JBCS



17:12, sáb out 25

Acesso Aberto/TP



Artigo

Major inorganic ions in bulk precipitation from coastal urban and montane atlantic forest sites in southeastern Brazil

Patricia A. de SouzaI,*; William Z. de MelloII

I. Programa de Pós-Graduação em Geociências, Instituto de Química, Universidade Federal Fluminense, 24020-141 Niterói - RJ, Brasil
II. Departamento de Geoquímica, Instituto de Química, Universidade Federal Fluminense, 24020-141 Niterói - RJ, Brasil

Received: 02/15/2024
Accepted: 06/19/2024
Published online: 07/30/2024

Endereço para correspondência

*e-mail: pasouza.geoq@gmail.com

RESUMO

Bulk precipitation (BP) samples were collected at two coastal urban sites and two montane Atlantic Forest (400 and 1000 m altitude) areas in southeastern Brazil from August 2008 to August 2009. These samples were analyzed for the major inorganic ions (H+, Na+, K+, Ca2+, Mg2+, Cl- and SO42-) found in rainwater. The concentrations of inorganic nitrogen species (NH4+, NO3- and NO2-) were compiled from a previous study. The volume-weighted mean (VWM) concentrations of inorganic ions differed spatially, with higher values at the coastal urban and coastal periurban sites. On a molar basis, Cl- and Na+ together comprised 60% of the total inorganic constituents at the coastal urban site and 34-42% at the other three sites, as it is the closest to the ocean. Magnesium was also primarily associated with sea-salt aerosol. Non-sea-salt (nss) fractions of K+, Ca2+ and SO42- comprised 68-93% of their VWM concentrations, indicating the contribution of natural (mostly biogenic) and anthropogenic (SO2 oxidation for the latter) sources. Finally, we found that the acidity of BP at the four sampling sites is primarily controlled by the NH4+, nss-Ca2+, nss-SO42-, and NO3- ions, resulting in VWM pH values ranging from 5.60 (lower montane forest) to 5.98 (coastal periurban site).

Palavras-chave: precipitation chemistry; atmospheric deposition; air pollution.

INTRODUCTION

In the last decades, atmospheric deposition of pollutants in developing countries has increased substantially as a result of increasing urbanization and industrialization.1,2 Some of the major metropolitan regions in South America, such as Santiago (Chile), Buenos Aires (Argentina), Rio de Janeiro and São Paulo (Brazil), have experienced deterioration of air quality and changes in precipitation chemistry and atmospheric deposition loads in urban areas adjacent to montane forests due to anthropogenic sources such as fossil fuel combustion, biomass burning, petrochemical industries and waste disposal.1,3-9

It is known that elevated emissions of air pollutants can lead to an increase in atmospheric deposition loads on natural ecosystems, which result in acidification of soils and streams, eutrophication of water bodies, loss of nutrients from soils and increase in toxic chemical species in the soil and water (e.g., Al3+ and transition metal ions).10,11 Furthermore, it may lead to changes in the forest ecosystem's condition, structure, and productivity.12-14 High depositions of nitrogen and sulfur oxyacids can cause deterioration of historical monuments and diverse materials.15,16 Atmospheric input of base cations, on the other hand, displays a significant role in the counterbalance of soil acidification nutrient imbalance by reloading the base cationic pool in forest ecosystems.17

Atmospheric deposition is the major pathway of scavenging and transferring nutrients and pollutants from the atmosphere to surfaces of terrestrial and aquatic ecosystems and occurs through wet deposition (rainwater) and dry deposition (direct deposition of particles by sedimentation, preferably with diameters greater than 5.0 μm, and gas-surface interactions in the absence of rain).18 Bulk precipitation is defined as the joint collection of wet and dry deposition (predominantly particles) through a continuously open collector (bulk deposition collector).18,19 Their quantitative and qualitative knowledge is relevant for understanding the natural biogeochemical cycles of elements and the influence of anthropogenic activities on these natural processes.

In Brazil, studies on the concentrations of major inorganic ions (H+, Na+, K+, NH4+, Ca2+, Mg2+, SO42-, NO2-, NO3- and Cl-) and their deposition fluxes have been carried out using rainwater and bulk precipitation samples from urban,20-28 industrial,21,25,29-31 rural,30,32-34 coastal35,36 sites and areas covered by natural forests.4,37-40 In the Metropolitan Region of Rio de Janeiro (MRRJ), the second largest urban and industrial center of Brazil, some investigations on atmospheric deposition fluxes have been conducted in coastal urban sites20,27 and in nearby montane forest areas.41-44 However, only de Souza et al.45 have examined the spatial variation of bulk precipitation between the coast and the Atlantic slopes of Serra do Mar (locally known as Serra dos Órgãos), whose focus was on dissolved nitrogen species. This study is a complement to the aforementioned work,45 providing an investigation on the spatial variation of major inorganic ion concentrations and deposition fluxes via bulk precipitation between the coastal urban and inland sites. We believe that this work will fill some gaps in our knowledge regarding the chemical composition, transport and deposition of atmospheric pollutants emitted from the MRRJ and the anthropogenic influences on the natural cycling of nutrients in tropical forests on the outskirts of megacities.

