JBCS



17:42, sáb out 25

Acesso Aberto/TP



Artigo

Classical 1D linear models for infrared absorption and estimates for the vibrational amplitudes and energy of NaCI ionic compound

Jorge Corrêa de Araújo; Rosa María García Márquez*

Departamento de Matemática, Universidade do Estado do Rio de Janeiro, 24435-005 Rio de Janeiro - RJ, Brasil

Received: 11/08/2024
Accepted: 02/25/2025
Published online: 04/08/2025

Endereço para correspondência

*e-mail: rosagmarquez@yahoo.com.br

RESUMO

Sodium chloride, NaCl, was analyzed using two models based in classical physics with the main objective of verifying whether this ionic crystal is active or not to infrared absorption. The results from the first reduced mass linear diatomic model (RMLDM) which uses the concept of reduced mass, showed that NaCl is inactive in infrared radiation. In contrast, the linear diatomic model (LDM) indicated that from a theoretical point of view there may be a weak or even insignificant absorption in the vibrational bands 1524 and 1421 cm-1 with the amplitudes of these ionic molecular vibrations varying between 5.5 × 10-12 and 9.5 × 10-12 m. Furthermore, the LDM model developed here in this study, combines elementary equations from classical physics with elements from quantum physics enabling to estimate the energy absorption of the NaCl and also the ions sodium and chloride with good accuracy. This model can be applied, in principle, to other diatomic molecules as a good approximation to molecular vibrational.

Palavras-chave: sodium chloride; harmonic oscillator; vibrational spectroscopy; infrared radiation.

INTRODUCTION

Vibrational spectroscopy is a technique that measures the interaction between an electromagnetic wave with the vibrational movement of a molecular system. In particular, the infrared spectroscopy (IR) consists of focusing radiation at the IR frequency on a sample to be analyzed and observing the fraction absorbed by the sample.1 With electromagnetic radiation in the infrared range, it is possible, under certain conditions, to obtain the absorption spectra or even radiation emission spectra from the molecular system when exposed to this radiation. According to Pavia et al.1 "almost all compounds that have covalent bonds, whether organic or inorganic, absorb various frequencies of electromagnetic radiation in the IR region of the electromagnetic spectrum" (p.15). In fact, in the ionic crystals that have different masses, the ions have opposite charges which oscillate in opposite directions and, therefore, can be excited by an electromagnetic field, allowing the study of crystalline vibrations in solids.

Each molecular bond has its own natural frequency of vibration, i.e., a certain absorption pattern in the IR radiation. It is as if the molecular bond had a fingerprint in the spectrum absorption. According to the work carried out by Pavia et al.1 "when you want to compare the infrared spectra of two substances that are believed to be the same, you just need to check whether the IR spectra coincide peak to peak and, if they do, most of the time, they are indeed identical" (p. 17). In astrophysics, this method, together with principles of physics and chemistry, are very used in the study of phenomena linked with the astronomy.2 Generally, in IR spectroscopy, the sample to be analyzed is stored in a sample holder made with materials such as sodium chloride, NaCl, or potassium bromide, KBr, as they absorb little IR radiation. As reported by Rodrigues3 "for to compensate the absorption and scattering of light by the sample holder reference, measurements must be carried out without the presence of the material sample in the cell, that is, the intensity of light that passed through the empty sample holder, or reference cell, is measure" (p. 22).

As IR spectroscopy is based on the fact that the chemical bonds of substances vibrate with characteristic frequencies, which correspond to the vibrational energy levels of the molecules, in that regard, the simple harmonic oscillator or classical harmonic oscillator4 can be used in particular in the study of vibration in diatomic molecules, or in the representation of a system in which one of its elements performs small oscillations around its stable equilibrium position,3 among other systems that involve oscillations. As reported by Bassanezi and Ferreira Junior:5 "the harmonic oscillator is perhaps the most used comparison model in physics due to its relative simplicity and the number of important concepts that it represents. For example, the development of Atomic Physics was largely based on the mechanical model and language of the harmonic oscillator" (p. 115). In this study, two classical vibrational modelling models are adopted based on the simple harmonic oscillator with the aim of obtaining information about the activity or not, of the sodium chloride ion, NaCl, in the IR absorption radiation which is considered a reference material in IR spectroscopy. Furthermore, an unusual approach was used in this study with the linear diatomic model (LDM) which, despite its simplicity, allowed us to obtain estimates of the energy absorptions by the ions of the NaCl bond and the molecule itself, as well as the vibrational amplitudes of the sodium and chloride ions of the NaCl molecule.

 

METHODOLOGY

This section explores the interaction between electromagnetic waves and infrared radiation in one-dimensional (1D) linear crystals with a diatomic basis, using the classical harmonic oscillator model. The absorption of infrared radiation in ionic crystals and the significance of the molecular dipole moment at infrared frequencies are discussed. Elements of quantum mechanics are also introduced, comparing classical predictions with quantum results for radiation absorption. The objective is to assess the applicability of theoretical models to the behavior of crystals under infrared excitacion where reasonable quantitative results can be obtained.

