JBCS



12:27, sáb out 25

Acesso Aberto/TP



Artigo


Flavonoides e ácidos fenólicos isolados dos extratos metanólicos das folhas e galhos de Macrolobium acaciifolium (Fabaceae)
Flavonoids and phenolic acids isolated from Macrolobium acaciifolium (Fabaceae) leaves and branches methanolic extracts

David R. Silva; Cecilia V. Nunez*

Coordenação de Tecnologia e Inovação, Instituto Nacional de Pesquisas da Amazônia, 69067-375 Manaus - AM, Brasil

Recebido: 06/09/2023
Aceito: 26/01/2024
Publicado online: 10/04/2024

Endereço para correspondência

*e-mail: cecilia@inpa.gov.br

RESUMO

The phytochemical study of Macrolobium acaciifolium extracts allowed the isolation and identification of 18 substances, 15 of which are reported for the first time in this species. From the methanolic extract of the leaves, the flavonoids luteolin-3'-O-α-L-rhamnoside (1), neoastilbin (2), astilbin (3), neoisoastilbin (4), isoastilbin (5), quercetin-3-O-α-L-rhamnoside (6), quercetin-3-O-rutinoside (7), kaempferol-3-O-rutinoside (8), quercetin-3-O-glicoside (9) and kaempferol-7-O-rutinoside (10) were isolated. From the methanolic extract of branches, the flavonoids chrysoeriol (13), apigenin (14), 7,4'-dihydroxyflavone (16), eriodictyol (17) and luteolin (18), in addition to the phenolic acids 3,4-dihydroxybenzoic acid (11), 3-methoxy,4-hydroxybenzoate (12) and methyl 3,4-dihydroxybenzoate (15) were isolated. The structural identification of the compounds was established by proton nuclear magnetic resonance (1H NMR), carbon-13 nuclear magnetic resonance (13C NMR), heteronuclear single quantum coherence (HSQC), heteronuclear multiple bond correlation (HMBC) and correlated spectroscopy (COSY) analyses. In this paper, we also discuss about the anisotropic effects on H-1", H-2", H-5" and H-6" rhamnose of isomers dihydroflavonoids.

Palavras-chave: astilbin; neoisoastilbin; glycosides; eriodictyol; dihydroflavonoids.

INTRODUÇÃO

Fabaceae é considerada a terceira maior família das angiospermas, em número de espécies, estando abaixo apenas de Asteraceae e Orchidaceae. Atualmente está subdivida em 6 subfamílias: Caesalpinioideae, Cercidoideae, Detarioideae, Dialioideae, Duparquetioideae e Papilionoideae. Detarioideae possui cerca de 80 gêneros e aproximadamente 760 espécies. Dentro de Detarioideae está o gênero Macrolobium com plantas arbóreas ou arbustivas onde 37 espécies desta subfamília são encontradas no Brasil.1,2

Estudos fitoquímicos com espécies deste gênero ainda são escassos, mas relatos recentes mostraram o isolamento e identificação de uma nova cromona C-glicosilada (macrolobina), e as substâncias β-taraxerol, friedelina, stigmasterol, campesterol e apigenina de Macrolobium latifolium.3 Nesta espécie, foi apontada a presença de substâncias derivadas do flavonoide quercetina na fração acetato de etila das cascas do caule. Esta mesma fração mostrou potencial tóxico para cepas de bactérias Staphylococcus aureus, Staphylococcus epidermides, Klebsiella pneumoniae e Proteus mirabilis.4

Outra espécie promissora é Macrolobium acaciifolium conhecida popularmente como arapari, sendo uma árvore de grande porte e vivência de aproximadamente 500 anos, altura variando entre 3,5 e 30 m e podendo atingir 150 cm de diâmetro, sendo a espécie mais amplamente distribuída do gênero.5 Por ser uma árvore lenhosa é visada pela exploração madeireira, e pesquisas apontam que o desmatamento intensivo de M. acaciifolium está associado com modificações depredarias ao seu habitat, influenciando o meio ambiente.6-8

M. angustifolium exibiu a presença de taninos condensados e pirogálicos, enquanto em M. acaciifolium foram encontradas antocianidina, antocianina, catequina e taninos condensados.9 Em um estudo10 realizado com as sementes foram quantificados os constituintes majoritários dos óleos das sementes de M. acaciifolium, encontrando os ácidos palmítico, linoleico, lignocérico, mirístico e eicosanoico (C20:1).

Alguns flavonoides podem se destacar por determinadas peculiaridades, como no caso dos dihidroflavonoides. Estes flavonoides possuem dois centros quirais localizados nas posições C-2 e C-3 em seus anéis C, podendo gerar até quatro substâncias estereoisômeras. Quando glicosilados em C-3, suas identificações absolutas podem ser distinguidas por ressonância magnética nuclear (RMN) de 1H, visto os efeitos anisotrópicos realizados por seus anéis aromáticos B e carbonilas em C-4. Estes efeitos causam proteções e desproteções nos núcleos de hidrogênios das porções glicosídicas devidos aos cones de proteção do anel B e desproteção do grupo carbonila, aos quais se aproximam devido a estereoquímica de cada molécula. Consequentemente, seus valores de deslocamentos químicos nos espectros de RMN de 1H diferenciam-se para os estereoisômeros, sendo possível suas identificações inequívocas.11

Visando enriquecer o conhecimento acerca da espécie M. acaciifolium, o presente trabalho dedicou-se a aprofundar o estudo fitoquímico dos extratos metanólicos das folhas e galhos, investindo especial atenção à identificação estrutural por RMN e correlacionando os sinais obtidos com os efeitos de proteção e de desproteção observados pela inserção dos açúcares aos flavonoides.

