JBCS



15:07, sáb out 25

Acesso Aberto/TP



Artigo

Chemical constituents of Amburana acreana Ducke A. C. Sm. leaves

Adrianne B. FerreiraI,* Rosane M. AguiarII; Hugo N. BrandãoIII; Rauldenis A. F. SantosIV; Humberto F. de FreitasIII,V; Catharine TelesV; Joice N. ReisV; Jessica L. de SouzaIII; Clayton Q. AlvesI

I. Departamento de Ciências Exatas, Universidade Estadual de Feira de Santana, 44036-900 Feira de Santana - BA, Brasil
II. Departamento de Ciências e Tecnologias, Universidade Estadual do Sudoeste da Bahia, 45031-900 Jequié - BA, Brasil
III. Departamento de Saúde, Universidade Estadual de Feira de Santana, 44036-900 Feira de Santana - BA, Brasil
IV. Instituto Federal de Educação, Ciência e Tecnologia da Bahia, 45810-000 Porto Seguro - BA, Brasil
V. Faculdade de Farmácia, Universidade Federal da Bahia, 40170-115 Salvador - BA, Brasil

Received: 11/01/2023
Accepted: 02/20/2024
Published online: 05/15/2024

Endereço para correspondência

*e-mail: adriannebastoss@gmail.com

RESUMO

This study aimed to isolate, purify and characterize secondary metabolites present in Amburana acreana leaves, native to the state of Rondônia, using classical chromatographic methods and 1D, 2D nuclear magnetic resonance spectroscopy. From the hydroethanolic leaves extract of A. acreana, p-hydroxybenzoic acid, vanillic acid, coumarin, campesterol 3-β-D-glucoside and amburoside B, all known compounds, were identified. To the best of our knowledge, this is the first report of isolation and chemical characterization of secondary metabolites in A. acreana. In addition, in vitro assays indicated that amburoside B does not have inhibitory potential on the growth of gram-negative bacteria. The presence of these compounds suggests that, thus far, amburosides (A and B) could be chemotaxonomic markers of the genus Amburana.

Palavras-chave: Amburana acreana; chemical composition;

INTRODUCTION

The genus Amburana belongs to the Fabaceae family (Leguminoseae, papilionoideae), one of the three largest families of angiosperms in the world, being considered the largest botanical family in the Brazilian territory. This genus is made up of just three species, Amburana acreana, Amburana cearensis and Amburana erythrosperma E.P.Seleme, C.H.Stirt. & V.F.Mansano, distributed in different countries of the South American subcontinent - Argentina, Brazil, Bolivia, Paraguay and Peru.1-3

Amburana acreana (Ducke) A. C. Sm. is popularly known as "Cumaru-de-cheiro" and "Cerejeira", and is synonymous with Amburana cearensis var. acreana (Ducke) J. F. Macbr. and Torreseaacreana Ducke (Figure 1).2-4 Its occurrence is predominantly Brazilian, with a specific distribution in the southwest of the Amazon Forest, in the states of Rondônia, Acre, Amazonas and Mato Grosso, although there are records of the species occurring in northern Argentina, western Bolivia and northeastern Paraguay and Peru.4,5

 


Figure 1. Amburana acreana, stem and aerial parts4

 

Amburana species have commercial relevance, given their varied applicability, in the furniture industry (due to their resistance, durability and commercial value), in the cosmetics sector (perfumery, creams and flavorings) and in folk medicine, in the treatment of respiratory diseases, with anti-inflammatory and analgesic action.1,2 However, the high demand in the civil construction and furniture sector has caused a threat to the existence of species of this genus. In Brazil, the species A. acreana is classified on the official list in the "vulnerable" category, being considered one of the priority timber species for the genetic resources' conservation program in the Amazon.3

Although the main commercial purpose of Amburana species is in the timber market, the chemical composition of the genus has aroused interest in research in the areas of phytochemistry and pharmacology. Some secondary metabolites of A. cearensis have been isolated in previous works,1,6-8 such as 1,2-benzopyrone, isokaempferidium, kaempferol, quercetin, 4'-methoxy-fisetin, afrormosin, 7-hydroxy-8,4'-dimethoxyisoflavone, biflavonoids (amburanin A and B), protocatechuic acid, vanillic acid, amburosides (A to H), β-sitosterol, stigmasterol, 2,4-methylene cycloartanol, alfalone and methyl 3,4-dimethoxy cinnamate.