 

EXPERIMENTAL

Study area

To carry out this study, four sampling sites were selected, almost longitudinally aligned between the Atlantic coast and sections of the Serra dos Órgãos slope covered by Atlantic Forest facing the MRRJ. Two of them are located within the MRRJ, one in the urban coastal stretch west of Niterói City and the other in a periurban coastal stretch within the headquarters of Guapimirim Environmental Protection Area (APA Guapimirim). The other two are situated at lower montane (400 m altitude) forest and montane (1000 m altitude) forest areas both within a federal conservation unit, the Serra dos Órgãos National Park (PARNASO), nearby the northeastern border of the MRRJ. A map of the study area showing the locations of the four sampling sites and a very detailed description of each of them and their surroundings can be found in de Souza et al.45 They are all influenced by southeasterly winds during the day and early night (sea breeze) and northeasterly winds at dawn and in the morning (mountain breeze). During the passage of cold fronts, the winds are from the south and southwest. The dominant surface wind patterns for the study area are shown in Figure 1S (Supplementary Material) in de Souza et al.45

These areas are naturally influenced by marine aerosols and air pollution from several human activities such as fossil fuel combustion, cattle raising in the northeastern lowlands of the MRRJ, landfills, discharge of undertreated and untreated sewage into Guanabara Bay, and local and long-range transport of aerosol particles from biomass burning during the dry season. In the early 21st century, annual SO2 and NOx emissions from the MRRJ were ca. 32 Gg S and 28 Gg N, of which mobile and stationary (mainly power plants and petrochemical industries) sources represented, respectively, 12 and 88% of SO2 emissions and 66 and 34% of NOx emissions.46 The international airport and port zone of the city of Rio de Janeiro contribute with less than 1% of the total SO2 and NOx emissions.47,48 Hydrogen sulfide (H2S) emissions from polluted mangrove sediments in Guanabara Bay represent a potential local source of SO2, however, to the best of our knowledge, no H2S emission estimates from these sources have been made. Ammonia (NH3) emissions from the eutrophic surface waters of Guanabara Bay to the atmosphere were estimated to be about 1.3 Gg N yr-1.5,49 De Souza et al.45 estimated for 2008-2009 an emission of 0.31 Gg N yr-1 from livestock activities in the northeast of MRRJ.

Sample collection

Bulk precipitation (BP) samples were collected weekly, always on Tuesdays, from August 2008 to August 2009, as described by de Souza et al.45 These samples were collected through one bulk collector installed at all four sampling sites. The bulk collector consists of a 100 cm2 plastic high-density polyethylene funnel attached directly to a 500 mL or 1 L polyethylene bottle and fitted within PVC pipes screwed on wooden poles. A nylon net was placed inside the funnel to avoid sample contamination with branches, leaves, and insects. Before field installation, the funnels and bottles were properly washed with neutral detergent and rinsed with deionized water (< 1 µS cm-1). Then, they were dried and stored in plastic sealed bags. After sample collections, the funnels were washed with plenty of deionized water to remove plant materials and insect fragments deposited out their inner walls, and the bottles were replaced by clean ones.

The field blanks (blanks samples collected in the field) were obtained from aliquots of recovered deionized water after the rinsing of all funnels in the field. A total of six field blanks were obtained during the sampling period and analyzed to check for the presence of inorganic ions.

On the same day after each collection, the BP samples were transported to the laboratory and their volumes were recorded for the calculation of rainfall. All BP samples were filtered through 0.22 µm cellulose acetate membranes and immediately stored in a freezer (T = -22 °C). In unfiltered aliquots of BP samples, electrical conductivity and pH were measured with a conductivity meter (WTW model 3110 SET1) calibrated with 0.01 and 0.05 µmol L-1 KCl solutions, and a pH meter (WTW model 3210 SET2) calibrated with pH 6.86 and 4.01 standard buffer solutions.50

Chemical analysis

The concentrations of cations (Na+, K+, Ca2+ and Mg2+) and anions (Cl- and SO42-) in BP samples were determined simultaneously in an ion chromatography (IC) Dionex. This equipment contains two conductivity detectors (ICS2100 for cations and ICS1100 for anions) coupled with chemical suppression systems. For determination of cations were used an IonPac GC12A guard column (4 mm × 50 mm), an IonPac CS12A analytical column (4 mm × 250 mm), a 20 mmol L-1 methanesulfonic acid eluent at a flow rate of 1.0 mL min-1 and a 50 µL injection loop. For the determination of anions were used an IonPac GC20 guard column (4 mm × 50 mm), an IonPac AS20 analytical column (4 mm × 250 mm), an eluent solution of potassium hydroxide produced by a Dionex Eluent Generator Cartridges (Dionex EGC) at a flow rate of 0.25 mL min-1 and a 50 µL injection loop.

All standard solutions were prepared by the dilution of 0.01 mol L-1 stock solutions of cations and anions, from reagents of analytical grade, in deionized water (< 1 µS cm-1). The calibration curves were achieved from a set of seven standard solutions with concentrations ranging from 1.0 to 100 µmol L-1 for cations and a set of six standard solutions with concentrations ranging from 3.0 to 100 µmol L-1 for anions. All standard solutions, field blanks and BP samples were analyzed in triplicate.

The limit of detection (LOD) and the limit of quantification (LOQ) were determined applying a method based on calibration curve parameters according to Miller and Miller.51 The LOD was calculated as three times the ratio between standard deviation and slope of the calibration curve, and the LOQ, as ten times the same ratio. The LOD and LOQ values for the major inorganic ions, in µmol L-1, were respectively: 1.64 and 5.46 for Na+, 0.42 and 1.38 for K+, 0.84 and 2.81 for Ca2+, 0.18 and 0.61 for Mg2+, 0.86 and 2.86 for Cl- and 0.83 and 2.76 for SO42-. The coefficients of variation for ten replicates of a 10 μmol L-1 standard solution for the aforementioned ions were respectively ± 8%, ± 5%, ± 5%, ± 2%, ± 3% and ± 5%.

