JBCS



12:28, sáb out 25

Acesso Aberto/TP



Artigo

Peltogynoids from Peltogyne catingae Ducke and their antifungal potential against Sporothrix spp.

Davi S. OliveiraI; Priscila B. A. de SouzaI; Luiz Henrique K. Queiroz-JuniorII; Denise O. ScoarisIII; Luana P. da SilvaIII; Claudete C. do NascimentoIV; Maria da Paz LimaIV,*

I. Instituto de Ciências Exatas, Universidade Federal do Amazonas, 69080-900 Manaus - AM, Brasil
II. Instituto de Química, Universidade Federal de Goiás, 74690-900 Goiânia - GO, Brasil
III. Diretoria de Pesquisa e Desenvolvimento, Fundação Ezequiel Dias, 30510-010 Belo Horizonte - MG, Brasil
IV. Coordenação de Tecnologia e Inovação, Instituto Nacional de Pesquisas da Amazônia, 69067-375 Manaus - AM, Brasil

Received: 01/21/2025
Accepted: 05/06/2025
Published online: 06/16/2025

Endereço para correspondência

*e-mail: mdapaz@inpa.gov.br

RESUMO

Peltogyne catingae is an Amazonian species with a purple heartwood that is highly resistant to attacks by xylophagous organisms. This antimicrobial property may be related to modified flavonoids known as peltogynoids. This study analyzed the composition of peltogynoids extracted from P. catingae wood residues using high performance liquid chromatography-mass spectrometry (HPLC-MS) and nuclear magnetic resonance (NMR). Additionally, their antifungal activities were assessed against fungi isolated from Sporothrix schenckii (ATCC 32286) and Sporothrix brasiliensis (clinical isolate), which cause feline sporotrichosis. The isomers (+)-peltogynol (1) and (+)-mopanol (2) and their respective epimers (+)-peltogynol B (3) and (+)-mopanol B (4) were identified. The mixture of peltogynoids 1-4 showed promising results as a fungicidal agent against S. schenckii (MIC 31.25 µg mL-1) and a fungistatic effect against S. brasiliensis (MIC 62.50 µg mL-1). The 1D and 2D NMR spectroscopic results of epimers 3 and 4 are described here for the first time. The peltogynoids identified in this study are candidates for antifungals for the treatment of feline sporotrichosis.

Palavras-chave: Fabaceae; roxinho; modified flavonoids; sporotrichosis.

INTRODUCTION

Sporotrichosis is a subcutaneous mycosis of worldwide distribution that has importance in human and veterinary medicine and is caused mainly by fungi of the genus Sporothrix. According to the World Health Organization (WHO) in areas where it is hyperendemic cause between 25 to 100 cases per 100,000 people.1 In Brazil, this mycosis is of great importance for public health due to outbreaks of zoonotic transmission in animals and humans. It occurs through bites and scratches, particularly from infected cats in regions with poor socio-environmental conditions and in vulnerable populations.2 Nodules and ulcers in the skin and subcutaneous tissue are common lesions in animals and humans and can result in systemic complications, especially in immunocompromised patients.3 Itraconazole is the most effective drug for treatment, but with the emergence of resistant strains of Sporothrix schenckii and Sporothrix brasiliensis (the most common species in Brazil), the clinical cure of patients is difficult and the therapeutic arsenal to treat these infections appears to be limited.4 Metabolic screening of plants provides a wide variety of bioactive compounds, including antifungals;5 however, there is still a lack of biological studies related to Sporothrix spp. fungi, and research predominantly involves tests with essential oils and plant extracts.5,6

The wood of Peltogyne spp. (Fabaceae) exhibits a purple coloration and is highly resistant to attack by insects and xylophagous fungi, the polar extract of Peltogyne sp. is reported as an antifungal whose active principle was attributed to a peltogynoid.7 The purple pigment from the heartwood of Peltogyne mexicana rich in phenolic compounds has shown potential for use as a food dye.8 The natural resistance of the purple-colored wood may be related to the presence of flavonoids that are modified with an additional D ring, known as peltogynoids, which have restricted distribution in the plant kingdom.9 Therefore, Peltogyne spp. may have acquired chemical defenses against xylophagous fungi, and these compounds may be similarly active against pathogens of medical and veterinary interest.10

Phytochemical studies with wood residues from other Fabaceae species carried out in partnership with the Laboratório de Tecnologia da Madeira of Instituto Nacional de Pesquisas da Amazônia (INPA) showed the predominance of flavonoids including isoflavonoids which have been associated with the resistance of high density wood to pathogenic fungi.11 This study has objective to investigate and identify the chemical composition of the peltogynoids present in the wood residues of Peltogyne catingae and to evaluate their antifungal activity against Sporothrix schenckii and S. brasiliensis.

