JBCS



12:22, sáb out 25

Acesso Aberto/TP



Artigo

Theoretical study of molecules derived from beta-lactams compounds with possible potential antibiotic activity on Staphylococcus aureus

Jorge Anaya-GilI,*; Gina Mercado-BeltránI; Ana Guerrero-GonzálezI; Jairo Mercado-CamargoI; Maicol Ahumedo-MonterrosaI,II; Ricardo Vivas-ReyesII

I. School of Pharmaceutical Sciences, University of Cartagena, 130015 Cartagena, Colombia
II. School of Sciences, University of Cartagena, 130015 Cartagena, Colombia

Received: 07/25/2023
Accepted: 01/30/2024
Published online: 04/10/2024

Endereço para correspondência

*e-mail: janayag@unicartagena.edu.co

RESUMO

Staphylococcus aureus is known worldwide as the principal cause of human bacterial infections; as well as methicillin-resistant Staphylococcus aureus (MRSA), is a major cause of hospital-acquired infections that are becoming increasingly difficult to combat because of emerging resistance to all current antibiotic classes. This work aims to carry out a theoretical study of molecules derived from beta-lactam compounds with possible potential antibiotic activity on Staphylococcus aureus. Therefore, computational chemistry tools were used to describe the interactions between potentially active molecules and the transpeptidase and beta-lactamase enzyme. These molecules were docked with transpeptidase and beta-lactamase enzymes, and all of them showed a higher affinity for transpeptidase (-4.81 kcal mol-1) than the reference molecule (methicillin), but only two showed a lower affinity for beta-lactamase (-6.8 kcal mol-1). The two ligands that presented the best ranking docking results were subjected to molecular dynamics simulations to assess conformational stability through root mean square deviation (RMSD) and root mean square fluctuation (RMSF) analysis. According to simulation, the ligands that bind to the proteins do not cause significant conformational changes in the structures of the proteins. The absorption, distribution, metabolism, and excretion (ADME) properties of the molecules with the lowest affinity for beta-lactamase were estimated. The ADME properties predict that the molecules would have good bioavailability.

Palavras-chave: Staphylococcus aureus; methicillin; transpeptidase; beta-lactamase; molecular dynamic.

INTRODUCTION

Antimicrobial agents have benefited the history of medicine by revolutionizing the treatment of infectious diseases,1 in this respect, beta-lactams are one of the most important drug classes to treat bacterial infections due to their high efficacy and safety.2 They inhibit bacterial cell-wall synthesis through the binding of penicillin binding proteins (PBPs),3 however, their continuous use has made microorganisms, once considered harmless, to be feared as potentially lethal pathogens.4 Nowadays, microbial infections have once again become a public health concern, which has attained a global interest in the development of new drugs.5 This is predominantly due to the rapid increase of antimicrobial resistance, being this problem one of the great challenges that mankind faces today and that negatively affects human health around the world which is now accepted as an urgent problem to tackle.6 Antibiotic resistance to bacteria is a health problem at the global level, in 2019, there were an estimated 13.7 million infection-related deaths globally, with 7.7 million deaths associated with the 33 bacterial pathogens investigated.7,8 These multidrug-resistant (MDR) strains are a serious threat to human health.9,10 Currently, most nosocomial and community-acquired infections occurring in the world are due to the emergence of new infections or re-emergence of previously controlled diseases, this phenomenon is associated with the MDR bacteria.11,12

Staphylococcus aureus is a bacterium widespread in the environment and has significant virulence factors that have developed antibiotic resistance over the years. S. aureus infections are characterized by an important cause of systemic infections, being the microorganism that presents the highest morbidity and mortality rate in-hospital infections.13 Clinical strains of S. aureus are resistant to the majority beta-lactamics making it difficult to treat infections caused by the bacteria.14 Beta-lactam resistance in S. aureus is classically mediated by beta-lactamase, an enzyme that cleaves the beta-lactam ring,15 making the drug ineffective. While beta-lactamase provides resistance to penicillin (the first beta-lactam drug introduced to the clinics) and structurally similar drugs, PBP2a provides high-level resistance to penicillin and as well as next-generation betalactamics drugs such as methicillin.16 These strains can acquire antibiotic resistance, and the resistance to methicillin (MRSA) is a growing public health problem.17 The number of resistant cases has been increasing, in which this microorganism is distributed worldwide in varying proportions.18