Due to the widespread ethnopharmacological use of species of the Amburana genus and the incipient knowledge about the chemical composition in the literature, especially A. acreana, the phytochemical characterization of the species becomes essential. Thus, this study aimed to isolate, purify and identify the chemical constituents present in the hydroethanolic extract of A. acreana leaves, as well as evaluate the action of amburoside B against a gram-negative bacterial model resistant to beta-lactam drugs.

 

EXPERIMENTAL

Plant material

A. acreana leaves were collected at Fazenda São Vicente, in the municipality of Ji-Paraná, Rondônia, Brazil, in september 2017, at geographic coordinates: S 10º52'57.9324'' and W 61º58'6.9422''. The taxonomic identification of the plant was carried out by Prof. Lorena de Souza Tavares Bressiani, at the Herbarium Antônio Dalla Marta of the Lutheran University Center of Ji-Paraná (CEULJI/ULBRA), where a sample was deposited and the record containing information on the occurrence of the species was generated (RON:e3201). Furthermore, the species was registered in the National Genetic Heritage Management System (SisGen) under the code ADA5ACA.

Extraction and isolation of chemical constituents

Approximately 300.0 g of A. acreana leaves were dried in an oven with circulating air at 40 ºC for 7 days and crushed in a Vitalex® industrial blender at 3500 rpm. The material was subjected to cold maceration with 94% ethanol, with a volume of approximately 2.5 L, for 24 h, four consecutive times. After removing the solvent in a reduced pressure rotary evaporator (Quimis®) and drying in exhaust hood, 88.3 g of crude extract (EAA) were obtained. The plant material was collected and the crude extract was obtained at the Federal University of Rondônia (UNIR).

The isolation and purification of the secondary metabolites was carried out at the Chemistry Research Laboratory (LABQuim), at the State University of Feira de Santana (UEFS), following the methodology suggested by Matos.9 Approximately 36 g of the extract were resuspended in 200 mL of methanol/water (9:1) and partitioned with 50 mL of hexane (three times, using a volume of 50 mL each time), for the obtention of the hexane portion (HAA). To the hydromethanolic phase, 100 mL of water was added to obtain a ratio of 6:4 methanol/water (totaling 300 mL), partitioned with 75 mL of chloroform (three times, using a volume of 75 mL each time), for the obtention of the chloroform portion (CAA). Subsequently, methanol was removed using a rotary evaporator and the aqueous phase was partitioned with 40 mL of ethyl acetate (three times, totaling a volume of 120 mL), from which the ethyl acetate portion (ACAA) was obtained. After removing the organic solvents, the masses of the portions obtained were HAA (2.5579 g), CAA (14.8449 g) and ACAA (2.6584 g). Although separation by classical gravitational chromatography was carried out on other organic portions, the analyses in this manuscript referred to the chloroform portion.

The portion CAA (14.7000 g) fraction was subjected to column chromatography (CC), using approximately 255.0 g of silica gel 60 (Acros, 0.063-0.200 mm) as a stationary phase; hexane/acetone were used as the mobile phase, in a gradient of polarity, collecting 100 mL portions, resulting in 340 fractions that were grouped in 39 fractions (CAA1-CAA39) after analysis by thin layer chromatography (TLC) revealed in ultraviolet light (254 nm) and iodine vapors. Of the 39 CAA fractions, the 4 fractions with the highest yield (m/m) were selected and analyzed by 1H and 13C (one- and two-dimensional) nuclear magnetic resonance (NMR) spectroscopy (Table 2S, in Supplementary Material).