 

PARTE EXPERIMENTAL

Coleta, extração e procedimentos gerais

Folhas (468 g) e galhos (1,1 kg) de Macrolobium acaciifolium (Fabaceae) foram coletadas em época de cheia no Lago do Catalão (Igarapé Papocu) em 17 de junho de 2009 nas coordenadas 3º10' S, 59º54' O, Amazonas, Brasil. O estudo foi registrado no Sistema Nacional de Gestão do Patrimônio Genético (SisGen) sob número AD1E109. Uma exsicata do espécimen (No. 258676) foi depositada no herbário do Instituto Nacional de Pesquisas da Amazônia (INPA), Manaus, Brasil. Logo após a coleta, os materiais vegetais foram secos em estufa ventilada (TE-394/2, Tecnal), as folhas foram moídas em moinho de facas (SL-31, Solab) e os galhos triturados em moinho de martelo (DPM-4, Nogueira). Os extratos foram obtidos com solventes orgânicos de polaridade crescente e com o auxílio do ultrassom (Unique, 40 KHz), iniciando por hexano para extração de substâncias apolares e clorofilas (extratos hexânicos), seguido de metanol (extratos metanólicos), ambos por 3 vezes e água destilada (extratos aquosos) apenas 1 vez. Os extratos obtidos foram armazenados em freezer até o seu fracionamento.

Todos os extratos, frações e substâncias foram monitorados por cromatografia em camada delgada comparativa (Sigma-Aldrich, TLC Silica gel 60 F254) para verificação das classes de metabólitos e reunião de frações. Foram utilizados os reveladores cloreto férrico (solução etanólica 10%) e NP/PEG (solução metanólica 1% de difenilboriloxietilamina/solução etanólica 5% de polietilenoglicol 4000) para observação de compostos fenólicos, além das lâmpadas UV 365 (T5, Orion) e 254 nm (G8 T5, Phillips).

Para os fracionamentos, fez-se uso da cromatografia em camada delgada preparativa (CCDP, Sigma-Aldrich, Silica gel GF254), sílica gel para coluna aberta (Machery-Negal, 0,04-0,063 mm/230-400 mesh ASTM) e resina Sephadex lipofílica (Sephadex LH-20, Sigma-Aldrich), além de cartuchos de sílica C18 (Sep-Pak-C18, Phenomenex). Os solventes orgânicos utilizados nos fracionamentos foram grau comercial (Araguaya, Araçariguama, Brasil) destilados no laboratório.

A CLAE (cromatografia líquida de alta eficiência) foi utilizada para fracionamento e purificação das substâncias usando os seguintes consoles: amostrador automático de alto rendimento com bomba de seringa SIL-10AF, detector de rede de fotodiodo SPD-M20A e bomba líquida de alto desempenho LC-6AD. Os solventes utilizados para as análises por CLAE foram MeOH grau HPLC (Scielab, Rio de Janeiro, Brasil) e água ultrapura e deionizada pelo purificador Purelab Option (ELGA, Buckinghamshire, Inglaterra). Para todos os fracionamentos e purificações realizados por CLAE em solução aquosa de MeOH, fez-se uso de água com pH 5 (ajustado com ácido acético). As colunas utilizadas para as análises e purificações foram: analítica (250 × 4,6 mm) e semipreparativa (250 × 10,0 mm) Luna 5µ C18(2) 100A (Phenomenex) com fluxo analítico de 1 mL min-1 e semiprepativo de 4,7 mL min-1.

As análises de ressonância magnética nuclear de 1H (300 MHz) e de 13C (75 MHz) foram obtidas no equipamento Fourier 300 (Bruker) na Central Analítica do LTQPN do Instituto Nacional de Pesquisas da Amazônia (INPA). Os solventes deuterados usados foram: dimetilsulfóxido (DMSO-d6, Sigma-Aldrich), metanol (MeOH-d4, Cambridge Isotope Laboratories) e acetona-d6 (Cambridge Isotope Laboratories). Foram obtidas análises de 1H, 13C, COSY, HSQC e HMBC para identificação das substâncias. Os deslocamentos químicos (d) são expressos em ppm e foram usados os solventes deuterados como referências internas. Constantes de acoplamentos (J) são expressas em Hz para se referir às multiplicidades dos sinais.

Fracionamento e isolamento das substâncias

O extrato metanólico das folhas (45 g) de M. acaciifolium foi solubilizado em MeOH/H2O 1:1 e submetido à partição líquido-líquido com DCM (diclorometano) e posteriormente AcOEt (acetato de etila), gerando a fase DCM (1,1 g), fase AcOEt (3,0 g) e fase MeOH/H2O (11,0 g). A fase AcOEt foi submetida a uma coluna aberta em sílica gel (AcOEt/MeOH 95:5, MeOH), sendo as frações 2 (A, 283 mg) e 4 (B, 968 mg) escolhidas para continuação do trabalho. A fração 2 (A) foi fracionada por CCDP (CHCl3/MeOH/HAc 85:15:3), com destaque para 6 (A1, 93 mg) e 7 (A2, 190 mg). A fração 6 (A1) foi fracionada em Sephadex LH-20 e sua fração 1 (60 mg) foi fracionada em sílica gel, da qual a fração 3 (3,5 mg) foi purificada por CLAE (C18, MeOH 50%), gerando a substância 1 (2,0) mg. A fração 7 (A2) foi fracionada em Sephadex LH-20, da qual a fração 4 (140 mg) foi purificada por CLAE (C18, MeOH 44%) sendo as frações de 1 a 5 as substâncias isoladas 2 (21,0 mg, t = 15,25 min), 3 (20,0 mg, t = 17,68 min), 4 (3,4 mg, t = 22,74 min), 5 (8,3 mg, t = 24,38 min) e 6 (3,0 mg, t = 34,86 min).