All these issues prompted us to wonder whether these questions could be answered or, at least, clarified by a theoretical approach. First, one can hope that these methodologies could provide indications, or at least trends, about what factors are affecting a molecular level the mechanisms by which these bacteria are acquiring resistance against a group of antibiotics. Computational chemistry tools allow a good understanding of the interactions between potentially active molecules and a target such as a transpeptidase enzyme.19

In the present work, a theoretical study of molecules derived from beta-lactamics compounds with possible potential dual antibiotic activity on Staphylococcus aureus was carried out to select molecules that present greater affinity as inhibitors of transpeptidase enzymes and show a lower affinity for beta-lactamase enzymes. To find molecules with these characteristics, structural modifications were carried out in the R-side chain of penicillin (see Figure 1). Different molecular modeling strategies were applied sequentially to the different molecules.

 


Figure 1. Penicillin core structure

 

Molecular docking simulations were performed to provide further insight into the plausible binding modes among proposed molecules and the active site of the transpeptidase and beta-lactamase proteins. The best complexes selected in the molecular docking were subjected to molecular dynamic simulations to determine the predicted conformations stability and validate the docking results.

The absorption, distribution, metabolism, and elimination (ADME) properties will be estimated for the molecules with the best results, using a well-established web-based free tool (SwissADME).20

 

EXPERIMENTAL

Theoretical methods

Dataset

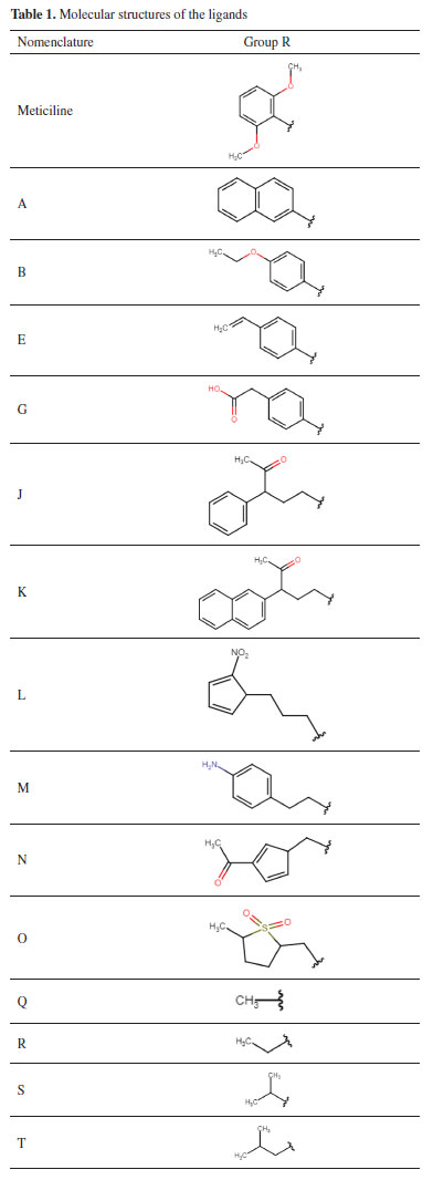
Fourteen molecules were proposed from the base structure of penicillin (see Figure 1), using different substituents (R), as illustrated in Table 1, which were chosen randomly in terms of their structural diversity. In other words, alkyls and aromatic substituents were combined, some of them with the capacity to create inductive effects and others with the capacity to produce steric effects, capable of causing changes in the conformation of the molecules that can facilitate coupling with the transpeptidase enzyme. The Gaussview 4.2 program21 was used to construct the molecules (see Figure 1S, in Supplementary Material) and their geometries were optimized using the PM3 semiempirical method with the Gaussian09 program.22

 

 

Molecular docking

The 3D structures of transpeptidase and beta-lactamase were downloaded from the Protein Data Bank, with ID code 1MWU and 3HVF, respectively. The complexes in PDB format were visualized and prepared using the structure preparation tool available in the Sybyl X 2.1.1 package23 and the Amber force field was used to assign the partial atomic charges of the protein. The native ligand and all water molecules were removed from the complexes, hydrogen atoms were added and side-chain amides and imidazoles were fixed (protonated), assuming a physiological pH of 7 (see Figure 2S, Supplementary Material). The structures of native ligands were extracted and optimized with the same conditions as the 14 molecules proposed.

The docking protocol was initiated in the molecular simulation program AutoDock 4.2.24 The preparation of the proteins and ligands was performed using the graphical user interface of AutoDock, called AutoDockTools.25 This preparation involved the addition of hydrogen and the assignment of Gasteiger charges26 (see Figure 3S, Supplementary Material).

