between the metal and thiol by nitrogen (amine). The values of k2(obs) of the reaction are independent of [thiol], further supporting the proposed mechanism. Additionally, an equilibrium reaction occurs between the complex [Pd(C2,N-dmba)(CysS)] and solvent (water or DMSO), forming [Pd(C2,N-dmba)(CysS)(solv)] (Equation 8). Unfortunately, the species [Pd(C2,N-dmba)(CysS)(solv)] was not detected by mass spectrometry or NMR spectroscopy, probably due to its low concentration in solution at the experimental condition of this work.

 


Scheme 1. Mechanism of the reaction between [PdCl(C2,N-dmba)(tu)] and L-cysteine in DMSO (source: elaborated by the authors)

 

CONCLUSIONS

Our research has shown that the complex [PdCl(C2,N-dmba)(tu)] reacts strongly with L-cysteine, resulting in the formation of [Pd(C2,N-dmba)(CysS)] in a two-step process. This involves the coordination of the thiol by sulfur atom, which releases the Cl- ligand, followed by the cyclisation of L-cysteine through an interaction between the nitrogen atom, removing the thiourea. Thus, it is important to note that the species [PdCl(C2,N-dmba)(tu)] is not stable in the presence of thiols, which may cause resistance of cancer cells to the action of these complexes in the cell environment. Therefore, we suggest conducting a kinetic study of the reaction of this type of compound with thiols such as cysteine or glutathione as a crucial step in assessing the potential of metal complexes as cancer agents.

 

SUPPLEMENTARY MATERIAL

Figures 1S, 2S and 3S are available in the supplementary material at http://quimicanova.sbq.org.br in pdf format, with free access.

 

ACKNOWLEDGMENTS

The authors acknowledge São Paulo Research Foundation (FAPESP) (process No. 19/17762-7) for its financial support.

 

REFERÊNCIAS

1. Bugarcic, Z. D.; Bogojeski, J.; Coord. Chem. Rev. 2015, 292, 91. [Crossref]

2. Serebryanskaya, T. V.; Yung, T.; Bogdanov, A. A.; Shchebet, A.; Johnsen, S. A.; Lyakhov, A. S.; Ivashkevich, L. S.; Ibrahimava, Z. A.; Garbuzenco, T. S.; Kolesnikova, T. S.; Melnova, N. I.; Gaponik, P. N.; Ivashkevich, O. A.; J. Inorg. Biochem. 2013, 120, 44. [Crossref]

3. Rosenberg, B.; Camp, L. V. ; Trosko, J. E.; Mansour, V. H.; Nature 1969, 222, 385. [Crossref]

4. Souza, M. L.; Roveda, A. C.; Pereira, J. C. M.; Franco, D. W.; Coord. Chem. Rev. 2016, 306, 615. [Crossref]

5. Summa, N.; Schiessl, W.; Puchta, R.; Hommes, N. V. E.; Eldik, R. V. ; Inorg. Chem. 2006, 45, 2948. [Crossref]

6. Aleksanyan, D. V. ; Konovalov, A. V.; Churusova, S. G.; Rybalkina, E. Y. ; Peregudov, A. S.; Aksenova, S. A.; Gutsul, E. I.; Klemenkova, Z. S.; Kozlov, V. A.; Pharmaceutics 2023, 15, 1088. [Crossref]

7. Cutillas, N.; Yellol, G. S.; de Haro, C.; Vicente, C.; Rodríguez, V. ; Ruiz, J.; Coord. Chem. Rev. 2013, 257, 2784. [Crossref]

8. Czarnomysy, R.; Radomska, D.; Szewczyk, O. K.; Roszczenko, P.; Bielawski, K.; Int. J. Mol. Sci. 2021, 22, 8271. [Crossref]