A fração 4 (B) foi fracionada em Sephadex LH-20 e a fração 3 (287 mg) foi submetida a Sep-Pak-C18 (H2O, H2O/MeOH 1:1, MeOH, MeOH/CHCl3 1:1 e CHCl3), sendo destaques 1 (B1, 200 mg) e 2 (B2, 35 mg). A fração 1 (B1) foi fracionada em Sephadex LH-20 com destaques para 3-4 (B11, 30 mg), 7 (B12, 9,2 mg) e 8 (B13, 19 mg). A fração 3-4 (B11) foi fracionada por CLAE (C18, MeOH 44%), onde a fração 3 (3,4 mg) mostrou ser a substância 7 (3,4 mg, t = 11,94 min) e a fração 4 (12 mg) foi purificada por CLAE (C18, MeOH 38%), gerando a substância 8 (4,0 mg, t = 38,23 min). As frações 7 (B12) e 8 (B13) foram purificadas por CLAE (C18, MeOH 44%), sendo isolada a substância 9 (6,0 mg, t = 11,53 min) das frações 3 de 7 (B12) e 2 de 8 (B13). A fração 2 (B2) foi fracionada em Sephadex LH-20, sendo a fração 4 purificada em CLAE (C18, MeOH 44%) gerando a substância 10 (1,3 mg, t = 21,19 min).

O extrato metanólico dos galhos (75 g) de M. acaciifolium foi submetido à partição líquido-líquido, gerando a fase DCM (440 mg), fase AcOEt (1,9 g) e fase MeOH/H2O (7,0 g). A fase DCM foi fracionada por Sep-Pak-C18 (H2O, H2O/MeOH 1:1, MeOH, MeOH/CHCl3 1:1 e CHCl3), sendo destaque 2 (C1, 28 mg) e 3 (C2, 269 mg). A fração 2 (C1) foi fracionada por CLAE (C18, MeOH 25%), onde 3 (1,3 mg) e 6 (1,5 mg) mostraram ser as substâncias 11 (1,3 mg, t = 8,66 min) e 12 (1,5 mg, t = 18,74 min). A fração 3 (C2) foi fracionada em sílica gel (CHCl3/MeOH 95:05, 1:1), e a fração 2-3 (28 mg) apresentou um precipitado no frasco, sendo a substância 13 (5 mg). A fração 4-7 (34 mg) foi fracionada em sílica gel (CHCl3/acetona 9:1, acetona, 8 frações obtidas), e sua fração 2 foi fracionada em sílica gel (CHCl3/MeOH 95:05, 1:1) sendo a fração 1 a substância 14 (2,8 mg) e a fração 2, a substância 15 (1,0 mg). A fração 8-16 (116 mg) foi fracionada em Sephadex LH-20, e as frações 6 (2,4 mg) e 8 (5,6 mg) foram purificadas por CLAE (C18, MeOH 65%). Da fração 6 foi isolada a substância 16 (0,5 mg, t = 7,12 min) e da fração 8 foram isoladas a substância 17 (1,2 mg, t = 5,23 min) e substância 18 (1,3 mg, t = 8,25 min).

 

RESULTADOS E DISCUSSÃO

Identificação das substâncias

As substâncias 1 a 12 tiveram suas análises de RMN uni e bidimensionais obtidas no solvente DMSO-d6, enquanto 13 a 16 e 18 em acetona-d6, sendo apenas 17 em MeOH-d4. As análises por HMBC foram suficientes para a obtenção de valores de deslocamentos químicos dos carbonos quaternários da maioria das substâncias. Apenas para as substâncias 2 a 5 e 10 foram obtidos espectros de RMN de 13C para a averiguação precisa de alguns deslocamentos químicos visando a correta identificação dos metabólitos.

A análise do espectro de RMN de 1H da substância 1 mostrou sinais em δ 7,56 (1H, br s) relativo ao H-2', δ 7,51 (1H, m) para H-6', em δ 6,84 (d, 1H, J 8,5 Hz) para H-5', δ 6,50 (s, 1H) para H-3, δ 5,88 para H-6 e δ 6,11 para H-8, além de δ 5,38 para o H-1" da ramnose, a qual mostrou correlação por HMBC com o C-3' em δ 145 e por comparação com a literatura científica foi identificada como luteolina-3'-O-α-L-ramnosídeo.12