Applied calculations

The VWM concentrations of inorganic ions (H+, Na+, K+, Ca2+, Mg2+, Cl- and SO42-) in the BP were calculated based on the sum of the products of concentrations [Cx] (µeq L-1), of each ion x in n samples, and their respective volumes V (mL), divided by the sum of volumes of all samples (Equation 1):

Non-sea-salt fractions (nss-) of K+, Mg2+, Ca2+, Cl- and SO42- were calculated using the VWM concentration (μeq L-1) of the ion of interest (Cx; x = K+, Mg2+, Ca2+, Cl- and SO42-) and that of sodium ion (CNa+) in the BP and the X/Na+ equivalent ratio in seawater ([X/Na+]SW), considering that Na+ is a sea-salt tracer52,53 (Equation 2):

The annual bulk deposition fluxes (Fx; in kg ha-1 yr-1) of the inorganic ions were calculated using the ion VWM concentrations (Cx; in μeq L-1), the accumulated precipitation (h; in mm), the ion charges (z) and the molar masses (M) of the elements excepted oxygen when applicable (Equation 3):

Statistics

The Kolmogorov-Smirnov test was used to examine the normality of the precipitation data in this study.54 Non-parametric analysis was adopted because of the non-normal distributions of most variables. The Kruskal-Wallis test was applied to detect whether groups of samples came from the same distribution, whereas the Wilcoxon paired signed-rank test was used to compare two paired groups. Spearman rank test was used to identify similarities between variables. The statistical tests were performed with a significance of 0.01 or less, using Statistica software, version 8.0.55

Data quality

The reproducibility of the results, regarding the BP sampling, was tested only at the coastal urban site, located within one of the UFF (Universidade Federal Fluminense) campuses in Niterói, approximately 1 km from the Chemistry Institute. For this purpose, two BP collectors were installed 1 m apart from each other. From December 2008 to August 2009, eleven samples were collected simultaneously from both BP collectors (Collector 1 and Collector 2), following the same sampling procedure adopted at all sites. In this case, the choices of sampling weeks were random. The VWM concentrations of inorganic constituents in the BP samples revealed no statistically significant differences (Wilcoxon paired signed-rank test; p < 0.01) between Collector 1 and Collector 2 (Table 1).

 

 

The accuracy of chemical measurements was determined by analysis of ten replicates of standard seawater sample (IAPSO standard seawater, salinity = 34.996; Scientific International Ltd., UK) diluted (1:2000) in deionized water (< 1 µS cm-1). The mean error values were ± 8% for Na+, ± 5% for K+, ± 5% for Ca2+, ± 4% for Mg2+, ± 5% for Cl- and ± 5% for SO42-.

The mean concentrations of the investigated ions (μmol L-1) in field blanks (n = 6) were 0.04 for Na+, 0.40 for K+, 0.10 for Ca2+, 0.10 for Mg2+, 0.66 for Cl- and 0.53 for SO42-.

 

RESULTS AND DISCUSSION

Rainfall

The total precipitation accumulated during the study period at the coastal urban, coastal periurban, lower montane forest and montane forest was, respectively, 1220, 1292, 2649 and 2549 mm, of which 62-65% occurred during the rainy season (October-March). In the study areas annual precipitation is at least twice as high in montane forests compared to the coastal zone due to orographic effect.45

Electrical conductivity

In BP samples, the VWM measured electrical conductivity (EC) was 24.1 µS cm-1 (8.5-121.4 µS cm-1; n = 36) at the coastal urban, 18.4 µS cm-1 (9.3-67.6 µS cm-1; n = 29) at the coastal periurban, 8.8 µS cm-1 (4.8-28.2 µS cm-1; n = 35) at the lower montane forest and 7.3 µS cm-1 (3.1-21.4 µS cm-1; n = 37) at the montane forest sites. The highest values found at the coastal urban sites are caused by the stronger influence of sea-salt aerosols due to their shorter distances from the ocean and lower dilution as a result of lower rainfall. Figure 1 shows the correlation between measured EC and calculated EC combining all BP samples from the four sampling sites. The closeness of these values to the 1:1 line indicates good agreement between them.

 


Figure 1. Correlation between measured and calculated electrical conductivities (EC) in BP from the four sampling sites: () coastal urban, (+) coastal periurban, (○) lower montane forest and (Δ) montane forest

 

pH

The VWM pH in BP, calculated from VWM concentrations of H+, was 5.92 (5.19-7.88; n = 36) at the coastal urban, 5.98 (5.34-6.86; n = 29) at the coastal periurban, 5.60 (4.28-7.47; n = 35) at the lower montane forest and 5.75 (4.20-7.60; n = 37) at the montane forest sites. We observed that 9-26% of the pH values were below 5.60, a reference value that results exclusively from dissolved atmospheric CO2 (pCO2 = 3.85 × 10-2 atm at 298 K) and partial ionization of H2CO3 in pure water.56 Values of pH below 5.00 were only found at both montane forest sites (5-11% of pH). Galloway et al.,57 based on precipitation chemistry data from five remote locations around the world, established a pH of 5.00 as the lower mean limit for uncontaminated rainwater. Furthermore, pH values were equal to or above 6.00 in 30-59% of the cases. This suggests that the BP samples were slightly acidic at all sampling sites. Nevertheless, the VWM pH values were higher than those reported in previous studies20,27,42,43 conducted in the urban and montane forest areas of the state of Rio de Janeiro.

Ionic balance

The difference between the sum of cations (H+, NH4+, Na+, K+, Ca2+ and Mg2+) and the sum of anions (NO2-, NO3-, Cl- and SO42-) in BP, including the concentrations of inorganic nitrogen ions from de Souza et al.,45 displays a VWM anion deficit of 7.2 µeq L-1 for coastal urban, 19.3 µeq L-1 for coastal periurban, 0.20 µeq L-1 for lower montane forest and 7.4 µeq L-1 for montane forest sites (Figure 2). Some studies33,40 have attributed this fact to the presence of the unmeasured carboxylate (formate, acetate and oxalate) and bicarbonate ions in BP and rainwater.

 


Figure 2. Correlation between the sum of cations and the sum of anions in BP from the four sampling sites: () coastal urban, (+) coastal periurban, (○) lower montane forest and (Δ) montane forest

 

Concentrations and deposition fluxes

The VWM concentrations of all inorganic ions show statistically significant spatial differences (Kruskal-Walis test; p < 0.01) among the sampling sites, with higher concentrations at the coastal urban and coastal periurban compared to the lower montane and montane forest sites, except for H+ concentrations (Table 2), whose concentrations are slightly higher at the montane forest sites. On the equivalent basis, the concentrations of Cl- and Na+ together accounted for 60% of the total inorganic constituents in the coastal urban site and 42, 34 and 41% in the coastal periurban, lower montane forest and montane forest, respectively. Nitrite and H+ contributed with less than 3% of the total inorganic ions in BP for the four sampling sites.

