JBCS



17:22, sáb out 25

Acesso Aberto/TP



Artigo


Potencial de formação de ozônio na homologação veicular no bairro de Bangu, Rio de Janeiro
Ozone forming potential for vehicular homologation in the neighborhood of Bangu, Rio de Janeiro

Renan Alves da Silva; Sergio Machado Corrêa*

Departamento de Química e Ambiental, Faculdade de Tecnologia, Universidade do Estado do Rio de Janeiro, 27537-000 Resende - RJ, Brasil

Recebido: 12/03/2024k
Aceito: 25/06/2024
Publicado online: 06/08/2024

Endereço para correspondência

*e-mail: sergiomc@uerj.br

RESUMO

To control vehicle emissions, the new homologation process must be reported according to the California Maximum Incremental Reactivity (MIR) scale's procedure to calculate the ozone forming potential (OFP) of each new vehicle. This work calculates an MIR scale suitable for the Brazilian reality. Meteorological and hourly pollutant data from the Bangu Automatic Air Quality Station was inventoried and processed from March to September 2020 to adjust OZIPR Lagrangean model and obtain the MIR scale by making small increments in the concentrations of each volatile organic compounds (VOC) and calculate the ozone increase/decrease. It was found that the VOC that had the greatest impact on ozone formation was 1,2,4-trimethylbenzene, with 2.06 ppb O3 ppbC-1 VOC. The OFP was calculated based on the VOC emissions of a vehicle and it was found a value of 9.421 mg O3 km-1, a much lower value when compared using the California MIR scale of 136.608 mg O3 km-1. It is concluded that meteorological conditions and VOC speciation data in the air mixture in the studied region directly affect the photochemical reactions of ozone formation.

Palavras-chave: ozone; troposphere; modeling; reactivity; emissions.

INTRODUÇÃO

A emissão de gases nocivos advindos dos veículos automotivos causa sérios riscos ao meio ambiente, contribuindo na formação de poluentes secundários na atmosfera, deposição ácida e à saúde humana, desencadeando problemas respiratórios como asma e bronquite. As principais substâncias tóxicas emitidas por automóveis, motocicletas, ônibus e caminhões são: monóxido de carbono (CO), hidrocarbonetos (HC), óxidos de nitrogênio (NOx), óxidos de enxofre (SOx) e material particulado (MP).1

Além dos poluentes primários que são emitidos diretamente pelos veículos, formam-se também os poluentes secundários, sendo o principal deles o ozônio (O3) oriundo das reações entre os NOx e compostos orgânicos voláteis (COV), resultantes da queima incompleta e evaporação de combustíveis e solventes, ocorrendo na atmosfera na presença de luz solar.2 Pelo fato de ser o principal produto oriundo desses poluentes, ele é um parâmetro utilizado para a homologação das emissões de gases orgânicos não metano (NMOG), a partir de 2022.3

Apesar do aumento de 258% da frota no país entre os anos de 1992 e 2012, houve uma queda das emissões devido à criação do Programa de Controle da Poluição do Ar por Veículos Automotores (PROCONVE) que, em 1986, delimitou valores máximos de emissão de poluentes por veículos.4 Desse modo, mais medidas vêm sendo tomadas a fim de controlar os limites de poluentes emitidos pelos automóveis, tal como a Resolução do Conselho Nacional de Meio Ambiente (CONAMA) No. 492 de 20 de dezembro de 2018.5 Essa Resolução estipula que, a partir de 01/01/2022, a homologação das emissões de NMOG deve ser reportada utilizando a reatividade incremental máxima (MIR) da Califórnia, para medir o quanto de ozônio ao nível do solo pode ser potencialmente formado por cada km percorrido por um veículo. Essa escala MIR fornece uma medida do quanto as emissões de COV no meio ambiente podem afetar na formação do ozônio, porém os veículos, as fontes fixas e naturais, a meteorologia e a topografia, ou seja, a química da atmosfera dos EUA é diferente do Brasil.5

Contudo, surge uma necessidade de implementar uma escala MIR voltada para a realidade brasileira visando o controle das emissões veiculares. Portanto, este projeto tem como objetivo geral propor uma escala MIR nacional a partir dos dados da EAQA (Estação de Qualidade do Ar) de Bangu para o período entre 20 de março a 21 de setembro de 2020 e dos dados de especiação de COV realizados no Rio de Janeiro existentes na literatura; utilizando o modelo de trajetórias Ozone Isopleth Package for Research (OZIPR) em conjunto com o modelo químico Statewide Air Pollution Research Center (SAPRC) para validação do modelo de qualidade do ar.

