JBCS



17:12, sáb out 25

Acesso Aberto/TP



Artigo

Conversion rate control of TiCl4 hydrolysis to prepare nano TiO2

Qianjun LeI; Shengfei YuI,*; Wusheng LuoII

I. School of Chemistry and Chemical Engineering, Central South University of Forestry and Technology, 410004 Changsha, China
II. School of Mechanical and Intelligent Manufacturing, Central South University of Forestry and Technology, 410004 Changsha, China

Received: 12/08/2023
Accepted: 07/08/2024
Published online: 09/06/2024

Endereço para correspondência

*e-mail: yushengfei503@sina.com

RESUMO

In the water/triethanolamine/ethanol system, TiCl4 aqueous solution is used as the precursor to regulate the conversion rate of TiCl4 by changing the reaction temperature, water volume, pH value, and ethanol amount. The experiment uses a single-factor method to investigate the dynamic relationship between Ti4+ concentration and time under various factors, thereby achieving controllable TiO2 production. The experimental results showed that under a single factor, the conversion rate showed a trend of first steep and then slow growth within 180 min. After 180 min, the conversion rate tended to stabilize. Considering various factors, it was found that VTiCl4:VC6H15NO3:VH2O:VC2H5OH = 1:6:15:30, pH = 7, reaction time at room temperature was 4 h, and the hydrolysis effect was good. The final conversion rate was 90.46%, and the hydrolysis reaction conforms to the first-order reaction equation. Kinetic parameters: pre-factor (A) = 0.107, activation energy (Ea) = 4488.65 J mol-1.

Palavras-chave: TiCl4; hydrolysis; TiO2; reaction kinetics.

INTRODUCTION

Titanium dioxide (TiO2) is highly sought after due to its unique physical properties, such as good chemical stability, high refractive index, hydrophilicity, and strong oxidizing properties. It has applications in a variety of industries, including chemical sensors,1 ultraviolet (UV) resistance,2 photocatalysis,3 and shading agents for inks,4 corrosion-resistant coatings,5 antibacterial agents,6 etc. China, being the largest producer of TiO2 in the Asia Pacific region, accounted for 57.6% of the production from 2016 to 2019.7 It is hence crucial for China to increase its production capacity and optimize the production process.

The hydrolysis method, using TiCl4 as the titanium source, is the preferred method for TiO2 mass-production due to its simplicity, low pollution, and energy consumption, as well as the stability of the product.8 TiO2 can be prepared under simple experimental conditions, making it the preferred method for large-scale production of TiO2. Researchers such as Esser et al.9 have used density functional theory to simulate the molecular dynamics of the process, observing a significant competition between the effluent and TiCl4. Yan et al.10 established a fitting equation for the hydrolysis process of TiCl4 to prepare TiO2. However, studies focusing on the hydrolysis of TiCl4 itself and the impact of varying factors on the conversion rate are scarce.

In most cases, NaOH or ammonia is used as a catalyst in the hydrolysis of TiCl4, but this often leads to rapid reaction and challenges to controlling particle size. This study, therefore, employs a TiCl4 aqueous solution as the precursor, with triethanolamine as the catalyst and ethanol as the inhibitor. We have investigated the effects of reaction temperature, water volume, pH value, and ethanol amount on the conversion rate of Ti4+ and studied the kinetics of TiCl4 hydrolysis. We have explored the kinetic behavior of TiCl4 hydrolysis to provide reference for achieving controllable TiO2 production.

 

EXPERIMENTAL

Materials

The chemicals used were: TiCl4 (purity of 98%, Tianjin Fengchuan Chemical Reagent Technology Co., Ltd., Tianjin, China); C6H15NO3 (purity of 99%, Xilong Technology Co., Ltd., Shanghai, China); C2H5OH (purity of 99.5%, Tianjin Fuyu Fine Chemical Co., Ltd., Tianjin, China); H2O2 (GR 30 wt.% in H2O, Shandong Puhui Differentiation Science and Technology Co., Ltd., Tianjin, China).