After this, the potential maps for each type of atom in the ligand were calculated, executing the grid parameter using the AutoGrid 4.2 program incorporated in AutoDock. In this study, the grid box was delimited, centered on the binding site, with dimensions 50 × 50 × 50 Å and spacing between points of 0.375 Å. Finally, for the conformational search, the Lamarckian genetic algorithm was chosen and for the validation 200 conformations were registered, with the remaining parameters used as per the default settings. With these parameters, docking validation was carried out by re-coupling the native ligands to the binding site of the receptors (transpeptidase-methicillin and beta-lactamase-penicillin G) (see Figure 4S, Supplementary Material).

Once the docking protocol was validated for each studied system, the docking calculations for the 14 molecules and the transpeptidase receptor were continued following the previous protocol, which the best conformation were chosen according to their binding energy values and their position within the binding site of the transpeptidase protein. The interactions of selected protein-ligand complexes were analyzed and the molecules with the highest score with transpeptidase protein will be used to perform a calculation with the beta-lactamase enzyme, and in the same way, as in docking with transpeptidase, the best conformation and interactions were analyzed. The interactions of the selected protein-ligand complexes were analyzed on the protein-ligand interaction profiler web server.27

Due to the absence in the PDB database of the S. aureus beta-lactamase protein co-crystallized with a native penicillinic ligand, the study of the interaction of the different molecules proposed was carried out with the beta-lactamase of the microorganism Escherichia coli. Taking into account that both enzymes belong to the class A of beta-lactamases and therefore have some homology, a BLASTP (https://blast.ncbi.nlm.nih.gov/Blast.cgi?PROGRAM=blastp) analysis was performed, which showed a 35% identity percentage at the primary structure level between these two enzymes, and homology is based on the idea that proteins with a sequence identity of more than 30% have structural similarity (see Figure 5S, Supplementary Material). In addition, an alignment between these two sequences allows confirming the conservation of the amino acid residues in the active site of both enzymes.28-32

Molecular dynamics

The best complexes selected in the molecular docking were subjected to molecular dynamics (MD) simulations to determine the stability of the predicted conformations and to validate the docking results. 100 ns (MD) simulations were performed using the GROMACS 2016.5 package,33 all simulations were carried out by Charmm27 as a force field.34 Complexes were solvated by a cubic periodic box with TIP3P water under periodic boundary conditions.35 The system was neutralized and the ionic strength (0.1 mol L-1) of the medium was adjusted by adding Na+ and Cl ions, keeping the number of particles constant. After this step, the energy minimization of the systems was performed until the energy converged, which was followed by equilibrium using the pressure and temperature (NVT and NPT ensemble) which were kept constant at 300 K and 1.0 bar, equilibration periods were 1.0 ns, and production runs were of 10 ns duration, using the V-rescale thermostat, and Parrinello-Rahman, respectively. The LINCS36 and SETTLE37 algorithms were employed to apply bond lengths of hydrogen atoms distance constraints, respectively, whereas long-range interactions were calculated using the particle-mesh Ewald (PME) method,38,39 used to constrain the geometry of the water molecules. The system was subjected to the final MD production run of 100 ns. GROMACS and VMD40 software packages were used to analyze the different MD trajectories. The production time was 100 ns for each system. The root mean square deviation (RMSD) and root mean square fluctuation (RMSF) were calculated.

Prediction of ADME properties for promising compounds

To determine the possible behavior of the molecules selected in the biological processes of adsorption and distribution, the prediction of their pharmacokinetics properties such as absorption, distribution, metabolism, and elimination (ADME) were calculated.41 The parameters evaluated correspond to molecular weight, octanol-water partition coefficient (logP), number of hydrogens donating bonds (HBD), number of hydrogens accepting bonds (HBA), number of rotating bonds, and topological polar surface area (TPSA). Molecules were assessed using the SwissADME server.20

 

RESULTS AND DISCUSSION

Docking validation

In Figure 2 the alignment between the conformation of the native ligand corresponding to the co-crystallized ligand (green color) and the conformation resulting from docking (red color) are shown; both structures adopt a similar conformation at the active site of the crystallized structure; RMSD values of 1.33 and 0.65 Å were obtained for the transpeptidase and beta-lactamase enzymes, respectively; which are considered acceptable42 (see Figures 2a and 2b). According to the results obtained, it can be indicated that the AutoDock 4.2 program adequately reproduces the binding and interactions between the transpeptidase receptor (Figure 2c) and beta-lactamase receptor (Figure 2d) with their native ligands.