 

PARTE EXPERIMENTAL

Escolha da EAQA para o ajuste do modelo

Para fazer o ajuste do modelo, foi escolhida a estação de qualidade do ar de Bangu localizada na cidade do Rio de Janeiro para o ano de 2020 por ter mais medidas de concentrações de CO, NOx e O3 simultaneamente e bem distribuídos durante todos os meses do intervalo de coleta dos dados, além das variáveis meteorológicas. Os dados foram obtidos por meio do programa de monitoramento da qualidade do ar da Prefeitura da Cidade do Rio de Janeiro, MonitorAr.6

Os dados da estação de qualidade do ar de Bangu foram tratados eliminando as médias horárias com mais de 4 mm de precipitação pluviométrica, domingos e feriados, devido à baixa circulação de veículos nesses dias, para obter os boxplots das medidas de temperatura, umidade relativa do ar, CO, NOx e O3, visando o ajuste do modelo.

O intervalo de datas do ano foi escolhido por ser os dados mais recentes disponíveis pela EAQA de Bangu, tendo em vista que este projeto se iniciou no ano de 2021 e o intervalo de horário entre 6:30 h e 18:30 h escolhido é devido ao período de maior incidência solar, pois a formação de ozônio é dependente das reações fotoquímicas. Além disso, os dados mais recentes de especiação de COV para o bairro de Bangu foram obtidos em março de 2019, constantes nas publicações de Geraldino et al.7,8

Caracterização da microrregião

Bangu é um bairro da cidade do Rio de Janeiro, localizado na Zona Oeste do município, com cerca de 46 km2, sendo um dos mais populosos com 243.125 habitantes segundo o Censo de 2010. Os bairros que estão ao entorno de Bangu são: Campo Grande, Gericinó, Padre Miguel, Realengo, Santíssimo, Senador Camará e dos municípios de Nilópolis e Nova Iguaçu.9 A Figura 1 ilustra a região do entorno do bairro de Bangu.

 


Figura 1. Mapa da região de entorno do bairro de Bangu10

 

O bairro de Bangu apresenta temperaturas elevadas durante o ano, ultrapassando os 40 ºC. Isso é devido as atividades urbanas na região reduzindo a cobertura vegetal e a presença de dois grandes maciços que delimitam a região, impedindo a passagem dos ventos do mar: o Maciço da Pedra Branca com uma altitude máxima de 1020 metros e o Maciço de Gericinó, com 970 metros de pico.8

Na estação de Bangu são registrados elevados níveis de concentração de ozônio, que já apresentou o maior número de violações ao padrão de qualidade do ar estabelecido pelo CONAMA3 para esse poluente. Alguns fatores que explicam as elevadas concentrações de ozônio são a topografia da região, as condições de vento e o fluxo na Avenida Brasil e na Via Dutra como fontes móveis de precursores de ozônio.11

A EAQA de Bangu está localizada a 22º53'16,53"S e 43º28'15,91"O. Nas proximidades não há atividades industriais que afetem de forma significativa a emissão de poluentes, sendo considerada uma região residencial de subúrbio, com casas, pequenos edifícios e algumas escolas.8

Simulação das concentrações de O3 com o modelo OZIPR

A simulação das concentrações de O3 foi realizada utilizando o modelo Lagrangeano de trajetórias OZIPR12,13 e o modelo químico SAPRC.14 Os dados de entrada do modelo incluem as concentrações iniciais e os dados de emissões horárias de CO, NOx e COV totais, especiação dos COV no início da manhã, temperatura, pressão, umidade e altura da camada de mistura, localização geográfica e data, coeficientes de deposição seca e úmida, além do modelo químico.

De posse dessas informações, a simulação das concentrações de O3 é obtida em função do horário do dia para as variadas concentrações iniciais de COV e NOx, que também são usados para gerar os gráficos de isopletas de ozônio.15

A versão do modelo químico SAPRC utilizado é composta por 204 reações e 83 espécies químicas agrupadas de acordo com a estrutura similar e reatividade, além de 23 espécies explícitas. Neste trabalho utilizou-se o mesmo agrupamento de espécies químicas, os grupos de COV utilizados para rodar o modelo SAPRC estão presentes na Tabela 1.

 

 

Os dados médios da especiação de cada grupo de COV foram obtidos nas publicações de Geraldino et al.,7,8 que utilizaram a metodologia de amostragem e de análise química TO-15A.16 Os dias de amostragem desse período foram: 04/03/2019, 05/03/2019, 12/03/2019 e 18/03/2019. A Tabela 2 apresenta os valores das concentrações obtidas de COV em cada um dos quatro dias de amostragem e a média desses dados.

 

 

As concentrações de alguns dos COV listados na Tabela 2 não foram determinadas e, por isso, constam como não determinado (N.D.) e outros apresentam valor inferior ao limite de quantificação (< LOQ) da amostra pelo laboratório.