Method for preparing TiO2 by hydrolysis of TiCl4

Mix 15 mL of deionized water with 30 mL of C2H5OH into a 250 mL three-necked flask, add different volumes ranging from 0.6 to 1.5 mL of TiCl4, and stir at room temperature for 30 min. Add 6 mL of C6H15NO3 dropwise at a rate of 0.2 mL min-1 in a water bath with temperature ranging from 4 to 50 ºC stirring while dripping (DF-101S collector type magnetic stirrer manufactured by Gongyi Yuhua Instrument Co., Ltd., Gongyi, China). After 4 h of reaction, transfer the suspension into a beaker and let it stand for 12 h, then filter and wash it. The solid product obtained after filtration and washing is placed in a 60 ºC drying oven (101-OAB type, manufactured by Tianjin Taist Instrument Co., Ltd., Tianjin, China) and dried for 24 h to obtain TiO2 powder.

Characterization

Measurement method for Ti4+ concentration: The H2O2 colorimetric method (GB/T 36084-2018)11 is used to measure the absorbance of Ti4+ in the sample at a wavelength of 400 nm using a UV-visible spectrophotometer (GZX-9076MBE, Beijing Puxi General Instrument Co., Ltd.). The resolution in the UV-visible region is less than 0.05 nm, and the concentration of Ti4+ in the sample is calculated using the Beer Lambert law. The calculation formula is shown in Equation 1:

where: A is the absorbance (Abs), K is the molar absorption coefficient, c is the concentration of Ti4+ (mol L-1), and b is the thickness of the absorption layer (cm).

Determination method of Ti4+ concentration

A concentration of 10 µg mL-1 was prepared using a 1000 ppm titanium standard solution. Various concentrations of 10, 20, 30, 40, 50, and 52 µg mL-1 were derived from this solution and used for the experiment. The solution's absorbance were measured at a wavelength of 400 nm using the H2O2 colorimetric method.11 The data collected was used to plot the standard working curve of Ti4+, as displayed in Figure 1. The reaction solution was tested at different time intervals, specifically at 10, 30, 60, 120, 180, and 240 min, in three-necked flasks. Two samples were taken each time to ensure accuracy. The average of the absorbance measurements from each pair of samples was taken and substituted into the characterization curve. As shown in Figure 1, there is a linear relationship between the absorbance (Abs) and the concentration of in the range of 10-52 µg mL-1. The relationship can be described by the equation y = 0.0189x – 0.0099. The linear fitting coefficient R2 = 0.9979 indicates a high level of accuracy in the fit. This rigorous method of data collection and analysis ensures a comprehensive understanding of the reaction kinetics.

 

 

Calculation of the conversion rate (r), measure the Ti4+ concentration in the system at the beginning and time t of the reaction, and calculate the conversion rate according to Equation 2:

where: r is the conversion rate, C0 is the initial concentration of Ti4+, and Ct is the Ti4+ concentration at time t.

 

RESULTS AND DISCUSSION

The influence of reaction temperature on conversion rate

The impact of reaction temperature on the conversion rate of TiCl4 was studied under the conditions of VTiCl4:VC6H15NO3:VH2O:VC2H5OH = 1:6:15:30, pH = 7, and a reaction time of 4 h, with temperatures ranging from 4 to 50 ºC. The results, as shown in Figure 2, revealed a trend in the conversion rate to increasing steeply at the beginning, slowing growth in the middle, and finally reaching a plateau. In the first 60 min, the conversion rate spiked due to the high concentration of TiCl4. However, as the reaction progressed, the concentration of titanium ions in the solution decreased, causing a slowdown in the conversion rate increase. The conversion rate ultimately stabilized after 180 min, at which point the hydrolysis had reached its peak. An increase in temperature accelerated the liquid-solid conversion rate of TiCl4 hydrolysis to TiO2. At a reaction temperature of 4 ºC, the exothermic nature of the hydrolysis reaction induced heat exchange between the low-temperature water bath and the device, fostering the growth and aggregation of TiO2 crystals. This made the aqueous solution increasingly viscous, inhibiting hydrolysis and leading to a decrease in conversion rate. However, when the reaction temperature rose to 25 ºC or higher, the extent of TiCl4 hydrolysis increased, and the final conversion rate also exceeded 90%. The highest final conversion rate, 91.49%, was observed at a reaction temperature of 40 ºC. At a reaction temperature of 50 ºC, the accelerated crystal growth rate due to high temperature facilitated the growth and aggregation of TiO2 crystals. This led to the precipitation of many crystals, which inhibited hydrolysis and reduced the conversion rate.