 


Figure 2. Alignment between the ligand present in the co-crystallized structure (green color) and the docked ligand (red color) using the program AutoDock 4.2. (a) Transpeptidase receptor; (b) beta-lactamase receptor; (c) 2D representation of transpeptidase interactions; (d) 2D representation of beta-lactamase interactions

 

Molecular docking

The binding energy values calculated by molecular docking are shown in Table 2; for this calculation, the conformation in which the pharmacophore presents adequate interactions with the active site of the receptor was chosen. It is observed that all the proposed molecules present higher binding energy for transpeptidase compared to methicillin, indicating that the studied compounds present higher affinity for this enzyme than the reference molecule, suggesting that the substitutions made to the penicillin nucleus facilitate the interactions providing an increased in the affinity. The compounds that showed an energetic difference of more than 30% to methicillin were docked with the beta-lactamase enzyme, to find dual activity in the same molecule, i.e., compounds with a higher affinity for transpeptidase and lower affinity for beta-lactamase to avoid problems related to bacterial resistance. It is important to remember that beta-lactamase is an enzyme responsible for inhibiting the mechanism of action of beta-lactam antibiotics and therefore suppressing antibiotic activity.43

 

 

Table 2 is depicted the binding energy values among the eight selected molecules and the beta-lactamase enzyme. Six of these compounds presented higher affinity than the reference molecule for beta-lactamase and only molecules J (–5.89 kcal mol-1) and K (–6.10 kcal mol-1) presented lower energetic values (beta-lactamase receptor). Therefore, this pair of molecules meet the criterion sought in this research, which is to have in the same compound a drug with greater antibiotic effectiveness and with less tendency to be degraded by beta-lactamases; this advantage would avoid the therapeutic use of two drugs at the same time in the same treatment, as is currently used in certain cases, where one drug is used for antibacterial treatment and at the same time another to inhibit beta-lactamases, which increases the risk of liver and kidney alterations in treated patients.44

The two selected molecules have as R substituents, a hydrocarbon chain, a carbonyl group, and, aromatic rings which are considered bulky groups and according to the literature45 the presence of this type of substituent decreases the susceptibility to be attacked by beta-lactamases, this may explain the lower affinity values found for this enzyme. Molecule L was excluded because in its molecular structure there is no carbonyl group or aromatic ring of at least six atoms.

The J and K molecules have a structural analogy with nafcillin, which has been shown to have resistance problems;46 the nafcillin is a penicillin in which the substituent at position 6 of penam ring is a (2-ethoxy-1-nafthoyl) amin group, while the J and K molecules in the penam ring substitution have an ethyl group, a carbonyl group in addition to the aromatic substituents which is possibly causing a decrease in the affinity of lactamases towards these compounds.

Figure 3a shows the interactions between the J molecule with the transpeptidase enzyme, finding that the active site residues of the enzyme Lys430, Arg445, and Thr600 formed interactions with the ligand, stabilizing it, so that it can develop its antibacterial function. Figure 3b shows the coupling between the K molecule and the active site of the transpeptidase, finding that the interacting residues are Lys430, Arg445, and Thr600, which are favoring the antibiotic activity.

 


Figure 3. Hydrogen bond-type interactions present in the protein-ligand complex, formed between molecules J (a) and K (b) with the active site of transpeptidase

 

The interactions of the J and K ligands with beta-lactamase are shown in Figure 4, the main interactions observed between the active site and the J molecule are Glu166, and Asn132 in the beta-lactam ring, it is also observed that the carbonyl group interacts with Thr216 and has the capacity to form hydrogen bonds and Ser237 with the aromatic ring, these last interactions possibly facilitate the protection of the pharmacophore avoiding its degradation by the action of the lactamases. On the other hand, molecule K (Figure 4b) contains in its structure a naphthalene ring that interacts with residue Gly238, which, being a bulky group, generates steric impediments, so it could be expected to disfavor the catalytic effect of beta-lactamases; other interactions shown involve Gly70, Thr235, and Arg276.