Os valores médios das emissões de cada poluente foram estimados a partir do inventário de emissões do Instituto Estadual do Ambiente (INEA),17 que foram distribuídos de acordo com o número de dias úteis do ano, as horas de efetiva emissão e a área da região de estudo, segundo a Equação 1.

onde: Taxa_Emissãoi: concentração do poluente i, em kg km-2 h-1; Ei: emissão do poluente i obtida do inventário do INEA, em t ano-1; Área: área da Região Metropolitana do Rio de Janeiro, equivalente a 6734 km2; Dias: quantidade de dias no ano descontando domingos e feriados devido à baixa circulação de veículos, igual a 313 dias; Horas: quantidade de horas no dia descontando o período de baixa circulação de veículos entre 23 e 5 h, igual a 18 h.

As emissões de cada poluente segundo dados do inventário são de 25.334,27 t ano-1 para o CO; 14.911,5 t ano-1 para o NOx e 4.003,39 t ano-1 para os COV totais somando as concentrações de aldeídos, hidrocarbonetos não metano evaporativos e de escapamento.17

Neste trabalho foi considerada a massa molecular média do NOx igual a 40,67 g mol-1 que corresponde a 1/3 de NO e 2/3 de NO2 sendo uma limitação da metodologia, devido à falta de informações a respeito do quanto as concentrações de NOx retiradas da Prefeitura da Cidade do Rio de Janeiro - MonitorAr disponível no site do DATA.Rio correspondem a NO e a NO2.6

Cálculo da escala de reatividade

O cálculo da escala de reatividade relaciona o grau de importância de cada precursor de ozônio. Ela pode ser obtida analisando o pequeno incremento de cada COV que afetará na produção de ozônio, sendo esse tipo de escala conhecido como escala de reatividade incremental (IR). A escala IR leva em consideração as demais espécies químicas e as reações dos produtos da reação entre os COV com o radical OH que podem ocorrer na atmosfera, ou seja, a produção de ozônio não é dada somente em função de um único COV.15

Após a validação do modelo contra os dados experimentais, a escala IR é obtida realizando pequenos incrementos de cada um dos COV (0,2% do total dos COV), executando o modelo OZIPR validado e analisando o quanto de ozônio foi acrescido ou diminuído em relação a concentração de ozônio inicial, por meio da Equação 2.12

onde: IRi: reatividade incremental do COV analisado; Δ[O3]: variação da concentração de O3, dada pela subtração da concentração de O3 formado após o incremento de um COV pela concentração de O3 base; Δ[COVi]: variação da concentração de um dado COV.

Com base na Equação 2, é possível obter uma escala IR com base nos incrementos de cada um dos COV do modelo e analisar qual deles é o mais relevante na produção de ozônio.

 

RESULTADOS E DISCUSSÃO

Dados experimentais para o ajuste do modelo

As concentrações obtidas de CO, NOx e O3 da simulação com o modelo OZIPR são ajustadas a partir dos gráficos gerados com os dados da EAQA de Bangu coletados para o ano de 2020, após o tratamento descrito dos dados.

De acordo com Geraldino et al.8 é comum registrar ocorrências de altas concentrações de ozônio em Bangu principalmente em meses com elevadas temperaturas e taxas de radiação solar que favorecem as reações fotoquímicas de formação de ozônio.

Além dos dados dos poluentes, pode-se analisar os gráficos da variação da temperatura e da umidade relativa ao longo do dia obtidas, presente nas Figuras 2 e 3. A temperatura a cada hora do dia varia de forma similar a concentração de O3. Isso é devido ao fato de o ozônio ser um poluente secundário formado a partir de um conjunto de reações fotoquímicas na atmosfera. A temperatura tem relação direta com a radiação solar e a incidência de radiação ultravioleta.15

 


Figura 2. Temperatura em função da hora do dia para a EAQA de Bangu entre 20/03/2020 e 21/09/2020

 

 


Figura 3. Umidade relativa em função da hora do dia para a EAQA de Bangu entre 20/03/2020 e 21/09/2020

 

Ao analisar as Figuras 2 e 3, nota-se que a umidade relativa varia de forma oposta à temperatura. Ao aumentar a temperatura ao longo do dia, a umidade relativa do ar diminui.

Uma relação da concentração de ozônio com a direção e velocidade dos ventos é apresentada na Figura 4, que integra uma rosa dos ventos com a concentração desse poluente, sendo possível identificar que as maiores concentrações de ozônio vêm da direção oeste, direção de maior velocidade dos ventos conforme a Figura 4, indicando que parte do ozônio presente em Bangu pode estar sendo transportado de outras localidades, advindos da frota veicular na Avenida Brasil e na Via Dutra como fontes móveis de precursores de ozônio.

