JBCS



20:42, sáb out 25

Acesso Aberto/TP



Artigo


Computação quântica em química
Quantum computing in chemistry

Caio M. PortoI; Matheus S. FonsecaII; Guilherme de S. T. MoraisI; Celso J. Villas-BoasII; Rene A. NomeI; Nelson H. MorgonI,*

I. Instituto de Química, Universidade Estadual de Campinas (UNICAMP), 13083-970 Campinas - SP, Brasil
II. Departamento de Física, Universidade Federal de São Carlos (UFSCar), 13565-905 São Carlos - SP, Brasil

Recebido: 06/06/2024
Aceito: 10/09/2024
Publicado online: 14/11/2024

Endereço para correspondência

*e-mail: nhmorgon@unicamp.br

RESUMO

Quantum computing offers transformative potential for quantum chemistry, enabling the exploration of complex molecular simulations with unprecedented accuracy. By leveraging qubits and powerful quantum algorithms like the variational quantum eigensolver (VQE) and quantum phase estimation (QPE), quantum computing provides a novel approach to unraveling the intricacies of electronic structures and properties of molecules. While challenges persist in qubit stability and error mitigation, continuous innovation is fostered by collaborative efforts between the quantum computing and chemistry communities. These collaborations pave the way for groundbreaking advancements in drug discovery and materials science. This research employed quantum computing simulators to investigate the potential energy surface (PES) of the H2 molecule at the CCSD/STO-3G level of theory. These simulators, leveraging qubits and sophisticated algorithms, facilitated the acquisition of detailed information regarding the electronic structure, bonding mechanisms, and spectroscopic properties of the diatomic molecules.

Palavras-chave: quantum computing; quantum chemistry; diatomic molecules.

INTRODUÇÃO

A computação, ao longo das últimas décadas, tem possibilitado importantes avanços tecnológicos e científicos, impactando inovações que transformam o modo de vida, através da interação com o mundo digital. A computação clássica (ou digital) tem sido capaz de realizar tarefas complexas, desde processamento de dados até modelagem matemática e simulações - incluindo sistemas atômicos e moleculares diversos. No entanto, à medida que a complexidade dos problemas aumenta, os limites dessa computação começam a se tornar mais evidentes. É onde entra essa nova revolução que está prestes a acontecer, da computação quântica.1 Graças a uma iniciativa global, o ano de 2025 deverá ser promulgado como o Ano Internacional das Ciências e Tecnologias Quânticas na Conferência Geral da Organização das Nações Unidas para a Educação, a Ciência e a Cultura (UNESCO) e na Assembleia Geral das Nações Unidas de 2024.2 Um dos objetivos é celebrar os impactos científicos, tecnológicos e culturais da Teoria Quântica nos últimos 100 anos. Além disso, pretende-se divulgar o potencial tremendo da nova onda de tecnologias quânticas para transformar a sociedade através de sensoriamento, comunicações e computação quântica.

Para se ter uma ideia desse avanço, uma busca simples na base de dados da Scopus3 para os termos "Quantum Computing" ou "Quantum Computer" forneceu quase 19.000 documentos (10.900 artigos), sendo o primeiro de 1989. Restringindo essa busca para artigos na área de química são aproximadamente 760. O pioneiro em 1999 explora o fato de um computador quântico ser construído a partir de spins nucleares em uma rede cristalina de monofosfeto de terras raras (CeP), onde o spin de um núcleo de 31P pode ser usado para representar um qubit com um tempo de relaxação relativamente longo.4 O único artigo escrito em português é de Lino e Ramalho,5 de 2018, que explora conceitos de informação quântica e parâmetros de ressonância magnética nuclear. O termo qubit aparece na revista Química Nova no artigo de Morgon,6 de 2013, onde relata-se que "o conceito de quantum dots tem sido relevante no estudo de sistemas com aplicações em transistores, células solares, LEDs (do inglês, light emitting diode), lasers de diodo e com perspectiva como qubits em computação quântica".

Imagine um computador que desafia a lógica tradicional e pode resolver problemas que os computadores atuais jamais conseguiriam. Isso é o que a computação quântica vislumbra, uma área emergente da ciência da computação que utiliza os princípios da teoria quântica para abordar problemas de complexidade crescente. A chave para entender a computação quântica está nos qubits. Diferentemente dos bits tradicionais (valores de 0 ou 1), os qubits podem ser 0, 1 ou ambos ao mesmo tempo com diferentes pesos do 0 e do 1, um estado denominado de superposição quântica. Tal peculiaridade permite que os computadores quânticos explorem um número muito maior de possibilidades para o registro da informação, realizando cálculos exponencialmente mais rápidos que os computadores clássicos. Ainda estamos no início do desenvolvimento da computação quântica, mas as aplicações potenciais são muitas e podem revolucionar diversas áreas: medicina - no desenvolvimento de novos medicamentos, na ciência de materiais, em finanças, na criptografia, entre outras. A computação quântica deverá contribuir para alcançar os Objetivos do Desenvolvimento Sustentável, da Agenda 2030 da ONU (Organização das Nações Unidas).7 Na área da química, por exemplo, ela tem o poder de revolucionar a forma como entendemos as interações moleculares e acelerar a descoberta de novos materiais e medicamentos, através de simulações precisas de moléculas complexas.8-12 Neste processo de transformação digital, a convergência entre a computação digital e quântica está moldando um futuro promissor, onde desafios previamente intratáveis podem se tornar realizações possíveis. No entanto, não obstante os avanços no controle e manipulação de sistemas quânticos, essa revolução não está isenta de desafios técnicos e teóricos significativos. A fidelidade na inicialização dos estados dos qubits, sua estabilidade, sua escalabilidade, longos tempos de decoerência, um conjunto universal de portas lógicas quânticas, melhoria da capacidade de medição de qubits específicos e a mitigação de erros são questões que os cientistas e engenheiros estão enfrentando para torná-la uma realidade prática e acessível.13

Cronologia da computação

Nesse breve histórico cronológico da computação serão citados os fatos mais relevantes, embora haja muita literatura no assunto com uma abordagem mais rigorosa.14,15 A ideia é oferecer uma visão geral da evolução da computação digital ao longo do tempo e como a tecnologia da informação continua a se desenvolver e impactar nossa sociedade de maneiras profundas e transformadoras.

Década de 1930: Alan Turing, em 1936, propõe o conceito de uma "máquina universal", ideia precursora do computador digital programável.