Electromagnetic wave and infrared radiation

The wave type of interest in molecular vibrations are the electromagnetic waves. According to Atkins and de Paula,6 the functions that describe the electric field E = E(x,t) and the magnetic field B = B(x,t) propagate along the x direction with wavelength λ and frequency n, both perpendicular to the direction of propagation. Figure 1 shows an electromagnetic wave propagating in the x-axis direction with the two components of the electromagnetic field.

 

 

The distance between two adjacent points of a maximum or minimum of that wave is the wavelength (λ) in meters (m) and speed of propagation in vaccum equal c = 3.0 × 10-8 m s-1. The frequency n is given in Hertz (Hz) or number of cycles per second, where:

For chemistry, vibrational spectroscopy, according to Pavia et al.,1 uses infrared radiation with wavelengths range at 2.5 and 25.0 (× 10-6 m). The classical energy of harmomic oscillator is given by

where h = 6.6262 × 10-34 J s is the Planck's constant.7 Therefore, from Equation 2 the wave energy is directly proportional to frequency. Most chemists prefer vibrational infrared radiation in terms of wavenumber

instead of using the wavelength,1 since from Equations 1-3 we can write

that is, the energy is directly proportional to the wavenumber of the radiation. From Equations 1-3, we have

The infrared region is where the spectral lines of radiation absorption related by molecular vibrations are found and, according to Rodrigues3 "can be subdivide in three regions -: 4000 → 400 cm-1 middle infrared (MIR), near infrared (NIR) -: 13000 → 4000 cm-1 and, the far infrared (FIR) -: 400 → 100 cm-1" (p. 50). In terms of radiation wavelength λ: 2.5 → 25 (× 10-6 m) in the MIR, the NIR λ: 0.7 → 2.5 (× 10-6 m) and the FIR λ: 2.5 (× 10-6 m) → 1.0 (× 10-4 m). As reported by Pavia et al.1 "the vibrational IR of interest is in the MIR region" (p. 16). Still according to Pavia et al.1 "only bonds that have a dipole moment that changes with the time are capable of absorbing IR radiation. In this sense, the oscillating electric dipole of the bond can couple with the electromagnetic field of the incident radiation, which varies sinusoidally" (p. 17). In this case, if the emitted radiation has the same vibrational frequency of the molecular vibration, there may be absorption or emission of IR radiation.

The linear crystal 1D with diatomic base

Let us consider a one-dimensional linear diatomic chain with two ions per unit cell with equilibrium positions: na and na + d, with d ≤ 0.5a, where the force of attraction of neighboring ions depends only on their distances d or a - d, being K and G the elastic constants of each spring. This chain constitutes a Bravais lattice, whose vectors are of type ℜ = na, for some integral n. Those assumptions were made by Ashcroft and Mermin,7 for a diatomic chain with the same atoms or ions, but in this study were also assumed for different atoms or ions. Furthermore, we will also assume that the atoms or ions in this chain oscillate around their average equilibrium position and that the displacements are small when compared to the interatomic distances between the neighboring ions.

With this hypothesis we have the harmonic approach to the representation of crystal lattice dynamics where, according with Ashcroft and Mermin:7 "accurate quantitative results are obtained and are often in good agreement with observed solid properties" (p. 422). As d ≤ 0.5a, we have a ≥ 2d ⇒ a - d ≥ d ⇒ K ≥ G, that is, the strength of pairs separated by d distant being greater than that of separated by a - d distance. Figure 2 shows a diatomic linear chain with two different ions per unit cell in these equilibrium positions.

 

 

Let us assume that interactions only occur between the closest neighbors. This condition was proposed by Max Bohr, in 1912, for the study of longitudinal vibrations of alternating chloride and sodium atoms.5 The potential energy of the system is then given by

where u1 (na) is the ion displacement of M1 mass that oscillates about the site or position na and u2 (na) is the ion displacement of M2 mass that oscillates about the site na + d. Using the Lagrangian of the system4 we have the equations for the displacements u1 (na) and u2 (na), respectively, given by

The solutions are of type

and

where C1 and C2 are the constants to be determined, q is the wavenumber and ω is the circular frequency. Replacing the Equations 9 and 10, respectively, in Equations 7 and 8 results the dispersion equation given by

If M1 ≠ M2 and k = K = G, so d = 0.5a, and the Equation 11 can be written as

The Equation 12 shows that the wave oscillation frequency depends on the wavelength of the radiation, or the wave vector q. The Equation 12 also represents two curves ω vs. q which refer to the optical branch, if the positive signal is used, or the acoustic branch in opposite case. The optical branch is associated with long wavelengths and has this name because ionic crystals can interact with electromagnetic radiation, while the acoustic branch has this name because the dispersion relationship is in the form ω = cq, which is characteristic of sound waves for small values of q where the region πa-1 ≤ q ≤ πa is called first Brillouin zone (BZ) that is the region of the interest.7

The classical harmonic oscillator

Consider a particle of mass m moving along the 0x-axis that is being attracted to the origin through controlling force F = -mp2 xj, which varies with the distance x. So, the equation of the movement is given by

where p is a real constant. The general solution of this equation is given by

what characterizes a simple harmonic movement, that is; the equation of this movement is the classical harmonic oscillator.4

The classical models

Two models of harmonic oscillators are used in this study to represent the vibrational movements of NaCl molecule. Setting G = 0 and n = 0 in Equations 7 and 8 results in the equations of vibrational motion

and

where the solutions of Equations 15 and 16 are given directly from Equation 9, i.e., u1 = C1ei(-ωt) and u2 = C2ei(-ωt), with these solutions being able to be written as u1 = A1 cos(ωt) + B1 sin(ωt) and u2 = A2 cos(ωt) + B2 sin(ωt), where u1 and u2 represent standing waves in simple harmonic movement (SHM) that is, as a linear combination of the sine and cosine functions.