O espectro de RMN de 1H da substância 2 mostrou sinais em δ 6,89 (1H, br s) para H-2' e δ 6,69 (2H, br s) para os H-5' e H-6', δ 5,07 (d, 1H, J 11,1 Hz) para H-2 e δ 4,71 (d, 1H, J 11,1 Hz) para H-3. A substância 3 mostrou sinais em δ 6,88 (br s, 1H) para H-2' e δ 6,63 (br s, 2H) para os H-5' e H-6', δ 5,22 (d, 1H, J 10,0 Hz) para H-2 e δ 4,64 (d, 1H, J 10,0 Hz) para H-3. A substância 4 mostrou sinais em δ 6,89 (br s, 1H) para H-2', δ 6,73 (br s, 2H) para os H-5' e H-6', δ 5,41 (d, 1H, J 1,2 Hz) para H-2 e δ 4,04 (d, 1H, J 1,2 Hz) para H-3. A substância 5 mostrou sinais em δ 6,83 (br s, 1H,) para H-2' e δ 6,70 (br s, 2H) para os H-5' e H-6', δ 5,51 (1H, J 2,3 Hz) para H-2 e δ 4,17 (1H, J 2,3 Hz) para H-3.

As substâncias 2, 3, 4 e 5 mostraram ser dihidroflavonoides isômeros que se diferenciaram principalmente nos sinais correspondentes aos H-2, H-3 onde os seus J resultantes foram muito maiores em 2 (J 10,0 Hz) e 3 (J 11,1 Hz) que 4 (J 1,2 Hz) e 5 (J 2,3 Hz). Os deslocamentos químicos dos hidrogênios dos carbonos anoméricos de suas ramnoses foram δ 4,92 (2), δ 4,01 (3), δ 4,04 (4) e δ 4,75 (5). As metilas das ramnoses mostraram sinais em δ 0,77 (d, 3H, J 6,0 Hz, 2), δ 1,04 (d, 3H, J 6,1 Hz, 3), δ 0,99 (d, 3H, J 6,1 Hz, 4) e δ 0,82 (d, 3H, J 6,1 Hz, 5). Após comparação com a literatura científica os dihidroflavonoides foram identificados como neoastilbina (2), astilbina (3), neoisoastilbina (4) e isoastilbina (5).13

O espectro de RMN de 1H da substância 6 mostrou sinais em δ 7,28 (br s, 1H) relativo ao H-2', δ 7,24 (1H, m) para H-6', δ 6,85 (d, 1H, J 8,2 Hz) para H-5', δ 6,19 (br s, 1H) para H-6 e δ 6,38 (br s, 1H) para H-8, δ 5,24 (br s, 1H) para o H-1" da ramnose, o qual mostrou correlação por HMBC com o C-3 em δ 134,2, além de δ 0,80 (d, 3H, J 5,61 Hz) para o H-6"' da metila da ramnose, sendo identificada como quercetin-3-O-α-L-ramnosídeo (quercitrina).14

A análise do espectro de RMN de 1H da substância 7 mostrou sinais em δ 7,52 (m, 1H) relativo ao H-6', δ 7,50 (m, 1H) para H-2', δ 6,83 (d, 1H, J 7,1 Hz) para H-5', δ 6,17 (br s, 1H) para H-6 e δ 6,37 (br s, 1H) para H-8, δ 5,31 (d, 1H, J 6,2 Hz) para o H-1" da glicose, o qual mostrou correlação por HMBC com o C-3 em δ 132,6, além de δ 4,36 (br s, 1H) para H-1"' e δ 0,96 (d, 3H, J 6,1 Hz) para o H-6"' da metila da ramnose, sendo identificada como quercetin-3-O-rutinosídeo (rutina).14

Para a substância 8, o espectro de RMN de 1H mostrou sinais em δ 7,96 (d, 2H, J 8,7 Hz) relativo aos H-2' e H-6', δ 6,86 (d, 2H, J 8,7 Hz) para H-3' e H-5', δ 6,17 (br s, 1H) para H-6 e δ 6,38 (br s, 1H) para H-8, δ 5,27 (d, 1H, J 7,3 Hz) para o H-1" da glicose, o qual mostrou correlação por HMBC com o C-3 em δ 133,2, δ 4,35 (br s, 1H) para H-1"', o qual mostrou correlação por HMBC com o C-6" em δ 66,9, além de δ 0,95 (d, 3H, J 6,1 Hz) para o H-6"' da metila da ramnose, sendo identificada como kaempferol-3-O-rutinosídeo (nicotiflorin).14

O espectro de RMN de 1H da substância 9 mostrou sinais em δ 7,57 (m, 2H) relativo aos H-2' e H-6', δ 6,83 (d, 1H, J 8,7 Hz) para H-5', δ 6,19 (br s, 1H) para H-6 e δ 6,40 (br s, 1H) para H-8, além de δ 5,45 (d, 1H, J 7,3 Hz) para o H-1" da glicose, o qual mostrou correlação por HMBC com o C-3 em δ 133,2, sendo identificada como quercetin-3-O-β-D-glicosídeo (isoquercetina ou isoquercitrina).14

A análise do espectro de RMN de 1H da substância 10 mostrou sinais em δ 7,94 (d, 2H, J 8,8 Hz) relativo aos H-2' e H-6', em δ 6,84 (d, 2H, J 8,8 Hz) para H-3' e H-5', δ 6,01 (br s, 1H) para H-6 e δ 6,19 (br s, 1H) para H-8, δ 5,22 (d, 1H, J 7,3 Hz) para o H-1" da glicose, o qual mostrou correlação por HMBC com o C-7 em δ 161,3, além de δ 4,38 (d, 1H, J 2,0 Hz) para H-1"' e δ 0,99 (d, 3H, J 5,5 Hz) para o H-6"' da metila da ramnose, sendo identificada como kaempferol-7-O-rutinosídeo.14

