JBCS



17:10, sáb out 25

Acesso Aberto/TP



Nota Técnica


Desenvolvimento e validação do software Adsorption Kinetics Calculation (AKC) para cálculos de parâmetros cinéticos de adsorção
Development and validation of the Adsorption Kinetics Calculation (AKC) software for adsorption kinetic parameters calculations

Karinna Gomes Oliveira RodriguesI; Patrícia X. BalizaII; Douglas A. CastroI; Paulo Vitor Brandão LealII; Douglas Henrique PereiraI,III,*

I. Departamento de Ciências Exatas e Biotecnológicas, Universidade Federal do Tocantins (UFT), 77402-970 Gurupi - TO, Brasil
II. Instituto de Engenharia, Ciência e Tecnologia, Universidade Federal dos Vales do Jequitinhonha e Mucuri, 39440-000 Janaúba - MG, Brasil
III. Departamento de Química, Instituto Tecnológico de Aeronáutica (ITA), 12228-900 São José dos Campos - SP, Brasil

Recebido: 14/03/2024
Aceito: 13/06/2024
Publicado online: 19/07/2024

Endereço para correspondência

*e-mail: douglasdhp@ita.br; doug@uft.edu.br

RESUMO

The study of adsorption kinetics has been gaining ground, due to the fact that adsorption is an operation used in several areas, which drives the development of software for calculating kinetic parameters. In this context, the work aims to develop and validate a free software, with an intuitive interface and easy operation, for processing adsorption kinetic analysis data. The Adsorption Kinetics Calculation (AKC) software was developed in Java language, using Apache Netbeans IDE (integrated development environment) and has three kinetic equations implemented in a non-linear way: pseudo-first order, pseudo-second order and intraparticle diffusion implemented and also generates the parameters statistical coefficient of determination (R2) and ARE (average relative error). The software was successful in programming the algorithms, because the parameter values (Qe and C) were similar to the experimental values and the error values (R2 and ARE) were within those predicted by the literature. The software has the ability to plot the results and all results showed reliability in the data generated, and it can be concluded that it is validated and ready to be made available for users to use in their research.

Palavras-chave: AKC software; adsorption; kinetic models; calculations; computational chemistry.

INTRODUÇÃO

Atualmente há uma grande preocupação com fontes poluidoras devido a grande quantidade de contaminates e seus impactos a saúde humana e animal. Para a remoção destes contaminates, destaca-se a adsorção, que é um processo físico-químico eficaz e econômico, para a remoção de poluentes de águas residuárias.1-3 A busca por economia de recursos e um menor tempo operacional é importante e para aplicar corretamente a técnica de adsorção como projeto e controle de processos, é necessário modelar a taxa adsortiva, avaliar os mecanismos isotérmicos e cinéticos e determinar o tempo de equilíbrio.2,3 Neste contexto, o uso de modelos cinéticos é importante, pois permite determinar a velocidade com que ocorre o processo e assim avaliar os fatores que afetam a taxa de adsorção.4,5

Dentre os modelos capazes de descrever a cinética de adsorção, pseudo primeira ordem e pseudo segunda ordem vêm sendo aplicados a uma variedade de processos adsortivos devido a seus bons resultados e facilidade de uso. Outro modelo e um dos mais utilizados para estudar o mecanismo de adsorção, é o da difusão intrapartícula, com vantagens como coeficientes de difusão que possuem significados evidentes e são importantes nos processos de adsorção.6,7

Para otimizar processos, o uso de tecnologias tornou-se um aliado das pesquisas e com isso, cresceu o número de softwares aplicados a área da química.2,8 O Kinetic Calculation,2 CHEMKIN,9 AKTS (Advanced Kinetic and Technology Solution),10 e o NETZSCH KineticsNeo11 são softwares presentes na literatura para cálculos de parâmetros cinéticos com foco nos parâmetros térmicos e/ou temperaturas, em que utilizam modelos para ajustar dados.2,8-11 Há também na literatura softwares para aplicações tecnológicas da adsorção, como o Xsorb12 que é utilizado para identificar a configuração de adsorção mais estável e a energia de moléculas em superfícies cristalinas e o Gurupi Isotherms Plot (GIP)3 um software de tratamento de dados de análises de isoterma de adsorção a partir de modelos isotérmicos.3,12-14