 

EXPERIMENTAL

General experimental procedures

Nuclear magnetic resonance (NMR) spectra were obtained on a Bruker Avance III 400 spectrometer (Bruker BioSpin, Rheinstetten, Germany). The chromatographic profile was evaluated on a high-performance liquid chromatograph (HPLC) Shimadzu Prominence LC-20 (Shimadzu Corporation, Kyoto, Japan) equipped with a diode array detector (DAD) using a Phenomenex RP-18 column (150 × 2.10 mm, 2.6 μm) (Phenomenex Inc., Torrance, USA). High-resolution mass spectra were obtained on a MicroTOF-QII spectrometer (Bruker Corporation, Bremen, Germany) equipped with an electrospray ionization (ESI) source in negative mode. Thin layer chromatography (TLC) was performed with precoated silica gel plates F254 (Merck, Darmstadt, Germany). The following technical solvents P.A. (Synth, Brazil) were used: hexane (CAS 110-54-3), methanol (CAS 67-56-1), dichloromethane (CAS 75-09-2), ethyl acetate (CAS 141-78-6). Methanol HPLC (CAS 67-56-1) and formic acid HPLC (CAS 64-18-6) were obtained from Sigma-Aldrich (USA). The membrane filter was purchased from Merck Millipore, (Darmstadt, Germany) and C18 solid phase extraction - Strata 55 µm from Phenomenex Inc. (Torrance, USA).

Woody residues: acquisition, species identification, extraction and purification of compounds

Samples of P. catingae from wood residues were supplied by Laboratório de Tecnologia da Madeira (LTM) of the Instituto Nacional de Pesquisas da Amazônia (INPA) within the scope of the project Madeiras da Amazônia - Instituto Nacional de Ciência e Tecnologia. The larger residues had been previously evaluated for their technological properties and the smaller residues resulting from these procedures became available for phytochemical studies and registered in the Sistema Nacional de Gestão de Patrimônio Genético e do Conhecimento Tradicional Associado (SisGen A937AC8). The identification of the wood samples was done via macroscopic comparisons with standard samples from the xylotheque at INPA.

The wood residues (300 g) were ground in a Wiley knife mill, and then subjected to extractions by maceration with hexane followed by methanol (seven days in each solvent). The dried hexane (0.077 g) and methanol (12.8 g) extracts were kept refrigerated at 4 ºC. A portion of 150 mg of the methanolic extract was subjected to a liquid-liquid partition, then dissolved in an aqueous mixture of water:methanol (70:30 v/v) and subjected to successive extractions with hexane, dichloromethane and ethyl acetate. The ethyl acetate phase (EtOAcP) yielded 98.8 mg, of which 15 mg was used for the C18 solid phase extraction (Strata, 55 µm), which was eluted in water:methanol (80:20 and 1:1 v/v) and methanol. The water:methanol 80:20 eluate (EtOAcP1, 10 mg) provided compounds 1-4.

Analysis of EtOAcP1 using HPLC-DAD coupled to mass spectrometry

The high-performance liquid chromatography with diode array detection-mass spectrometry (HPLC-DAD-MS) was used to identify the compounds of EtOAcP1. The sample was prepared in methanol at a concentration of 1 mg mL-1 and filtered through 0.45 μm membrane filter (Millipore filter). The studies were carried out on a Phenomenex RP-C18 column. The mobile phase consisted of water with formic acid (0.1%) for A and methanol for B, using the following gradient method: 0.0-10 min 5.0% B; 10.0 min 100% B; 10.0-12 min 100% A. The flow rate was 200 μL min-1. The DAD detector operated in the scanning range of 190-400 nm. Electrospray ionization (ESI) was used as the ion source in negative mode. The ESI parameters were as follows: capillary voltage 70 V; drying gas pressure 15 psi; drying gas temperature 350 ºC. The mass range (m/z) of 50-1200 Da.