Já o espectro de RMN de 1H da substância 11 mostrou sinais em δ 7,31 (s, 1H) relativo ao H-2, δ 7,26 (m, 1H) para H-6 e em δ 6,75 (d, 1H, J 7,4 Hz) para H-5. Os H-2 e H-6 mostraram correlação por HMBC com o carbonila em δ 168,3, sendo comparado com a literatura científica e identificada como ácido 3,4-dihidroxibenzóico (ácido protocatecuico).15

A substância 12 mostrou sinais, no espectro de RMN de 1H, em δ 7,41 (s, 1H) relativo ao H-2, δ 7,39 (m, 1H) para H-6, δ 6,79 (d, 1H, J 8,2 Hz) para H-5 e δ 3,76 (s, 3H) da metoxila, a qual mostrou correlação com o C-3 em δ 147,3. O H-2 mostrou correlação por HMBC com o carbonila em δ 168,2, sendo identificada como ácido 3-metoxi,4-hidroxibenzóico (ácido vanílico).15

A substância 13 mostrou sinais, no espectro de RMN de 1H, em δ 7,64 (d, 1H, J 2,0 Hz) relativo ao H-2', δ 7,62 (dd, 1H, J 8,2 e 2,0 Hz) para H-6', δ 7,02 (d, 1H, J 8,2 Hz) para H-5', δ 6,72 (s, 1H) para H-3, δ 6,26 (d, 1H, J 2,1 Hz) para H-6 e δ 6,56 (d, 1H, J 2,1 Hz) para H-8, além de δ 4,00 (s, 3H) para a metoxila, a qual mostrou correlação por HMBC com o C-3' em δ 148,1, sendo identificada como crisoeriol.16

Por sua vez, o espectro de RMN de 1H da substância 14 mostrou sinais em δ 7,94 (d, 2H, J 8,7 Hz) relativo aos H-2' e H-6', δ 7,03 (d, 2H, J 8,7 Hz) para H-3' e H-5', δ 6,64 (s, 1H) para H-3, além de δ 6,26 (d, 1H, J 2,1 Hz) para H-6 e δ 6,54 (d, 1H, J 2,1 Hz) para H-8, sendo identificada como apigenina.17

A análise do espectro de RMN de 1H da substância 15 mostrou sinais em δ 7,48 (d, 1H, J 1,6 Hz) relativo ao H-2, δ 7,42 (d, 1H, J 8,3 e 1,6 Hz) para H-6, δ 6,89 (d, 1H, J 8,3 Hz) para H-5 e δ 3,80 (s, 3H) da metoxila, a qual mostrou correlação por HMBC com a carbonila em δ 166,7, sendo identificada como 3,4-dihidroxibenzoato de metila.15

A substância 16 mostrou sinais, no espectro de RMN de 1H, em δ 7,88 (d, 2H, J 8,7 Hz) relativo aos H-2' e H-6', δ 7,81 (d, 1H, J 8,7 Hz ) para H-5, δ 6,90 (d, 2H, J 8,7 Hz) para H-3' e H-5', δ 6,89 (d, 1H, J 1,6 Hz) para H-8, δ 6,84 (dd, 1H, J 8,7 e 1,6 Hz) para H-6, além de δ 6,67 (s, 1H) para H-3, sendo identificada como 7,4'-dihidroxiflavona.18

A análise do espectro de RMN de 1H da substância 17 mostrou sinais em δ 6,93 (br s, 1H) relativo ao H-2', δ 6,80 (br s, 2H) para H-5' e H-6', δ 5,87 (d, 1H, J 2,1 Hz) para o H-6 e δ 5,89 (d, 1H, J 2,1 Hz) para H-8, assim como δ 5,28 (dd, 1H, J 12,7 e 3,0 Hz) relativo ao H-2 acoplado com os H-3eq em δ 2,74 (dd, 1H, J 17,0 e 3,0 Hz) e H-3ax δ 3,0 (dd, 1H, J 17,0 e 12,7 Hz), sendo identificada como eriodictiol.16

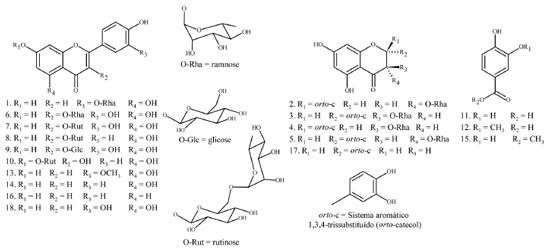
Finalmente, o espectro de RMN de 1H da substância 18 mostrou sinais em δ 7,50 (d, 1H, J 2,0 Hz) relativo ao H-2', δ 7,48 (dd, 1H, J 8,2 e 2,0 Hz) para H-6', δ 7,00 (d, 1H, J 8,2 Hz) para H-5', δ 6,59 (s, 1H) para H-3, δ 6,25 (d, 1H, J 2,0 Hz) para H-6 e δ 6,53 (d, 1H, J 2,0 Hz) para H-8, sendo identificado como luteolina.16 As estruturas químicas de todas as substâncias isoladas e identificadas são apresentadas na Figura 1.