Outros softwares como Wolfram Mathematica15 e SigmaPlot16 podem ser usados para cálculos de processos cinéticos porém, apresentam algumas limitações no uso, já que, muitas vezes necessitam inserir ou programar manualmente as equações, demandando tempo dos pesquisadores. Em alguns casos a modelagem da equação não é uma etapa intuitiva, fato que pode ocasionar erros de análise. Outro ponto importante é que a maioria dos softwares em questão, para análise de parâmetros cinéticos, são pagos. Cabe destacar que entre os softwares supracitados, a licença anual mais barata é de US$ 100,00 (cem dólares). Porém, esse valor pode variar por diferentes fatores, como cotação da moeda e tipo de licença, por exemplo. Nesse contexto, o presente trabalho tem como objetivo o desenvolvimento de um software gratuito para calcular dados de análises de cinética, o Adsorption Kinetics Calculation (AKC). O AKC foi desenvolvido em sua versão inicial para calcular os parâmetros cinéticos das equações de pseudo primeira ordem, pseudo segunda ordem e difusão intrapartícula de forma não linear, rápida, simples e eficiente.

 

METODOLOGIA

Desenvolvimento do software

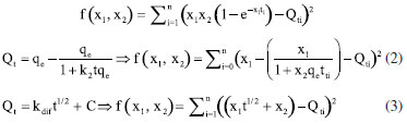
Inicialmente, foram aplicados os métodos de ajustes de curvas dos quadrados mínimos, com o intuito de ajustar os dados experimentais às equações cinéticas representativas dos modelos cinéticos de adsorção de pseudo primeira ordem não linear, pseudo segunda ordem não linear e difusão intrapartícula,17 respectivamente, conforme as Equações 1-3. Em outras palavras, a partir de cada modelo cinético foi criada uma função f(x1,x2) a ser minimizada, ou seja,

ou

 

em que qe é a capacidade de adsorção no equilíbrio, k1 é a constante de adsorção de pseudo primeira ordem, t é o tempo de reação (min), Qt é a capacidade de adsorção em um tempo t, k2 é a constante de adsorção de pseudo segunda ordem, kdif é a constante de difusão intrapartícula, C é a constante relacionada à resistência à difusão. Já nas funções f(x1,x2) descritas nas Equações 1 e 2, x1 representa qe e x2 representa k1 e k2, respectivamente. Na Equação 3, x1 representa kdif e x2 representa C.

Posteriormente, procurou-se os pontos de mínimo das funções, que são aqueles que as suas derivadas parciais de f em relação a cada um são nulas, assim sendo, buscam-se valores de x1 e x2 que satisfazem o seguinte sistema não linear:

A implementação numérica do algoritmo, necessária para resolver numericamente os sistemas não lineares, foi desenvolvida em linguagem Java, por meio do Apache Netbeans IDE (integrated development environment, ambiente de desenvolvimento integrado).18 Sistemas não lineares (Equações 4 e 5) são formados para cada uma das funções obtidas dos modelos cinéticos das Equações 1-3. O método de Newton foi utilizado para a resolução desses sistemas não lineares.

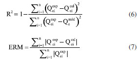
Para os testes estatísticos, foram considerados o coeficiente de determinação (R2) na Equação 6 e o ERM (erro relativo médio) na Equação 7:

em que é a quantidade de adsorbato adsorvido experimentalmente em equilíbrio, é a quantidade de adsorbato adsorvido no equilíbrio e gerado por meio do cálculo das equações cinéticas de adsorção, é a quantidade média de adsorbato adsorvido em equilíbrio, obtido experimentalmente. Neste trabalho, a fórmula do ERM é um múltiplo do ARE (average relative error),19 isto é, ERM = N × ARE, em que N é o número de amostras.

Processo de validação do AKC

No processo de validação do AKC, foram utilizadas matrizes de dados experimentais de adsorção tendo a caulinita tratada em diferentes concentrações de ácido, dimetilsulfóxido e peróxido de hidrogênio, como adsorvente. Estes dados foram cedidos pelo Laboratório de Gestão de Resíduos Químicos (LGRQ), da Universidade Federal de Lavras. As matrizes de dados cedidas foram:

Caulinita tratada com ácido 2 mol L-1 (CTA-02)
qt (mg g-1) = 30,07; 30,91; 33,65; 32,24; 32,7; 32,04; 32,67; 32,5; 32,09; 32,06; 32,17; 32,06.
t (min) = 1,98; 4,98; 10,2; 15; 30; 45; 60; 90; 120; 300; 720; 1440.

Caulinita tratada com ácido 3 mol L-1 (CTA-03)
qt (mg g-1) = 30,73; 30,4; 33,13; 33,5; 32,62; 33,17; 33,45; 33,42; 33,13; 33,37; 33,91; 33,48.
t (min) = 1,98; 4,98; 10,2; 15; 30; 45; 60; 90; 120; 300; 720; 1440.

