JBCS



12:53, sex out 24

Acesso Aberto/TP



Artigo


Bolhômetro digital: construção de instrumento de medida de vazão gasosa baseado em transmitância de luz em faixas de 15-150 mL min-1
Digital bubblemeter: construction of a gas flow measurement instrument based on light transmittance in flow rates of 15-150 mL min-1

Igor R. NevesI,*; André J. R. SimõesII; Leandro R. TeixeiraII; Juliane G. C. GomesII; Soraia T. BrandãoI; Iuri M. PepeII

I. Instituto de Química, Universidade Federal da Bahia, 40170-290 Salvador - BA, Brasil
II. Instituto de Física, Universidade Federal da Bahia, 40170-290 Salvador - BA, Brasil

Recebido: 19/12/2024
Aceito: 23/06/2025
Publicado online: 18/07/2025

Endereço para correspondência

*e-mail: igor.rdneves@gmail.com

RESUMO

Gas flow measurement is a necessity in many areas of chemical research. One equipment used for this end is the bubblemeter or soap-flowmeter. The principle of this instrument is based on measuring the time it takes for a thin film of soap - a bubble - to move through an area with a known volume. The analog version of this equipment present limitations, such as the dependence on analyst monitoring and the associated ergonomic risk. This work presents the development of a digital soap flowmeter portable and autonomous. The instrument uses light emitting diode (LED)-photodiode pairs, a signal treatment system and microcontroller for operating independently of a PC or laptop. This work automated the detection of the thin film passage for measuring the initial and final times of detection, thereby minimizing errors present in analog bubblemeters. For ensuring precision, the instrument was calibrated with an analog bubblemeter. Additionally, tests with multiple gases were conducted for validating the results, whereupon digital and analog soap-flowmeters were satisfactorily concordant. The portability and precision of the designed device ensure it is adequate for laboratorial and field usage, guaranteeing quick and safety in the measurement of gaseous flow.

Palavras-chave: flow; instrumentation; physical-chemistry.

INTRODUÇÃO

Bolhômetros são instrumentos destinados à medida de vazão gasosa. Estes equipamentos são constituídos por um recipiente com volume conhecido, geralmente uma vidraria volumétrica, acoplado a um bulbo contendo sabão, dotado de uma entrada lateral de gás (Figura 1).

 

 

A medida de vazão feita com esse aparelho baseia-se na medição do tempo de deslocamento de uma bolha de sabão pelo volume da zona de medida pré-definida, de modo a encontrar a vazão f como determina a Equação 1.

No caso dos bolhômetros mais comuns, aqui chamados analógicos, usa-se uma coluna de vidro de volume conhecido com graduação, linhas, e um cronômetro para aferir o tempo. A medida começa, ou finda, pela observação a olho nu da película que compõe o corpo da bolha (menisco), ao tangenciar a linha da vidraria. Nesse trabalho chama-se essa película de bolha.

O uso desse instrumento de medida é bastante antigo em aplicações de baixa vazão e sua precisão, potencialmente, garante erros menores que 2% dessa vazão,1 já tendo sido usados para calibrar flowmeters digitais2 e sendo um método bem conhecido desde 1934.3 É fundamental sinalizar que a medida de vazão é importante para um sem número de aplicações na Química.

Bolhômetros analógicos também oferecem risco ergonômico, uma vez que a necessidade de alinhar os olhos às graduações das vidrarias volumétricas, fazem seu operador passar bastante tempo em posições desconfortáveis durante as medidas.

Lashkari e Kruczek1 propuseram monitorar o deslocamento com o auxílio de pares de diodo emissor de luz (LED)-fotodiodo como indicadores de passagem, uma vez que a maior fonte de incerteza na medida de vazão por bolhômetros decorre dos erros aleatórios inerentes ao cronômetro.4 O aparelho proposto por Levy,4 por outro lado, que visa a medida de microvazões, não tem caráter de instrumento único, sendo mais uma adaptação realizada com um flowmeter comercial e um conjunto de sensores.

Fursenko e Odintsov5 trabalharam utilizando a bolha como o meio condutor que fecha um circuito de detecção e determina o início ou o final da contagem do tempo. Estes autores estudaram faixas de vazão similares às faixas investigadas no trabalho ora apresentado. Seu instrumento, entretanto, parece requerer ainda o interfaceamento por computador pessoal (PC) para determinação da vazão por aquisição de dados, o que o torna um aparato dependente.

Recentemente foi também patenteado por um time chinês6 um bolhômetro eletrônico baseado em interruptores de mercúrio juntos a LEDs, diferenciando-se do aqui proposto em princípio de medida e em não ser portátil. Essa patente parece ter incitado outras de times correlatos em forma de fixá-lo e torná-lo portátil, de modo que, de forma similar ao equipamento de Levy e Fursenko, e Odintsov não caracteriza um equipamento independente.