Década de 1940: em 1941, Konrad Zuse desenvolve a Z3, considerada o primeiro computador digital e programável do mundo. Colossus é construído no Reino Unido em 1943 para quebrar códigos nazistas. Um marco significativo se dá em 1945 nos Estados Unidos com a conclusão do ENIAC (electronic numerical integrator and computer), o primeiro computador eletrônico digital de uso geral. Em 1947, John Bardeen, Walter Brattain e William Schockley desenvolvem o transistor, que revolucionou o hardware computacional.

Década de 1950: em 1951 é produzido o primeiro computador comercial, UNIVAC I (universal automatic computer). Em 1956, a IBM lança o IBM 305 RAMAC©, introduzindo o primeiro disco rígido. Em 1959, é desenvolvida a linguagem COBOL (common business oriented language) voltada para a programação de negócios.

Década de 1960: o conceito de software entre diferentes modelos de computadores é lançado em 1964, pela IBM, o System/360. Gordon Moore (em 1965) formula a "Lei de Moore", relacionando o aumento exponencial na capacidade de processamento dos dispositivos feitos de material semicondutor (chips), mais precisamente que o número de transistores num circuito integrado dobra a cada dois anos.

Década de 1970: em 1971, a Intel lança o primeiro microprocessador comercial (Intel 4004©) e Vint Cerf e Bob Kahn, em 1973, apresentam o protocolo TCP/IP, base da internet moderna.

Década de 1980: esta década é marcada pela popularização dos computadores pessoais. A IBM lança o IBM PC (1981), surge o sistema operacional Windows da Microsoft (1983) e em 1985 a fundação GNU lança o projeto GNU e a Free Software Foundation, cujo objetivo é criar um sistema operacional completo e livre, priorizando a liberdade dos usuários.

Década de 1990: durante essa década, os computadores pessoais se tornam cada vez mais acessíveis e a internet se expande rapidamente, graças à criação da world wide web (www) por Tim Berners-Lee, em 1990, e à primeira versão do kernel Linux por Linus Torvalds, em 1991.

Década de 2000: a computação em nuvem revolucionou a forma como realizamos diversas tarefas, e os cálculos teóricos não são exceção. A possibilidade de rodar esses cálculos em tal plataforma oferece uma gama de vantagens, como: acessibilidade, escalabilidade, redução de custos, entres outras. Exemplos de plataformas em nuvem para cálculos teóricos: Amazon Web Services (AWS), Microsoft Azure, Google Cloud Platform (GCP), Google Colab e Quantum Cloud Platforms, essas focadas na computação quântica, como IBM Quantum Cloud, Google Quantum Cloud e Amazon Braket. Redes sociais e smartphones tornam-se parte integrante da vida cotidiana.

Década de 2010: inteligência artificial (IA), aprendizado de máquina e deep learning ganham relevância.

Década de 2020: tecnologias emergentes, como 5G, internet das coisas (IoT) e computação edge (paradigma de computação distribuída que aproxima o processamento de dados e a inteligência artificial das fontes de dados) moldam a paisagem digital.

Cronologia da computação quântica

Em relação ao histórico cronológico da computação quântica podem ser destacados os seguintes avanços conceituais e tecnológicos:16

Década de 1980: Paul Benioff (em 1980) propõe a ideia de um computador quântico usando princípios da mecânica quântica para realizar cálculos. Em 1981, Richard Feynman estende o conceito de simulação de sistemas quânticos por computadores quânticos. David Deutsch (1985) formula o conceito de uma máquina de Turing quântica, estabelecendo as bases teóricas da computação quântica.

Década de 1990: Peter Shor desenvolve, em 1994, o algoritmo que leva seu nome, que demonstra a capacidade de fatorar números inteiros em tempo polinomial em um computador quântico. Em 1996, Lov Grover propõe o algoritmo de busca que leva seu nome, o qual oferece uma vantagem quadrática na busca em bancos de dados não estruturados. Em 1999 surge a primeira startup de computação quântica, a empresa canadense D-Wave.17

Década de 2000: experimentos iniciais demonstram a viabilidade de construir qubits usando tecnologias como íons aprisionados e supercondutores. A proposta de se usar íons a baixa temperatura aprisionados linearmente havia sido apresentada na década anterior.18 Algoritmos e protocolos quânticos começam a ser desenvolvidos, destacando o potencial de aplicações em criptografia, otimização e simulações. O algoritmo de Shor é realizado experimentalmente, sendo a primeira prova de conceito de sua viabilidade.19

Década de 2010: empresas e laboratórios de pesquisa fazem progressos significativos na construção de processadores quânticos contendo múltiplos qubits. Surgem plataformas de acesso remoto à computação quântica na nuvem, permitindo a pesquisa e experimentação mais amplas.

Década de 2020: O ano de 2019 testemunha a "supremacia quântica", quando o processador quântico Sycamore© do Google, executa uma tarefa específica mais rapidamente do que o supercomputador mais avançado.20 A supremacia durou apenas três anos, pois um grupo de pesquisadores21 publicou a resolução do mesmo problema em um supercomputador clássico de forma mais rápida que o Sycamore. A IBM anunciou o Osprey, um novo processador quântico com 433 qubits, e o Quantum System One, um sistema de computação quântica completo para empresas. A Rigetti Computing apresentou o Anaconda, um processador quântico de 32 qubits com fidelidade aprimorada e a Atom Computing é a primeira empresa a anunciar um computador quântico com mais de 1.000 qubtis. A parceria da Microsoft com a Quantinuum reportou em 2024 uma redução de quase 3 ordens de grandeza na taxa de erros em qubits lógicos, anunciando o início de uma nova era da computação quântica.

E além: dos muitos avanços em curso destaca-se a geração de qubits lógicos entre 20 e 30 qubits físicos, o que diminui o erro entre 4,7 e 800 vezes aproximadamente. A geração de qubits lógicos pode reduzir drasticamente o erro, nos fazendo no futuro sair da era NISQ (noisy intermediate-scale quantum)22 em direção a computadores quânticos com níveis de erros bastante baixos e capazes de realizar cálculos com utilidade prática.23

A pesquisa em computação quântica continua a avançar, com um foco crescente na superação de desafios técnicos, como erro quântico e escalabilidade.24 Grandes empresas de tecnologia, como IBM, Microsoft, Google, além de várias startups como Quera (EUA), IonQ (EUA), PsiQuantum (EUA), Pascal (França), AQT (Áustria), Xanadu (Canadá), Classiq (Israel), Kipu Quantum (Berlin), e muitas outras competem no desenvolvimento de hardware e software quânticos.