Caulinita tratada com dimetilsulfóxido (CDMSO)
qt (mg g-1) = 36,52; 36,52; 37; 37,79; 37,86; 37,83; 38,86; 38,84; 38,79; 38,79; 38,84.
t (min) = 1,98; 4,98; 10,2; 15; 30; 45; 60; 90; 120; 300; 720; 1440.

Caulinita tratada com peróxido de hidrogênio (CTP)
qt (mg g-1) = 28,86; 29,37; 31,44; 32,5; 32,09; 32,34; 31,92; 31,79; 31,96; 31,91; 31,96.
t (min) = 1,98; 10,2; 15; 30; 45; 60; 90; 120; 300; 720; 1440.

Para a escolha desse conjunto de dados experimentais, levou-se em consideração que os mesmos são relativos à processos de cinética de adsorção e que já estão publicados em artigos do grupo de pesquisa.20-22

As matrizes de dados experimentais foram inseridas no AKC, para testar a funcionalidade e precisão do software. Com o intuito de validar o AKC, estes mesmos dados foram utilizados em outros dois softwares: Wolfram Mathematica (Math.) e SigmaPlot (∑Plot) para uma análise comparativa dos resultados.

Em todos os softwares, utilizou-se os modelos cinéticos de adsorção pseudo primeira ordem não linear, pseudo segunda ordem não linear e difusão intrapartícula, para obtenção dos parâmetros cinéticos. A diferença é que no AKC não houve a necessidade de inserir ou ajustar manualmente as equações, como nos demais, pois as equações estão implementadas dentro da programação do AKC.

 

RESULTADOS E DISCUSSÃO

O software AKC e sua interface

A Figura 1 apresenta a interface gráfica do software Adsorption Kinetics Calculations (AKC) destacando cada funcionalidade.

 


Figura 1. Interface gráfica do Adsorption Kinetics Calculations (AKC)

 

1. Escolha do modelo cinético (pseudo primeira ordem não linear | pseudo segunda ordem não linear | difusão intrapartícula);

2. Escolha de idiomas (Inglês | Português | Espanhol);

3. Tabela de dados experimentais (N (amostras) | Qt (mg g-1) | t (min));

4. Opção "Importar";

5. Opção "Inserir";

6. Opção "Deletar";

7. Valores dos testes estatísticos;

8. Valores dos resultados;

9. Opção "Plotar";

10. Opção "Calcular";

11. Gráfico final.

Os modelos cinéticos pseudo primeira ordem, pseudo segunda ordem e difusão intrapartícula são os modelos implementados na versão atual do software AKC. A obtenção dos cálculos ocorre por meio de 4 etapas: escolha do idioma, inserção de dados, escolha do método de cálculo e exportação de resultados.

A inserção dos dados experimentais pode ser realizada de duas formas: pelo botão "Inserir", que ao ser pressionado, adiciona linhas dentro da tabela do software designadas para o número de amostras, Qt (capacidade de adsorção em um tempo) e tempo (minutos), onde seus respectivos dados podem ser inseridos manualmente (Figura 2).

 


Figura 2. Inserção manual de dados no software AKC

 

A outra forma de inserção de dados, é por meio da opção "Importar" do Microsoft Excel. Porém, para sua efetivação é necessária que a tabela esteja no modelo: colunas sem identificação, apenas os dados, pois o software faz a leitura de dados com o Qt do lado esquerdo e t (min) do lado direito. Além disso, o arquivo precisa estar nos formatos .xls, .xlsx ou .xlsm. Para a confirmação de inserção correta, aparecerá uma janela de mensagem: "Importado com sucesso!", como observado na Figura 3.

 


Figura 3. Inserção de dados automática por meio de uma tabela do Excel no software AKC

 

Outro detalhe importante em relação as equações, é que para todos os modelos, o usuário deverá fornecer os dados Qt (capacidade de adsorção em um tempo) e t (min).

Ao escolher o método de cálculo, o usuário só precisa clicar no botão "Calcular", para o software realizar os cálculos e gerar os resultados: Qe (capacidade de adsorção no equilíbrio), para o pseudo primeira ordem e pseudo segunda ordem, C (constante relacionada à resistência à difusão) para difusão intrapartícula e K (constante de velocidade de adsorção) para todos os modelos. E também, os dados estatísticos R2 e ERM. Outro botão do software AKC é o "Plot", onde os dados experimentais fornecidos pelos usuários são plotados. As funcionalidades descritas são apresentadas na Figura 4.