1D and 2D NMR analysis

For the NMR analysis, 9.0 mg of the 80:20 eluate was used. The 1D (1H, 13C and distortionless enhancement by polarization transfer, DEPT-135) and 2D (heteronuclear single-quantum correlation (HSQC), heteronuclear multiple bond correlation (HMBC) and J-Res) spectra were obtained on a Bruker Avance II 400 MHz spectrometer using standard pulse sequences. The spectroscopic data resulted in the identification of compounds 1-4, according to the following data:

(+)-Peltogynol (1)

1. H NMR (400 MHz, CΔ3OD) d 7.31 (d, J 8.5 Hz, H-5), 7.02 (s, H-2'), 6.47 (dd, J 8.5 and 2.5 Hz, H-6), 6.46 (d, J 0.8 Hz, H-5'), 6.32 (d, J 2.5 Hz, H-8), 4.81 (d, J 14.5 Hz, H-7'a), 4.75 (d, J 10.0 Hz, H-2), 4.75 (d, J 14.5 Hz, H-7'b), 4.74 (d, J 8.5 Hz, H-4), 3.55 (dd, J 10.0 and 8.5 Hz, H-3); 13C NMR (100 MHz, CΔ3OD) d 157.8 (C-7), 155.0 (C-8a), 145.1 (C-4'), 144.2 (C-3'), 126.0 (C-6'), 128.7 (C-5), 123.6 (C-1'), 116.2 (C-4a), 112.3 (C-2'), 109.7 (C-5'), 108.9 (C-6), 102.1 (C-8), 78.2 (C-3), 71.8 (C-2), 69.1 (C-4), 67.6 (C-7').

(+)-Mopanol (2)

1. H NMR (400 MHz, CΔ3OD) d 7.31 (d, J 8.5 Hz, H-5), 6.47 (dd, J 8.5 and 2.5 Hz, H-6), 6.98 (d, J 8.4 Hz, H-2'), 6.78 (d, J 8.4 Hz, H-3'), 6.32 (d, J 2.5 Hz, H-8), 5.01 (d, J 15.4 Hz, H-7'a), 4.78 (d, J 10.0 Hz, H-2), 4.77 (d, J 15.4 Hz, H-7'b), 4.76 (d, J 8.5 Hz, H-4), 3.52 (dd, J 10.0 and 8.5 Hz, H-3); 13C NMR (100 MHz, CΔ3OD) d 157.8 (C-7), 155.0 (C-8a), 143.7 (C-4'), 140.0 (C-5'), 128.7 (C-5), 124.2 (C-1'), 122.0 (C-6'), 116.6 (C-2'), 116.2 (C-4a), 113.4 (C-3'), 108.9 (C-6), 102.1 (C-8), 77.6 (C-3), 71.8 (C-2), 69.2 (C-4), 64.8 (C-7').

(+)-Peltogynol B (3)

1. H NMR (400 MHz, CΔ3OD) d 7.15 (d, J 8.5 Hz, H-5), 7.06 (s, H-2'), 6.47 (d, J 0.8 Hz, H-5'), 6.44 (dd, J 8.5 and 2.5 Hz, H-6), 6.35 (d, J 2.5 Hz, H-8), 5.07 (d, J 10.0 Hz, H-2), 4.85 (d, J 14.5 Hz, H-7'a), 4.78 (d, J 14.5 Hz, H-7'b), 4.75 (d, J 3.5 Hz, H-4), 3.65 (dd, J 10.0 and 3.5 Hz, H-3); 13C NMR (100 MHz, CΔ3OD) d 158.7 (C-7), 155.2 (C-8a), 145.0 (C-4'), 132.0 (C-5), 125.8 (C-6'), 124.2 (C-1'), 144.2 (C-3'), 114.7 (C-4a), 112.5 (C-2'), 109.7 (C-5'), 108.8 (C-6), 102.4 (C-8), 75.7 (C-3), 67.7 (C-7'), 66.7 (C-2), 65.0 (C-4).