Computadores e a química quântica

A utilização de computadores na área da química quântica tem sido fundamental para compreender e modelar sistemas moleculares complexos. A seguir alguns poucos exemplos dos avanços no uso de computadores em química quântica.

Década de 1960: 1962 é um marco, pois surge o primeiro artigo para o cálculo das integrais em um computador eletrônico digital.25 Desenvolvimento dos primeiros programas de química quântica para calcular estruturas eletrônicas de moléculas pequenas. Embora a computação quântica moderna ainda estivesse em seus primórdios na década de 1960, diversos pesquisadores visionários lançaram as bases para o que viria a se tornar um campo promissor. Entre os primeiros programas de química quântica dessa época, podemos destacar:

Em 1964, cálculos do método Hückel, usando um método de combinação linear simples de orbitais atômicos (LCAO), são utilizados para determinar energias eletrônicas de orbitais moleculares de elétrons π em sistemas de hidrocarbonetos conjugados. Esse método empírico foi substituído ao longo da década de 1960 pelos métodos semi-empíricos como: CNDO (complete neglect of differential overlap).26

WATSON: foi desenvolvido em 1963 por C. C. J. Roothaan, sendo um dos primeiros programas de química quântica a realizar cálculos de estrutura eletrônica ab initio através do método Hartree-Fock autoconsistente (SCF).

LCGO: por volta de 1966, um grande número de moléculas poliatômicas foi tratado dentro do formalismo SCF-MO (self-consistent field-molecular orbital), onde os orbitais moleculares (OM) eram construídos como uma combinação linear (LC) de outra combinação linear de orbitais do tipo Gaussian (LCGO) implementadas no programa LCGO, de Preuß e Diercksen.27

POLYATOM: conjunto de programas computacionais dedicados à descrição quantitativa mecânico-quântica de moléculas. Esses programas empregam um conjunto de bases gaussianas para calcular funções de onda eletrônicas e suas propriedades correspondentes.28

Década de 1970: introdução de métodos de cálculos ab initio, que buscam resolver a equação de Schrödinger de maneira aproximada, permitindo o estudo de moléculas maiores e mais complexas. Sistemas, no início da década de 1970, eram restritos a moléculas com até 10 átomos e cerca de 20 elétrons. Cálculos de energia eletrônica e geometria molecular em moléculas como metano (CH4), água (H2O) e amônia (NH3). Moléculas com mais átomos e ligações geralmente demandavam mais cálculos, limitando seu tamanho acessível, basicamente a nível Hartree-Fock. Sistemas maiores eram calculados com métodos semi-empíricos como INDO (intermediate neglect of differential overlap), MINDO, MNDO ou CNDO. Em meados dessa década o tamanho dos sistemas aumentou com o aumento do poder de processamento dos computadores sendo aplicados a moléculas orgânicas de tamanho médio, e a sistemas pequenos com um rigor maior introduzindo efeitos de correlação eletrônica (pertubação de 2a ordem) e métodos multiconfiguracionais simples. Alguns programas de cálculos se tornaram bastante populares como Polyatom, ATMOL, IBMOL e Gaussian, e os semi-empíricos citados.29 Os maiores avanços se deram na década seguinte, onde o tratamento de moléculas maiores, contendo algumas dezenas de átomos, se dá dentro do formalismo da teoria do funcional da densidade (DFT).30

Década de 1980: avanço na aplicação de técnicas de química computacional para prever propriedades espectroscópicas e de reações químicas.

Década de 1990: desenvolvimento crescente de métodos semi-empíricos e funcionais de densidade, que equilibram precisão e eficiência computacional. Uso de supercomputadores para simulações de sistemas maiores e mais complexos.

Década de 2000: crescimento da modelagem molecular e simulações de dinâmica molecular, permitindo a investigação de interações moleculares em escala atômica e temporal.

Década de 2010: integração de abordagens quânticas e clássicas para simulações de sistemas químicos complexos. Aplicação crescente de técnicas de aprendizado de máquina para acelerar cálculos e prever propriedades químicas.

Década de 2020: exploração do uso de computação quântica para resolver problemas específicos em química, como otimização molecular e cálculos de energia. Avanços contínuos em métodos de simulação, bem como a inclusão de efeitos quânticos em sistemas biológicos. Moléculas maiores e mais complexas, como sistemas biológicos, podem ser tratadas por métodos híbridos QM/MM (do inglês, quantum mechanics/molecular mechanics), onde pequenas porções da molécula são tratadas mecânica-quanticamente (QM) e o restante tratado por mecânica molecular (MM). No tratamento puramente clássico, efeitos quânticos podem ser introduzidos via parametrização definidas num campo de força (conjunto de funções e parâmetros usados para calcular a energia potencial de um sistema de átomos, derivados a partir de trabalhos experimentais e cálculos de mecânica quântica). Já nos métodos híbridos, tais efeitos de natureza quântica podem ser incluídos explicitamente via metodologia adequada.

Esses avanços ilustram a crescente importância da computação na química quântica, permitindo uma compreensão mais profunda das propriedades e comportamentos moleculares. A combinação de abordagens teóricas, computacionais e experimentais continua a enriquecer nosso conhecimento sobre a natureza química do mundo ao nosso redor. Essa crescente importância pode ser vista nos levantamentos de investimentos na área de computação quântica feitos pela empresa QURECA (Quantum Computing Research and Engineering Consortium),31 que trabalha na divulgação e projetos em educação sobre tecnologias quânticas. Eles mostram um aumento contínuo dos investimentos, saltando em valores estimados de 22,5 bilhões, em 2020, para 40 bilhões de dólares, até o momento em 2024. Além disso, segundo a empresa, projeta-se que o mercado de tecnologias quânticas alcance 106 bilhões de dólares em 2040. O Brasil aparece no mapa do levantamento com a Empresa Brasileira de Pesquisa e Inovação Industrial (EMBRAPII), com um investimento inicial de R$ 60 milhões anunciado pela iniciativa Indústria do Futuro (Figura 1).32

 

 

Existem vários tipos de computadores quânticos em desenvolvimento, cada um com suas próprias vantagens e desvantagens. Os tipos mais comuns são:

(i) Supercondutores: um dos mais populares. Os elementos básicos de tais computadores, os qubits, são feitos de material supercondutor, que consiste num anel supercondutor com junções Josephson (materiais isolantes) que introduzem anarmonicidade nos níveis quânticos de energia do dispositivo supercondutor. Ao usar qubits supercondutores, as operações lógicas (gates) podem ser realizadas rapidamente.33 Algumas empresas que pesquisam e fabricam ativamente computadores quânticos supercondutores incluem Google, IBM, IQM e Rigetti Computing.