This procedure resulted in the isolation of compound 1, which presented a white precipitate weighing 20.7 mg. Compounds 2 and 3, obtained as a mixture, presented a white amorphous precipitate with a mass of 1.2712 g. TLC analyses showed the presence of two bands, indicating a mixture of substances with different retention factors (Rf). The substances were isolated by preparative thin layer chromatography (PTLC), in TLC silica gel 60 F254, (plate L × W 20 × 20 cm to 20 × 20 cm, glass support plate, 60 Å medium pore diameter, Supelco®) and the mobile phase consisted of chloroform/dichloromethane (1:1) acidified with 0.1% glacial acetic acid, using a mass of 70.6 mg of the fractions. After separation and purification, compounds 2 (14.7 mg) and 3 (18.8 mg) were subjected to analysis by 1H and 13C NMR. Compound 4 presented a characteristic white amorphous solid with a mass of 10.8 mg and compound 5 formed a white amorphous precipitate with a mass of 4.3193 g, soluble in methanol (methodology detailed in Figure 1S, Supplementary Material).

Chemical composition by NMR

The 1H and 13C NMR spectra (one- and two-dimensional) were obtained on Bruker spectrometers, (model DRX-500), operating at a hydrogen frequency of 500 MHz, and at a carbon frequency of 125 MHz, respectively. Deuterated solvents were used to dissolve the samples.

Chromen-2-one (coumarin) (1)

White solid; 1H NMR (CDCl3, 500 MHz) d 7.72 (1H, d, J 9.4 Hz, H-4), 7.54 (1H, m, H-5), 7.49 (1H, dd, J 7.6, 1.5 Hz, H-7), 7.33 (1H, d, J 8.2 Hz, H-8), 7.29 (1H, m, H-6), 6.43 (1H, d, J 9.4 Hz, H-3); 13C NMR (CDCl3, 75 MHz) d 160.8 (C-2), 154.0 (C-9), 143.4 (C-4), 131.8 (C-7), 127.8 (C-5), 124.4 (C-6), 118.8 (C-10), 116.9 (C-8), 116.7 (C-3) (Table 3S).10

4-Hydroxybenzoic acid (p-hydroxybenzoic acid) (2)

1H NMR (CD3OD-d4, 500 MHz) d 7.88 (2H, m, J 7.9 Hz, H-3, 5), 6.82 (2H, m, J 7.9 Hz, H-2, 6); 13C NMR (CD3OD-d4, 125 MHz) d 170.4 (C-7), 163.4 (C-4), 133.1 (C-3, 5), 123.0 (C-1), 116.1 (C-2, 6) (Table 4S).11

4-Hydroxy-3-methoxybenzoic acid (vanillic acid) (3)

1H NMR (CD3OD, 500 MHz) d 7.56 (2H, m, H-2), 6.84 (1H, d, H-5), 3.89 (3H, s, -OCH3); 13C NMR (CD3OD-d4, 125 MHz) d 170.3 (C-7), 152.7 (C-4), 148.8 (C-3), 125.4 (C-6), 123.3 (C-1), 115.9 (C-5), 113.9 (C-2), 56.5 (-OCH3) (Table 5S).11

Campesterol 3-β-D-glucoside (campesterol glucoside) (4)

1H NMR (DMSO, 500 MHz) d 5.33 (1H, s, H-6), 4.22 (1H, d, J 8.0 Hz, H-1'), 3.44 (2H, m, H-6'), 3.05 (1H, m, H-3), 1.96 (1H, m, H-7) and 1.63 (1H, d, J 5.0 Hz, H-25); 13C NMR (DMSO-d6, 125 MHz) d 140.4 (C-5), 121.2 (C-6), 100.8 (C-1'), 76.9 (C-5'), 76.8 (C-4'), 76.7 (C-3'), 73.4 (C-2'), 70.1 (C-3), 61.1 (C-6'), 56.2 (C-14), 55.4 (C-17), 49.6 (C-9), 45.1 (C-24), 41.8 (C-13), 38.3 (C-4), 36.8 (C-1), 36.2 (C-10), 35.5 (C-20), 33.3 (C-12), 31.4 (C-7), 31.3 (C-8), 29.2 (C-2), 28.7 (C-25), 27.8 (C-16), 25.4 (C-23), 23.8 (C-15), 22.6 (C-22), 20.6 (C-11), 19.7 (C-27), 19.1 (C-26), 18.9 (C-19), 18.6 (C-21), 11.8 (C-18), 11.7 (C-28) (Table 6S).12