(+)-Mopanol B (4)

1. H NMR (400 MHz, CΔ3OD) d 7.15 (d, J 8.5 Hz, H-5), 7.03 (s, H-2'), 6.79 (d, J 8.4 Hz, H-3'), 6.44 (dd, J 8.5 and 2.5 Hz, H-6), 6.35 (d, J 2.5 Hz, H-8), 5.04 (d, J 15.4 Hz, H-7'a), 5.10 (d, J 10.0 Hz, H-2), 4.81 (d, J 15.4 Hz, H-7'b), 4.79 (d, J 3.5 Hz, H-4), 3.63 (dd, J 10.0, 3.5 Hz, H-3); 13C NMR (100 MHz, CΔ3OD) d 158.7 (C-7), 155.2 (C-8a), 143.6 (C-4'), 140.0 (C-5'), 132.0 (C-5), 124.8 (C-1'), 122.0 (C-6'), 117.0 (C-2'), 114.6 (C-4a), 113.5 (C-3'), 108.7 (C-6), 102.4 (C-8), 75.1 (C-3), 66.6 (C-2), 64.9 (C-4), 64.8 (C-7').

Antifungal activity assay

Microorganism and culture conditions

Sporothrix brasiliensis, obtained from a clinical isolate, and S. schenckii ATCC 32286, a standard isolate, were kept cryopreserved in GYMP broth (2.0% glucose, 0.5% yeast extract, 1.0% malt extract and 0.2% monobasic sodium phosphate) with 30% glycerol until the start of the assays. The yeasts were grown on brain heart infusion (BHI) agar plates (Merck) at 36 ± 1 ºC for 7 days, followed by two successive subcultures under the same conditions.12 The morphology was confirmed via optical microscopy.

Minimum inhibitory concentration (MIC) assays and determination of minimal fungicidal concentration (MFC)

The inocula were prepared according to the recommendations of the Clinical and Laboratory Standards Institute (CLSI) M27-A2 protocol.13 In a spectrophotometer at 530.0 nm, the fungal inocula (in a saline solution) were adjusted to a concentration of 1.0-5.0 × 106 cells mL-1 and then diluted in Roswell Park Memorial Institute (RPMI)-1640 broth (Gibco) buffered with 3-(N-morpholino)-propanesulfonic acid (MOPS) to a concentration of 0.5-2.5 × 103 cells mL-1.

To determine the MIC, the broth microdilution technique was used in 96-well plates, according to CLSI. The sample EtOAcP1 was solubilized with dimethyl sulfoxide (DMSO) at 5 mg mL-1 and subsequently diluted in RPMI-1640 broth buffered with MOPS at concentrations of 3.9 to 250 µg mL-1. Itraconazole (Sigma-Aldrich) at 2.0 µg mL-1 and DMSO at 1.0% were used as positive and negative controls, respectively. Fungal growth was assessed by adding the inoculum to wells containing only RPMI-1640 broth buffered with MOPS. The sterility of the culture medium was guaranteed by incubation in the assay plate. The plates were incubated at 37 ºC for five days. The tests were performed in triplicate, with the MIC being defined as the lowest concentration of sample capable of inhibiting 100% of fungal growth, according to CLSI protocol.13

The MFC was determined by transferring an aliquot of 10 μL from each well, which was subcultured on BHI agar plates. The plates were incubated at 25.0 ºC for 5 days. The MFC was defined as the lowest concentration that showed no growth or less than three colonies, corresponding to 99.0 to 99.5% killing activity, for the sample to be considered fungicidal.14

 

RESULTS AND DISCUSSION

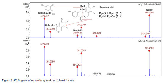
The chromatographic profile of EtOAcP1 revealed two predominant peaks at 7.3 and 7.8 min, with similar ultra-violet (UV) absorptions at approximately 240 and 280 nm, indicating the presence of chromophores characteristic of aromatic systems. Both peaks presented MS2 fragmentation spectrometric profiles that were similar to a flavan-3,4-diol derivative, characteristic of peltogynoids,15 according to the spectrometric data at m/z 603.1502 [2M - H]-, m/z 301.0709 [M - H]- (calcd. for C16H13O6: 301.0712). This indicates the presence of isomers with different retention times.