 


Figura 4. Rosa dos ventos da concentração de O3 para a EAQA de Bangu entre 20/03/2020 e 21/09/2020

 

Etapa 1 de ajuste do modelo

A primeira etapa do ajuste do modelo é determinar as concentrações de COV, inventariar as emissões de NOx e CO (INEA) do ano base de 2013, o último disponível.17 Por meio da Equação 1, foi possível calcular as concentrações, em kg km-2 h-1, para preencher as médias horárias entre 6:30 h e 18:30 h de cada poluente, de forma a ajustar as curvas de cada poluente aos boxplots dos dados experimentais. As taxas de emissão de CO, NOx e COV obtidas a partir da Equação 1 estão presentes na Tabela 3.17

 

 

Os dados médios especiados de COV para Bangu para o cálculo da fração de cada COV e o número médio de carbonos estão presentes nas Tabelas 2 e 4. As concentrações iniciais dos poluentes estão presentes na Tabela 5. A concentração inicial de COV é o somatório das concentrações de todos os grupos de COV, em ppmC totais. As concentrações iniciais de CO e de NOx, ambos em ppm, correspondem as medianas das concentrações no início da simulação às 06:30 h da EAQA de Bangu.

 

 

 

 

Etapa 2 de ajuste do modelo

O ajuste do modelo consistiu em realizar alterações nas taxas de emissão de CO em conjunto com o perfil horário da altura da camada de mistura, em seguida de NOx e por fim de COV para que as curvas obtidas na Etapa 1 se ajustassem aos dados experimentais dos boxplots, sempre mantendo as taxas de emissão coerentes com o horário do dia (maiores emissões nos horários do rush, por exemplo). A escolha inicial do CO se dá por ser uma molécula com baixa reatividade e que suas concentrações dependem mais das emissões e das condições meteorológicas.

A Figura 5 apresenta a curva de CO, em vermelho, ajustada com os boxplots horários dos dados experimentais após a etapa de ajuste do modelo. Nela, pode-se observar que a curva ajustada se encontra próxima a mediana dos boxplots.

 


Figura 5. Ajuste da curva de CO com os boxplots horários dos dados experimentais para Bangu

 

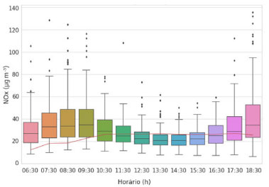
A Figura 6 apresenta a curva de NOx, em vermelho, ajustada com os boxplots horários dos dados experimentais após a etapa de ajuste de CO do modelo (não é mais alterado o perfil da camada de mistura após o ajuste do CO). A curva ajustada se encontra fora dos boxplots das quatro primeiras médias horárias e nos horários de 13:30 h e 14:30 h, porém ela ficou dentro dos limites. Isso ocorreu, pois, ao ajustar o NOx para dentro dos boxplots, a curva de O3 se distanciava dos mesmos.

 


Figura 6. Ajuste da curva de NOx com os boxplots horários dos dados experimentais para Bangu

 

Por fim, a Figura 7 apresenta a curva de O3, em vermelho, ajustada com os boxplots horários dos dados experimentais após a segunda etapa de ajuste do modelo. Nela, é possível perceber que a curva vermelha ficou fora dos boxplots nas cinco primeiras médias horárias e na última, porém esteve dentro dos limites horários nos valores de pico.

 


Figura 7. Ajuste da curva de O3 com os boxplots horários dos dados experimentais para Bangu

 

Para a validação do modelo obtido, os resultados encontrados para os três poluentes devem se aproximar dos dados experimentais da EAQA de Bangu. Portanto, as curvas dos três poluentes foram ajustadas aos dados experimentais ao comparar os valores simulados com os valores experimentais, na qual foram sendo alterados os valores de emissões de CO, NOx e COV de forma com que os resultados ficassem o mais próximo possível dos experimentais, podendo então ser utilizadas para a obtenção da escala de reatividade.

Isopleta de ozônio para o modelo ajustado

A isopleta é um gráfico que relaciona os COV com o NOx e os dados são em função do ozônio. Utiliza-se várias execuções do modelo validado fixando-se inicialmente as concentrações de COV dentro dos limites obtidos experimentalmente para diferentes níveis de NOx e depois fixando-se os NOx para diferentes valores de COV e os resultados estão apresentados na Figura 8.

 


Figura 8. Isopletas de ozônio (em ppb) para as diversas concentrações de COV e NOx para Bangu

 

As linhas vertical e horizontal e o círculo preto presentes na Figura 8 destacam a região próxima do caso base de Bangu em que se obteve a maior mediana horária da concentração de ozônio igual a 38,99 ppb às 14:30 h.