4-O-β-D-glucopyranosyl-benzyl vanillate (amburoside B) (5)

1H NMR (CD3OD, 500 MHz) d 7.55 (1H, m, H-6'), 7.53 (1H, m, H-2'), 7.38 (2H, d, J 8.5 Hz, H-2, 6), 7.11 (2H, d, J 8.5 Hz, H-3, 5), 6.83 (1H, d, J 8.5 Hz, H-5'), 5.25 (2H, s, H-7), 4.93 (1H, d, J 4.3 Hz, H-1''), 3.87 (3H, s, -OCH3), 3,69 (1H, dd, J 11.9, 4.9 Hz, H-6''), 3.90 (1H, m, H-6''), 3.46 (1H, m, H-2''), 3.47 (1H, m, H-3''), 3.39 (1H, m, H-4''), 3.43 (1H, m, H-5''); 13C NMR (CD3OD-d4, 125 MHz) d 168.1 (C-7'), 159.2 (C-4), 153.1 (C-4'), 148.9 (C-3'), 131.8 (C-1), 130.9 (C-2 and C-6), 125.2 (C-6'), 122.7 (C-1'), 117.9 (C-3 and C-5), 116.1 (C-5'), 113.6 (C-2'), 102.3 (C-1''), 78.3 (C-5''), 78.1 (C-3''), 75.0 (C-2''), 71.5 (C-4''), 67.3 (C-7), 62.6 (C-6''), 56.5 (-OMe) (Table 1).8

 

 

In vitro bacterial assays

Bacterial model and culture conditions

Phenotypic assays were conducted with a bacterial strain that produces NDM-1 (Enterobacter cloacae CCBH10892), resistant to beta-lactam drugs, belonging to the culture collection of the Clinical Microbiology Research Laboratory (LPMC) of the Faculty of Pharmacy of UFBA.

Broth microdilution assays

The minimum inhibitory concentration (MIC) of amburoside B against the bacteria E. cloacae CBBH 10892 was determined by the broth microdilution method described in protocol M7-A6.13 Briefly, amburoside was diluted in sterile ultrapure water at a working concentration of 10 mM; serial dilutions of the substance were then carried out in a concentration range between 1000 and 7.8 µM in a 96-well microplate with a flat bottom. The density of the suspension was adjusted to the 0.5 McFarland scale using a densitometer (DEN-1, Biosan). The final bacterial concentration in each well was 1.5 × 108 cells mL-1. The microplates were incubated at 35 ± 2 ºC for 18-20 h. The wells containing only the broth and the broth + bacterial suspension were used as a negative (sterility) and positive (100% bacterial growth) controls, respectively. Meropenem (concentrations between 128 and 1 µg mL-1) was used as a control antibiotic.

After incubation, absorption values at 620 nm were collected for all wells on a plate spectrophotometer (RT-6000, Ayto). The adsorption values in the wells containing amburoside B (Absamb), in the positive control (AbsCP) and in the negative control (AbsCN) were used to calculate the percentage of growth inhibition according to Equation 1:

All assays were performed in triplicate and statistical analyses were performed using the GraphPad Prism software, v. 6.0 program for Windows.14

Determination of fractional inhibitory concentration (FIC)

The FIC is an adaptation of the MIC, as described in the M7-A6 protocol.13 In this assay, serial dilutions of amburoside, ranging from 1000 to 7.8 µM, were performed in the presence of 4 µg mL-1 of meropenem, as in the work of Moreira et al.15 The wells containing only the broth were used as a sterility control. Bacterial growth control was evaluated under the following conditions: wells containing bacterial suspension + meropenem (4 µg mL-1). The wells containing the bacterial suspension + EDTA (250 µM) + meropenem (4 µg mL-1) were used as a control for carbapenemase inhibition (NDM). All experiments were carried out in triplicate and analysis of results was carried out according to the MIC assay.