When compared with literature data, the 1D and 2D NMR spectroscopic profile of EtOAcP1 resulted in the identification of compounds (1-4).16-20 The 1H and J-Res NMR spectral data revealed shifts and overlapping signals for mixtures of isomers and epimers of flavan-3,4-diol derivatives, called peltogynoids (+)-peltogynol (1), (+)-mopanol (2), (+)-peltogynol B (3) and (+)-mopanol B (4) (Figure 1). The 13C NMR, DEPT-135 and HSQC experiments showed signals of carbons in regions that are characteristic of flavan-3,4-diol, with aromatic and dehydrogenated oxymethine carbons. However, based on the DEPT-135 experiment, four oxymethylene carbon signals (C-7') were ortho couplings between H-5 and H-6 (8.5 Hz) and meta couplings between H-6 and H-8 (2.5 Hz). The correlations established via HMBC of the doublets at H-5, H-6, and H-8 to C-7 (dC 158.7 for 1 and 2; dC 157.8 for 3 and 4) confirmed the position of the hydroxyl group at C-7 of ring A (Figure 1). Compounds 1 and 3 differed from 2 and 4 due the substitution pattern of the OH group on ring B. For 1 and 3, the substitution occurred at C-3' and C-4', as observed via the HMBC correlations between the benzylic hydrogens (H-2' and H-5') with C-4' (dC 145.1 for 1; dC 145.0 for 3) and C-5' (dC 144.2 for 1 and 3). The benzylic hydrogens at H-5' of 1 and 3 showed p-couplings (J2',5' 0.8 Hz), thus confirming the substitutions at C-3' and C-4'. In compounds 2 and 4, substitution occurs at C-4' and C-5', confirmed by the HMBC correlations observed between the benzylic hydrogens (H-2' and H-3') with C-4' (dC 143.7 of 2; dC 143.6 of 4) and C-5' (dC 140.0 of 2 and 4).

 

 

The C-ring of compounds 1-4 exhibited axial couplings between the oxymethine hydrogens H-2 and H-3 with large constants (10.0 Hz) consistent with the 2,3-trans configuration. The couplings between the hydrogens H-3 and H-4 were axial due to J3.4 8.5 Hz (3,4-trans for 1 and 2) and equatorial for compounds 3 and 4 (J3.4 3.5 Hz; 3,4-cis). The configurational variation of C-4 (4R→4S) exerted a steric deprotection effect that resulted in a small variation of the C-4 shifts, with dC 116.2 of 1 and 2, 114.7 of 3 and 114.6 of 4. A similar epimerization effect at C-4 of the C ring was observed between the compounds (-)-fisetinidol-4β-ol and (-)-fisetinidol-4α-ol.19 The correlations via HMBC observed between the signals of hydrogens H-3 and H-5' with C-7, as well as the signals of H-7' with C-3 and C-5', confirmed the presence of the hydroxymethylene carbon at C-7', characterizing the D ring of the peltogynoids (+)-peltogynol (1), (+)-mopanol (2), (+)-peltoginol B (3) and (+)-mopanol B (4). In the 1H NMR experiments, it was also possible to establish a relative proportionality between the compounds through the integrals of the relative areas of the signals of the oxymethine hydrogens H-3 of the C ring: compounds 1 (35.6%), 2 (28.3%), 3 (19.4%) and 4 (16.7%). These isolated and acetylated compounds were elucidated for the first time in 1966 by Drewes and Roux20 using only 100 MHz 1H NMR, specific rotation and oxidative reduction. Recently, a peltogynoid dimer containing a monomer similar to (+)-mopanol B was identified by 1D and 2D NMR data.21 Despite the existence of the compounds, until the present work, the two-dimensional spectroscopic data of 1H and 13C NMR of the epimers 3 and 4 had not been updated and identified in the literature.

Compounds 1 and 2 coeluted together in 7.3 min, and compounds 3 and 4 in 7.8 min. The retention factors observed were 0.40 and 0.54 for compounds 1 and 2, 0.71 and 0.88 for 3 and 4, respectively. The retention of compounds 1 and 2 may be associated with their nearly planar structures (2,3-trans-3,4-trans) and the non-planar structures (2,3-trans-3,4-cis) of compounds 3 and 4.22 Thus, the planarity and non-planarity of the flavonoid structures may be related to the low and high chromatographic retention rates according to molecular interactions in reversed phase with aqueous elution systems. Compounds 1-4 showed the same MS2 fragmentation profile (Figure 2) which the molecular ion was assigned to m/z 301.0709 [M - H]- and the m/z 283.0595 ion resulted from the elimination of H2O. The m/z 137.0237 and 163.0390 ions resulted from the retro-Diels-Alder (RDA) cleavage of the C ring, forming a fragment ion derived from ring A and another with the B and D rings intact, respectively.15

 

 

Antifungal activity against Sporothrix spp.