 

 

Bulk deposition fluxes of inorganic ions showed no spatial difference, except for Na+, Cl- and Mg2+ (Kruskal-Wallis test; p < 0.01), which were 2-3 fold higher at the coastal urban site than at the other three sites due to the greater influence of sea-salt aerosol emissions from the ocean (Table 3). This suggests that the atmospheric input via BP is little influenced by the spatial variations in precipitation in the annual time scale. In general, bulk deposition fluxes of major inorganic ions were 1.1-4 folds higher in the rainy season (October-March) than in the dry season (April-September). Exceptions occurred for Na+ and Cl- ions, whose deposition fluxes were higher in the dry season. This can be attributed to the increased transport of sea-salt aerosols to the continent by wind gusting associated with the passage of cold fronts, which occur more frequently during the dry season. During the study period, 28 episodes of cold fronts were recorded, of which 18 occurred in the dry season.58

 

 

Chloride, sodium and magnesium

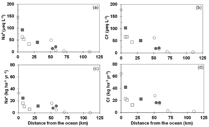
The relationships between the concentrations of Cl- and Na+ in BP were statistically significant (Spearman rank test, p < 0.01) for the four sampling sites (coastal urban: r (correlation coefficient) = 0.98, n = 36; coastal periurban: r = 0.97, n = 29; lower montane forest: r = 0.86, n = 35 and montane forest: r = 0.95, n = 37), which strongly corroborate the sea-salt aerosols as the main source of both ions. Combining these results with those of other studies carried out in different locations in the state of Rio de Janeiro, the relationship between the concentrations (Figures 3a-3b), and the deposition fluxes (Figures 3c-3d), of these two ions and the distance from the Atlantic coast (along S-N direction) is quite evident. In addition to distance from the ocean, the variations among sites are controlled by other factors such as altitude of the sampling site, local relief and mesoscale atmospheric circulation.

 


Figure 3. (a, b) Concentrations and (c, d) deposition fluxes of Na+ and Cl- in relation to distance from the ocean (all along the S-N directions) for the four sampling sites (filled symbols) and other locations (unfilled symbols) in the state of Rio de Janeiro. Filled symbols: () coastal urban and coastal periurban sites together and (●) lower montane forest and montane forest sites together. Unfilled symbols: (□) coastal urban,20,27 (○) montane forest39,42,43 and (◊) marine35 sites

 

Bulk precipitation Cl-/Na+ ratios, obtained from the VWM concentrations, varied from 0.95 to 1.28. The expressive Cl- deficit found at the montane forest (0.95), in relation to the Cl-/Na+ ratio in seawater (1.16), must be related to the higher altitude of that sampling site. In this case, the process seems to be linked to dry deposition by gravitational settling and the more efficient removal of larger sea-salt aerosol particles by raindrops. Some studies59,60 have shown a more pronounced Cl- deficit in smaller sea-salt aerosol particles. In the study areas, the prevailing winds are from the south quadrant, associated with both sea breezes (SE winds) and cold fronts (SW winds), which act in the transport of marine aerosol particles from the ocean toward the mountain range, Serra dos Órgãos. The smallest sea-salt aerossol particles are those that reach the slopes of Serra do Mar facing the ocean.

In the coastal urban site, 95% of the VWM concentration of Mg2+ originates from sea-salt aerosols, while in the other sites, this share ranges from 81 to 86%. The nss-Mg2+ fraction (5-19%) must be predominantly of biogenic origin, mainly from plants where Mg is the central atom of the chlorophyll molecules. The behavior of Mg deposition fluxes was very similar to that of Na+ along the studied segment, decreasing from the coast towards Serra dos Órgãos in agreement with its origin predominantly associated with sea-salt aerosols particles.

Calcium and potassium

The VWM concentrations of Ca2+ decreased from the coastal urban to the lower montane forest site and then increased slightly again at the montane forest site. In contrast, K+ shows no trend, with the highest VWM concentration at the coastal periurban and the lowest at the lower montane forest site (Table 2). Unlike Mg2+, the predominant fraction of Ca2+ and K+ is of non-sea-salt origin. In the coastal urban site, nss-Ca2+ and nss-K+ comprised, respectively, 83 and 76% of their VWM concentrations. In the other three sites, the non-sea-salt fraction corresponded to 91-93% for Ca2+ and 90-93% for K+, probably due to a greater influence of biogenic sources (such as leaf fragments and pollen grains)40,61,62 since they were located within a conservation units. Some studies40,62 conducted in the Amazon Forest have linked the nss-K+ in rainwater and aerosols to biomass burning activities during the dry season.

Across the state of Rio de Janeiro, the nss-K+ and nss-Ca2+ fractions in BP (and rainwater) exhibit a typical spatial variation wich consists of an increase landward. At Ilha Grande, nss-K+ and nss-Ca2+ in rainwater were 56 and 32%, respectively.35 At MRRJ, the nss-K+ and nss-Ca2+ fractions were higher, ranging from 71 to 87% and from 78 to 91%, respectively.20,27 Rodrigues,42 in a previous study conducted at our same montane forest site in Serra dos Órgãos, found even higher values, with nss-K+ and nss-Ca2+ fractions comprising, respectively, 91 and 92% of the total K+ and Ca2+ concentrations. Bulk deposition fluxes of Ca2+ and K+ did not show the same spatial behavior (Table 3), although they had in common the sites of lower and higher deposition fluxes, which were respectively the lower montane forest and the montane forest. The fluxes found in our sampling sites were similar to those reported in urban20,21 and tropical forest4,38,61 areas in Brazil.