 


Figura 4. Início do cálculo e resultados gerados pelo o AKC

 

Os cálculos realizados e o gráfico finalizado podem ser copiados pelo usuário, clicando com o botão direito do mouse em cima do gráfico e escolhendo a opção "Copiar". Ao escolher a opção "Propriedades", o usuário consegue alterar o layout do gráfico, a cor e escala dos eixos x e y, e cor do plano de fundo.

Diferente do software Mathematica, onde é preciso inserir/programar os modelos cinéticos e análises de erro, de forma manual, e do SigmaPlot, onde as equações são pré-estabelecidas no software em que o usuário precisa procurar qual se adequa melhor, identificar os parâmetros e fazer suas modificações, quando necessárias, o programa AKC possui as equações dos modelos cinéticos implementadas, fato que facilita a utilização. Cabe destacar que, como demonstrado nas Figuras 1-4 o software é de fácil utilização, rápido e apresenta ao usuário uma interface gráfica intuitiva. Outro ponto é o manual, em português, com um passo a passo de todas as ferramentas disponíveis no software.

Validação do programa Adsorption Kinetics Calculations (AKC)

Para validar o software desenvolvido, foi verificado se a programação estava em perfeita funcionalidade e precisão. Os dados de cinética de adsorção foram importados para o AKC e também para os softwares Wolfram Mathematica (Math) e SigmaPlot (∑Plot).

Os dados cinéticos foram ajustados/programados em cada um dos softwares, sendo os modelos utilizados e os parâmetros cinéticos obtidos apresentados na Tabela 1.

Em todos os softwares foram utilizados os mesmos erros estatísticos; R2, Equação 6 e ERM da Equação 7. Foi possível observar que nos modelos pseudo primeira e pseudo segunda ordem os resultados dos parâmetros, Qe e K, apresentaram valores similares nos três softwares (AKC, Math e ∑Plot). No modelo cinético de difusão intrapartícula, os parâmetros presentes são o C e o kdif, que também obtiveram ajustes dos dados semelhantes nos três softwares. As diferenças entre os valores gerados pelo AKC em comparação com os demais softwares foram próximos de zero mostrando que a programação e implementação do software AKC é compatível com os métodos utilizados pelas outras ferramentas computacionais.

Para determinar qual modelo se ajusta melhor aos experimentos é levado em consideração os valores dos erros escolhidos em cada trabalho. No software AKC, foi implementado as funções de erro ERM e R2, em que maiores valores de R2 e que mais se aproximam da faixa ideal desse erro (mais próxima de 1) e um menor ERM, indicam os melhores resultados.

Valores muito baixos de R2 (0,0102) como, no CTA-02 nos três softwares, mostram que não é apropriado usar o modelo de difusão intrapartícula para ajustar dados de cinética de adsorção nessas matrizes.

Em relação ao desempenho do software AKC, a velocidade do cálculo no modelo cinético pseudo primeira ordem tem um menor desempenho em relação aos demais modelos dentro do AKC, pois ao clicar em calcular, há um tempo de espera, de aproximadamente, nove segundos para geração dos valores, mas isso pode estar relacionado ao maior número de interações específicas deste modelo. Já nos outros modelos, os valores são gerados imediatamente.

 

CONCLUSÕES

A interface do software AKC evidencia que o programa possui uma interface intuitiva, de fácil operação, e que por possuir as equações implementadas em sua programação, não exige conhecimento prévio e elevado tempo pelo usuário, para obter o tratamento de dados.

Os valores dos parâmetros (Qe e C) tiveram concordância com os valores experimentais e os valores de erro (R2 e ERM) estão dentro do previsto pela literatura, indicando que a programação foi bem sucedida e o software tem capacidade de promover cálculos de testes estatísticos precisos. Em relação ao desempenho do software, de forma geral, é rápido, realizando os cálculos em segundos. A plotagem dos resultados proporcionada pelo AKC é uma das vantagens, pois os gráficos são gerados juntamente com os valores dos parâmetros cinéticos e erros, fato que contribui para a otimização do tempo de preparo para exposição dos resultados.

Diante disso e de todas as etapas que o software AKC foi submetido, para comprovar sua funcionalidade, pode-se concluir que o mesmo está validado e pronto para ser disponibilizado para os usuários utilizarem em suas pesquisas, garantindo análise de dados de cinética de adsorção precisas e com um menor tempo de operação.

 

AGRADECIMENTOS

Os autores agradecem a CAPES (Coordenação de Aperfeiçoamento de Pessoal de Nível Superior, Brasil, Código de Financiamento 001). Douglas H. Pereira e Douglas A. Castro agradecem a FAPT (Fundação de Amparo à Pesquisa - Governo do Tocantins) pela bolsa de produtividade. Paulo V. B. Leal e Patrícia X. Baliza agradecem a PROEXC (Pró-Reitoria de Extensão e Cultura-UFVJM) pela bolsa de extensão. Os autores também agradecem as Universidades UFLA, UNICAMP, UFVJM e o ITA pelos recursos computacionais e matrizes de dados.