 

RESULTS AND DISCUSSION

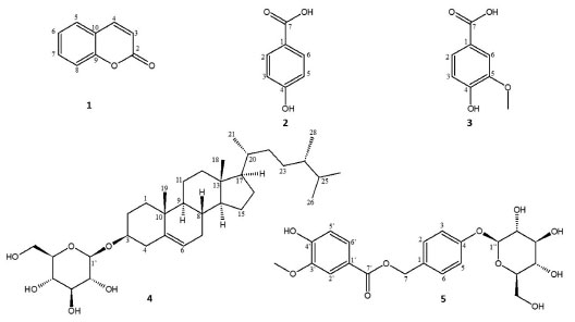
The hydroethanolic extract of A. acreana leaves led to the isolation of chemical compounds from the class of phenolic acids, glycosylated phenolic heterosides, coumarin and glycosylated steroids. The substances were identified based on the analysis of 1H, 13C and 13C-DEPT-135, HMQC, HMBC NMR spectroscopic data and comparison with data available in the literature. Spectral analysis allowed the characterization of the chemical constituents: coumarin (1), p-hydroxybenzoic acid (2), vanillic acid (3), campesterol 3-β-D-glucoside (4) and amburoside B (5) (Figure 2).

 


Figure 2. Structural representation of chemical compounds isolated from Amburana acreana leaves: (1) coumarin; (2) p-hydroxydobenzoic acid; (3) vanillic acid; (4) campesterol glucoside and (5) amburoside B

 

The 1H and 13C NMR (CDCl3) spectral data of coumarin (1) were compared with data described by Duddeck10 and are available in the Supplementary Material (Table 3S, Figures 2S and 3S). The 1H and 13C NMR spectral information (CD3OD) of p-hydroxybenzoic acid (2) and vanillic acid (3) were compared with the data described by Wang et al.11 and can be consulted in the Tables 4S-5S and Figures 4S-7S. Campesterol glucoside (4) was previously identified by Johnson et al.12 and its spectral information is available in the Supplementary Material (Table 6S and Figures 8S-9S).

The 1H NMR spectrum (CD3OD) of compound 5 showed signals at d 7.38 (H-2, 6) and 7.11 (H-3, 5) (2H, d, J 8.2 Hz), corresponding to a para-disubstituted aromatic ring, and the signals at d 7.55 (1H, m, H-6'), 7.53 (1H, m, H-2') and 6.83 (1H, d, J 8.5, H-5'), referring to a trisubstituted aromatic ring. The singlet at d 5.25 (2H, s), was attributed to hydrogens bonded to oxygenated carbon H-7. The set of signals in the range d 4.93-3.45 was assigned to osidic hydrogens, except for one singlet at d 3.87 (3H, s, 3'-OMe) which is compatible with methoxy hydrogens. Nineteen spectral lines were displayed in the 13C NMR spectrum (CD3OD) (Figure 11S). The signal at dC 168.1 (C-7') is characteristic of the ester carbonyl and d 159.2 (C-4), 153.0 (C-4') and 148.9 (C-3'), can be defined as oxygenated aromatic carbons.