Sulfate

The VWM concentrations of SO42- in BP decreased gradually from the coastal urban site (35.2 µeq L-1) to the montane forest site (13.1 µeq L-1) (Table 2). Similarly to our study, the VWM concentrations of SO42- in BP samples collected along the lower course of the Cachoeira River basin (in the southeast state of Bahia) revealed a continuously decreasing gradient from the coastal (38.2 µeq L-1) toward inland urban areas (14.8 µeq L-1).36 In rainwater, SO42- originates from sea-salt aerosol particles and from the oxidation of SO2 in the atmosphere, whose sources can be natural and anthropogenic. The latter gives rise to the non-sea-salt fraction of SO42- in rainwater.

The VWM concentrations of the non-sea-salt fraction of SO42- were respectively 24.1, 22.6, 13.9 and 10.5 µeq L-1 for the coastal urban, coastal periurban, lower montane forest and montane forest, accounting for 69, 83, 89 and 80% of the total SO42- concentrations. The nss-SO42- fraction in BP between the coastal and the mountain forest sites suggests that these areas are affected by SO2 emissions resulting from fossil fuel combustion associated with the mobile and stationary sources of MRRJ. Furthermore, the hydrogen sulfide (H2S) emissions from the polluted shallow waters and sediments in the inner Guanabara Bay may also be another relevant source of SO2 to the atmosphere. However, to the best of our knowledge there are no estimates of the H2S load emitted from the bay's sediment into the atmosphere.

In the state of Rio de Janeiro, non-sea-salt SO42- in BP, rainwater and particulate matter in the state of Rio de Janeiro have been attributed mostly to the oxidation of SO2 originating direct and indirectly from several human activities, with a minor contribution of reduced sulfur compounds (e.g., dimethyl sulfide and hydrogen sulfide) produced by biological processes in seawater and coastal sediments.20,27,39,60,63,64

Bulk deposition fluxes of nss-SO42- at the coastal urban, coastal periurban, lower montane forest and montane forest sites were 4.7, 4.5, 5.2 and 4.2 kg S ha-1 yr-1, respectively. At our coastal urban site, the atmospheric input of nss-SO42- via bulk deposition in late 198020 was 42% higher than that found in this study. At the same sampling site in the Serra dos Órgãos (montane forest), in the mid-2000s, Rodrigues et al.63 reported a nss-SO42- flux as wet deposition of 9.7 kg S ha-1 yr-1, that is, 130% higher than that measured by the present study as bulk deposition. These findings suggest that there have been significant reductions in the deposition fluxes of nss-SO42- within the MRRJ and in the south flank of the Serra dos Órgãos throughout the first decade of the 21st century. This decline is likely due to the reduction of the anthropogenic SO2 emissions from the MRRJ as a result of the use of fuel with lower sulfur contents (by desulfurization processes) by the implementation of emission reduction policies established by PRONAR (National Air Quality Control Program)65 and PROCONVE (National Emission Control Program Vehicles)66 in the mid-1980s and the expansion of the production and use of biofuels.67

The data presented in Figure 4 displays the variation of the annual mean concentrations of SO2 in the MRRJ over the period 2000-2010. The values were calculated from records of hourly data from four air quality monitoring stations provided by the County Secretariat of the Environment of Rio de Janeiro (SMAC).68 All stations are installed in the city of Rio de Janeiro (southwestern section of MRRJ), where air quality monitoring, using automated systems, began in the early 2000s. The annual mean concentrations of SO2 dropped sharply from 2001 (12 ± 2.0 µg m-3) to 2005 (5.2 ± 4.0 µg m-3) and, despite the lack of data between 2007 and 2009, seemed to stay between 5.0 and 6.0 µg m-3 until 2010. The reduction of SO2 emissions throughout the first decade of the 21st century might explain the reduction in nss-SO42- deposition fluxes found in our study.

 


Figure 4. Annual mean concentration of SO2 calculated from data of four automated air quality monitoring stations (Centro, Tijuca, São Cristóvão and Copacabana stations) run by the Municipal Secretary of Conservation and Environment (SMAC)68 of the city of Rio de Janeiro. The vertical lines represent the standard deviations

 

Bulk precipitation acidity

Highly significant correlations (Spearman rank test; p < 0.01) were found for NH4+ and nss-SO42-, NH4+ and NO3-, nss-SO42- and NO3-, nss-SO42- and nss-Ca2+ and NO3- and nss-Ca2+ in the coastal urban (r = 0.57, 0.56, 0.70, 0.59 and 0.60, respectively), coastal periurban (r = 0.89, 0.89, 0.97, 0.81 and 0.79, respectively), lower montane forest (r = 0.56, 0.47, 0.53, 0.54 and 0.52, respectively), and montane forest (r = 0.53, 0.54, 0.73, 0.53 and 0.52, respectively) sites. The equivalent [NH4+ + H+ + nss-Ca2+]/[NO3- + nss-SO42-] ratios, based on their VWM concentrations, were 0.88, 1.28, 0.92 and 0.87, respectively. Figure 5 shows the equivalent relationship between [NH4+ + H+ + nss-Ca2+] and [NO3- + nss-SO42-] combining the data of our four sampling sites and five individual studies on BP and rainwater, conducted at different locations (some of them in the same areas) in the MRRJ and Serra dos Órgãos.20,27,35,43,63 For the listed studies, we compiled the VWM concentrations of these ions. The distribution of these values fitted the 1:1 line quite well, and the linear regression result in a determination coefficient (r2) of 0.79. These results suggest that the acidity of BP and rainwater in the MRRJ and adjacent montane forest areas are primarily controlled by these ions as a result of the dissolution of H2SO4, HNO3, NH3 gases and their corresponding salt particles (NH4)2SO4, NH4HSO4, NH4NO3, and also by the dissolution of calcium-containing salts such as CaSO4, Ca(NO3)2 and CaC2O4 (oxalate calcium).69 Some studies70-72 have highlighted the importance of organic acids (carboxylic and dicarboxylic acids) as acidification agents in rainwater acidity. Oxalate is the most prominent dicarboxylate ion found in the rainwater and aerosols in pristine forests,40 rural areas33,71 and urban polluted cities.22,70,71