The EtOAcP1 sample containing the mixture of compounds 1-4 was evaluated against isolates of S. schenckii and S. brasiliensis (Table 1). Promising results were found against S. schenckii (MIC = 31.25 µg mL-1), with good activity and fungicidal effect. The activity against S. brasiliensis (MIC = 62.5 µg mL-1) was considered moderate and had a fungistatic effect.12 The results are unprecedented for the mixture of compounds 1-4, and the fungicidal effect observed against S. schenckii is of clinical interest because it is a product of natural origin. The drug of choice, itraconazole, despite having a MIC of 2.0 µg mL-1 and being the main medication for the treatment of sporotrichosis, has an initial fungistatic effect, which requires long treatment periods (90 to 180 days).23 The emergence of strains of Sporothrix spp. resistant to itraconazole has been growing substantially with the increase in cases in recent years in Brazil,23 which makes the clinical cure of sporotrichosis difficult and brings about a need for therapeutic alternatives such as those involving natural compounds.24

 

 

Few reports have described the antifungal properties of plant-derived compounds against Sporothrix spp., and most studies are focused mainly on essential oils25 and crude extracts.5,26 In the present study, the antifungal properties of the predominant isomers (1-4), known as peltogynoids, stimulate new research efforts on these compounds and how their stereochemistry may be related to these properties, thus seeking to support the development of important alternatives for the treatment of sporotrichosis.

 

CONCLUSIONS

The isomeric compounds (+)-peltogynol (1), (+)-mopanol (2), (+)-peltogynol B (3) and (+)-mopanol B (4) were identified from P. catingae wood residues using chromatographic, spectrometric and spectroscopic techniques. The 1D and 2D spectroscopic data were essential for the identification and differentiation of the structures and their proportions. Isomers 1 and 2 differed chromatographically from epimers 3 and 4 by their retention times but had the same UV absorption pattern and a similar MS2 fragmentation profile. Compounds 1-4 demonstrated relevant antifungal activity against Sporothrix spp. (MIC 31.25 and 62.5 µg mL-1) with fungistatic and fungicidal properties. Compounds 1-4 have limited distribution in the plant kingdom and we suggest that they are phytoalexins, produced by plants to defend themselves against microorganisms. There are few reports on the pharmacological activities of peltogynoids, so there is still ample room for research in metabolic screening and exploration of bioactive compounds. It is believed that with the continuation of phytochemical research and metabolic prospecting, peltogynoids will receive increasing attention.

 

SUPPLEMENTARY MATERIAL

Complementary material for this work is available at http://quimicanova.sbq.org.br/, as a PDF file, with free access.

 

DATA AVAILABILITY STATEMENT

The authors declare that the full set of data supporting the findings of this study has been published in the article and in the Supplementary Material section.

 

ACKNOWLEDGMENTS

The authors are grateful for the support from the Fundação de Amparo à Pesquisa Estado do Amazonas (grant No. 01.02.016301.03412/2021-78) and for the scholarship granted to Davi S. Oliveira (call 2022-2023 - POSGRAD) and Maria da Paz Lima (call No. 013/2022 - Produtividade - CT&I).

 

REFERENCES

1. Xavier, M. O.; Poester, V. R.; Trápaga, M. R.; Stevens, D. A.; J. Fungi 2023, 9, 921 [Crossref]; World Health Organization (WHO), Sporotrichosis, https://www.who.int/news-room/fact-sheets/detail/Sporotrichosis, accessed in May 2025.