(ii) Átomos neutros: é baseada em átomos suspensos em um ultra-alto vácuo por matrizes de feixes de laser que geram potenciais de máximos e mínimos periódicos conhecidos como redes ópticas, que permitem aprisionar átomos (nos pontos de mínimo). Com lasers intensos e bem focados (pinças ópticas) conseguem deslocar os átomos ao longo da rede. São menos sensíveis a campos elétricos dispersos, o que os torna uma boa opção para processadores quânticos.34 Algumas empresas se destacam: Pasqal, Atom Computing, ColdQuanta e QuEra.

(iii) Íons aprisionados: íons aprisionados são manipulados usando campos elétricos e magnéticos para armazenar e processar informações quânticas. Eles são úteis para medições de precisão e outras aplicações que requerem altos níveis de estabilidade e controle, pois podem permanecer em um estado de superposição por um longo tempo antes de se tornarem decoerentes.35 Empresas que utilizam essa técnica incluem Quantinuum, IonQ, Quantum Factory, Alpine Quantum Technologies, eleQtron, entre outras.

(iv) Fotônicos: fótons são utilizados para transportar e processar informações quânticas. Para computadores quânticos de larga escala, os qubits fotônicos podem ser uma alternativa promissora aos qubits supercondutores, íons aprisionados e átomos neutros, que requerem resfriamento criogênico ou a laser.36 Dezenas de empresas estão trabalhando com essa tecnologia, como: Xanadu, ORCA Computing, Quantum Computing Inc e PsiQuantum.

(v) Pontos quânticos: utiliza qubits de silício formados por pares de pontos quânticos, que podem ser codificados em diferentes propriedades desses pontos, como spin do elétron, carga ou estado de excitação.37 Várias empresas estão trabalhando ativamente no desenvolvimento dessa tecnologia, como: QuTech, NTT, AIST, Intel, entre outras.

(vi) Ressonância magnética nuclear (RMN): usam moléculas como qubits. Elas são manipuladas usando pulsos de radiofrequência e campos magnéticos para realizar operações quânticas. A informação é armazenada nos núcleos atômicos das moléculas, que podem ser manipulados e entrelaçados para realizar cálculos.38 Magritek, Oxford Instruments e a SpinQ são exemplos de empresas que exploram essa tecnologia. Gemini-Mini (da SpinQ), é um computador quântico comercial para fins educacionais contendo 2 qubits.

No que diz respeito aos softwares a serem utilizados em computadores quânticos, algoritmos quânticos variacionais são promissores candidatos a algoritmos híbridos para observar a utilidade da computação quântica em dispositivos do presente momento e no curto prazo, os quais apresentam ruído a ponto de impossibilitar algoritmos que exigem maior tempo de computação.1 Esses algoritmos variacionais são caracterizados por usarem métodos de otimização clássica para interativamente otimizar um solução teste parametrizada e, dentre esses métodos, o algoritmo quântico variacional (variational quantum eigensolver, VQE) se destaca, tendo vários exemplos de seu uso na literatura.39-46 O objetivo desse trabalho é estudar as diferentes partes do algoritmo VQE e entender sua importância, como e em que tamanho de sistema podem ser empregados, bem como em um futuro próximo.

 

METODOLOGIA COMPUTACIONAL

Na computação tradicional, os bits são os blocos de construção fundamentais. Eles podem estar em um estado de 0 ou 1, refletindo os valores de "falso" ou "verdadeiro". A computação quântica, por outro lado, utiliza qubits, que exploram o universo e singularidade da mecânica quântica para processar informações. Esse novo modelo de computação envolve os seguintes conceitos fundamentais:

(i) Superposição: na computação quântica qubits podem estar em superposição de estados, ou seja, em 0 e 1 ao mesmo tempo, de acordo com a equação a⟨0| + b⟨1|, em que a + b = 1. Isso permite que computadores quânticos realizem cálculos em paralelo, aumentando exponencialmente a capacidade de processamento em comparação com computadores clássicos.

(ii) Decoerência: é o processo pelo qual um qubit perde sua superposição e se torna um estado clássico de 0 ou 1. Isso pode ser causado por interações com o ambiente, como temperatura, vibração ou ruído eletromagnético. A decoerência é um dos principais desafios da computação quântica, pois limita o tempo que os qubits podem permanecer em estados de superposição.

(iii) Interferência: é o fenômeno que ocorre quando as amplitudes de probabilidade de diferentes estados quânticos se combinam. Isso pode ser usado para produzir coerência quântica e realizar cálculos complexos com mais eficiência do que seria possível com computadores digitais clássicos.

(iv) Emaranhamento: fenômeno quântico no qual dois ou mais qubits estão interligados de tal forma que o estado de um qubit afeta instantaneamente o estado dos outros, mesmo que estejam separados por uma grande distância. Isso permite que computadores quânticos realizem certos tipos de cálculos que são impossíveis para computadores clássicos.

(v) Erro/ruído: o erro e ruído são fatores que podem afetar a precisão dos cálculos quânticos. O erro pode ser causado por imperfeições nos qubits e nas operações quânticas, enquanto o ruído pode ser causado por interações com o ambiente. É importante minimizar o erro e o ruído para garantir a confiabilidade dos computadores quânticos.

Um qubit pode estar em um estado de 0, 1, ou em uma superposição de ambos simultaneamente em diferentes probabilidades, e isso aumenta significativamente a capacidade de processamento de dados. Essa superposição permite que os qubits explorem múltiplas soluções potenciais em paralelo, aumentando exponencialmente a capacidade de processamento em comparação com computadores digitais clássicos. Para manipular os qubits e realizar cálculos, usam-se operações ou portas lógicas denominadas por gates. Agem como os comandos dos computadores clássicos (AND, OR, NOT), mas operam em qubits e aproveitam as propriedades quânticas como superposição e interferência. Exemplos de gates incluem:

(i) Hadamard: coloca o qubit de 0 ou 1 para uma superposição de 0 e 1.

(ii) Pauli-X: inverte o estado do qubit (0 para 1 e vice-versa).

(iii) CNOT: realiza uma operação NOT controlada em um qubit dependendo do estado de outro qubit. Em combinação com a porta de Hadamard, é usado para gerar um estado (de Bell) maximamente emaranhado.