 


Figure 5. Relationship between [H+ + NH4+ + nss-Ca2+] and [NO3- + nss-SO42-] concentrations in bulk precipitation for our four sampling sites (filled symbols) and other locations (unfilled symbols) in the state of Rio de Janeiro. Filled symbols: () coastal urban and coastal periurban and () lower montane and montane forest sites. Unfilled symbols: () coastal urban20,27,35 and (○) montane forest43,63 sites

 

CONCLUSIONS

The concentrations of major inorganic ions found in BP samples were higher in the coastal urban and coastal periurban sites compared to the lower montane forest and montane forest sites. Bulk precipitation was influenced by the sea-salt aerosol, with Na+ and Cl- together accounting for over half of the total ion concentration (molar basis) in the coastal urban site and 34-42% in the other three sites. Furthermore, 81-95% of the total Mg2+ concentrations were originated from sea-salt aerosols and they continually reduce as the distance from the ocean increases. Bulk deposition fluxes of Na+, Cl- and Mg2+ varied spatially. Non-sea-salt fractions of Ca2+ and K+ were predominant in BP, encompassing 73-93% of their concentrations. These fractions are primarily attributed to local biogenic sources.

Sulfate concentrations decreased gradually from the coastal urban site to the montane forest area, with nss-SO42- accounting for 68-89% of total SO42- concentrations. Additionally, bulk deposition fluxes of nss-SO42-, which ranged from 4.2 to 5.2 kg S ha-1 yr-1, were relatively lower than those previously reported in the MRRJ and Serra dos Órgãos. This indicates significant changes in the inputs of nss-SO42- precursors, which are compatible with the reductions in SO2 emissions from anthropogenic sources over the first decade of this century.

The VWM pH values in BP ranged from 5.60 at the lower montane forest to 5.98 at the coastal periurban site. Significant correlations among NH4+, nss-Ca2+, nss-SO42- and NO3-, and the equivalent [NH4+ + H+ + nss-Ca2+]/[NO3- + nss-SO42-] ratio values, which varied from 0.82 at the montane forest to 1.28 at the coastal periurban site, suggest that the dissolution of NH3, H2SO4 and HNO3, and their corresponding salts (NH4)2SO4, NH4HSO4 and NH4NO3, with the contribution of some soluble or partly soluble calcium salt particles, control the acidity of BP in the studied areas.

 

ACKNOWLEDGMENTS

This research was funded by the Conselho Nacional de Desenvolvimento Científico e Tecnológico (CNPq) through projects 301421/2009-9 (PQ) and 501813/2013-6 (PDJ), and the Coordenação de Aperfeiçoamento de Pessoal de Nível Superior - Programa de Excelência Acadêmica (CAPES-Proex). The Fundação Carlos Chagas Filho de Amparo à Pesquisa do Estado do Rio de Janeiro (FAPERJ) provided the last two years of doctoral fellowship (Bolsa Nota 10) to P. A. de Souza. We thank Cecília Cronemberger, from Serra dos Órgãos National Park, for logistical support.

 

REFERENCES

1. La Colla, N. S.; Botté, S. E.; Marcovecchio; J. E.; Environ. Rev. 2021, 29, 415. [Crossref]

2. Molina, L. T.; Faraday Discuss. 2021, 226, 9. [Crossref]

3. Garcia-Huidobro, T.; Marshall, F. M.; Bell, J. N. B.; Atmos. Environ. 2001, 35, 4903. [Crossref]

4. Forti, M. C.; Bicudo, D. C.; Bourotte, C.; de Cicco, V.; Arcova, F. C. S.; Hydrol. Earth Syst. Sci. 2005, 9, 570. [Crossref]

5. Guimarães, G. P.; de Mello, W. Z.; Quim. Nova 2006, 29, 54. [Crossref]

6. Ponette-González, A. G.; Perroni, Y.; Weathers, K. C.; de Souza, P. A.; García-Oliva, F.; de Mello, W. Z.; Plant Soil 2017, 420, 451. [Crossref]

7. Pereira, G. M. P.; Teinilä, K.; Custódio, D.; Santos, A. G.; Xian, H.; Hillamo, R.; Alves, C. A.; de Andrade, J. B.; da Rocha, G. O.; Kumar, P.; Balasubramanian, R.; Andrade, M. F.; Vasconcellos, P. C.; Atmos. Chem. Phys. 2017, 17, 11943. [Crossref]

8. Gallardo, L.; Barraza, F.; Cebalos, A.; Galleguillos, M.; Huneeus, N.; Lambert, F.; Ibarra, C.; Munizaga, M.; O'Rayn, R.; Osses, M.; Tolvett, S.; Urquiza, A.; Véliz, K. D.; Elementa: Science of the Anthropocene 2018, 6, 38. [Crossref]

9. Carnelos, D. A.; Portela, S. I.; Jobbágy, E. G.; Jackson, R. B.; Di Bella, C. M.; Panario, D.; Fagúndez, C.; Piñeiro-Guerra, J. M.; Grion, L.; Piñeiro, G.; Biogeochemistry 2019, 144, 261. [Crossref]

10. Menz, F. C.; Seip, H. M.; Environ. Sci. Policy 2004, 7, 253. [Crossref]

11. Duan, L.; Yu, Q.; Zhang, Q.; Wang, Z.; Pan, Y.; Larssen, T.; Tang, J.; Mulder, J.; Atmos.Environ. 2016, 146, 55. [Crossref]

12. McDonnell, T. C.; Sullivan, T. J.; Cosby, B. J.; Jackson, W. A.; Elliott, K. J.; Water, Air, Soil Pollut. 2013, 224, 1733. [Crossref]