 


Figura 1. Estrutura química das substâncias isoladas dos extratos metanólicos de galhos e folhas de M. acaciifolium

 

Os flavonoides 1, 6, 7, 9, 13 e 18 exibiram para seus anéis B, sinais característicos de anéis aromáticos 1,3,4-trissubstituído (orto-catecol) nos espectros de RMN de 1H, sendo um sinal para cada hidrogênio H-2', H-5' e H-6'. De forma similar os ácidos fenólicos 11, 12 e 15 apresentaram a mesma disposição de seus anéis aromáticos. Os flavonoides 2 a 5 e 17, apesar de apresentarem a mesma disposição de substituintes nos anéis B, mostraram diferenças significativas em seus sinais nos espectros de RMN de 1H, onde os respectivos picos de H-5' e H-6' coincidiam em um mesmo deslocamento químico, deformando suas multiplicidades em simpletos largos, enquanto os sinais de H-2' foram levemente deslocados para região mais desprotegida em relação aos anteriores, nas formas de simpletos largos. Os flavonoides 8, 10, 14 e 16 exibiram padrão de substituição de anéis B com sistema AA'XX', com simetria, sendo refletido para esse anel, em apenas dois sinais em seus espectros de RMN de 1H, um para os H-2' e H'6' e outro para H-5' e H-3', sendo ambos com integral para 2H.19

As substâncias 1-6 mostraram ter o açúcar ramnose ligado aos flavonoides. Os hidrogênios (H-1") ligados aos carbonos anoméricos das ramnoses exibiram sinais largos na forma de simpletos em seus espectros de RMN de 1H, caracterizando α-ligações com interação em cis, di-equatorial. Os experimentos apontam que a constante de acoplamento desta interação de H-1" e H-2" seria J ~ 1,0-4,0 Hz. Os H-3", H-4" e H-5" nas α-ramnoses encontram-se em axial nestas conformações, fornecendo J próximos ou superiores a 6,0-8,0 Hz.20

Os H-1" dos flavonoides 1 e 6 mostraram valores de δ 5,38 e 5,24 nos espectros de RMN de 1H. A ramnose está ligada à C-3' em 1 e C-3 em 6, evidenciando um moderado efeito de desproteção do sistema aromático do anel B em H-1 de 1 se comparado a 6. Nos flavonoides rutinosilados 7, 8 e 10 os valores de H-1"' das ramnoses foram de δ 4,36, 4,35 e 4,38, enquanto os H-6"' mostraram dupletos (J ~ 5,0-6,5 Hz) na região de δ 0,70-1,2 com integrais para 3H característico de suas metilas.

Os valores de H-1" para os dihidroflavonoides 2, 3, 4 e 5 foram δ 4,92, 4,01, 4,04 e 4,75. A presença de hidrogênios nas posições C-2 e C-3 em substituição à ligação dupla geram 2 centros quirais a estes flavonoides, possibilitando duas estruturas com os H-2 e H-3 em cis e outras duas em trans, logo quatro diastereoisômeros. Estas conformações por consequência, alternam também os anéis B (para frente em 2 e 4; para trás em 3 e 5) e as unidades de ramnoses (para frente em 3 e 4; para trás em 2 e 5) nas estruturas.

Estas conformações induzem naturalmente os hidrogênios H-1", H-2", H-5" e H-6" das ramnoses a experimentar ambientes químicos diferentes para cada molécula. Enquanto H-1" de 2 e 5 aparecem deslocados para a região mais desprotegida do espectro (d 4,92 e 4,75), H-1" de 3 e 4 aparecem deslocados para região mais protegida (d 4,01 e 4,04). Os H-5" de 2 e 5 são deslocados para região mais protegida (d 2,23 e 2,41) assim como seus H-6" (d 0,77 e 0,82). Estes efeitos são contrários em 3 e 4, onde H-5" (d 3,87 e 3,32) e H-6" (d 1,04 e 0,99) são vistos mais desprotegidos em seus espectros de RMN de 1H.

Os H-2" destas moléculas experimentam efeitos de desproteção com menos intensidade, sendo em 2 o mais deslocado para região desprotegida do espectro quando comparado com os outros três diastereoisômeros, com valor de δ 3,75, enquanto δ 3,32, 3,44 e 3,45 para 3, 4 e 5.

Uma proposta para estes valores de deslocamentos químicos para os H-1", H-5" é sugerida por De Britto et al.,21 onde as conformações possibilitam que os H-1" em 2 e 5 interajam com o oxigênio da carbonila do anel C do flavonoide, deslocando-os para região mais desprotegida do espectro, enquanto seus H-5" ficam localizados dentro do cone de proteção do anel B, o qual fornece efeito anisotrópico de blindagem para estes hidrogênios, sendo deslocados para região mais protegida. Nas moléculas 3 e 4, estas interações são invertidas, enquanto os H-5" interagem com o oxigênio da carbonila, os H-1" ficam localizados dentro do cone de proteção. Os efeitos de deslocamento são mostrados na Figura 2.

 


Figura 2. Efeitos de proteção e desproteção nos hidrogênios das ramnoses propostos para os deslocamentos químicos observados nas substâncias 2 a 5 (fonte: adaptado de De Britto et al.)21

 

Além destes hidrogênios, os H-2 e H-3 dos anéis C também experimentam ambientes químicos diferentes e apresentam deslocamentos químicos diferentes e interações em trans nas moléculas 2 e 3 (J 10,0 e 11,1 Hz, respectivamente) e cis nas substâncias 4 e 5 (J 1,2 e 2,3 Hz, respectivamente). Estas correlações foram cruciais para resolução das estereoquímicas destas quatro substâncias, uma vez que alguns isômeros possuem deslocamentos químicos muito próximos e de difícil separação.