Assim, os qubits armazenam a informação na forma de superposição de estados, manipulando a superposição e a interferência entre os estados para realizar operações quânticas. Ao encadear múltiplos gates em circuitos quânticos, podem ser criados programas complexos, explorando assim o alto poder de processamento.

Controlar e manter a superposição de qubits é um grande desafio, pois o ruído ambiental pode causar decoerência, fazendo o qubit "cair" para um estado clássico (0 ou 1). Assim, a barreira mais impactante para cálculos de estrutura eletrônica são os erros introduzidos pela decoerência. Devido a esses erros, atualmente vigora a era da computação NISQ (noisy intermediate-scale quantum)22 e o algoritmo candidato mais promissor em um futuro próximo é o algoritmo quântico variacional VQE. Inicialmente proposto por Peruzzo et al.,47 é um algoritmo matemático que emprega o princípio variacional para calcular as energias dos estados fundamental e excitados. Aqui o VQE foi empregado para calcular curvas de dissociação para as moléculas H2 e He2.

A curva de energia potencial (CEP) de moléculas diatômicas está intimamente ligada às suas propriedades eletrônicas, fornecendo informações valiosas sobre a estrutura e o comportamento da ligação química entre os átomos. Através da análise da forma da CEP por meio de diferentes abordagens, como o método da expansão polinomial de Dunham48 por exemplo, podemos obter diversas informações sobre as características eletrônicas da molécula, como: força da ligação (através da constante de força), distância internuclear de equilíbrio, energia de dissociação, frequência vibracional, estados eletrônicos fundamental e excitado, e reatividade química entre outras.

Todos os cálculos foram realizados utilizando o pacote Qiskit©49 da IBM. Este é escrito em linguagem Python50 e por isso a barreira ao aprendizado é relativamente menor que em outras linguagens de programação. Além disso, é um pacote de fácil utilização e que permite não só a utilização dos simuladores locais e online, bem como dos computadores quânticos da IBM.

O método VQE requer um ansatz (suposição inicial sobre a forma do circuito quântico) e um otimizador clássico. O ansatz é o circuito parametrizado que será rodado no computador quântico e o otimizador clássico será responsável por atualizar os parâmetros de forma a encontrar o mínimo de energia. Ou seja, o otimizador clássico modifica os parâmetros e o computador quântico realiza o cálculo de energia eletrônica, que é novamente alimentada no otimizador clássico reiniciando o processo, até que a diferença de energia entre os pontos seja menor que um determinado valor limite definido previamente.

O ansatz escolhido foi o ansatzcoupled cluster unitário (UCC),51 utilizando excitações simples e duplas (UCCSD), bem como com a função de base 3-21G.52 O método UCC é diferente do método coupled cluster tradicional pois é um método variacional, e é utilizado como base teórica para a construção do circuito que será implementado no computador quântico. A otimização restringida por aproximação linear (constrained optimization by linear approximation, COBYLA)53 foi escolhida como o otimizador clássico e o mapeador de Jordan-Wigner como o mapeador de férmion para qubit. O ponto inicial foi obtido a partir do resultado de um cálculo de Hartree-Fock (HF), realizado com auxílio do pacote computacional PySCF.54,55 A utilização das funções de onda obtidas a partir de um cálculo de HF como ponto inicial do processo variacional não é necessária, mas como este ponto deve estar relativamente próximo do ponto de mínimo do CCSD, é possível evitar tanto caminhar por regiões infrutíferas da superfície de energia potencial (SEP) das moléculas e obter resultados locais indesejados, quanto pontos onde a derivada da energia tenda a zero, chamados de barren plateaus.

A estimativa de um observável qualquer em computadores quânticos pode ser feita utilizando Paulistrings. As Pauli strings são produtos tensoriais entre matrizes de Pauli ou a identidade onde cada uma atua no espaço de um qubit. Como exemplo se tem a Pauli string I ⊗ X ⊗ Z ⊗ Y ⊗ Z que representa a identidade no primeiro qubit, a Pauli-X no segundo, a Pauli-Y no quarto e a Pauli-Z no terceiro e quinto. Como os computadores quânticos são capazes de realizar medidas nas bases de X, Y e Z é possível estimar o valor esperado de uma Pauli string para estados genéricos. Além disso, qualquer observável pode ser decomposto em uma somatória de Pauli strings com coeficientes adequados. Dessa forma, é possível calcular a energia de um estado decompondo o Hamiltoniano produzido pelo mapeador de Jordan-Wigner em Pauli strings com coeficientes, calculando o valor esperado de cada Pauli string e realizando a soma desses valores ponderado pelos respectivos coeficientes. Destaca-se que quanto mais Pauli strings aparecem na decomposição do Hamiltoniano mais medidas e, por consequência, mais execuções do circuito são necessárias para o algoritmo.

 

RESULTADOS E DISCUSSÃO

O parâmetro mais importante para avaliar a possibilidade de executar um determinado cálculo é a profundidade do circuito quântico, que é o maior número total de operações ou portas aplicadas a cada qubit, considerando que algumas portas podem ser aplicadas em paralelo - ao mesmo tempo - enquanto outras necessitam esperar a finalização de um grupo de portas para serem aplicadas. A profundidade é igual ao número de portas quando nenhuma delas puder ser aplicada em paralelo, e diminui conforme a paralelização de um determinado circuito aumenta. Ela é determinada pelo ansatz escolhido, pelo número de spin orbitais e pelo computador quântico onde o circuito está sendo implementado. O número de spin orbitais, ao seu tempo, determina o número de qubits e é dado pela função de base. O aumento do número de spin orbitais para uma molécula estudada, gera um maior número de excitações possíveis, não só aprofundando o circuito como aumentando o número de Paulistrings a serem medidas.