A Figura 8 mostra que a condição do caso base da região de Bangu é controlada pelos NOx, tendo uma baixa razão COV/NOx. Isso significa que a diminuição da concentração de NOx leva ao aumento da formação de O3 e o aumento de NOx, diminui o O3. Com relação aos COV, a relação é direta, a diminuição de COV acarreta a redução do teor de O3 e o aumento deles, aumenta o O3.18

Essa mesma análise foi feita por Geraldino et al.,8 com base na simulação das concentrações de O3 do dia 14 de julho de 2016 (episódio de alta concentração de O3), e mostraram que os COV tiveram um efeito mais significativo nas concentrações de O3 do que os NOx na região de Bangu/RJ.

Determinação da escala de reatividade incremental

Para determinar a escala MIR foi feito um acréscimo e decréscimo de 0,2% do total de COV, conforme a metodologia do modelo OZIPR proposta por Tonnesen.12

A concentração média total de COV foi de 162,86 μg m-3. Com isso, foram selecionados os 20 COV com maiores concentrações, que juntos representavam cerca de 80% do total de COV e tiveram suas concentrações aumentadas em 0,33 μg m-3 (0,2% dos COV totais) para determinação da IR+ e depois IR- e então a IR é uma média destes dois valores (Figura 9).

 


Figura 9. Reatividade incremental de COV

 

É possível observar que o incremento/decréscimo de quatorze COV leva no aumento da formação de O3, com destaque para os aromáticos 1,2,4-trimetilbenzeno e 1-etil-4-metilbenzeno. Por outro lado, seis COV que tiveram suas concentrações alteradas levaram na diminuição da formação de O3, com destaque para o etilbenzeno. Dentre os 20 COV, o n-butano foi o que menos impactou na formação de O3.

A Tabela 6 apresenta as reatividades dos COV na atmosfera com base na constante para a reação com o radical OH (kOH).

 

 

Com base na Tabela 6, o isopreno, o cis-2-penteno, o trans-2-buteno e o 1,2,4-trimetilbenzeno são os COV com maiores valores de kOH que, ao comparar com a Figura 9, estão entre as 5 espécies com maiores valores de IR obtidas. Quanto maior o valor dessa constante, maior é a reatividade dos COV em reagir com os radicais OH gerando produtos secundários que irão interagir com outras espécies na atmosfera, afetando na escala IR.15

Ao analisar a MIR dos grupos que constituem os 20 principais COV, a ordem de reatividade, em módulo, segue a seguinte ordem: aromáticos > alcenos > alcanos > isopreno. Vale ressaltar que a reatividade dos COV não depende da MIR adotada e ela costuma variar da seguinte forma: alcenos com ligações duplas internas > di e trimetil aromáticos, alcenos terminais > etileno > metil aromáticos > C5 e alcanos maiores > alcanos C2-C5.19 Uma exceção dessa ordem de reatividade dos COV é o benzeno, pois é um aromático estável e menos reativo.

Além disso, o potencial de formação de O3 é maior nos aromáticos e alcenos devido à instabilidade do anel benzênico e a presença de ligações insaturadas, respectivamente. Os alcanos são mais estáveis por apresentarem ligações saturadas que justificam a menor contribuição no potencial de formação de O3 quando comparados aos demais grupos.

A Figura 10 ilustra a contribuição de cada um desses grupos em termos de escala MIR.

 


Figura 10. Contribuição dos grupos de COV em termos de escala MIR para Bangu no ano de 2020

 

A Tabela 7 apresenta os valores de IR dos vinte principais precursores obtidos com base na coleta das concentrações de COV realizadas no bairro de Bangu no RJ e uma comparação com os resultados obtidos por Orlando et al.15 na Cidade Universitária de SP nos períodos de outono e inverno de 2006 e por Nova20 no bairro da Gávea RJ nos dias 29 e 31 de agosto e 06 de setembro de 2011 para esses mesmos COV.

 

 

Segundo as reatividades incrementais dos 30 principais precursores de ozônio na atmosfera de São Paulo obtidas por Orlando et al.15 em outono de 2006, 17 COV estão presentes na Tabela 7. Dentre eles, os COV com maiores valores IR de acordo com Orlando et al.15 foram isopreno com 0,539; trans-2-buteno com 0,486 e m+p-xilenos, cada um deles com 0,415. Além disso, o n-butano e o tolueno foram os precursores que obtiveram IR mais próximas quando comparados com os resultados encontrados em outono por Orlando et al.15 Por outro lado, o trans-2-buteno foi o composto que teve IR mais distante.