 


Figure 4. Hydrogen bond type interactions (some prevent degradation of the pharmacophore) present in the protein-ligand complex, formed between molecules J (a) and K (b) with the active site of the beta-lactamase

 

In this part of the study, it can be observed that molecules J and K showed lower binding energy to beta-lactamase compared to methicillin, suggesting that these molecules have a lower chemical affinity for the beta-lactamase enzyme. The presences of bulky aromatic chemical species together with carbonyl groups create a chemical environment that does not facilitate the interaction between the enzyme and the ligands studied.

Molecular dynamics simulation

To evaluate the dynamic behavior between the protein-ligand complexes, a 100 ns molecular dynamics simulation was performed for both enzymes, 1MWU and 3HVF with the native ligands and the J and K molecules, monitored during the process and subjected to in-depth analysis, which included the calculation of the root mean square deviation (RMSD) and root mean square fluctuation (RMSF). Based on these parameters we proceeded to analyze how stable the complexes formed with the best ligand products of molecular docking are.

RMSD analysis

The RMSD values of the complexes formed by the proteins and ligands J, K, and their native ligands are shown in Figures 5a and 6a. The complex formed between the protein 1MWU and its native ligand shows fluctuations between 0.2 and 0.3 nm during the simulation time, indicating that it is a stable complex. On the other hand, the complex between 1MWU and the J ligand presents noticeable variations (0.2-0.4 nm) in the first 15 ns of the simulation, but after this time, equilibrium is reached with minimal variations between 0.2 and 0.25 nm. Similarly, the complex formed by 1MWU and ligand K shows fluctuations between 0.2-0.3 nm during the simulation time, indicating the stability of the complex.

 


Figure 5. Monitoring of 1MWU complexes by RMSD and RMSF: (a) root mean square deviation (RMSD) vs time, native ligand (blue), ligand J (orange) and ligand K (yellow), respectively, were plotted; (b) root mean square fluctuation (RMSF) of each residue from 1MWU

 

The 3HVF protein and its native ligand show fluctuations between 0.1 and 0.15 nm during the 100 ns of simulation, showing a stable complex. On the other hand, the complex formed between the 3HVF protein and the J ligand shows remarkable variations (0.1-0.2 nm) in the first 10 ns of the dynamics, in the remaining 20 ns equilibrium is reached with minimal variations, between 0.1 and 0.15 nm. Similarly, the complex between 3HVF protein and K ligand fluctuations are between 0.1 to 0.2 nm in the first 10 ns, but in the remaining 20 ns there is a slight increase in fluctuations between 0.3 and 0.4 nm.

Considering the low RMSD values exhibited for both proteins, all complexes could be relatively stable during 100 ns of simulation. Therefore, the results obtained from the model are reasonable and valid. It can be said that the binding of the ligands to the protein does not cause significant conformational changes in the protein structure.

RMSF analysis

The RMSF values for each protein were calculated by monitoring the backbone atoms of all residues during 100 ns simulations to examine their range of flexibility, as can be seen in Figures 5b and 6b. The native 1MWU ligand complex shows remarkable RMSF variations in the regions forming the amino acids, 121-122, 205-206, and 306-308, these regions correspond to beta turns, this makes sense because these regions are very flexible. The complex between 1MWU and ligand J presents considerable fluctuations between residues 270-272 and the complex between 1MWU and ligand K shows variations between residues 126-131. These residues are mainly located in the loop regions which can be corroborated by the reports of the structures in PDB.47 In general, the amino acids of transpeptidase y were not involved in ligand interactions.

 


Figure. 6. Monitoring of 3HVF complexes by RMSD and RMSF: (a) root mean square deviation (RMSD) vs. time, native ligand (blue), ligand J (orange) and ligand K (yellow), respectively, were plotted; (b) root mean square fluctuation (RMSF) of each residue from 3HVF

 

The 3HVF-native ligand complex shows minimal fluctuations throughout the simulation, and the 3HVF-ligand J complex shows slight fluctuations for the native ligand, between residues 221-230. On the other hand, in the 3HVF-ligand K complex, fluctuations of 0.4 nm in RMSFs are observed between residues 115-117. A possible explanation for this fluctuation in this region is the absence of interaction of ligands J and K with residue Asn104, which can be observed with the native ligand, in Figure 2d.