2. Gremião, I. D. F.; Miranda, L. H. M.; Reis, E. G.; Rodrigues, A. M.; Pereira, S. A.; PLoS Pathog. 2017, 13, e1006077 [Crossref]; Macêdo-Sales, P. A.; Souto, S. R.; Destefani, C. A.; Lucena, R. P.; Machado, R. L. D.; Pinto, M. R.; Rodrigues, A. M.; Lopes-Bezerra, L. M.; Rocha, E. M. S.; Baptista, A. R. S.; BMC Vet. Res. 2018, 14, 19. [Crossref]

3. Xavier, J. R. B.; Waller, S. B.; Osório, L. G.; Vives, P. S.; Albano, A. P. N.; de Aguiar, E. S. V.; Ferreira, M. R. A.; da Conceição, F. R.; de Faria, R. O.; Meireles, M. C. A.; Gomes, A. R.; Journal of Medical Mycology 2021, 31, 101163 [Crossref]; Nakasu, C. C. T.; Waller, S. B.; Ripoll, M. K.; Ferreira, M. R. A.; Conceição, F. R.; Gomes, A. D. R.; Osório, L. G.; de Faria, R. O.; Cleff, M. B.; Braz. J. Microbiol. 2021, 52, 163. [Crossref]

4. de Souza, L. C. D. S. V.; Alcântara, L. M.; de Macêdo-Sales, P. A.; Reis, N. F.; de Oliveira, D. S.; Machado, R. L. D.; Geraldo, R. B.; dos Santos, A. L. S.; Ferreira, V. F.; Gonzaga, D. T. G.; da Silva, F. C.; Castro, H. C.; Baptista, A. R. D. S.; Pharmaceuticals 2022, 15, 55 [Crossref]; Macêdo-Sales, P. A.; Souza, L. O. P.; Della-Terra, P. P.; Lozoya-Pérez, N. E.; Machado, R. L. D.; da Rocha, E. M. D. S.; Lopes-Bezerra, L. M.; Guimarães, A. J.; Rodrigues, A. M.; Mora-Montes, H. M.; dos Santos, A. L. S.; Baptista, A. R. S.; Fungal Genet. Biol. 2020, 40, 103397. [Crossref]

5. Trindade, F. G.; Taveira, G. B.; de Carvalho, L. P.; Moreira, V. F.; Feitoza, R. B. B.; Gomes, V. M.; Vieira, I. J. C.; Braz-Filho, R.; Melo, E. J.; Cunha, M. D.; Plant Biosystems 2023, 157, 658 [Crossref]; da Costa, R. C.; Santana, D. B.; Araújo, R. M.; de Paula, J. E.; do Nascimento, P. C.; Lopes, N. P.; Braz-Filho, R.; Espindola, L. S.; Bioorg. Med. Chem. 2014, 22, 135. [Crossref]

6. Waller, S. B.; Madrid, I. M.; Faria, R. O. D.; Cleff, M. B.; Mello, J. R. B. D.; Meireles, M. C. A.; Braz. J. Pharm. Sci. 2016, 52, 221. [Crossref]

7. Basset, C.; Eparvier, V.; Espindola, L. S.; Nat. Prod. Commun. 2015, 10, 605 [Crossref]; Kochanovski, F. J.; Nogueira, L. H. P.; Rosa, M. P. G.; Mansano, V. F.; Sartori, A. L. B.; Phytotaxa 2025, 688, 1. [Crossref]

8. Gutiérrez-Macías, P.; Gutiérrez-Zúñiga, C. G.; Garduño-Siciliano, L.; Ordaz-Pichardo, C.; Arriaga-Alba, M.; Barragán-Huerta, B. E.; J. Food Sci. Technol. 2019, 56, 3225. [Crossref]

9. Zhen, D. J.; Jian, Q. M.; Xu, C. J.; Drugs & Clinics 2011, 2, 174 [Link] accessed in May 2025; Carvalho, W.; Canilha, L.; Ferraz, A.; Milagres, A. M. F.; Quim. Nova 2009, 32, 2191. [Crossref]

10. Bednarek, P.; Osbourn, A.; Science 2009, 324, 746. [Crossref]

11. Ramos, H. G.; Lima, J. A. O.; Santos, H. C.; Nascimento, C. C.; Queiroz-Junior, L. H. K.; Lima, M. P.; J. Serb. Chem. Soc. 2025, 90, 271 [Crossref]; Garcia, M. G.; Gomes, R. F.; Nascimento, C. C.; Oliveira, L. M.; Thomasi, S. S.; Ferreira, A. G.; Lima, M. P.; Chem. Nat. Compd. 2021, 57, 300. [Crossref]