No período do inverno de 2006, 18 dos 30 principais precursores de ozônio na atmosfera de São Paulo obtidas por Orlando et al.15 também estão presentes na Tabela 7. Nessa estação do ano, os COV com maiores valores IR obtidos foram os mesmos encontrados por ele em outono de 2006, que são: isopreno com 0,452; trans-2-buteno com 0,427 e m+p-xilenos, cada um deles com 0,344. Os m+p-xilenos e o n-butano foram os precursores com valores de IR mais próximos e o trans-2-buteno, o mais distante, quando comparados com os resultados encontrados no inverno por Orlando et al.15

Conforme os resultados de reatividade incremental dos 19 compostos mais representativos, em termos de concentração contidos na especiação, e dos 6 compostos reduzidos de enxofre estudados por Nova20 apenas 11 COV estão listados na Tabela 7. O tolueno, com 6,56 e os m+p-xilenos, cada um com 2,82, são os compostos com maiores valores de IR obtidos por Nova20 e que apresentaram resultados de IR mais distantes ao comparar com os resultados obtidos em Bangu. Em contrapartida, o n-hexano e o 3-metilpentano foram as espécies que apresentaram valores de IR mais próximos.

Cálculo do potencial de formação de ozônio de um veículo

Para o cálculo do potencial de formação de ozônio por um veículo, foi utilizado as emissões especiadas de COV de um veículo leve nacional cujo ensaio foi realizado pelo LACTEC em um dinamômetro de rolo, segundo a norma ABNT NBR 6601.21 A Tabela 8 apresenta os dados do veículo utilizado para determinação das emissões de COV.

 

 

As emissões, em mg COV km-1, determinadas para esse veículo foram multiplicadas pela escala MIR obtida em Bangu para calcular o quanto de O3 é emitido por km percorrido pelo automóvel. A Tabela 9 apresenta os resultados obtidos. Vale ressaltar que a escala MIR, dada em ppb O3 ppbC-1 COV, foi convertida para mg O3 mg-1 COV multiplicando pela razão entre a massa molar do O3 e a massa molar do COV. Além disso, foram separadas as emissões de p-xileno e m-xileno na Tabela 9 e as emissões de isopreno, um dos 20 principais precursores determinados pelo autor, não estão presentes na tabela por ele ser uma classe de terpenos emitidos somente pela vegetação.

 

 

Com base na Tabela 9, o potencial de formação de O3 do veículo ao totalizar os 20 principais COV é de 9,421 mg O3 km-1. Esse resultado pode ser comparado com a escala MIR dos EUA que a Resolução CONAMA No. 4925 recomenda para o cálculo do potencial de formação de O3.

A Tabela 10 apresenta os resultados com base na escala MIR de Carter14 para as mesmas emissões de COV do veículo. Conforme a Tabela 10, o potencial de formação de O3 calculado é de 136,608 mg O3 km-1. Desse modo, nota-se uma diferença de mais de 127 mg O3 km-1 entre os resultados. Os COV que mais impactam no elevado potencial de formação de ozônio obtido pela escala MIR de Carter14 são o tolueno, 1-buteno e 1,2,4-trimetilbenzeno e juntos representam mais de 50% das emissões de O3 km-1 determinados por essa escala.

 

 

Com relação as similaridades envolvendo as escalas MIR obtidas pelo autor e por Carter,14 os COV que apresentam valores de emissão de O3 mais próximas são o isobutano, etilbenzeno e butano. Porém, ambos os COV apresentam valores de emissão negativas, segundo escala obtida pelo autor, enquanto que a escala MIR de Carter14 possui valores positivos de emissão.

Os fatores que podem justificar essa grande divergência dos resultados encontrados por essas duas escalas são as condições meteorológicas dos EUA e do Brasil que são distintas, além da tecnologia embarcada dos motores, a deteriorização da frota, a topografia, as diferenças nos combustíveis, que afetam o processo de formação de ozônio.

Além disso, para fins de comparação a Tabela 11 apresenta os resultados do potencial de formação de O3 utilizando as escalas MIR obtidas por Orlando et al.15 no período de outono e inverno de 2006 na Cidade Universitária em SP e por Nova20 no bairro da Gávea no RJ no inverno de 2011 para esses mesmos COV. Deve-se levar em consideração que ambas as escalas presentes na Tabela 11 não apresentam as reatividades incrementais para todos os 20 COV. Com isso, o potencial de formação de ozônio é de 1,951 mg O3 km-1 no período de outono e 0,303 mg O3 km-1 no período de inverno para as escalas MIR obtidas por Orlando et al.15 e 42,727 mg O3 km-1 para a escala MIR obtida por Nova.20

 

 

Desse modo, percebe-se que o potencial de formação de ozônio obtido pelo autor está mais próximo dos resultados determinados por essas três escalas MIR da Tabela 11 do que os resultados obtidos pela escala MIR de Carter14 da Tabela 10. Isso pode ser justificado principalmente pela quantidade de COV identificados e a massa de COV quantificada nesses lugares, além das condições meteorológicas que foram determinadas, as reatividades dos COV e da similaridade dos veículos e combustíveis. Carter14 realizou vários experimentos para determinar sua escala MIR enquanto o autor utilizou os dados de especiação de COV de apenas quatro dias de amostragem e as emissões de um único veículo sendo que a frota veicular é muito mais diversa.