In silico ADME properties

The selected compounds (J and K) were analyzed using the SwissADMET server20 to predict their overall ADME properties. Pharmacokinetic parameters were estimated based on Lipinski's rule (rule of five), in which target molecules meet the criteria of drug-likeness if: (i) the molecular weight is under 500, (ii) the calculated octanol/water partition coefficient is (logP) < 5, (iii) there is fewer than five hydrogen-bond donors (NH and OH groups), and, (iv) there are less than ten hydrogen-bond acceptors (notably N and O atoms).41,48 The computed molecular properties of the compounds are depicted in Table 3; as it can be seen, compounds J and K did not violate any of Lipinski's rule of five; which 5 is used to predict the oral bioavailability.49 TPSA parameter which is the sum of Van der Waals surface areas of electronegative atoms (oxygen and nitrogen with their attached hydrogen) was used as a good descriptor to elucidate the absorption and the passive transportation properties through biological membranes.41 Veber et al.50 indicate that molecules with 10 or fewer rotational bonds in their structure and a TPSA of 140 or less are associated with good oral physicochemical properties; then molecules J and K may be good potential drug candidates due to their good bioavailability, as they do not violate Veber's rule as shown in Table 3.

 

 

CONCLUSIONS

In this research, it was found that the AutoDock program adequately reproduces the chemical interactions between the ligands native and the active sites of the transpeptidase and beta-lactamase enzymes. All the proposed molecules showed a higher binding energy for transpeptidase than the reference molecule (methicillin); two of which showed a lower affinity for beta-lactamase, which makes them potential drug candidates with antibiotic activity. Molecular dynamics simulations show that the binding of ligands J and K to the enzymes studied do not generate significant conformational changes in the structures of the enzymes, this is supported by comparing the RMSD and RMSF values of the enzymes with their native ligand against RMSD and RMSF when bound with J and K ligands.

In addition, studies of ADME properties predict that the molecules would have good bioavailability, according to Lipinski's and de Veber's rules. The results of docking and molecular dynamics simulations for ligands J and K, together with the ADME properties obtained for these two ligands, allow us to propose these ligands as possible candidates for synthesis.

 

SUPPLEMENTARY MATERIAL

The images of the systems used in this work are available at http://quimicanova.sbq.org.br/, as a PDF file, with free access.

 

ACKNOWLEDGMENTS

This study was supported by the University of Cartagena (Cartagena). The authors Jorge Anaya-Gil wish to thank the National Program for Doctoral Studies in Colombia, Minciencias (Convocation No. 727 of 2015. Res 513, July 2015).

 

REFERENCES

1. Davies, J.; Davies, D.; Microbiol. Mol. Biol. Rev. 2010, 74, 417. [Crossref]

2. Llarrull, L.; Testero, S.; Fisher, J.; Mobashery, S.; Curr. Opin. Microbiol. 2010, 23, 551. [Crossref]

3. Zervosen, A.; Lu, W.; Chen, Z.; White, R.; Demuth, T.; Frere, J.; J. Antimicrob. AgentsChemother. 2004, 48, 961. [Crossref]

4. de Andrade, J.; Josino, M.; Rocha, C.; Campos, R.; Aires, F.; Serpa, L.; Gurgel, L.; Carneiro, I.; Dias, F.; da Silva, L.; Lima, J.; Coelho, B.; Odorico, M.; Nobre, H.; Microb. Pathog. 2019, 127, 335. [Crossref]

5. Li, B.; Webster, T.; J. Orthop. Res. 2018, 36, 22. [Crossref]

6. Muñoz-Bonilla, A.; Fernández-García, M.; Eur. Polym. J. 2018, 105, 135. [Crossref]

7. de La Cruz-Sánchez, N.; Gómez-Rivera, A.; Alvarez-Fitz, P.; Ventura-Zapata, E.; Perez-Garcia, M.; Avilés-Flores, M.; Gutierrez-Roman, A.; Gonzalez-Cortazar, M.; Microb. Pathog. 2019, 128, 347. [Crossref]

8. Ikuta, K.; Swetschinski, L.; Aguilar, G.; Sharara, F.; Mestrovic, T.; Gray, A.; Weaver, N.; Han, C.; Wool, E.; Hayoon, A.; Aali, A.; Abate, S.; Abbasi-Kangevari, M.; Abbasi-Kangevari, Z.; Bhandari, D.; Dhingra, S.; Lancet 2022, 400, 2221. [Crossref]

9. Cerceo, E.; Deitelzweig, S.; Sherman, B.; Amin, A.; Microb. Drug Resist. 2016, 22, 412. [Crossref]

10. Muntean, D.; Licker, M.; Alexa, E.; Popescu, L.; Jianu, C.; Buda, V.; Infect. Drug Resist. 2019, 12, 2905. [Crossref]