Outra proposta, se dá pelo bolhômetro por análise de sensor de imagem7 que complexifica o tratamento de dados em relação a um sensor de luminosidade.

Ademais, o uso do bolhômetro enquanto instrumento é ainda relevante em diferentes campos. A exemplo, para medida de fluxo através de sistemas de teste de membranas seletivas8 e para calibração de vazão através de um sistema para conferência de risco à saúde do ar.9 Esses empregos exigem então determinada precisão e suscitam a necessidade de automatizar e tornar portátil o aparelho.

Neste trabalho, o bolhômetro desenvolvido usa LEDs e fotodiodos, além de um microcontrolador. Ele não necessita outras conexões, além da alimentação pela rede elétrica ou pack de baterias facilmente adaptável dado a entrada P4 de alimentação. Sendo aplicável a medidas de vazão na faixa de 15 a 150 mL min-1, utilizando vidraria não volumétricas pré-calibradas.

 

PARTE EXPERIMENTAL

Bolhômetro analógico

Da necessidade de calibração do bolhômetro proposto, optou-se por um processo de aferição baseado em um instrumento de mesma classe e característica construtiva que o instrumento a ser calibrado, um bolhômetro analógico.

O instrumento utilizado para calibração do automatizado é constituído de uma vidraria volumétrica de 25 mL, onde foi adaptada uma entrada lateral para gases (Figura 2). O tempo foi medido por um cronômetro de mão, que determina o intervalo de tempo que a bolha leva para percorrer o volume determinado entre as graduações de 25 a 15 mL. Para uma medida i arbitrária define-se a vazão como fcron e tempo medido no cronômetro tcron:

 

 

Hardware do instrumento

Neste trabalho, o bolhômetro desenvolvido usa LEDs, fotodiodos e microcontrolador de forma análoga ao trabalho de Lashkari e Kruczek,1 mas com elementos de minimização de instrumentação usando apenas dois pares de LED-fotodiodo.

A estrutura física do instrumento foi pensada em termos de manufatura aditiva auxiliada por computador, que oferece determinadas vantagens, principalmente em tempo de prototipação e manufatura na produção de instrumentos analíticos.10

Assim, além de uma vidraria laboratorial comum, uma seringa de 10 mL, a estrutura mecânica desse novo instrumento consiste em uma impressão 3D dividida em 4 partes: (1) o corpo (Figura 3a), (2) a tampa (Figura 3b), (3) o visor (Figura 3c) e (4) pernas para suporte (Figura 3d). Na parte anterior do corpo (1) fica presa a placa de circuito impresso que controla o aparelho (Figura 3a), enquanto que na tampa (2) fica inserido o conector para a fonte de alimentação de 12 V, 1 A, modelo ODL-1210AOC. A tampa e o corpo são fixados por parafusos M2 e porcas nas abas da tampa.

 

 

Os dados de tempo, além de outras mensagens são mostrados numa tela de cristal líquido (LCD) 16 × 2, com backlight verde, montado junto a um módulo i2c. Um LED de 5 mm (verde) indica se o aparelho está ligado ou desligado e os outros dois LEDs indicam o status dos sensores (que sensor registrou ou não a passagem de uma bolha), LED-StUP e LED-StDn. Ademais, o aparelho é dotado de um botão de reset (Res) e um interruptor liga/desliga. A tampa (2) é fixada ao corpo (1) por parafusos M2 com porca que atravessam os cantos inferiores.

Os LEDs e os fotodiodos foram montados em suportes cilíndricos em alumínio, alojados e fixados nos orifícios laterais do corpo (Figura 3a) impresso em acrilonitrila butadieno estireno (ABS). Os pares de detecção são fixados na estrutura em polímero por parafusos M6, com porcas encastradas nos suportes, como pode ser visto na Figura 4.

 

 

O circuito de controle é representado na Figura 5, sendo constituído por uma fonte de corrente constante e ajustável para os LEDs, um módulo de condicionamento de sinal e um módulo de controle e aquisição de dados. A fonte de corrente constante fornece aos LEDs uma corrente ajustável entre 0,5 e 20 mA. Na entrada do módulo de condicionamento de sinal, um pré-amplificador de transimpedância converte a corrente dos fotodiodos em tensão, com ganho de 10 kV A-1. Esse sinal é em seguida tratado, um filtro passa baixo de primeira ordem prepara o sinal para ser aquisitado pelas entradas de conversão analógico digital (ADC) do microcontrolador.

 

 

O módulo de controle e aquisição de dados, composto por um microcontrolador Raspberry Pi Pico Zero, converte os sinais presentes na saída do módulo de condicionamento de sinais em valores numéricos que podem ser armazenados pelo microcontrolador. O Raspberry também controla o display LCD, os LEDs de sinalização e recebe sinal do botão reset. Sua alimentação é feita através de um regulador em série, step-down, montado a partir de regulador de tensão LM317T (TO-220).