13. Wright, L. P.; Zhang, L.; Cheng, I.; Aherne, J.; Wentworth, G. R.; Aerosol Air Qual. Res. 2018, 18, 1953. [Crossref]

14. Grennfelt, P.; Engleryd, A.; Forsius, M.; Hov, Ø.; Rodhe, H.; Cowling, E.; Ambio 2020, 49, 849. [Crossref]

15. Oesch, S.; Faller, M.; Corros.Sci. 1997, 39, 1505. [Crossref]

16. Corvo, F.; Reyes, J.; Valdes, C.; Villasenõr, F.; Cuesta, O.; Aguilar, D.; Quintana, P.; Water, Air, Soil Pollut. 2010, 205, 359. [Crossref]

17. Sun, X.; Zhang, Z.; Cao, Y.; Liu, L.; Hu, F.; Lu, X.; For. Ecol.Manage. 2021, 482, 118863. [Crossref]

18. de Souza, P. A.; de Mello, W. Z.; Silva, J. J. N.; Rodrigues, R. A. R.; da Conceição, M. C. G.; Rev. Virtual Quim. 2017, 9, 2052. [Crossref]

19. Hererra, J.; Rodríguez, S.; Baéz, A. P.; Atmos. Res. 2009, 94, 151. [Crossref]

20. de Mello, W. Z.; Environ. Pollut. 2001, 114, 235. [Crossref]

21. Lara, L. B. L. S.; Artaxo, P.; Martinelli, L. A.; Victoria, L. R.; Camargo, P. B.; Krusche, A.; Ayers, G. P.; Ferraz, E. S. B.; Ballester, M. V.; Atmos.Environ. 2001, 35, 4937. [Crossref]

22. Leal, T. F. M.; Fontenele, A. P. G.; Pedrotti, J. J.; Fornaro, A.; Quim.Nova 2004, 27, 855. [Crossref]

23. Fornaro, A.; Gutz, I. G. R.; Atmos.Environ. 2006, 40, 5893. [Crossref]

24. Fontenele, A. P. G.; Pedrotti, J. J.; Fornaro, A.; Quim. Nova 2009, 32, 839. [Crossref]

25. Vieira-Filho, M. S.; Lehmann, C.; Fornaro, A.; Atmos. Environ. 2015, 101, 200. [Crossref]

26. Martins, E. H.; Nogarotto, D. C.; Mortatti, J.; Pozza, S. A.; Atmos.Pollut. Res. 2019, 10, 520. [Crossref]

27. de Souza, P. A.; de Mello, W. Z.; Maddock, J. E. L.; RevistaDesafios 2021, 8, 47. [Crossref]

28. Migliavacca, D.; Teixeira, E. C.; Wiegand, F.; Machado, A. C. M.; Sanchez, J.; Atmos. Environ. 2005, 39, 1829. [Crossref]

29. Migliavacca, D. M.; Teixeira, E. C.; Machado, A. C. M.; Pires, M. R.; Quim. Nova 2005, 28, 371. [Crossref]

30. Casartelli, M. R.; Mirlean, N.; Peralba, M. C.; Barrionuevo, S.; Gómes-Rey, M. X.; Madeira, M.; Environ. Monit. Assess. 2008, 144, 105. [Crossref]

31. Cerqueira, M. R. F.; Pinto, M. F.; Derossi, I. N.; Esteves, W. T.; Santos, M. D. R.; Matos, M. A. C.; Lowinsohn, D.; Matos, R. C.; Atmos. Pollut. Res. 2014, 5, 253. [Crossref]

32. De Carvalho, C. N.; Leprun, J. C.; Biogeochemistry 1991, 14, 99. [Crossref]

33. Coelho, C. H.; Allen, A. G.; Fornaro, A.; Orlando, E. A.; Grigoletto, T. L. B.; Campos, M. L. A. M.; Atmos. Environ. 2011, 45, 5260. [Crossref]

34. Oliveira, P. L.; Figueiredo, B. R.; Cardoso, A. A.; J. Braz. Chem. Soc. 2012, 23, 2258. [Crossref]

35. de Souza, P. A.; de Mello, W. Z.; Maldonado, J.; Evangelista, H.; Quim. Nova 2006, 29, 471. [Crossref]

36. Araujo, T. G.; Souza, M. F. L.; de Mello, W. Z.; da Silva, D. M. L.; J. Braz. Chem. Soc. 2015, 26, 1692. [Crossref]

37. Forti, M. C.; Moreira-Nordemann, L. M.; J. Geophys. Res.: Atmos. 1991, 96, 7415. [Crossref]

38. Filoso, S.; Williams, M. R.; Melack, J. M.; Biogeochemistry 1999, 45, 169. [Crossref]

39. de Mello, W. Z.; Almeida, M. D.; Environ. Pollut. 2004, 129, 63. [Crossref]

40. Pauliquevis, T.; Lara, L. L.; Antunes, M. L.; Artaxo, P.; Atmos. Chem. Phys. 2012, 12, 4987. [Crossref]

41. da Costa, C. M. P.; de Mello, W. Z.; Geochim. Bras. 1997, 11, 341. [Link] accessed in July 2024

42. Rodrigues, A. R. R.: Deposição Atmosférica na Bacia do Alto Curso do Rio Paquequer - Parque Nacional da Serra dos Órgãos, Teresópolis, RJ; MSc Dissertation, Universidade Federal Fluminense, Brazil, 2006. [Link] accessed in July 2024.

43. Perry, I. G.: Aporte de Poluentes Atmosféricos na Apa de Petrópolis: Uso de Modelagem Atmosférica para Explicar Resultados Experimentais; MSc Dissertation, Universidade Federal Fluminense, Niterói, Brazil, 2007. [Link] accessed in July 2024.

44. Galvão, Y. O.: Aporte Atmosférico e Identificação de Fontes de Espécies Químicas em Cabeceiras de Drenagem da Serra dos Órgãos (RJ); MSc Dissertation, Universidade Federal Fluminense, Niterói, Brazil, 2021. [Link] accessed in July 2024.