As the objective is to analyze only the structural vibrational movements of axial deformation of linear diatomic molecules, that is, the asymmetric stretching mode, it is necessary to eliminate the translational movement of the molecule so that the center of gravity of the system is fixed. For this to happen, the linear resulting momentum must be zero,5 i. e.,

Therefore, u1 and u2 vibrate with the same fundamental frequency ω and in opposite directions. From Equations 15 and 17, a single equation results, given by

whose solution is a stationary wave u1 = A1 cos(ω1t) + B1 sin(ω1t), being

the fundamental circular frequency, while natural frequency of vibration v1 is given by

and µ = (M1M2) × (M1 + M2)-1, the reduced mass of the system.8 Once the u1 movement is known, the u2 movement can be obtained using Equation 17, where both movements have the same frequency as the u1 movement. From Equations 5 and 20 we have the wavenumber

This model for molecular vibrations of longitudinal linear diatomic bonds presented here, in this study, will be called by us as reduced mass linear diatomic model or simply RMLDM. Other authors3,9 developed this same model, but using other methodological approaches. Figure 3 shows a linear diatomic molecule with fixed ends and springs with the elastic constant k.

 

 

In this model each ion moves like a simple harmonic oscillator (SHO) around their equilibrium positions, where r0 is the equilibrium distance between them and is called bond length. There are two normal modes of internal vibrations, one when the two ions move with the same frequency as the ion of M1 mass and the other with the same frequency as the ion of M2 mass. In linear diatomic molecules, if we only consider the linear movement of each ion, there will be only one type of internal vibration,5 which is the "stretching" mode (symmetric or asymmetric) that is the simplest mode of internal vibrational motion in a molecule and, only one in the linear case, which can be active in IR radiation.

Therefore, Figure 3 shows each vibrational movement of the bond between the two ions being represented by individual harmonic oscillator models and as reported by Pavia et al.1 "if the frequencies of the IR radiation are equivalent to the frequencies of the normal modes of vibrations and if there is absorption of radiation by the molecule, the absorbed energy serves to increase amplitudes of vibrations" (p. 17). The equations of molecular motion represented by Figure 3 are obtained from Equations 7 and 8, making k = K = G and using the imposed fixed border conditions given by u1(a,t) = u2(-a,t) = 0. So, we have

and

Using the Equation 17, we obtain

where the two Equations 22 and 23 are reduced to only one. Suppose that in t = 0, a force E with an electric component E = E0 cos (wt) begins to act in the system on the particle of M1 mass (and so on the M2). The movement equation for M1 is given by

where E1 = EO M1-1.

Doing α1 = k (2M1-1+M2-1)> 0, with ω12 = α1, we have,

that is the fundamental frequency of M1 particle. The solution of Equation 25 for the u1 movement is given by Boyce and DiPrima,10 as

The M1 movement is periodic, forced and without damping, where the u2 displacement has the same period ω = ω1 of u1. The solution given by Equation 27 is now depending on the C1 and C2 parameters, which can be determined by the initial conditions. If u10 = u1(0) and , then C1 = u1(0) and C2 . Using Equation 24 we can obtain the initial conditions for the u2 movement. In an entirely analogous way, we obtain from Equation 24,

Suppose that, at t = 0, an electric field E with an electric component E = E0 cos (ω2t) begins to act in the system on the particle of M2 mass (and so on the M1). The movement equation for M2 is given by

where E2 = E0M2-1. Making , with ω22 = α2, that is,

that is the fundamental frequency of the M2 particle. The u2 movement is given by Equation 26, in the form10

The M2 movement is periodic, forced and without damping where the u1 movement has the same period ω = ω2 of u2. The solution given by Equation 31 is now depending on the C1 and C2 parameters, which can be determined by the initial conditions. If u20 = u2(0) and , then C1 = u2(0) and . Using Equation 28, we can obtain the initial conditions for the u1 movement. This model of representation for the vibratory movement of a 1D linear diatomic molecule will be called by us as linear diatomic model or simply LDM model.

Molecular dipole moment

As reported by Lima,11 "an electric dipole is the set of two charges of equal magnitude, but with opposite signs and separated by a certain distance. The molecules can constitute the dipoles if exists a separation of electric charges due the variations in electronic densities between the most electronegative atom, which receives electrons, and the most electropositive, which gives up electrons" (p. 182).

The dipole moment is a vector quantity µ, with magnitude µ that is equal to the product of the electric charge by the separation distance between the charges and having the same direction from the negative charge to the positive charge, on the line connecting the centers of the charges and, in terms of equation, is given by

where r is the magnitude vector of the bond and sense of the negative charge to positive charge, being δ the difference in electronegativity between them, that is, the difference between the most electronegative and the most electropositive atom.11 We can define the oscillating dipole moment of this diatomic linear molecule by

where is the variation of the oscillate dipole moment. A vibrational mode will be active in IR when , that is, if there is a change in the dipole moment of the molecule. The sodium chloride (NaCl) is an ionic bond, because the difference in electronegativity between them is NaClδ = Clδ- - Naδ+ = 3.0 - 0.9 = 2.10 > 1.7.