 

REFERÊNCIAS

1. Li, X.; Yang, H.; Pan, J.; Liu, T.; Cao, X.; Ma, H.; Wang, X.; Wang, Y.; Lu, S.; Tian, J.; Gao, L.; Zheng, X.; Sci. Total Environ. 2023, 858, 159856. [Crossref]

2. Drozin, D.; Sozykin, S.; Ivanova, N.; Olenchikova, T.; Krupnova, T.; Krupina, N.; Avdin, V.; SoftwareX 2020, 11, 100359. [Crossref]

3. Castro, D. A.; Milhomem, M. P. S.; Pereira, D. H.; Leal, P. V. B.; Quim. Nova 2021, 44, 1028. [Crossref]

4. González-Fernández, L. A.; Medellín-Castillo, N. A.; Ocampo-Pérez, R.; Mendoza, H. H.; Mendoza, M. S. B.; Aguilera, C. A.; J. Environ. Chem. Eng. 2021, 9, 106382. [Crossref]

5. Nipa, S. T.; Shefa, N. R.; Parvin, S.; Khatun, M. A.; Alam, M. J.; Chowdhury, S.; Khan, M. A. R.; Shawon, S. M. A.; Biwas, B. K.; Rahman, M. W.; Results Eng. 2023, 17, 100857. [Crossref]

6. Srinivasan, P.; Bosco, A. J.; Kalaivizhi, R.; Selvi, J. A.; Sivakumar, P.; Mater. Today: Proc. 2021, 34, 389. [Crossref]

7. Yao, C.; Zhu, C.; Surf. Interface Sci. 2021, 26, 101442. [Crossref]

8. Silva, M. C.; Castro, A. A.; Lopes, K. L.; Ferreira, I. F. L.; Bretz, R. R.; Ramalho, T. C.; Chemosphere 2023, 344, 140302. [Crossref]

9. Daly, D.; Nag, P.; SAE [Tech. Pap.] 2001, 01, 1239. [Crossref]

10. Advanced Kinetics and Technology Solutions, AKTS S.A, Sierre, Switzerland, https://www.akts.com, acessado em Julho 2024.

11. NETZSCH Kinetics Neo, versão 2.7.3; NETZSCH, Germany, 2024.

12. Pedretti, E.; Restuccia, P.; Righi, M. C.; Comput. Phys. Commun. 2023, 291, 108827. [Crossref]

13. Ezzati, R.; Ezzati, S.; Azizi, M.; Vacuum 2024, 220, 112790. [Crossref]

14. Brosh, E.; Calphad: Comput. Coupling Phase Diagrams Thermochem. 2021, 75, 102323. [Crossref]

15. Wolfram Mathematica, versão 12; Wolfram Research, Inc., Champaign, IL, USA, 2019.

16. SigmaPlot, versão 14; Systat Software: San Jose, CA, 2015.

17. Ruggiero, M. G.; Lopes, V. L. R.; Cálculo Numérico: Aspectos Teóricos e Computacionais, 2ª ed.; Makron Books: São Paulo, 1997.

18. Apache Netbeans IDE (Integrated Development Environment), versão 13; The Apache Softaware Foundation, Wilmington, DE, USA, 2022.

19. Boulinguiez, B.; Le Cloirec, P.; Wolbert, D.; Langmuir 2008, 24, 6420. [Crossref]

20. Leal, P. V. B.; Magriotis, Z. M.; Sales, P. F.; Papini, R. M.; Viana, P. R. M.; J. Environ. Manage. 2017, 197, 393. [Crossref]

21. Leal, P. V. B.; Magriotis, Z. M.; Sales, P. F.; Papini, R. M.; Viana, P. R. M.; Rev. Mater. 2019, 24, 1. [Crossref]

22. Leal, P. V. B.; Pereira, D. H.; Papini, R. M.; Magriotis, Z. M.; J. Environ. Chem. Eng. 2021, 9, 105503. [Crossref]

 

Editor Associado responsável pelo artigo: Nyuara A. S. Mesquita

On-line version ISSN 1678-7064 Printed version ISSN 0100-4042
Qu�mica Nova
Publica��es da Sociedade Brasileira de Qu�mica
Caixa Postal: 26037 05513-970 S�o Paulo - SP
Tel/Fax: +55.11.3032.2299/+55.11.3814.3602
Free access

GN1