As substâncias 7, 8, 9 e 10 mostraram estar ligadas diretamente a uma unidade de glicose dos flavonoides. A glicose geralmente é conectada aos flavonoides por β-ligação, diferente da ramnose. Esta conformação proporciona aos H-1" e H-2", interações em trans, diaxial, fornecendo J ~ 7,0 Hz. Neste açúcar, os hidrogênios de 1-5 estão todos em axial na conformação, o que garantiria sinais com J próximos ou superiores a 7,0 Hz. Os sinais dos demais hidrogênios aparecem sobrepostos entre δ 3,00-4,00 e suas multiplicidades são complexas de serem resolvidas apenas por espectros simples de 1H.20

Quando observados os valores de deslocamentos químicos dos 5-OH dos dihidroflavonoides isômeros 2, 3, 4 e 5, notamos que seus valores aparecem abaixo de δ 12,00 se comparados com os mesmos grupos dos demais flavonoides isolados. O fator crucial desta diferença pode estar relacionado à ausência da ligação dupla entre C-2 e C-3, atuando em conjugação com a carbonila em C-4 (4-CO) e fortalecendo a ligação de hidrogênio com 5-OH devido a polarização no anel C em flavonas e flavonóis, que não ocorrem em dihidroflavonoides.

Outro fator pode estar relacionado à interação dos grupos 4-CO com os hidrogênios dos açúcares estudada por De Britto et al.21 Esta interação atua enfraquecendo indiretamente a efetividade da ligação de hidrogênio do grupo 5-OH com 4-CO. Em outras palavras, os pares de elétrons do oxigênio de 4-CO possuem uma população maior de hidrogênios para realizar as ligações de hidrogênio. Por consequência, a interação dos hidrogênios de 5-OH com 4-CO enfraquecem e permite que estes hidrogênios estejam mais próximos de seus oxigênios ligantes em C-5 que o oxigênio da carbonila e consequentemente sejam menos desprotegidos, sendo detectados com valores menores que δ 12,00.

 

CONCLUSÕES

Foi possível separar os isômeros neoastilbina, astilbina, neoisoastilbina e isoastilbina por meio de purificação por CLAE, o que permitiu a identificação inequívoca destas moléculas por RMN. O presente trabalho com M. acaciifolium também possibilitou a identificação de flavonoides agliconas, glicosilados e ácidos fenólicos, sendo indiscutível a grande importância desta planta, visto que muitas destas substâncias são utilizadas como princípios ativos no tratamento de doenças ou possuem outras atividades biológicas como o eriodictiol, o qual vem se provando eficaz ao combate à diversas cascatas que desencadeiam câncer pulmonar,22 gastrointestinal,23 nasofaríngeo,24 dentre outros. O mesmo pode ser apontado ao ácido protocatecuico com as diversas atividades e potenciais que abrangem anticâncer, anti-inflamatório, antiviral, antibacteriano, antioxidante, dentre outros.25

É possível salientar uma breve comparação das estruturas químicas das substâncias isoladas e época de coleta das partes vegetais de M. acaciifolium. Todos os flavonoides isolados das folhas foram do tipo glicosilados enquanto que os isolados dos galhos foram somente agliconas e os ácidos fenólicos. As partes vegetais foram coletadas em época de cheia dos rios no estado do Amazonas e a espécie estava com o tronco submerso na água do lago, enquanto as folhas da copa do espécimen estava para fora. Provavelmente este fator causou produções específicas das classes de flavonoides, onde as agliconas (menos solúveis em água) se mantiveram na parte do tronco e galhos para proteger a árvore contra afogamento e morte da mesma. Por outro lado, os glicosídeos (mais solúveis em água) foram deslocados ou produzidos nas folhas, externa à água do lago. Essas informações sugerem uma das vias encontradas pela planta para que tenha a capacidade de adequação em condições de alagamento e mantenha a sobrevivência do espécimen.

Este estudo incita a realização de novas coletas em época de seca dos rios amazônicos, a fim de verificar se haverá diferenciação na composição química dos flavonoides e/ou dos possíveis açúcares ligados.

 

MATERIAL SUPLEMENTAR

Os dados de ressonância magnética nuclear (RMN) e as imagens de todos os espectros de RMN uni e bidimensionais obtidos das substâncias isoladas neste trabalho estão disponíveis em http://quimicanova.sbq.org.br, na forma de arquivo PDF, com acesso livre.

 

AGRADECIMENTOS

Agradecemos às agências financiadoras à pesquisa que fomentaram este trabalho: Conselho Nacional de Desenvolvimento Científico e Tecnológico (CNPq), Fundação de Amparo à Pesquisa do Estado do Amazonas (FAPEAM) e Coordenação de Aperfeiçoamento de Pessoal de Nível Superior (CAPES) (código de financiamento 001 e Pro-Amazônia/CAPES). Ao CNPq pela bolsa de produtividade de C. V. N. e a FAPEAM e CNPq pelas bolsas de estudo de D. R. S. Aos técnicos Magno Perea Muniz e Sabrina Kelly Reis de Morais da Central Analítica do Laboratório Temático de Química de Produtos Naturais (CA-LTQPN) do IInstituto Nacional de Pesquisas da Amazônia (INPA) pelas análises de RMN e de massas realizadas. Aos revisores anônimos e editor cujos comentários e sugestões contribuíram muito para melhorar o artigo.