In equilibrium position, from Equation 33, NaCl molecule has an original dipole moment µNaCl = 2.10 × 2.82 × 10-10 D ≠ 0, where D, is the unity magnitude of the dipole moment.11

Elements of quantum mechanics

The harmonic oscillator of frequency n has states with constant energy with spacing given6 as

where n = 0, 1, 2,..., and h = 6.6262 × 10-34 J s is the Planck constant.7 We can consider the harmonic approximation with the LDM model, as a system formed by two independent harmonic oscillators, with frequencies ω = ω(q). Thus, for each normal mode of vibration of the ions (or atoms) in this chemical bond; the permitted absorption energies are given by Equation 34. For n = 0, E0 = is the minimum energy for a particle bound in the potential and its existence is required by the Heisenberg uncertainty principle, which establishes that it is impossible to simultaneously measure with precision certain physical proprieties.6 Since the energies of each normal mode of vibration are quantized, the energy transition between two states occurs through the absorption or emission of an excitation of a wave vector, q, and energy (2π)-1 hω(q) = hν.

According to Rodrigues,3 "if a molecule interacts with an electromagnetic field, an energy transfer from the electric field E to the molecule can only occur when the Bohr frequency condition is satisfied, i.e.,

that is, the differences between two energy states must be equal to hn which is the energy of classical harmonic oscillator with frequency n.3 From Equation 35, the frequency of radiation absorption or emission for a transition between two quantized states is given by

The specific selection rules for a change in the vibrational state of a diatomic molecule in the IR are Δν = ± 1.6

 

RESULTS AND DISCUSSION

Figure 4 shows the crystal structure of NaCl. This structure is a face-centred cubic Bravais lattice with a diatomic basis consisting of a sodium ion at 0 position and a chloride ion at the centre of the conventional cubic cell with the reticular parameter a = 5.64 × 10-10 m.7

 

 

To use the RMLDM model, the following parameters were considered,12 M1 = MNa = 2.99 × 1.66 × 10-27 kg, M2 = MCl = 35.45 × 1.66 × 10-27 kg; = 786 kJ mol-1 = 1.30 × 10-18 J, where is the dissociation energy of the NaCl ionic compound which can be determined experimentally. With the experimental data r0 and it is possible to obtain the calculated constant of the elastic force k = 11.82 × 105 dinas cm-1, with E0 = 4.5 × 10-10 J m-1 being the amplitude of electric wave adopted in this study.

The circular and the oscillation frequency are given by Equations 19 and 20, respectively, with approximate values = 2.26 × 1014 rad s-1 and = 3.61 × 1013 Hz, being the wavenumber = 1203 cm-1 obtained from Equation 21 and the wavelength = 8.30 × 10-6 m. These parameters are closer, respectively, to = 3.97 × 1013 Hz, = 1325 cm-1 and = 7.55 × 10-6 m parameters, obtained in extreme of the first Brillouin zone, that is, q = πa-1 = 5.57 × 109 m, is related with the optical branch (O), being = 3.97 × 1013 Hz the lowest frequency value in the optical branch. The calculated circular frequency ω = 2.26 × 1014 rad s-1 is in the gap region, that is, which can be obtained from Equation 12, close to = 2.49 × 1014 rad s-1 frequency, that is the final value of the gap region or where the optical branch begins.

The is the lowest calculated frequency of the acoustic branch (A) where begins the "gap" region, i.e., the region where the frequencies are independent of q, with q varying in the BZ. Although the wavenumber = 1203 cm-1 is located in MIR region, that is, 4000 → 400 cm-1, the RMLDM model shows that the equation ω(q) = 2.26 × 1014 rad s-1 has no real solution. Therefore, from a theoretical point of view of the RMLDM model, the NaCl molecule is inactive during the IR radiation exposure. As reported by Rodrigues:3 "generally, samples subjected to IR radiation are placed in sample holders made that do not absorb radiation in the IR therefore, this is an of principal reason why the NaCl material is frequently used for this practical" (p. 22-23). Despite that, Pavia et al.1 reported: "IR absorption of the NaCl beginning to appear in = 650 cm-1 near to the bottom edge of the FIR region 400 → 100 cm-1" (p. 26).

Yet according to Pavia et al.,1 "no other absorption bands below was observed and, for that reason, the spectroscopy using NaCl plates varies in the extension 4000 → 650 cm-1" (p. 26). However, absorptions may occur in the low energy region, i.e., in the FIR region and are related with the lattice vibrations.7 In fact, absorptions in the FIR region, that is, 100 → 250 cm-1 can occur with the NaCl being generally associated with lattice vibrations, as described by Kittel.15 Unfortunately, Pavia et al.1 did not provide further details on their affirmation about IR absorption of NaCl with the wavenumber = 650 cm-1.