The effect of water addition on the conversion rate

 

 

The influence of water addition on the conversion rate of TiCl4 was examined under the following conditions: VTiCl4:VC6H15NO3:VC2H5OH = 1:6:30, pH = 7, a reaction temperature of 25 ºC, and a reaction time of 4 h. The results are illustrated in Figure 3. It can be observed from Figure 3 that when VTiCl4:VH2O remains constant, the conversion rate first escalates steeply, then increases at a slower pace, and finally plateaus. During the initial 60 min, the conversion rate accelerates rapidly due to the high concentration of TiCl4. As the reaction proceeds, the depletion of titanium ions leads to a decrease in concentration, which in turn causes the conversion rate to increase at a slower pace. After 180 min, the conversion rate stabilizes, indicating the maximum degree of hydrolysis has been reached. As the amount of water increases, there is a corresponding gradual increase in the conversion rate. At VTiCl4:VH2O = 1:10, the conversion rate is low due to the high concentration of TiCl4, which is not fully hydrolyzed because of insufficient water. However, adding more water enhances the hydrolysis process by increasing the amount of reactant H2O, hence promoting the hydrolysis of TiCl4. The most comprehensive hydrolysis is observed at VTiCl4:VH2O = 1:25, where the final conversion rate peaks at 91.95%.

 

 

The influence of pH value on conversion rate

The hydrolysis degree of TiCl4 progressively increases, and the conversion rate linearly ascends. However, once the reaction time exceeds 60 min, the pH values of 3, 4, and 5 see the conversion rate start to stabilize. As the pH value surpasses 6, the conversion rate resumes its gradual increase. Figure 4b shows that the continuous addition of C6H15NO3 leads to a steady increase in the system's pH. When the pH value is over 7, the conversion rate remains largely consistent for the first 40 min. After this point, the conversion rates at pH 7 and 8 continue to dramatically increase, while the rates at pH 9, 10, and 11 see a much slower increase. Interestingly, despite the increase in OH- concentration in the water, the conversion rate decreases. When the pH value is 7, the peak conversion rate of 90.46% is achieved. This can be explained by the fact that in acidic systems, the lower the pH and higher the H+ concentration, the TiCl4 hydrolysis reaction is increasingly inhibited, and fewer TiO2 grains precipitate from the solution. Concurrently, H+ reacts with the dehydrated and condensed OH- of the titanium hydroxyl complex, encouraging the condensation reaction and reducing the conversion rate. As more C6H15NO3 is added, the system's pH increases, counteracting the H+ generated by the hydrolysis reaction. This leads to an enhanced hydrolysis degree of TiO2 precursor and a heightened condensation reaction rate. However, when the pH is high, the elevated OH- concentration in the water intensifies the hydrolysis of TiCl4, leading to further precipitation of TiO2 grains. At the same time, OH- inhibits the condensation reaction, slowing the growth rate of TiO2 grains. In this circumstance, the quickly generated TiO2 grains tend to cluster on the original particles, increasing the solution's viscosity and reducing the conversion rate.

 

 

The effect of ethanol addition on the conversion rate

We investigated the impact of ethanol addition on the conversion rate of TiCl4 under the conditions of VTiCl4:VC6H15NO3:VH2O =1:6:15, pH = 7, a reaction temperature of 25 ºC, and a reaction time of 4 h yielded some key insights. As depicted in Figure 5, the conversion rate displayed a trend of initial rapid growth, followed by a slower increase, and ultimately stabilization. This pattern can be attributed to the high concentration of TiCl4 in the first 60 min, leading to a swift increase in the conversion rate. As the reaction progressed, however, the concentration of titanium ions in the solution decreased, causing the conversion rate growth to decelerate. After 180 min, the conversion rate plateaued. At this stage, the hydrolysis degree had reached its maximum. Interestingly, when VTiCl4:VC2H5OH was constant at 1:25-35, all final conversion rates reached 90%. The highest final conversion rate of 90.46% was observed when VTiCl4:VC2H5OH was 1:30, which corresponded to the maximum hydrolysis degree of TiCl4. However, when VTiCl4:VC2H5OH was 1:20, the low ethanol content had no significantly inhibition on the hydrolysis reaction. Moreover, the ethanol quickly evaporated due to the exothermic hydrolysis, accelerating hydrolysis, and promoting rapid crystal growth and aggregation. This rapid transformation made the solution viscous, thereby inhibiting further hydrolysis and leading to a decreased conversion rate. On the other hand, when VTiCl4:VC2H5OH was 1:40, the excessive ethanol content overly inhibited the hydrolysis reaction, resulting in a decreased hydrolysis degree and a consequent drop in the conversion rate.