O workflow para o cálculo de VQE, utilizando o pacote Qiskit,49 da IBM, consiste na definição da molécula (geometria, carga e multiplicidade). Em seguida se faz um cálculo Hatree-Fock para se obter os parâmetros para o Hamiltoniano e para o ponto inicial da otimização. O ansatz é então construído a partir do número de spin orbitais e utilizando um esquema de mapeamento, no presente caso utilizando UCCSD e mapeamento de Jordan-Wigner, respectivamente. De posse dessas informações, o otimizador clássico é utilizado para minimizar o sistema de forma a se obter a energia eletrônica. O código utilizado durante o presente trabalho foi carregado na base de dados Zenodo,56 e também em repositório GitHub.57

Para a molécula de H2, usando os conjuntos base STO-3G, 3-21G e 6-31G,52 o circuito possui 134, 1.022 e 8.678 portas de um qubit e 56, 768 e 14.616 portas CNOT (operação que controla o estado de um qubit para o estado de outro qubit) de dois qubits, respectivamente. Tal elevado número de portas é necessário pois são elas que traduzem os operadores de excitação CC, os quais são gerados através do próprio Qiskit,49 para o circuito. É possível se construir circuitos menores utilizando outros ansatze, como o hardware efficient ansatz (HEA). Este para a molécula de H2O, num circuito estudado previamente de 12 qubits,58 apresentou uma profundidade de 96, enquanto o UCCSD foi de 477. No entanto, o número de parâmetros para HEA e UCCSD foram de 192 e 8, respectivamente. Além de um número de parâmetros significativamente maior, o que dificulta a convergência de forma acentuada, ansatzes do tipo HEA sofrem do problema conhecido como barren plateaus, que são regiões da SEP onde a variação de energia em função da variação dos parâmetros se aproxima de zero.

O circuito para a base STO-3G pode ser visto na Figura 2a. O circuito para a base 3-21G é grande demais para ser apresentado nesse manuscrito, no entanto essa é a menor função de base que pode ser utilizada para a molécula de He2, pois as funções de base do tipo Slater (STO-nG) não geram orbitais virtuais para a excitação.

 

 

Para o cálculo das curvas de dissociação para as moléculas H2 e He2 (Figura 2b), foi utilizado o simulador de computadores quânticos configurado sem erros de decoerência, mas apenas com erros de projeção. Os últimos são erros inerentes a sistemas quânticos nos quais a variância será zero caso o qubit esteja num estado puro e maior conforme aumenta a superposição entre os estados 0 e 1, e foram tratados com mais profundidade num trabalho anterior.46 Pode-se ver que os resultados obtidos com o VQE estão em excelente concordância com os resultados clássicos, obtidos através da diagonalização da matriz do ansatz. Considerando o tempo de coerência (tempo que o qubit permanece em superposição) e o tempo necessário para realizar uma operação (porta), o uso de conjunto de base 6-31G não seria viável nos computadores quânticos comerciais disponíveis atualmente. Portanto as curvas de dissociação para as moléculas H2 e He2 foram calculadas com o conjunto de funções de base 3-21G.

A otimização é feita baseada na energia eletrônica do sistema. Um exemplo é apresentado na Figura 3, onde está a otimização passo a passo para as moléculas de H2 e He2 na distância de 0.75 Å. Há uma certa variação inicial, que converge a partir de aproximadamente 30 e 55 passos, para H2 e He2 respectivamente.

 

 

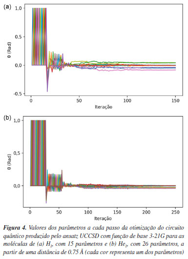
Os valores dos parâmetros a cada passo da otimização exibem um resultado em concordância com os da energia calculada, tanto para a molécula de H2 (Figura 4a) quanto para a molécula de He2 (Figura 4b). Pode-se notar que a convergência é similar e inicia-se em aproximadamente 30 e 55 passos, para H2 e He2, respectivamente. É interessante notar que os parâmetros da molécula de H2 se juntam em quatro grupos, dois com valores negativos, um próximo de zero e um positivo. Ao mesmo tempo, para a molécula de He2 se formam dois grupos, um com valores próximos a zero e outro negativo mais disperso.

 

 

Na Tabela 1 tem-se os números de qubits, portas e parâmetros para diferentes conjunto de funções de base (STO-3G, 3-21G, cc-pVDZ e cc-pVTZ)52 necessários para o cálculo da superfície de energia potencial da molécula de H2. Portas simples são portas que agem em apenas um qubit, e portas duplas, ou portas de 2 qubits, são portas que são aplicadas em dois qubits simultaneamente. O número total de portas, que envolve tanto as simples quanto as duplas, é obtido na transformação do ansatz utilizando o mapeamento escolhido, no presente caso o mapeamento de Jordan-Wigner, e sua aplicação ao circuito.

 

 

Os cálculos de VQE utilizando simuladores são de grande importância e utilidade nos estudos da aplicação de computadores quânticos para a química. Isso porque pode-se utilizá-los sem erros de decoerência e de medidas, que causam variações inaceitáveis nos resultados e não permitem a aplicação dos computadores quânticos atuais a sistemas maiores. Existem muitas estratégias para mitigar esses erros e em trabalhos futuros pretende-se executar esses cálculos em computadores quânticos (reais) disponíveis.

 

CONCLUSÕES

Computação quântica é uma área de intenso desenvolvimento, com avanços rápidos e significativos. No entanto, para cálculos em química quântica, as aplicações práticas ainda estão por vir. Apesar disso, considerando a velocidade das melhorias, a realidade pode estar bem mais próxima do que se imagina. A principal limitação para aplicações práticas são os erros de decoerência, que restringem a profundidade do circuito. Além disso, existem outras fontes de erro que não foram abordadas aqui, e que requerem técnicas de mitigação. Os próximos passos envolvem utilizar os computadores quânticos disponíveis para executar os cálculos apresentados neste trabalho e aplicar tais técnicas de mitigação.

 

AGRADECIMENTOS

Os autores gostariam de agradecer ao Instituto de Química da UNICAMP pelas facilidades computacionais, ao Conselho Nacional de Desenvolvimento Científico (CNPq) e à Fundação de Amparo à Pesquisa do Estado de São Paulo (FAPESP, 2021/11039-1 e 2023/18240-0) pelo apoio financeiro.

 

REFERÊNCIAS

1. Kaye, P.; Laflamme, R.; Mosca, M.; An Introduction to Quantum Computing, 1st ed.; Oxford University Press: Oxford, 2007.

2. Quantum, Internacional Year of Quantum Science and Technology, https://quantum2025.org/en/, acessado em Novembro 2024.

3. Scopus, https://www.scopus.com/, acessado em Novembro 2024.

4. Yamaguchi, F.; Yamamoto, Y.; Appl. Phys. A: Mater. Sci. Process. 1999, 68, 1. [Crossref]

5. Lino, J. B. R.; Ramalho, T. C.; Rev. Virtual Quim. 2018, 10, 940. [Link] acessado em Novembro 2024

6. Morgon, N. H.; Quim. Nova 2013, 36, 593. [Crossref]

7. Organização das Nações Unida (ONU), Objetivos de Desenvolvimento Sustentável, https://brasil.un.org/pt-br/sdgs, acessado em Novembro 2024.