Using this wavenumber and Equation 5 it is possible to obtain the circular frequency = 1.22 × 1014 rad s-1. The Newton-Raphson method13 was applied with the function , where ω = ω(q) is given by Equation 12 and the value q = 2.77 × 109 m was obtained. The RMLDM model shows that this absorbed radiation is in the acoustic branch in the lower energy region where the vibrations are of elastic nature in the form of phonon absorption. Figure 5 shows only the elastic radiation absorption for the NaCl ionic compound in the acoustic branch with the calculated maximal circular frequency = 3.20 × 1014 rad s-1 with the RMLDM model.

 

 

The RMLDM model does not provide any information about the normal modes of vibrations of each ion in the 1D unitary cell of the Na+Cl- bond. Let us consider in Figure 3 that the masses M1 and M2 represent, respectively, the sodium and chloride ions. Supposed that in t = 0, the ions sodium and chloride are in equilibrium, that is, u1(0) = 0, = 0, u2(0) = and =0. These initial conditions are the simplest to apply and means that the ions are in equilibrium, in the sense of the attractive and repulsive forces are equal being that, others fixed initial conditions can also be applied. At the same time, a magnetic electric field excites the diatomic linear NaCl ionic compound in an experimental procedure. The electrical component of the E electric field vector is given by E = E0 cos (ω1t), having the same frequency ω1 as the sodium ion. From Equations 24 and 28, and with the initial conditions can be obtained

and

Therefore, the sodium and chloride ions oscillate in asymmetric stretching mode with the same frequency of the sodium ion and compatible with the IR radiation absorption. From Equation 26, we have (q = 3.38 × 109 m) = 2.87 × 1014 rad s-1, the frequency = 4.57 × 1013 Hz with the wavenumber = 1524 cm-1 and wavelength = 6.56 × 10-6 m, where these parameters are compatible with MIR absorption radiation. Suppose now the same initial boundary conditions of the previous case, with E = E0 cos (ω2t) the electric component of the electromagnetic radiation that begins to act on the system on the particle of M2 mass with the same frequency of chloride ion obtained by Equation 30 as, = ω2 (q = 4.33 × 109 m) = 2.67 × 1014 rad s-1. Results from Equation 24, u1, = - (M2M1-1)u2 and the movement for the chloride ion is given by Equation 31, resulting in

and

for the sodium ion. The frequency of the molecular vibration is = 4.33 × 1013 Hz and wavenumber = 1421 cm-1 with wavelength = 7.00 × 10-6 m, where these parameters are too compatible with MIR radiation.

The acoustic branch is associated with sound wave vibrations, typically at small values of q, whereas the optical branch involves the interaction of molecules with electromagnetic radiation, corresponding to high vibrational frequencies.

Figure 6 shows the circular vibrations of the NaCl molecule with the sodium frequency and the chloride frequency, both in the optical branch of higher energies therefore, sensible to IR radiation.

 

 

As previously reported, the RMLDM model showed a (minor) circular frequency in the branch acoustic, and this can be due to the fact that the equivalent mass of the bond is smaller when compared to the individual masses of the vibrational system.8 The fundamental frequency ω1 = ωNA+ obtained with the LDM model is slightly greater than the fundamental frequency for chloride ion ω2 = ωC1- and this fact is in agreement with that reported by Boyce and DiPrima10 where, accordingly with these authors, "heaver bodies oscillate more slowly" (p. 128). Equations 27 and 31, used to represent vibrational movements of each ion (or atom) with the LDM, show an unlimited increase in their amplitudes due to the absorption of IR radiation.

However, this constant growth in amplitudes constitutes a clear physical limitation of the classical physical models. Let us assume that the NaCl vibrates with the same fundamental frequency, νfNa+ = 4.58 × 1013 Hz, of the sodium ion and with the same frequency of the electromagnetic radiation. The EOSC = hνfNa+ 3.02 × 10-20 J (≡ 18.26 kJ mol-1) is the fundamental energy of the harmonic oscillator. The Bohr frequency condition is valid to E1 - E0 and E2 - E1. Therefore, with base in LDM model that vibrates with sodium frequency shows that it is possible for the Na+Cl- molecule to absorb IR radiation with the wavenumber = 1524 cm-1. In an entirely analogous way, let us assume that the NaCl molecule vibrates with the same fundamental frequency of the chloride ion, = 4.26 × 1013 Hz and with the same frequency of the electromagnetic radiation, where = 2.82 × 10-20 J (≡ 16.97 kJ mol-1) is the energy of the simple harmonic oscillator of this system. The Bohr frequency condition will be valid for n = 1, 2. Therefore, the LDM model shows that is possible for the NaCl ionic compound to absorb IR radiation with the wavenumber = 1421 cm-1.

The equations of energy for the displacement u1 and u2 can be obtained from the classic physics equation given by5

while vibration energies of each ion of the sodium chloride compound can be estimated using the classical equation for individual energy

where Ei (t) is the vibration energy of each ion, i = 1 representes the sodium ion and, i = 2 the chloride ion. Combining Equations 41 and 42, and using the Bohr frequency condition given by Equation 34, we estimate the energy of each ion and the molecular energy for the NaCl ionic compound. Table 1 shows these data obtained with the LDM model.

 

 

In Table 1, n is the quantum number, and are, respectively, the energies of the sodium and chloride ions in each level, while and are, respectively, the energies of the NaCl molecule estimated by the LDM model and by quantum energy given by Equation 34. The results are in good agrement with the quantum data.