The 13C-DEPT135 (CD3OD) NMR spectrum of 5 complemented the information obtained in the 13C NMR spectrum and helped in the structural exploration of the molecule. Ten monohydrogenated carbons (positive C signal) were identified, of which five were related to aromatic carbons: d 130.9 (C-2.6), 125.2 (C-6'), 117.9 (C-3.5), 116.1 (C-5'), and 113.6 (C-2'), and the others associated with osidic carbons, d 102.3 (C-1"), 78.3 (C-5"), 78.1 (C-3"), 75.0 (C-2") and 71.5 (C-4"). Two oxygenated methylene carbons were also found at d 67.3 (C-7) and 62.6 (C-6"). The signal at d 56.6 (3'-OMe) confirmed the existence of a methoxyl group and the signals at d 131.9 (C-1) and 122.7 (C-1'), absent in the DEPT135 spectrum, were recognized as belonging to non-hydrogenated aromatic carbons.

The HMQC spectrum showed the 1J couplings between the hydrogens and carbons of each benzene ring. The HMBC spectrum showed the 2J and 3J coupling correlations between the hydrogens and carbons of the chemical compound. The NMR spectral informations of 1H, 13C, 13C-DEPT, HMQC and HMBC are available in the Supplementary Material (Figures 10S-14S). The data allowed to identify substance 5 as amburoside B (4-O-β-D-glucopyranosyl-benzyl vanillate) (Table 1).8

Amburosides A-H are glycosidic phenolic compounds. It is suggested that their biogenesis begins with the reduction of p-hydroxybenzoic acid to p-hydroxybenzyl alcohol, which can be esterified by vanillic acid, through the alcoholic hydroxyl (nucleophile stronger than the phenolic hydroxyl), forming p-hydroxybenzyl protocatechuate. Glycosylation of the ester with UDPglucose leads to the synthesis of amburoside B. There is a diversity of amburosides, ranging from A-H and, until now, they had only been mentioned exclusively in A. cearensis species. This study is the first scientific record of amburoside B in A. acreana.7,16

Amburosides A and B, phenolic glycoside compounds, were isolated from Amburana cearensis and their antimalarial, antiprotozoal, antineuroinflammatory, antifungal and antibacterial activity were evaluated in vitro, demonstrating moderate antimalarial and antiprotozoal activity.7,8,17-21 In its review, Silveira et al.22 show a compilation of studies that analyzed the pharmacological potential of the species A. cearensis using extracts from the leaf, stem bark, seeds and isolated bioactive compounds. The results demonstrate that coumarin (chromen-2-one) has anti-inflammatory, anti-edematogenic, antinociceptive, myorelaxant and antileishmanial activity. The anti-inflammatory, neuroprotective, hepatoprotective and anti-edematogenic action was proven for amburoside A; vanillic acid was also analyzed and showed antinociceptive, anti-edematogenic and anti-inflammatory potential.

In vitro assays

First, a control assay was performed to determine the MIC of meropenem (Figure 3). In this test, it was found that meropenem has a MIC > 32 µg mL-1 (> 70% inhibition), confirming the meropenem-resistant condition, according to the M100 protocol.23

 


Figure 3. Minimum inhibitory concentration of meroprenem (> 32 µg mL-1) in terms of the percentage inhibition of bacterial growth (> 70%)

 

The MIC was conducted for amburoside B (Figure 4) and indicated that, at the highest concentration this substance (1000 µM) inhibited only 19.3 ± 0.5% of bacterial growth, suggesting that amburoside B did not have antibacterial action in the model used. In order to verify whether the natural product has an action on the metallo-beta-lactamase NDM-1, increasing concentrations of amburoside B were evaluated, in combination with the antibiotic meropenem (4 µg mL-1). In this test, called CIF, an increase in inhibition of Enterobactercloacae growth is observed with increasing concentrations of the natural product (Figure 4). However, at the highest concentration (1000 µM), inhibition was 45.2 ± 1.2%, suggesting that amburoside B has low activity on the resistance mechanism of the bacterial model. For comparison purposes, the experimental CIF control (EDTA at 250 µM) inhibited 99.1 ± 1.1% microbial growth.