8. Claudino, D.; Int. J. Quantum Chem. 2022, 122, e26990. [Crossref]

9. Cao, Y.; Romero, J.; Olson, J. P.; Degroote, M.; Johnson, P. D.; Kieferová, M.; Kivlichan, I. D.; Menke, T.; Peropadre, B.; Sawaya, N. P. D.; Sim, S.; Veis, L.; Aspuru-Guzik, A.; Chem. Rev. 2019, 119, 10856. [Crossref]

10. Bauer, B.; Bravyi, S.; Motta, M.; Chan, G. K. L.; Chem. Rev. 2020, 120, 12685. [Crossref]

11. Outeiral, C.; Strahm, M.; Shi, J.; Morris, G. M.; Benjamin, S. C.; Deane, C. M.; WIREs Computational Molecular Science 2021, 11, e1481. [Crossref]

12. Motta, M.; Rice, J. E.; WIREs Computational Molecular Science 2022, 12, e1580. [Crossref]

13. DiVincenzo, D. P.; Fortschr. Phys. 2000, 48, 771. [Crossref]

14. Ifrah, G.; The Universal History of Computing: From the Abacus to the Quantum Computer, 1st ed.; Wiley: New York, 2001.

15. Campbell-Kelly, M.; Aspray, W. F.; Yost, J. R.; Tinn, H.; Con Díaz, G.; Computer: A History of the Information Machine, 4th ed.; Routledge: New York, 2023.

16. Akama, S.; Elements of Quantum Computing: History, Theories and Engineering Applications, 1st ed.; Springer International Publishing: Cham, 2015.

17. D-Wave Systems, https://www.dwavesys.com/, acessado em Novembro 2024.

18. Cirac, J. I.; Zoller, P.; Phys. Rev. Lett. 1995, 74, 4091. [Crossref]

19. Vandersypen, L. M. K.; Steffen, M.; Breyta, G.; Yannoni, C. S.; Sherwood, M. H.; Chuang, I. L.; Nature 2001, 414, 883. [Crossref]

20. Arute, F.; Arya, K.; Babbush, R.; Bacon, D.; Bardin, J. C.; Barends, R.; Biswas, R.; Boixo, S.; Brandao, F. G. S. L.; Buell, D. A.; Burkett, B.; Chen, Y.; Chen, Z.; Chiaro, B.; Collins, R.; Courtney, W.; Dunsworth, A.; Farhi, E.; Foxen, B.; Fowler, A.; Gidney, C.; Giustina, M.; Graff, R.; Guerin, K.; Habegger, S.; Harrigan, M. P.; Hartmann, M. J.; Ho, A.; Hoffmann, M.; Huang, T.; Humble, T. S.; Isakov, S. V.; Jeffrey, E.; Jiang, Z.; Kafri, D.; Kechedzhi, K.; Kelly, J.; Klimov, P. V.; Knysh, S.; Korotkov, A.; Kostritsa, F.; Landhuis, D.; Lindmark, M.; Lucero, E.; Lyakh, D.; Mandrà, S.; McClean, J. R.; McEwen, M.; Megrant, A.; Mi, X.; Michielsen, K.; Mohseni, M.; Mutus, J.; Naaman, O.; Neeley, M.; Neill, C.; Niu, M. Y.; Ostby, E.; Petukhov, A.; Platt, J. C.; Quintana, C.; Rieffel, E. G.; Roushan, P.; Rubin, N. C.; Sank, D.; Satzinger, K. J.; Smelyanskiy, V.; Sung, K. J.; Trevithick, M. D.; Vainsencher, A.; Villalonga, B.; White, T.; Yao, Z. J.; Yeh, P.; Zalcman, A.; Neven, H.; Martinis, J. M.; Nature 2019, 574, 505. [Crossref]

21. Pan, F.; Chen, K.; Zhang, P.; Phys. Rev. Lett. 2022, 129, 090502. [Crossref]

22. Preskill, J.; Quantum 2018, 2, 79. [Crossref]

23. da Silva, M. P.; Ryan-Anderson, C.; Bello-Rivas, J. M.; Chernoguzov, A.; Dreiling, J. M.; Foltz, C.; Frachon, F.; Gaebler, J. P.; Gatterman, T. M.; Grans-Samuelsson, L.; Hayes, D.; Hewitt, N.; Johansen, J.; Lucchetti, D.; Mills, M.; Moses, S. A.; Neyenhuis, B.; Paz, A.; Pino, J.; Siegfried, P.; Strabley, J.; Sundaram, A.; Tom, D.; Wernli, S. J.; Zanner, M.; Stutz, R. P.; Svore, K. M.; arXiv 2024. [Crossref]

24. Chae, E.; Choi, J.; Kim, J.; Nano Convergence 2024, 11, 11. [Crossref]

25. Kruglyak, Y. A.; Whitman, D. R.; J. Struct. Chem. 1962, 3, 546. [Crossref]

26. Pople, J. A.; Beveridge, D. L.; Approximate Molecular Orbital Theory; McGraw-Hill: New York, 1972.

27. Diercksen, G.; Preuss, H.; Zeitschrift Für Naturforschung A 1966, 21, 863. [Crossref]

28. Barnett, M. P.; Rev. Mod. Phys. 1963, 35, 571. [Crossref]

29. Ma, X.; J. Phys.: Conf. Ser. 2022, 2386, 012005. [Crossref]

30. Sax, A. F.; Monatsh. Chem. 2008, 139, 299. [Crossref]

31. QURECA, Overview on Quantum Initiatives Worldwide, https://www.qureca.com/overview-of-quantum-initiatives-worldwide-2023/, acessado em Novembro 2024.

32. Empresa Brasileira de Pesquisa e Inovação Industrial (EMBRAPII), Futuro da Indústria: Iniciativa Oferece R$ 60 Milhões para Desenvolver Computação Quântica, https://embrapii.org.br/futuro-da-industria-iniciativa-oferece-r-60-milhoes-para-desenvolver-computacao-quantica/, acessado em Novembro 2024.