The meaning of each column in Table 2 has already been explained for the columns of Table 1.

 

 

The energy data estimated by the LDM model and those obtained by Equation 34 are also in good agreement, except in level n = 0. The LDM model can estimate the energies abosorbed by each ion of the NaCl molecule when exposed to IR radiation. Although the LDM model is just a simplification of vibrational reality, it provides good approximations for this complex understanding.

Tables 1 and 2 show that these radiation absorptions in the IR are in good agreement with the absorption range given by Pavia et al.,1 1.32 → 6.64 (× 10-20) J or between 8 → 40 kJ mol-1. And according to this author, "the absorbed energy increases the amplitude of the vibrational movements of the bond in the molecule" (p. 17).

From a point of view of the classical mechanics a more realistic representation of the energy absorption wave is not realistic when large time intervals are used, but a pictorial representation of this phenomenon can be applied, in a restrict way, to provide some more data of interest. Figure 7a shows the energy absorption of the sodium and chloride ions with the same frequency of sodium, while the Figure 7b shows the energy absorption of the sodium and chloride ions with the same chloride frequency. It can be noted that the sodium ion absorbs energy more quickly than chloride ion.

 

 

The blue dotted line acts as a superior limit to energy gains by the molecular varying between 7.0 × 10-20 and 7.5 × 10-20 J. These lines represent the theoretical maximum quantum energy admitted for the NaCl molecule with each vibrational frequency.

From the maximum absorption energies of NaCl molecule, the maximum vibrational amplitudes of each ion of the molecular bond can be estimated using Equations 41 and 42. For NaCl with the molecular frequency, νfNa+ = 4.57 × 1013 Hz we have approximated the energies of each ion, as well as the vibrational amplitudes at the quantized energy level n = 2 given by and .

The quantum amplitudes and were calculated using the Schrödinger equation14 given by

where UQ is the vibrational amplitude of the ion at quantum level n, ω is the circular frequency and µ is the reduced mass of the ion in molecule. The estimates of the vibrational amplitudes for the sodium and chloride ions at level n = 2 is within the range of absolute amplitudes of the normal modes of vibration that vary, according Rodrigues,3 in the range 1 → 10 × 10-12 m. This extension also represents the admissible percentage for variation amplitudes in relation to the bond length between the sodium and chloride ions. In fact, the greatest vibrational amplitude was for sodium ion at = 9.53 × 10-12 m that is nearly 4.1% r0, where r0 = 2.28 × 10-10 m is the the bond length of NaCl.

The maximum energy absorption of NaCl with the molecular frequency, νfC1- = 4.26 × 1013 Hz, can also be estimated by the LDM model and .

The results of the maximum vibrational amplitudes for sodium and chloride ions are nearly the average vibration amplitude of the lattice, given by U0 = 6.17 × 10-12 m. This estimate was obtained using the Equation 31 reported by Kittel16 and not showed here. The results show that the vibrational amplitudes in n = 2 level are in good agreement with the sodium ion and in reasonable agreement with the chloride ion. Figures 8a and 8b show asymmetric stretching model for the NaCl molecule at the quantum level n = 2 with the two normal vibration modes. In Figures 8a and 8b, the amplitude of the sodium ion is bigger than the chloride ion. The continuous lines are the quantum amplitudes at level n = 2 of the ions in the molecular vibrations of NaCl, while the dotted lines are the maximum calculated amplitudes with the LDM model.

 

 

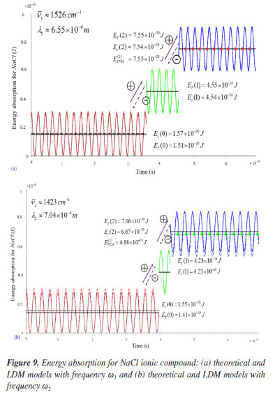
As we emphasized previously, the graphs in Figures 8a and 8b of the vibratory movements of the molecule do not correspond, over time, to the physical reality of the phenomenon, like for example, the unlimited increase in their amplitudes. Despite this, these figures show the ionic vibration in the asymmetric stretching mode, which is therefore sensible to the absorption in IR radiation that correspond to energy changes in the order of 8 → 40 kJ mol-1.1 Figures 9a and 9b show that the theoretical and calculated energy of absorption for NaCl in IR radiation occurs eminently at the n = 2 quantum level, particularly with the chloride ion frequency. However, this may be due to the fact that the energy of the wave amplitude of the electric field used in this study is slightly higher than that of the experimental procedures. However, this high intensity of the electric wave was intended to evaluate possible more significant distortions in the vibrational amplitudes of the ionic compound. Yet, the results of the estimates for the vibrational amplitudes obtained in this theoretical study do not indicate any anomalous vibration.