 

 

Dynamics of TiCl4 hydrolysis to prepare TiO2

The kinetic equation for the preparation of TiO2 by room temperature hydrolysis of TiCl4

In the TiCl4 hydrolysis reaction, the rate (or conversion rate) of Ti4+ hydrolysis follows the power function relationship shown in Equation 3:12

where: is the rate (or conversion rate) of Ti4+ hydrolysis reaction, t is the reaction time (min), Ct is the concentration of Ti4+ at time t, and k1 is the reaction rate constant, and α is the reaction order.

Under different reaction orders, different reaction rate equations can be obtained from Equation 3.

When α = 1 h:

When α ≠ 1 h:

Under the conditions of reaction temperature of 25 ºC, VTiCl4:VC4H15NO3:VH2O:VC2H5OH = 1:6:15:30, and pH value of 7, the C values at different times were measured. Substituting into the reaction rate equations 4 or 5 yields the relationship curve between and t is shown in Figure 6.

 

 

From Figure 6, the reaction order increases from 0.5 to 3. Only when the reaction order is 1 (as shown in Figure 6b), R2 reaches 98.29%, with extremely high correlation. Currently, the linear correlation is the best and much higher than the R2 values under other orders. When the reaction order is 0.5 and 3, R2 just exceeds 90%, with good linear correlation, indicating that there may be these two orders in the hydrolysis reaction, while the other orders are all below 90%, with poor correlation. Therefore, the reaction of TiCl4 hydrolysis to prepare nano TiO2 with α = 1 is a first-order reaction, which is consistent with the first-order reaction kinetics equation obtained by Fang12 regarding the relationship between and time. The exponential function dynamics equation is.

The influence of temperature on the reaction rate constant k

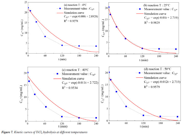
Measure at different times at different temperatures (4, 25, 40, and 50 ºC) then substitute into Equantion 4 to obtain the kinetic curves at different reaction temperatures, as shown in Figure 7.

 

 

As shown in Figure 7, as the reaction temperature increases from 4 to 50 ºC, the reaction rate constant k increases from 0.0083 to 0.012, and the reaction rate becomes faster and faster. This indicates that temperature has a promoting effect on hydrolysis. The higher the temperature, the higher the incoming energy, and the faster the molecular movement, thereby promoting hydrolysis. This is consistent with the trend predicted by the Arrhenius equation, that is, an increase in temperature will lead to an increase in reaction rate.

The kinetic parameters of TiCl4 hydrolysis to prepare TiO2

According to Arrhenius equation, the relationship between reaction rate constant k and reaction temperature T is consistent with equation 6:

where: k is the reaction rate constant (1), A is the pre-exponential factor, Ea is the activation energy (J mol-1), R is a constant of 8.314 J mol K-1, and T is the reaction temperature (K).

Substitute the reaction rate constant at 4-50 ºC into Equation 6 to create the k-T curve, as shown in Figure 8.

 

 

As shown in Figure 8, the linear fitting coefficient R2 = 0.9757 indicates a good linear fit. By fitting the equation , the pre-exponential factor A is 0.107, and the activation energy Ea is 4488.65 J mol-1.