 


Figure 4. Minimum inhibitory concentration (MIC) of amburoside B (1000 µM) in terms of percentage inhibition of bacterial growth (19.3 ± 0.5%) and the fractional inhibitory concentration (FIC) of amburoside B combined with meropenem (4 µg mL-1) in terms of the percentage inhibitory to bacterial growth

 

Although amburoside B is not active against NDM-1, the investigation is justified since the discovery of inhibitors of this enzyme is quite challenging and has been a cause for concern among public health bodies worldwide, mainly due to the structural characteristics of NDM-1. Furthermore, in this study a gram-negative bacterial model (E. cloacae) was used, therefore, it cannot be stated that amburoside B is ineffective against gram-positive strains.

 

CONCLUSIONS

The chromatographic fractionation of the hydroethanolic extract of A. acreana leaves allowed the isolation and chemical characterization of coumarin (1), p-hydroxybenzoic acid (2), vanillic acid (3), campesterol glucoside (4) and amburoside B (5), which is the majority compound of the hydroethanolic extract. The chemical class of amburosides has been isolated only in Amburana species so far, indicating that it is a possible chemotaxonomic marker of the genus. However, in vitro tests carried out with the gram-negative bacterial strain produced by NDM-1 indicated that amburoside B does not have the potential to inhibit the growth of this bacterial model neither the NDM-1 enzyme. The information provided by this research contributes to the collection of the genus and provides unprecedented data for the species Amburana acrena.

 

SUPPLEMENTARY MATERIAL

Supplementary information for compounds 1-5 (1H and 13C NMR spectra, Figures 1S-14S, and tables with spectral data, Tables 1S-6S) are available at http://quimicanova.sbq.org.br/, as a PDF file, with free access.

 

ACKNOWLEDGMENTS

CAPES for funding the research, CNPq/UEFS/LABQuim for financial support and infrastructure and to LABAREMN/UFBA for NMR spectroscopy analysis.

 

REFERENCES

1. Seleme, E. P.; Lewis, G. P.; Stirton, C. H.; Sartori, A. L. B.; Mansano, V. F.; Phytotaxa 2015, 212, 249. [Crossref]

2. Carvalho, P. E. R.; Espécies Florestais Brasileiras: Recomendações Silviculturais, Potencialidades e Uso da Madeira, 7a ed.; Embrapa CNPF/SPI: Colombo, 1994.

3. Carvalho, P. E. R.; Circula Técnica 134, 2007. [Link] accessed in April 2024

4. Flora e Funga do Brasil, https://floradobrasil.jbrj.gov.br/FB22780, accessed in April 2024.

5. Lorenzi, H.; Árvores Brasileiras: Manual de Identificação e Cultivo de Plantas Arbóreas Nativas do Brasil, vol. 1, 8ª ed.; Plantarium: Nova Odessa, 2020. [Link] accessed in April 2024

6. Santiago, W. D.; Cardoso, M. G.; Santiago, J. D. A.; Gomes, M. S.; Rodrigues, L. M. A.; Brandão, R. M.; Cardoso, R. R.; Avila, G. B.; Silva, B. L.; Caetano, A. R. S.; Am. J. Plant Sci. 2014, 5, 3140. [Crossref]

7. Canuto, K. M.: Aspectos Químicos do Estudo Interdisciplinar (Química-Agronomia-Farmacologia) de Amburana cearensis A. C. Smith; Tese de Doutorado, Universidade Federal do Ceará, Fortaleza, Brasil, 2007. [Link] accessed in April 2024

8. Bravo, B. J. A.; Sauvain, M.; Gimenez, T. A.; Muñoz, O. V.; Callapa, J.; Olivier, L. L. M.; Massiot, G.; Lavaud, C.; Phytochemistry 1999, 50, 71. [Crossref]