12. Sanchotene, K. O.; Brandolt, T. M.; Klafke, G. B.; Poester, V. R.; Xavier, M. O.; Med. Mycol. 2017, 55, 869. [Crossref]

13. Clinical and Laboratory Standards Institute (CLSI); M27-A2: Method for Broth Dilution Antifungal Susceptibility Testing of Yeasts, Approved Standard, 2nd ed.; NCCLS: Pennsylvania, 2002. [Link] accessed in May 2025

14. Espinel-Ingroff, A.; Fothergill, A.; Peter, J.; Rinaldi, M. G.; Walsh, T. J.; J. Clin. Microbiol. 2002, 40, 3204. [Crossref]

15. de Almeida, M. E.; Gottlieb, O. R.; Teixeira, M. A.; Phytochemistry 1974, 13, 1225. [Crossref]

16. Ferreira, D.; Steynberg, J. P.; Roux, D. G.; Brandt, E. V.; Tetrahedron 1992, 48, 1743. [Crossref]

17. Malan, J. C. S.; Young, D. A.; Steynberg, J. P.; Ferreira, D.; J. Chem. Soc., Perkin Trans. 1 1990, 2, 219. [Crossref]

18. Melong, R.; Kapche, D. G.; Feussi, M. T.; Laatsch, H.; Nat. Prod. Commun. 2014, 9, 1499. [Crossref]

19. Hashida, K.; Tabata, M.; Kuroda, K.; Otsuka, Y.; Kubo, S.; Makino, R.; Ohara, S.; J. Wood Sci. 2014, 60, 160. [Crossref]

20. Drewes, S. E.; Roux, D. G.; J. Chem. Soc. C 1966, 1644. [Crossref]

21. Taga, Y.; Yamauchi, K.; Mitsunaga, T.; Wood Sci. Technol. 2025, 59, 11. [Crossref]

22. Drewes, S. E.; Roux, D. G.; J. Chem. Soc. C 1967, 1407. [Crossref]

23. Valdez, A. F.; Corrêa-Junior, D.; Bonilla, J. J. A.; Zamith-Miranda, D.; Frases, S.; Freitas, D. F. S.; Nosanchuk, J. D.; Current Tropical Medicine Reports 2023, 10, 252 [Crossref]; Mesquita, V. A.; Talhari, S.; Leturiondo, A. L.; de Souza, G. C.; de Brito, E. M.; de Andrade, S. L.; Fernandes, D. C. L.; Frota, M. Z. M.; Cruz, R. C. S.; Guimarães, J. A. R.; Miot, H. A.; Talhari, C.; Pedrosa, V. L.; PLoS Neglected Trop. Dis. 2024, 18, 1 [Crossref]; Orofino-Costa, R.; Macedo, P. M. D.; Rodrigues, A. M.; Bernardes-Engemann, A. R.; An. Bras. Dermatol. 2017, 92, 606. [Crossref]

24. Rodrigues, A. M.; Gonçalves, S. S.; de Carvalho, J. A.; Borba-Santos, L. P.; Rozental, S.; Camargo, Z. P. D.; J. Fungi 2022, 8, 776. [Crossref]

25. Couto, C. S.; Raposo, N. R.; Rozental, S.; Borba-Santos, L. P.; Bezerra, L. M.; de Almeida, P. A.; Brandão, M. A.; Trop. J. Pharm. Res. 2015, 14, 1207. [Crossref]

26. de Souza, L. C. D. S. V.; Reis, N. F.; Alcântara, L. M.; Souto, S. R. L. S.; Penna, B. A.; Santos, R. C. S.; Robbs, B. K.; Machado, F. P.; Castro, H. C.; Machado, R. L. D.; Rocha, L.; Baptista, A. R. S.; Braz. J. Microbiol. 2023, 54, 579. [Crossref]

 

Guest Editor handled this article: Ivo José C. Vieira

On-line version ISSN 1678-7064 Printed version ISSN 0100-4042
Qu�mica Nova
Publica��es da Sociedade Brasileira de Qu�mica
Caixa Postal: 26037 05513-970 S�o Paulo - SP
Tel/Fax: +55.11.3032.2299/+55.11.3814.3602
Free access

GN1