33. Wendin, G.; Phys. World 2003, 16, 24. [Crossref]

34. Williams, C. J.; Proceedings Frontiers in Optics 2004/Laser Science XXII/Diffractive Optics and Micro-Optics/Optical Fabrication and Testing; Rochester, New York, 2004. [Link] acessado em Novembro 2024

35. Blatt, R.; Roos, C. F.; Nature Phys. 2012, 8, 277. [Crossref]

36. Hotaling, S. P.; Aerospace/Defense Sensing and Controls; Orlando, Florida, 1996. [Crossref]

37. Fowler, A. G.; Mariantoni, M.; Martinis, J. M.; Cleland, A. N.; Phys. Rev. A 2012, 86, 032324. [Crossref]

38. Feng, G.; Lu, D.; Li, J.; Xin, T.; Zeng, B.; SPIN 2023, 13, 2330001. [Crossref]

39. Kühn, M.; Zanker, S.; Deglmann, P.; Marthaler, M.; Weiß, H.; J. Chem. Theory Comput. 2019, 15, 4764. [Crossref]

40. Ollitrault, P. J.; Kandala, A.; Chen, C. F.; Barkoutsos, P. K.; Mezzacapo, A.; Pistoia, M.; Sheldon, S.; Woerner, S.; Gambetta, J. M.; Tavernelli, I.; Phys. Rev. Res. 2020, 2, 043140. [Crossref]

41. Ratini, L.; Capecci, C.; Benfenati, F.; Guidoni, L.; J. Chem. Theory Comput. 2022, 18, 899. [Crossref]

42. Clary, J. M.; Jones, E. B.; Fowler, D. V.; Chang, C.; Graf, P.; Int. J. Quantum Chem. 2023, 123, e27097. [Crossref]

43. Singh, H.; Majumder, S.; Mishra, S.; The Journal of Chemical Physics 2023, 159, 044117. [Crossref]

44. Lim, H.; Kang, D. H.; Kim, J.; Pellow-Jarman, A.; McFarthing, S.; Pellow-Jarman, R.; Jeon, H. N.; Oh, B.; Rhee, J. K. K.; No, K. T.; Sci. Rep. 2024, 14, 2422. [Crossref]

45. Gomosma, G.; Agusta, M. K.; Dipojono, H. K.; J. Phys.: Conf. Ser. 2024, 2734, 012052. [Crossref]

46. Porto, C. M.; Morgon, N. H.; Nome, R. A.; J. Mol. Model. 2024, 30, 275. [Crossref]

47. Peruzzo, A.; McClean, J.; Shadbolt, P.; Yung, M. H.; Zhou, X. Q.; Love, P. J.; Aspuru-Guzik, A.; O'Brien, J. L.; Nat. Commun. 2014, 5, 4213. [Crossref]

48. Dunham, J. L.; Phys. Rev. 1932, 41, 721. [Crossref]

49. Treinish, M.; Qiskit: An Open-Source Framework for Quantum Computing, 2023. [Crossref]

50. Python, versão 3.9.14; Python Software Foundation, United States, 2022. [Link] acessado em Novembro 2024

51. Anand, A.; Schleich, P.; Alperin-Lea, S.; Jensen, P. W. K.; Sim, S.; Díaz-Tinoco, M.; Kottmann, J. S.; Degroote, M.; Izmaylov, A. F.; Aspuru-Guzik, A.; Chem. Soc. Rev. 2022, 51, 1659. [Crossref]

52. Pritchard, B. P.; Altarawy, D.; Didier, B.; Gibson, T. D.; Windus, T. L.; J. Chem. Inf. Model. 2019, 59, 4814. [Crossref]

53. Powell, M. J. D. Em Advances in Optimization and Numerical Analysis; Gomez, S.; Hennart, J. P., eds.; Springer: Dordrecht, 1994.

54. Sun, Q.; Berkelbach, T. C.; Blunt, N. S.; Booth, G. H.; Guo, S.; Li, Z.; Liu, J.; McClain, J. D.; Sayfutyarova, E. R.; Sharma, S.; Wouters, S.; Chan, G. K.; WIREs Computational Molecular Science 2018, 8, e1340. [Crossref]

55. Sun, Q.; Zhang, X.; Banerjee, S.; Bao, P.; Barbry, M.; Blunt, N. S.; Bogdanov, N. A.; Booth, G. H.; Chen, J.; Cui, Z. H.; Eriksen, J. J.; Gao, Y.; Guo, S.; Hermann, J.; Hermes, M. R.; Koh, K.; Koval, P.; Lehtola, S.; Li, Z.; Liu, J.; Mardirossian, N.; McClain, J. D.; Motta, M.; Mussard, B.; Pham, H. Q.; Pulkin, A.; Purwanto, W.; Robinson, P. J.; Ronca, E.; Sayfutyarova, E. R.; Scheurer, M.; Schurkus, H. F.; Smith, J. E. T.; Sun, C.; Sun, S. N.; Upadhyay, S.; Wagner, L. K.; Wang, X.; White, A.; Whitfield, J. D.; Williamson, M. J.; Wouters, S.; Yang, J.; Yu, J. M.; Zhu, T.; Berkelbach, T. C.; Sharma, S.; Sokolov, A. Y.; Chan, G. K. L.; The Journal of Chemical Physics 2020, 153, 024109. [Crossref]

56. Porto, C. M.; Quantum Computing in Chemistry, 2024. [Crossref]

57. GitHub, https://github.com/cmporto/qiskit-examples, acessado em Novembro 2024.

58. Choquette, A.; Di Paolo, A.; Barkoutsos, P. K.; Sénéchal, D.; Tavernelli, I.; Blais, A.; Phys. Rev. Res. 2021, 3, 023092. [Crossref]

 

Editor Associado responsável pelo artigo: Lucia Mascaro

 

ERRATA

Este documento tem uma errata: Quim. Nova 2025, 48, 5, e-20250152, http://dx.doi.org/10.21577/0100-4042.20250152

Página 7 - Agradecimentos
Onde se lia:
Os autores gostariam de agradecer ao Instituto de Química da UNICAMP pelas facilidades computacionais, ao Conselho Nacional de Desenvolvimento Científico (CNPq) e à Fundação de Amparo à Pesquisa do Estado de São Paulo (FAPESP, 2021/11039-1) pelo apoio financeiro.

Leia-se:
Os autores gostariam de agradecer ao Instituto de Química da UNICAMP pelas facilidades computacionais, ao Conselho Nacional de Desenvolvimento Científico (CNPq) e à Fundação de Amparo à Pesquisa do Estado de São Paulo (FAPESP, 2021/11039-1 e 2023/18240-0) pelo apoio financeiro.

On-line version ISSN 1678-7064 Printed version ISSN 0100-4042
Qu�mica Nova
Publica��es da Sociedade Brasileira de Qu�mica
Caixa Postal: 26037 05513-970 S�o Paulo - SP
Tel/Fax: +55.11.3032.2299/+55.11.3814.3602
Free access

GN1