11. Uribe-Beltran, M.; Ahumada-Santos, Y.; Diaz-Camacho, S.; Eslava-Campos, C.; Reyes-Valenzuela, J.; Baez-Flores, M.; Osuna-Ramirez, I.; Delgado-Vargas, F.; J. Med. Microbiol. 2017, 66, 972. [Crossref]

12. Sabin, N.; Simba, A.; Simpson, S.; Hiromu, H.; Nishimura, T.; Yamamoto, T.; Journal of Physiological Anthropology 2020, 39, 29. [Crossref]

13. McGuinness, W.; Malachowa, N.; DeLeo, F.; Am. J. Med. Sci. 2017, 90, 269. [Crossref]

14. Lee, A.; de Lencastre, H.; Garau, J.; Kluytmans, J.; Malhotra-Kumar, S.; Peschel, A.; Harbarth, S.; Nature Reviews Disease Primers 2018, 4, 18033. [Crossref]

15. Bush, K.; Bradford, P.; Clin. Microbiol. Rev. 2020, 33, e00047. [Crossref]

16. Fishovitz, J.; Hermoso, J.; Chang, M.; Mobashery, S.; IUBMB Life 2014, 66, 572. [Crossref]

17. Rodriguez-Noriega, E.; Seas, C.; Braz. J. Infect. Dis. 2010, 14, 87. [Crossref]

18. Perazzi, B.; Camacho, M.; Bombicino, K.; Flores, Z.; Vay, C.; Famiglietti, A.; Rev. Argent. Microbiol. 2010, 42, 199. [Link] accessed in March 2024

19. Biswas, S.; Raoult, D.; Rolain, J.; Int. J. Antimicrob. Agents 2008, 32, 207. [Crossref]

20. Daina, A.; Michielin, O.; Zoete, V.; Sci. Rep. 2017, 7, 42717. [Crossref]

21. Gangopadhyay, D.; Sharma, P.; Singh, R.; Spectroschim. Acta, Part A 2015, 150, 9. [Crossref]

22. Frisch, M. J.; Trucks, G. W.; Schlegel, H. B.; Scuseria, G. E.; Robb, M. A.; Cheeseman, J. R.; Scalmani, G.; Barone, V.; Mennucci, B.; Petersson, G. A.; Nakatsuji, H.; Caricato, M.; Li, X.; Hratchian, H. P.; Izmaylov, A. F.; Bloino, J.; Zheng, G.; Sonnenberg, J. L.; Hada, M.; Ehara, M.; Toyota, K.; Fukuda, R.; Hasegawa, J.; Ishida, M.; Nakajima, T.; Honda, Y.; Kitao, O.; Nakai, H.; Vreven, T.; Montgomery Junior, J. A.; Peralta, J. E.; Ogliaro, F.; Bearpark, M.; Heyd, J. J.; Brothers, E.; Kudin, K. N.; Staroverov, V. N.; Kobayashi, R.; Normand, J.; Raghavachari, K.; Rendell, A.; Burant, J. C.; Iyengar, S. S.; Tomasi, J.; Cossi, M.; Rega, N.; Millam, N. J.; Klene, M.; Knox, J. E.; Cross, J. B.; Bakken, V.; Adamo, C.; Jaramillo, J.; Gomperts, R.; Stratmann, R. E.; Yazyev, O.; Austin, A. J.; Cammi, R.; Pomelli, C.; Ochterski, J. W.; Martin, R. L.; Morokuma, K.; Zakrzewski, V. G.; Voth, G. A.; Salvador, P.; Dannenberg, J. J.; Dapprich, S.; Daniels, A. D.; Farkas, Ö.; Foresman, J. B.; Ortiz, J. V.; Cioslowski, J.; Fox, D. J.; Gaussian 09, Revision A.02; Gaussian, Inc., Wallingford, CT, 2009.

23. Tripos International; Sybyl-X Molecular Modeling Software Packages, version 2.0; Tripos Associates, Inc., St. Louis, MO, USA, 2012.