9. Moro, A. C.; Mauro, A. E.; Ananias, S. R.; Ecletica Quim. 2004, 29, 57. [Crossref]

10. Serrano, F. A.; Matsuo, A. L.; Monteforte, P. T.; Bechara, A.; Smaili, S. S.; Santana, D. P.; Rodrigues, T.; Pereira, F. V. ; Silva, L. S.; Machado Junior, J.; Santos, E. L.; Pesquero, J. B.; Martins, R. M.; Travassos, L. R.; Caires, A. C. F.; Rodrigues, E. G.; BMC Cancer 2011, 11, 296. [Crossref]

11. de Souza, R. F. F.; da Cunha, G. A.; Pereira, J. C. M.; Garcia, D. M.; Bincoletto, C.; Goto, R. N.; Leopoldino, A. M.; da Silva, I. C.; Pavan, F. R.; Deflon, V. M.; de Almeida, E. T.; Mauro, A. E.; Godoy Netto, A. V.; Inorg. Chim. Acta 2019, 486, 617. [Crossref]

12. Moro, A. C.; Mauro, A. E.; Godoy Netto, A. V.; Ananias, S. R.; Quilles, M. B.; Carlos, I. Z.; Pavan, F. R.; Leite, C. Q.; Hörner, M.; Eur. J. Med. Chem. 2009, 44, 4611. [Crossref]

13. Parish, R. V.; Mack, J.; Hargreaves, L.; Wright, J. P.; Buckley, R. G.; Elsome, A. M.; Fricker, S. P. ; Theobald, B. R. C.; J. Chem. Soc., Dalton Trans. 1996, 1, 69. [Crossref]

14. Pereira, J. C. M.; Souza, M. L.; Franco, D. W.; Eur. J. Inorg. Chem. 2015, 2015, 1005. [Crossref]

15. Souza, W. A.; Ramos, L. M. S.; de Almeida, A. M.; Tezuka, D. Y.; Lopes, C. D.; Moreira, M. B.; Zanetti, R. D.; Godoy Netto, A. V.; Ferreira, F. B.; de Oliveira, R. J.; Guedes, G. P.; de Albergue, S.; Silva, J. R. L.; Pereira-Maia, E. C.; Resende, J. A. L. C.; de Almeida, M. V.; Guerrra, W.; J. Inorg. Biochem. 2022, 237, 111993. [Crossref]

16. Omae, I.; J. Organomet. Chem. 2017, 841, 12. [Crossref]

17. Mukherjee, S.; Reddy, B. V. P.; Mitra, I.; Saha, R. N.; Bose, K. J. C.; Reddy, D. S.; Linert, W.; Moi, S. C.; RSC Adv. 2015, 5, 76987. [Crossref]

18. Zanetti, R. D.; da Cunha, G. A.; Moreira, M. B.; Farias, R. L.; de Souza, R. F.; de Godoy, P. R. D. V.; Brassesco, M. S.; Rocha, F. V.; Lima, M. A.; Mauro, A. E.; Godoy Netto, A. V.; Polyhedron 2023, 229, 116. [Crossref]

19. Moro, A. C.; Urbaczek, A. C.; de Almeida, E. T.; Pavan, F. R.; Leite, C. Q. F.; Godoy Netto, A. V.; Mauro, A. E.; J. Coord. Chem. 2012, 65, 1434. [Crossref]

20. Jain, V. K.; Coord. Chem. Rev. 2021, 427, 213546. [Crossref]

21. Bugarcic, Z. D.; Liehr, G.; van Eldik, R.; J. Chem. Soc., Dalton Trans. 2002, 6, 951. [Crossref]

22. Reedijk, J.; Eur. J. Inorg. Chem. 2009, 10, 1303. [Crossref]

23. Pereira, J. C. M.; Carregaro, V.; Costa, D. L.; da Silva, J. S.; Cunha, F. Q.; Franco, D. W.; Eur. J. Med. Chem. 2010, 45, 4180. [Crossref]

On-line version ISSN 1678-7064 Printed version ISSN 0100-4042
Qu�mica Nova
Publica��es da Sociedade Brasileira de Qu�mica
Caixa Postal: 26037 05513-970 S�o Paulo - SP
Tel/Fax: +55.11.3032.2299/+55.11.3814.3602
Free access

GN1