 

REFERÊNCIAS

1. Legume Phylogeny Working Group (LPWG); Taxon 2017, 66, 44. [Crossref]

2. Flora e Funga do Brasil, https://floradobrasil.jbrj.gov.br/FB23066, acessado em Março 2023.

3. Nascimento, B. O.; Silva Neto, O. C.; Teodoro, M. T. F.; Silva, E. O.; Guedes, M. L. S.; David, J. M.; Phytochem. Lett. 2020, 39, 124. [Crossref]

4. Ferraz, C. M. S.; Santos, A. Q.; Santos, M. J.; Silva, V. R.; Santos, L. S.; Soares, M. B. P.; Bezerra, D. P.; Macedo, G. E. L.; Paula, V. F.; Queiroz, R. F.; S. Afr. J. Bot. 2021, 140, 210. [Crossref]

5. da Silva, M. M. F.; Bastos, M. N. C.; Gurgel, E. S. C.; Iheringia, Ser. Bot. 2017, 72, 267. [Crossref]

6. Schöngart, J.; For. Ecol. Manage. 2008, 256, 46. [Crossref]

7. Wittmann, F.; Schöngart, J.; Queiroz, H. L.; Wittmann, A. O.; Conserva, A. S.; Piedade, M. T. F.; Kesselmeier, J.; Kunk, W. J.; Ecohydrol. Hydrobiol. 2009, 9, 41. [Crossref]

8. Assahira, C.; Piedade, M. T. F.; Trumbore, S. E.; Wittmann, F.; Cintra, B. B. L.; Batista, E. S.; Resende, A. F.; Schöngart, J.; For. Ecol. Manage. 2017, 396, 113. [Crossref]

9. Barbosa, A. P.; Palmeira, R. C. F.; Nascimento, C. S.; Feitoza, D. S.; Cunha, M. S. C.; Rev. Fitos 2006, 1, 47. [Link] acessado em Março 2024

10. Behrens, M. D.; Tappin, M. R. R.; Favoreto, R.; Silva, V. P.; Nakamura, M. J.; Barbosa, A. P.; Sousa, L. A.; Siani, A. C.; Rev. Fitos 2006, 1, 58. [Link] acessado em Março 2024

11. Kleinpeter, E.; Annu. Rep. NMR Spectrosc. 2014, 82, 115. [Crossref]

12. Silva, D. R.: Estudo Fitoquímico dos Extratos Metanólicos de Flores e Folhas de Macrolobium acaciifolium e Algumas Avaliações Biológicas dos seus Extratos; Dissertação de Mestrado, Universidade Federal do Amazonas, Amazonas, Brasil, 2018. [Link] acessado em Março 2024

13. Zhao, X.; Chen, R.; Shi, Y.; Zhang, X.; Tian, C.; Xia, D.; Molecules 2020, 25, 5295. [Crossref]

14. Pokhilo, N. D.; Fedoreyev, S. A.; Tarbeeva, D. V.; Veselova, M. V.; Grigorchuk, V. P.; Gorovoy, P. G.; Chem. Nat. Compd. 2021, 57, 1023. [Crossref]

15. Li, C.; Rec. Nat. Prod. 2022, 16, 247. [Crossref]

16. Silva, L. A. L.; Faqueti, L. G.; Reginatto, F. H.; Santos, A. D. C.; Barison, A.; Biavatti, M. W.; Rev. Bras. Farmacogn. 2015, 25, 375. [Crossref]

17. Li, Y.; Cheng, X.; Chen, C.; Wu, H.; Zhao, H.; Liu, W.; Xiang, Z.; Wang, Q.; Pathology 2020, 216, 152701. [Crossref]

18. Park, Y.; Moon, B.; Lee, E.; Lee, Y.; Yoon, Y.; Ahn, J.; Lim, Y.; Magn. Reson. Chem. 2007, 45, 674. [Crossref]

19. Günther, H.; Angew. Chem., Int. Ed. 1972, 11, 861. [Crossref]

20. Agrawal, P. K.; Phytochemistry 1992, 31, 3307. [Crossref]

21. De Britto, J.; Manickam, V. S.; Gopalakrishnan, S.; Ushioda, T.; Tanaka, N.; Chem. Pharm. Bull. 1995, 43, 338. [Crossref]

22. Zhang, Y.; Zhang, R.; Ni, H.; Arch. Med. Sci. 2020, 16, 446. [Crossref]

23. Shan, H.; Zhang, X.; Mi, Y.; Jia, J.; Wang, B.; Yang, Q.; Pharmaceuticals 2022, 15, 1477. [Crossref]

24. Tang, L.; Qin, Y.; Ling, K.; Wan, H.; JBUON 2020, 25, 2389. [Link] acessado em Março 2024

25. Song, J.; He, Y.; Luo, C.; Feng, B.; Ran, F.; Xu, H.; Ci, Z.; Xu, R.; Han, L.; Zhang, D.; Pharmacol. Res. 2020, 161, 105109. [Crossref]

On-line version ISSN 1678-7064 Printed version ISSN 0100-4042
Qu�mica Nova
Publica��es da Sociedade Brasileira de Qu�mica
Caixa Postal: 26037 05513-970 S�o Paulo - SP
Tel/Fax: +55.11.3032.2299/+55.11.3814.3602
Free access

GN1