 

CONCLUSIONS

The conversion rate under a single factor displays a trend of sharp increase, followed by slower growth within the span of 180 min. After 180 min, the conversion rate appears to stabilize. At temperatures ranging from 4-50 ºC, the final conversion rate peaks, with the highest rate of 91.49% observed at 40 ºC. When examining the ratios of VTiCl4 to VH2O from 1:10 to 1:25, it is observed that the final conversion rate increases proportionally with the amount of water. The highest final conversion rate of 91.95% is achieved when the ratio of VTiCl4 to VH2O is 1:25. In terms of pH values, the final conversion rate peaks within the range of 3-11. The highest final conversion rate, 90.46%, is observed at a pH value of 7. In the ratios of VTiCl4 to VC2H5OH from 1:20 to 1:40, the final conversion rate reaches its maximum point. The highest final conversion rate of 90.46% is achieved when the ratio of VTiCl4 to VC2H5OH is 1:30. Considering all these factors, it can be concluded that the optimal hydrolysis effect is achieved at the following conditions: VTiCl4:VC6H15NO3:VH2O:VC2H5OH = 1:6:15:30, pH = 7, and a reaction time of 4 h at room temperature. Under these conditions, the final conversion rate is 90.46%. The hydrolysis reaction follows the first-order reaction kinetics, with kinetic parameters being a pre-exponential factor A of 0.107, and an activation energy Ea of 4488.65 J mol-1. These findings provide a comprehensive understanding of the optimal conditions for maximizing the conversion rate.

 

ACKNOWLEGMENTS

Natural Science Foundation of Hunan Province, grant number 2022JJ31008. This research was funded by Key Project of Education Department of Hunan Province, grant number 19A521 and Special Project of Department of Science and Technology of Guangdong Province, grant number GDKTP2020019900.

 

REFERENCES

1. Yu, M.; Wu, L.; Miao, J.; Wei, W.; Liu, A.; Liu, S.; Anal. Chim. Acta 2019, 1080, 84. [Crossref]

2. Liang, F.; Fan, Y. J.; Kuang, S. Y.; Wang, H. L.; Wang, Y.; Xu, P.; Wang, Z. L.; Zhu, G.; Adv. Mater. Technol. 2020, 5, 1900976. [Crossref]

3. Jeon, J. P.; Kweon, D. H.; Jang, B. J.; Ju, M. J.; Baek, J. B.; Adv. Sustainable Syst. 2020, 4, 2000197. [Crossref]

4. Bugakova, D.; Slabov, V.; Sergeeva, E.; Zhukov, M.; Vinogradov, A. V.; Colloids Surf., A 2020, 586, 124146. [Crossref]

5. Pourhashem, S.; Duan, J.; Guan, F.; Wang, N.; Gao, Y.; Hou, B.; J. Mol. Liq. 2020, 317, 114214. [Crossref]

6. Raeisi, M.; Kazerouni, Y.; Mohammadi, A.; Hashemi, M.; Hejazi, I.; Seyfi, J.; Khonakdar, H. A.; Davachi, S. M.; Int. J. Biol. Macromol. 2021, 171, 158. [Crossref]

7. Qianxun (Beijing) Information Consulting Co., LTD, China Titanium Dioxide Industry Development Prospect Report [M], in chinese, https://www.qianinfo.com/report/1/3542258.html, accessed in September 2024.

8. Fu, Y.; Han, B.; Wang, J.; Liu, Y.; Liu, Z.; J. Inf. Rec. Mater. 2022, 23, 5. [Link] accessed in August 2024

9. Esser, L.; Macchieraldo, R.; Elfgen, R.; Sieland, M.; Smarsly, B. M.; Kirchner, B.; Molecules 2021, 26, 79. [Crossref]

10. Yan, P.; Zhang, Y.; Zheng, S.; China Particuol. 2024, 84, 60. [Crossref]

11. GB/T 36084-2018: Nanotechnology-Determination of Copper, Manganese and Chromium Ions in Aqueous Solution-Ultraviolet-Visible Spectrophotometry, China Standards in English: China, 2018. [Link] accessed in August 2024

12. Fang, X. M.: Study on Preparation of Nanometer TiO2 Powders by Hydrolysis of TiCl4 Aqueous Solution; PhD Thesis, South China University of Technology, Guangzhou, China, 2002. [Link] accessed in September 2024

 

Associate Editor handled this article: Marcela M. Oliveira

On-line version ISSN 1678-7064 Printed version ISSN 0100-4042
Qu�mica Nova
Publica��es da Sociedade Brasileira de Qu�mica
Caixa Postal: 26037 05513-970 S�o Paulo - SP
Tel/Fax: +55.11.3032.2299/+55.11.3814.3602
Free access

GN1