As escalas MIR nas quais os potenciais de formação de ozônio que mais se aproximaram dos resultados obtidos pelo autor foram, na seguinte ordem: MIR Outono de Orlando et al.,15 MIR Inverno de Orlando et al.,15 MIR de Nova20 e MIR de Carter.14

 

CONCLUSÕES

O presente trabalho determinou a escala MIR dos 20 COV mais representativos com base nos dados de especiação de COV e os que mais impactam na formação de ozônio são os aromáticos 1,2,4-trimetilbenzeno e 1-etil-4-metilbenzeno e a olefina trans-2-buteno.

Assim, eles são compostos cujas reduções nas emissões desses poluentes contribuiriam mais para uma redução do potencial de emissão de ozônio de um veículo, além de servir como uma contribuição para a reformulação dos combustíveis utilizados no Brasil que, segundo a Resolução No. 807 da ANP,22 os limites máximos da gasolina comum tipo C pode ter até 25% de olefinas e 35% de compostos aromáticos. Esses dados podem ser usados como referência para a formulação de legislações futuras que desejam diminuir de forma eficaz os COV que mais influenciam na formação de ozônio.

De posse da escala MIR, foi determinado o potencial de formação de ozônio com base nas emissões de COV de um automóvel leve e verificou-se que o potencial de formação de ozônio obtido pela MIR calculada para Bangu foi muito inferior ao comparar com a escala MIR de Carter14 utilizada nos EUA, recomendada pela Resolução CONAMA No. 492.5 Entretanto, esse resultado determinado pelo autor esteve mais próximo dos valores obtidos ao comparar com outras três escalas MIR de autores nacionais que se basearam nas condições meteorológicas de São Paulo e Rio de Janeiro.

Além disso, resultados similares teriam sido obtidos caso o período de estudo não tivesse sido realizado durante a pandemia, pois o modelo OZIPR é dependente de vários fatores, tais como: as taxas de emissões horárias de CO, NOx e COV totais, especiação dos COVs na mistura de ar, dados meteorológicos, altura da camada de mistura, localização geográfica, cobertura de nuvens e coeficientes de deposição seca e úmida. Assim, a pandemia teria uma influência mais significativa na redução das taxas de emissões horárias de CO e O3, mas o comportamento das taxas de emissões desses poluentes ao longo do dia seria similar as apresentadas para o ajuste do modelo.

Portanto, este trabalho ressalta a necessidade de se determinar a escala de reatividade de COV para cada região de interesse, pois as condições meteorológicas, os dados de especiação de COV na mistura de ar e a razão COV/NOx podem variar bastante conforme a região estudada, levando na obtenção de escalas de reatividades distintas que resultarão em diferentes valores de emissão de O3 km-1 por um veículo.

Como sugestões de melhoria para trabalhos futuros incluem o aumento do número de amostragens de COV para se ter uma base de dados mais consistente e a inclusão da especiação das carbonilas que não foi realizada na campanha de amostragem conduzida em Bangu. Por fim deve-se considerar que a escala MIR nacional deve ser pensada como uma média de vários estudos em diferentes localidades, com perfis distintos, em diferentes épocas do ano.

 

REFERÊNCIAS

1. Companhia Ambiental do Estado de São Paulo (CETESB), Emissão Veicular, https://cetesb.sp.gov.br/veicular/, acessado em Julho 2024.

2. Companhia Ambiental do Estado de São Paulo (CETESB), Qualidade do Ar, https://cetesb.sp.gov.br/ar/poluentes/, acessado em Julho 2024.

3. Conselho Nacional do Meio Ambiente (CONAMA); Resolução No. 491, de 19 de novembro de 2018, Dispõe sobre Padrões de Qualidade do Ar; Diário Oficial da União (DOU), Brasília, No. 223, de 21/11/2018, p. 155. [Link] acessado em Julho 2024.

4. Ministério do Meio Ambiente (MMA), Emissões Veiculares, https://antigo.mma.gov.br/mma-em-numeros/emissoes-veiculares.html, acessado em Julho 2024.

5. Conselho Nacional do Meio Ambiente (CONAMA); Resolução No. 492, de 20 de dezembro de 2018, Estabelece as Fases PROCONVE L7 e PROCONVE L8 de Exigências do Programa de Controle da Poluição do Ar por Veículos Automotores - PROCONVE para Veículos Automotores Leves Novos de Uso Rodoviário, Altera a Resolução CONAMA No. 15/1995 e dá outras Providências; Diário Oficial da União (DOU), Brasília, No. 246, de 24/12/2018, p. 141. [Link] acessado em Julho 2024.