24. Morris, G.; Goodsell, D.; Halliday, R.; Huey, R.; Hart, W.; Belew, R.; Olson, A.; J. Comput. Chem. 1998, 19, 1639. [Crossref]

25. Morris, G.; Huey, R.; Lindstrom, W.; Sanner, M.; Belew, R.; Goodsell, D.; Olson, A.; J. Comput. Chem. 2009, 30, 2785. [Crossref]

26. Bikadi, Z.; Hazai, E.; J. Cheminf. 2009, 1, 15. [Crossref]

27. Salentin, S.; Schreiber, S.; Haupt, V.; Adasme, M.; Schroede, M.; Nucleic Acids Res. 2015, 43, W443. [Crossref]

28. Herzberg, O.; J. Mol. Biol. 1991, 217, 701. [Crossref]

29. O'Driscoll, A.; Belogrudov, V.; Carroll, J.; Kropp, K.; Walsh, P.; Ghazal, P.; Sleator, R.; J. Biomed. Inf. 2015, 54, 58. [Crossref]

30. Vivas-Reyes, R.; Ahumedo, M.; Cabezas, J.; Rev. Colomb. Quim. 2010, 39, 181. [Link] accessed in March 2024

31. Zhang, Y.; Lee, J.; Wu, S. In Protein Structure to Function with Bioinformatics; Rigden, D. J., ed.; Springer: Dordrecht, 2009, ch. 1. [Link] accessed in March 2024

32. Peng, J.; Xu, J.; Bioinformatics 2020, 26, i294. [Crossref]

33. Abraham, M.; Murtola, T.; Schulz, R.; Pall, S.; Smith, J.; Hess, B.; Lindahl, E.; SoftwareX 2015, 1, 19. [Crossref]

34. Brooks, B.; Bruccoleri, R.; Olafson, B.; States, D.; Swaminathan, S.; Karplus, M.; J. Comput. Chem. 1983, 4, 187. [Crossref]

35. Mark, P.; Nilsson, L.; J. Phys. Chem.A 2001, 105, 9954. [Crossref]

36. Hess, B.; Bekker, H.; Berendsen, H.; Fraaije, J.; J. Comput. Chem. 1997, 18, 1463. [Crossref]

37. Miyamoto, S.; Kollman, P.; J. Comput. Chem. 1992, 13, 952. [Crossref]

38. Darden, T.; York, D.; Pedersen, L.; J. Chem. Phys. 1983, 98, 10089. [Crossref]

39. York, D.; Wlodawer, A.; Pedersen, L.; Darden, T.; Proc. Natl. Acad. Sci. U. S. A. 1994, 91, 8715. [Link] accessed in March 2024

40. Humphrey, W.; Dalke, A.; Schulten, K.; J. Mol. Graphics 1996, 14, 33. [Crossref]

41. Ghannay, S.; Kadri, A.; Aouadi, K.; Monatsh. Chem. 2020, 151, 267. [Crossref]

42. Ahumedo, M.; Drosos, J.; Vivas-Reyes, R.; Mol. BioSyst. 2014, 10, 1162. [Crossref]

43. Majiduddin, F.; Materon, I.; Palzkill, T.; Int.J. Med. Microbiol. 2002, 292, 127. [Crossref]

44. Ramos, R.; Zaragoza, M.; Rodríguez, L.; Partida, E.; Valencia, A.; Revista ADM 2016, 73, 227. [Link] accessed in March 2024

45. Cruz, E.; Diaz, G.; MediSur 2010, 8, 13. [Link] accessed in March 2024

46. Salazar, M.; Machado, H.; Dillon, N.; Tsunemoto, H.; Szubin, R.; Dahesh, S.; Pogliano, J.; Sakoulas, G.; Palsson, B.; Nizet, V.; Feist, A.; mSystems 2020, 5, e00828. [Crossref]

47. Lim, D.; Strynadka, N.; Nat. Struct. Mol.Biol. 2002, 9, 870. [Crossref]

48. Santos, V.; Gonsalves, A.; Melo, C.; Quim. Nova 2018, 41, 110. [Crossref]

49. Asokkumar, K.; Prathyusha, L.; Umamaheshwari, M.; Sivashanmugam, T.; Sudhadradavi, V.; Jagannath, P.; Madeswaran, A.; Salesheir, F.; J. Chil. Chem. Soc. 2012, 57, 1442. [Crossref]

50. Veber, D.; Johnson, S.; Cheng, H.; Smith, B.; Ward, K.; Kopple, K.; J. Med. Chem. 2002, 45, 2615. [Crossref]

On-line version ISSN 1678-7064 Printed version ISSN 0100-4042
Qu�mica Nova
Publica��es da Sociedade Brasileira de Qu�mica
Caixa Postal: 26037 05513-970 S�o Paulo - SP
Tel/Fax: +55.11.3032.2299/+55.11.3814.3602
Free access

GN1