 

 

Figures 9a and 9b show the constant energy variations in IR radiation of magnitude EfNa+=hvNa+ for the NaCl ionic vibration in frequency = 4.57 × 1013 Hz and EfC1- = hvC1- for the NaCl ionc vibration in frequency = 4.26 × 1013 Hz corresponding at quantum levels n = 1, 2. The wavenumbers of radiation are, respectively, 1526 cm-1 and 1423 cm-1 according to the vibrational frequencies of ionic NaCl in the MIR region, with the wavelength radiation being, respectively, λ1 = 6.55 × 10-6 and λ2 = 7.04 × 10-6 m. At this time, the classical model LDM for energy used in Figures 7a and 7b was adapted to an approximation with the quantized energy model through of the calculated equations

where the subscript i designates, respectively, the NaCl compound energy with frequencies of the sodium, if i = 1 and chloride ion, if i = 2, while the subscript j indicates the quantum level of molecular energy. The t1 and t2 parameters are the times where the energy jumps occur.

This methodology can also be applied for other diatomic molecules. Max Planck's quantum theory stablishes that the energy of a body is quantized, that is, it can only have specific values.16 The equation that relates the energy of an object, E, and it is vibrational frequency, n, has already been mentioned previously and is given by E = hn, which is the classical oscillator energy. Figures 9a and 9b also show the theoretical and estimated absorption energy for the NaCl ionic compound in IR radiation represented, respectively, by ET(n) = E(n) and EC(n). The results show that the significant energy absorption must occur predominantly at level 2, especially when the NaCl molecule vibrates at the lower frequency of the chloride ion as can be seem in Figure 9b. The duration time for energy to change from level one to level two can be estimated using the LDM model in t ≅ 10-14 s, that is, it is as if there were no level n = 1 of radiation absorption by the NaCl molecule with these conditions.

Figures 9a and 9b seen to suggest a good connection between the absorbed energy estimated by the LDM model and the quantized energy. In fact, without loss of generality, let us consider the time t2 for the NaCl to vibrate with energy E(2) in ω1 frequency. Using the mean value theorem (MVT)18 in the range [t2, t2 + T1], where t2 = 4.53 × 10-13 s is the time of the second quantum jump at level n = 1 to level n = 2, where T1 = is the period of a complete oscillation of the absorption energy wave of the NaCl. Therefore, using Equation 44 and the MVT theorem,17 we have the mean absorption energy Ea = Ea(t) in T1 time interval given by

where t2 = 4.53 × 10-13 s, with the mean value in good agreement with quantum value for level n = 2. More generally, this combination of continuous classic energy and quantized energy jumps, allows a theoretical approximation between the quantum level of absorption energy and classical average energy given by

where is the time interval necessary for the molecule start to vibrate with energy at quantum level n. Since the average energy is estimated over each time interval of constant period Ti, using Equation 44 for n = 2, we have

where i = 1, 2 refers, respectively, to ω1 and ω2 circular frequencies of NaCl ionic compound, is the period of each ω1 circular frequency and k = 1, 2,...

We can use Equation 46 to obtain an estimate of the energy absorption for the NaCl molecule vibrating with frequency ω1 at the energy level n = 2 using Equation 47:

This result shows a good agreement between the quantized energy for the NaCl molecule at the single level n = 2 and the methodoloy applied here that combines classical equations of continous energy and quantized energy. Previously, Figures 9a and 9b show a picture with quantum theoretical of energy absorption for the NaCl compound only at the level n = 2 represented by a continuous line, the energy absorption estimated by the LDM model represented by a dotted line, and Equation 47 represented by small balls equally spaced in a time interval Δt = T1 = 2.18 × 10-14 s. Our methodology, using the Equations 46 and 47, seems to indicate that it is a best classical approximation of energy absorption in IR radiation for other diatomic molecules or same ionic compounds. In fact, Equations 46 and 47 show an intermediate theory of absorbed radiation for a diatomic polar substance when excited by IR radiation and a classical quantum theory.

Unfortunately, this methodology can not to be applied at level n = 1 due to the incomplete cicle of continuous absorption energy by the NaCl ionic compound. In fact, in Figure 9a, Δt12 = t2 - t1 = 0.1 × 10-13 s ≤ T1 = 2.18 × 10-13 s, i.e., the oscillation time of the absorption energy at level n = 1 is much shorter than the period of a complete oscillation of the energy wave. Thererfore, the LDM model, when combined with Equation 47, could not represent the absorption in IR radiation for the NaCl compound at this quantum level n = 1 within this small-time interval. The same occurs in Figure 9b, where, according to the quantum theory the variation, Δt12 = t2 - t1 = 0.01 × 10-13 s ≤ T2 = 2.34 × 10-13 s, is approximately the time for the energy jump from level n = 1 to n = 2. These results obtained with the LDM model seems to indicate that absorption energy of the NaCl compound would be sensible in the spectrum of IR only in the quantum level n = 2. As we said earlier, this methodology can, in principle, be applied to obtain significant data for molecular vibrations with two or more atoms in linear geometry like, for example, HCl and KBr. The LDM model seems to be a reasonable approximation for a realistic representation of the quantum "jumps" of energy as postuled by Max Planck and, when it is combined with Equation 47, a smooth transition from the classical model for energy absorption or emission to quantum jump is revealed.