6. Data.Rio, Dados Horários do Monitoramento da Qualidade do Ar - MonitorAr, https://www.data.rio/datasets/PCRJ::dados-hor%C3%A1rios-do-monitoramento-da-qualidade-do-ar-monitorar/explore, acessado em Junho 2024.

7. Geraldino, C. G. P.; Arbilla, G.; da Silva, C. M.; Corrêa, S. M.; Martins, E. M.; Environ. Monit. Assess. 2020, 192, 156. [Crossref]

8. Geraldino, C. G. P.; Martins, E. M.; da Silva, C. M.; Arbilla, G.; Bull. Environ. Contam. Toxicol. 2017, 98, 632. [Crossref]

9. Rio Prefeitura, Bangu: o Centro Geográfico do Rio de Janeiro, http://www.multirio.rj.gov.br/index.php/reportagens/653-bangu-o-centro-geografico-do-rio-de-janeiro, acessado em Julho 2024.

10. Google Maps, Bangu, https://www.google.com/maps/place/Bangu,+Rio+de+Janeiro+-+RJ/@-22.9005516,-43.5644346,11.75z/data=!4m6!3m5!1s0x9be006a3cb9ebf:0xeb7f908d0ebabb4a!8m2!3d-22.8741734!4d-43.4686006!16zL20vMGNwNWNm?entry=ttu, acessado em Julho 2024.

11. Secretaria Municipal de Meio Ambiente da Cidade (SMAC); Qualidade do Ar na Cidade do Rio de Janeiro - Relatório da Rede MonitorAr-Rio, 2011-2012; Prefeitura da Cidade do Rio de Janeiro: Rio de Janeiro, 2011-2012. [Link] acessado em Julho 2024.

12. Tonnesen, G. S.; User's Guide for Executing OZIPR, version 2.0; U.S.EPA, North Caroline, USA, 2000.

13. Gery, M. W.; Crouse, R. R.; User's Guide for Executing OZIPR; Atmospheric Research Associates, Inc.: Boston, 1991. [Link] acessado em Julho 2024.

14. Carter, W. P. L.; Atmos. Environ. 2010, 44, 5324. [Crossref]

15. Orlando, J. P.; Alvim, D. S.; Yamazaki, A.; Corrêa, S. M.; Gatti, L. V.; Sci. Total Environ. 2010, 408, 1612. [Crossref]

16. United States Environmental Protection Agency (US EPA); Method TO-15A: Determination of Volatile Organic Compounds (VOCs) in Air Collected in Specially Prepared Canisters and Analyzed by Gas Chromatography-Mass Spectrometry (GC-MS); US EPA, USA, 2019. [Link] acessado em Julho 2024.

17. Ventura, L. M. B.; Pinto, F. O.; Inventário de Emissões de Fontes Veiculares: Região Metropolitana do Rio de Janeiro; Instituto Estadual do Ambiente (INEA): Rio de Janeiro, 2016. [Link] acessado em Junho 2024.

18. Seinfeld, J. H.; Pandis, S. N.; Atmospheric Chemistry and Physics: From Air Pollution to Climate Change, 3rd ed.; Wiley: New York, 2016.

19. Finlayson-Pitts, B. J.; Pitts Jr, J. N.; Chemistry of the Upper and Lower Atmosphere: Theory, Experiments, and Applications, 1st ed.; Academic Press: San Diego, 1999.

20. Nova, S. D. V.: Estudo dos Compostos Reduzidos de Enxofre na Formação do Ozônio Troposférico na Cidade do Rio de Janeiro; Tese de Mestrado, Universidade do Estado do Rio de Janeiro, Rio de Janeiro, Brasil, 2012. [Link] acessado em Julho 2024.

21. ABNT NBR 6601: Veículos Rodoviários Automotores Leves - Determinação de Hidrocarbonetos, Monóxido de Carbono, Óxidos de Nitrogênio, Dióxido de Carbono e Material Particulado no Gás de Escapamento; Rio de Janeiro, 2005.

22. Agência Nacional de Petróleo, Gás Natural e Biocombustíveis (ANP); Resolução ANP No. 807, de 23.01.2020, DOU 24.01.2020- Retificada DOU 27 de janeiro de 2020, Estabelece a Especificação da Gasolina de Uso Automotivo e as Obrigações quanto ao Controle da Qualidade a Serem Atendidas pelos Agentes Econômicos que Comercializarem o Produto em Todo o Território Nacional; ANP: Rio de Janeiro, 2020. [Link] acessado em Julho 2024.

 

Editor Associado responsável pelo artigo: Cassiana C. Montagner

On-line version ISSN 1678-7064 Printed version ISSN 0100-4042
Qu�mica Nova
Publica��es da Sociedade Brasileira de Qu�mica
Caixa Postal: 26037 05513-970 S�o Paulo - SP
Tel/Fax: +55.11.3032.2299/+55.11.3814.3602
Free access

GN1