9. Matos, F. J. A.; Introdução à Fitoquímica Experimental, 2a ed.; EUFC: Fortaleza, 1997.

10. Duddeck, H.; Kaiser, M.; Org. Magn. Reson. 1982, 20, 55. [Crossref]

11. Wang, D.; Mu, Y.; Dong, H.; Yan, H.; Hao, C.; Wang, X.; Zhang, L.; Molecules 2018, 23, 72. [Crossref]

12. Johnson, O. O.; Bhat, S. G.; Ayoola, G. A.; Madayath, H.; Puthusseri, S. P.; Coker, H.; Trop. J. Nat. Prod. Res. 2020, 4, 1033. [Crossref]

13. Clinical and Laboratory Standards Institute (CLSI); M07: Methods for Dilution Antimicrobial Susceptibility Tests for Bacteria that Grow Aerobically, 11th ed.; Clinical and Laboratory Standards Institute: Wayne, 2018. [Link] accessed in April 2024

14. GraphPad Prism, version 6.0; GraphPad Software, Inc., California, USA, 2016.

15. Moreira, J. S.; Galvão, D. S.; Xavier, C. F. C.; Cunha, S.; Pita, S. S. R.; Reis, J. N.; de Freitas, H. F.; J. Biomol. Struct. Dyn. 2021, 40, 14223. [Crossref]

16. Dewick, P. M.; Medicinal Natural Products: A Biosynthetic Approach, 2nd ed.; John Wiley & Sons: London, 2002, p. 507.

17. de Araújo, A. B.; Azul, F. V. C. S.; Silva, F. R. M.; de Almeida, T. S.; Oliveira, J. V. N.; Pimenta, A. T. A.; Bezerra, A. M. E.; Machado, N. J.; Leal, L. K. A. M.; Oxid. Med. Cell. Longevity 2022, 2022, 1. [Crossref]

18. Amaral, H. H. S.: Extrato Seco Padronizado de Amburana cearensis Cultivada e Constituintes Químicos Modulam a Inflamação em um Novo Modelo de Asma Exacerbada em Camundongos balb/C e a Resposta Neutrofílica In Vitro; Dissertação de Mestrado, Universidade Federal do Ceará, Fortaleza, Brasil, 2017. [Link] accessed in April 2024

19. Leal, L. K. A. M.; Fonseca, F. N.; Pereira, F. A.; Canuto, K. M.; Felipe, C. F. B.; Fontenele, J. B.; Pitombeira, M. V.; Silveira, E. R.; Viana, G. S. B.; Planta Med. 2008, 74, 497. [Crossref]

20. Leal, L. K. A. M.; Canuto, K. M.; Costa, K. C. S.; Nobre-Júnior, H. V.; Vasconcelos, S. M.; Silveira, E. R.; Ferreira, M. V. P.; Fontenele, J. B.; Andrade, G. M.; Viana, G. S. B.; Basic Clin. Pharmacol. Toxicol. 2008, 104, 198. [Crossref]

21. Gouveia, B. B.; Barberino, R. S.; Menezes, V. G.; Monte, A. P. O.; Silva, R. L. S.; Palheta Jr., R. C.; Rolim, L. A.; Pereira, E. C. V.; Oliveira Jr., R. G.; Almeida, J. R. G. S.; Matos, M. H. T.; Iran. J. Basic Med. Sci. 2022, 25, 683. [Crossref]

22. Silveira, Z. S.; Macêdo, N. S.; Bezerra, S. R.; Siyadatpanah, A.; Coutinho, H. D. M.; Seifi, Z.; Kim, B.; da Cunha, F. A. B.; Balbino, V. Q.; Molecules 2022, 27, 505. [Crossref]

23. Clinical and Laboratory Standards Institute (CLSI); M100:Performance Standards for Antimicrobial Susceptibility Testing, 29th ed.; Clinical and Laboratory Standards Institute: Wayne, 2019. [Link] accessed in April 2024

On-line version ISSN 1678-7064 Printed version ISSN 0100-4042
Qu�mica Nova
Publica��es da Sociedade Brasileira de Qu�mica
Caixa Postal: 26037 05513-970 S�o Paulo - SP
Tel/Fax: +55.11.3032.2299/+55.11.3814.3602
Free access

GN1