The variations observed in the amplitudes of the NaCl ionic compound with the maximum absorbed energy, seem to agree with Tosato et al.18 that reported: "the NaCl crystal lattice, undergoes small distortion when faced with an electromagnetic field, due to the ions being attracted in opposite directions" (p. 1). Furthermore, each ion in NaCl is strongly bound or attracted to its opposite neighboring ions in the crystal lattice and this may result in a symmetric and stable configuration.12 Everething indicates that despite this, from a theoretical point of view, significant variations occured in the vibrational amplitudes of the sodium and chloride ions of the NaCl ionic compound, but they were not sufficient to cause a important variation in the ionic dipole moment of the compound and, thus, the spectrum of IR absorption is not capable of registering significant energy peaks or, if it does, it is too weak to be considered relevant. This theoretical study on longitudinal vibrations of the NaCl 1D crystal suggests a more accuraty experimental procedure using a greater variation in the magnitude of electric waves to verify or not intensity peaks in the lines 1526 cm-1 and 1421 cm-1.

 

CONCLUSIONS

Two classical physics models incorporating some elements of quantum mechanical theory were used for a theoretical analysis to determinate the possible absorption of infrared radiation by the sodium chloride ionic compound when excited by an electromagnetic field. The RMLDM model showed that NaCl compound is inactive in infrared radiation absorption because its fundamental vibration frequency does not belong to the optical branch. The second model, the LDM model, indicated that if an electric field vibrates at the same frequency as each of the two fundamental frequencies of NaCl, there may be, from a theoretical point of view, absorption in the absorption lines = 1524 cm-1 and = 1421 cm-1.

Furthermore, it is possible with the LDM model to obtain the maximum vibration amplitudes β for each ion in the system varying at 5.5 × 10-12 ≤ β ≤ 9.5 × 10-12 m. The LDM model provides a clear view of the relationship between the energy, frequency and the displacements of the sodium chloride ions in the 1D crystal lattice. These estimated displacements were compared with the same parameters obtained by the quantum equations and the results showed good agreement between them. Despite the theoretical absorption at maximum quantum level n = 2 for the NaCl molecule, this energy seems insufficient to cause greater variations in the vibrational amplitudes of the bond ions, with a consequent absence of important variations in the ionic dipole moment, causing a weak or even an absent absorption in the IR spectrum.

 

REFERENCES

1. Pavia, D. L.; Lampman, G. M.; Kriz, G. S.; Introduction to Spectroscopy: A Guide for Students of Organic Chemistry, 3rd ed.; Harcourt College Publishers: San Diego, 2001.

2. Maoz, D.; Astrophysics in a Nutshell, 2nd ed.; Princeton University Press: New Jersey, 2007.

3. Rodrigues, T. P.: Espectroscopia Vibracional, Técnicas Fototérmicas e Quimiométricas para Caracterização Físico-Química de Diesel e Combustíveis Alternativos; Tese de Doutorado, Universidade Estadual de Maringá, Maringá, Brasil, 2017. [Link] accessed in March 2025

4. Synge, J. L.; Griffith, B. A.; Mecânica Racional, 2ª ed.; Globo: Porto Alegre, 1969.

5. Bassanezi, R.; Ferreira Junior, W. C.; Equações Diferenciais com Aplicações; Harbra: São Paulo, 1988.

6. Atkins, P.; de Paula, J.; Físico-Química, vol. 1, 10ª ed.; LTC: Rio de Janeiro, 2021.

7. Ashcroft, N.; Mermin, D.; Solid State Physics, 1st ed.; Cengage Learning World Book Publishing Company: New York, 1976.

8. de Oliveira, M. S. B.; Revista Contribuciones a Las Ciencias Sociales 2023, 16, 12. [Crossref]

9. Brillouin, L.; Wave Propagation in Periodic Structures, 2nd ed.; Dover: New York, 1953.

10. Boyce, W. E.; DiPrima, R. C.; Equações Diferenciais Elementares e Problemas de Valores de Contorno, 6ª ed.; LTC: Rio de Janeiro, 1999.

11. Lima, L. S.; Revista Ciência Elementar 2015, 3, 182. [Crossref]

12. Callister, W. D.; Rethwisch, D. G.; Ciência e Engenharia de Materiais: Uma Introdução, 9ª ed.; LTC: Rio de Janeiro, 2016.

13. Franco, N. M. B.; Cálculo Numérico, 1ª ed.; Pearson: São Paulo, 2007.

14. Griffiths, D. J.; Mecânica Quântica, 2ª ed.; Pearson: São Paulo, 2011.

15. Kittel, C.; Introduction to Solid State Physics, 8th ed.; John Wiley & Sons: New York, 2005.

16. Sturdat, N.; Rev. Bras. Ensino Fis. 2000, 22, 523. [Link] accessed in March 2025

17. Guidorizzi, L. H.; Um Curso de Cálculo, vol. 2, 5ª ed.; LTC: Rio de Janeiro, 2002.

18. Tosato, M. G.; Dias, I. F. L.; Martin, A. A.; XII Encontro Latino Americano de Iniciação Científica e VIII Encontro Latino Americano de Pós-Graduação - Universidade do Vale do Paraíba; Vale do Paraíba, Brasil, 2008. [Link] accessed in March 2025

 

Associate Editor handled this article: Lucia Mascaro

On-line version ISSN 1678-7064 Printed version ISSN 0100-4042
Qu�mica Nova
Publica��es da Sociedade Brasileira de Qu�mica
Caixa Postal: 26037 05513-970 S�o Paulo - SP
Tel/Fax: +55.11.3032.2299/+55.11.3814.3602
Free access

GN1