45. de Souza, P. A.; Ponette-González, A. G.; de Mello, W. Z.; Weathers, K. C.; Santos, I. A.; Atmos. Res. 2015, 160, 126. [Crossref]

46. Loureiro, L. N.: Panorâmica sobre Emissões Atmosféricas Estudo de Caso: Avaliação do Inventário de Emissões Atmosféricas da Região Metropolitana do Rio de Janeiro para Fontes Móveis; PhD Thesis, Universidade Federal do Rio de Janeiro, Rio de Janeiro, Brazil, 2005. [Link] accessed in July 2024.

47. D'Agosto, M. A.; Ribeiro, S. K.; WIT Trans. Ecol. Environ. 2003, 66, 445. [Link] accessed in July 2024

48. Cepeda, M. A. F. S.: Ship Emissions Assessment by Automatic Identification System AIS and Big Data in Latin America; PhD Thesis, Universidade Federal do Rio de Janeiro, Brazil, 2022. [Link] accessed in July 2024.

49. Kjerfve, B.; Ribeiro, C. H. A.; Dias, G. T. M.; Filippo, A. M.; Quaresma, V. S.; Cont. Shelf Res. 1997, 17, 1609. [Crossref]

50. American Public Health Association (APHA); Standard Methods for the Examination of Water and Wastewater, 16th ed.; APHA: Washington DC, 1985.

51. Miller, J. C.; Miller, J. N.; Statistics for Analytical Chemistry, 3rd ed.; Ellis Horwood PTR Prentice Hall: New York, 1993.

52. Keene, W. C.; Pszenny, A. A. P.; Galloway, J. N.; Hawley, M. E.; J. Geophys. Res.: Atmos. 1986, 91, 6647. [Crossref]

53. Millero, F. J.; Chemical Oceanography, 3rd ed.; Taylor and Francis Group, CRC Press: Boca Raton, 2005.

54. Conover, W. J.; Pratical Non-Parametric Statistics, 3rd ed.; John Wiley & Sons Inc.: New York, 1999.

55. Statistica, version 8.0; Stat Soft. Inc., OK, USA, 2007.

56. Galloway, J. N.; Keene, W. C.; Likens, G. E.; J. Geophys. Res.: Atmos. 1996, 101, 6883. [Crossref]

57. Galloway, J. N.; Likens, G. E.; Keene, W. C.; Miller, J. M.; J. Geophys. Res.:Oceans 1982, 87, 8771. [Crossref]

58. Instituto Nacional de Pesquisas Espaciais, Climanálise Boletim, http://climanalise.cptec.inpe.br/~rclimanl/boletim/, accessed in July 2024.

59. Zhuang, H.; Chan, C. K.; Fang, M.; Wexler, A. S.; Atmos. Environ. 1999, 33, 4223. [Crossref]

60. Mariani, R. L.; de Mello, W. Z.; Atmos. Environ. 2007, 41, 2887. [Crossref]

61. Artaxo, P.; Maenhaut, W.; Storms, H.; Van Grieken, R.; J. Geophys. Res.: Atmos. 1990, 95, 16971. [Crossref]

62. Artaxo, P.; Fernandes, E. T.; Martins, J. V.; Yamasoe, M. A.; Hobbs, P. V.; Maenhaut, W.; Longo, K. M.; Castanho, A.; J. Geophys. Res.: Atmos. 1998, 103, 31837. [Crossref]

63. Rodrigues, R. A. R.; de Mello, W. Z.; de Souza, P. A.; Quim. Nova 2007, 30, 1842. [Crossref]

64. Soluri, D. S.; Godoy, M. L. D. P.; Godoy, J. M.; Roldão, L. A.; J. Braz. Chem. Soc. 2007, 18, 838. [Crossref]

65. Conselho Nacional do Meio Ambiente (CONAMA); Resolução No. 5, de 15 de junho de 1989, Dispõe sobre o Programa Nacional de Controle da Poluição do Ar - PRONAR; Diário Oficial da União (DOU), Brasília, 30/08/1989. [Link] accessed in July 2024.

66. Ministério do Meio Ambiente (MMA); Programa de Controle da Poluição do Ar por Veículos Automotores, 3a ed.; Brasília, Brasil, 2011. [Link] accessed in July 2024.

67. Soccol, C. R.; Vandenberghe, L. P. S.; Costa, B.; Woiciechowski, A. L.; Carvalho, J. C.; Medeiros, A. B. P.; Francisco, A. M.; Bonomi, L. J.; J. Sci. Ind. Res. 2005, 64, 897. [Link] accessed in July 2024

68. Rio Prefeitura, Monitoramento da Qualidade do Ar, https://carioca.rio/servicos/monitoramento-da-qualidade-do-ar/, accessed in July 2024.

69. Yao, X.; Lau, A. P. S.; Fang, M.; Chan, C. K.; Hu, M.; Atmos. Environ. 2023, 37, 3001. [Crossref]

70. Fornaro, A.; Gutz, I. G. R.; Atmos.Environ. 2003, 37, 117. [Crossref]

71. Xu, G.; Lee, X.; Lv, Y.; J. Atmos. Chem. 2009, 62, 249. [Crossref]

72. Vet, R.; Artz, R. S.; Carou, S.; Shaw, M.; Ro, C.-U.; Aas, W.; Baker, A.; Bowersox, V. C.; Dentener, F.; Galy-Lacaux, C.; Hou, A.; Pienaar, J. J.; Gillet, R.; Forti, M. C.; Gromov, S.; Hara, H.; Khodzher, T.; Mahowald, N. M.; Nickovic, S.; Rao, P. S. P.; Reid, N. W.; Atmos. Environ. 2014, 93, 3. [Crossref]

 

Associate Editor handled this article: Eduardo H. S. Sousa

On-line version ISSN 1678-7064 Printed version ISSN 0100-4042
Qu�mica Nova
Publica��es da Sociedade Brasileira de Qu�mica
Caixa Postal: 26037 05513-970 S�o Paulo - SP
Tel/Fax: +55.11.3032.2299/+55.11.3814.3602
Free access

GN1