A seringa de 10 mL foi instalada no centro do corpo impresso em 3D, num conduto cilíndrico com ponta Luer Lock conectada a uma mangueira em látex e uma conexão pneumática em T, do tipo PEG.

Software de estudo e testes preliminares

O software adquire, em unidades de contagens de ADC (analog-digital-converter ou conversor-analógico-digital), durante a inicialização com a seringa ainda vazia, o sinal dos fotodiodos que estão em visada direta da luz dos LEDs. Estes sinais servem para normalizar os sinais menores gerados quando houver passagem das bolhas. O microcontrolador monitora a cada ciclo o valor de contagem de ADC relativo ao fotodiodo inferior (PhDn), ao fotodiodo superior (PhUp), além do tempo consumido por um ciclo de escrita no arquivo de log.

Os testes realizados foram testes para determinar a assinatura das bolhas. A resposta à passagem de bolhas foi determinada, para diferentes vazões, de modo a verificar a dimensão da variação nos valores que indicam a passagem da bolha à frente de cada um dos sensores óticos, além da forma e da estrutura do sinal gerado por esta passagem.

Firmware do instrumento

O firmware foi escrito em MicroPython, compatível com a versão 1.23.0, executado em Raspberry Pi Pico com processador RP2040. O programa faz a leitura, em unidades de contagens de ADC, no momento da inicialização, chamadas de (PhDn0) e (PhUp0). Essa medida se refere à fotocorrente gerada no fotodiodo em visada direta com o LED sem impedimento da bolha.

Em seguida, o microcontrolador monitora, a cada ciclo de leitura, as suas entradas analógicas e o valor da fotocorrente do fotodiodo inferior (PhDn) e superior (PhUp), durante a execução do programa o processador assume diferentes estados StDn e StUp relativos à forma de tratar os valores (PhDn) e (PhUp). Este status pode ser 1 (ativo) e, portanto, (PhDn) ou (PhUp) será levado em consideração, ou, 0 (inativo), os valores lidos (PhDn) ou (PhUp) não serão levados em consideração.

Num ciclo típico de medida, o sistema pode assumir sequencialmente os estados (StDn, StUp) como sendo: (1,0) apenas o sensor inferior está ativo, (0,1), apenas o superior está ativo, e (0,0), ambos estão inativos.

Ao iniciar o equipamento, ou ao apertar o botão reset, o sistema retorna para o estado (1,0), nesse momento os LEDs de status no painel do instrumento, LED-StUp (LED ao lado de "Up" no painel, Figura 4) e LED-StDn (LED ao lado de "Dn" no painel, Figura 4) estão desligados.

No estado (1,0) se PhDn < 0,97 PhDn0, registra-se o tempo do ciclo e muda-se o estado do sistema para (0,1). Isso garante, por exemplo, que bolhas duplas sejam impedidas de gerar leituras esdrúxulas.

No estado (0,1) o LED-StDn do painel está ligado, indicando que o tempo absoluto de passagem da bolha t1 foi registrado. Nesse estado, se PhUp < 0,97 PhUp0, o sistema registra o tempo absoluto t2 e entra no estado (0, 0). Neste momento os LED-StUp e LED­StDn estão ligados e o sistema exibe no display a vazão f e o tempo tdig.-i = t2 - t1. Se o tempo que advém de uma medida arbitrária i é tdig.-i, a vazão determinada de forma digital fdig.-i é dada pela Equação 3.

onde Vass é uma constante que representa o volume que a bolha percorre entre os detectores de passagem de bolhas, sendo determinado pela calibração do equipamento.

Calibração do equipamento

O equipamento foi calibrado de modo a achar um volume Vass associado à sua vidraria.

Inicialmente, uma vazão arbitrária de nitrogênio 5.0 foi estabelecida com auxílio de uma válvula agulha ligada a uma mangueira e medida pelo bolhômetro analógico 6 vezes, essa medida é dita tcron.1. Em seguida, aguardou-se 1 min para as medidas com tempos tcron.1 menores que 30 s, no intuito de verificar a estabilidade da vazão. Logo depois, repetiu-se o processo, essa medida foi chamada tcron.2. Para os casos em que a média foi concordante, seguiu-se o processo de calibração, nos casos contrários, o processo foi repetido até encontrar tcron. constante.

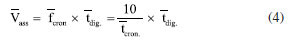
Imediatamente depois, a mangueira acoplada ao bolhômetro analógico foi transferida para o bolhômetro digital construído. Assim, assumindo que fdig = fcron., foram então tomadas 6 medidas de tempo digital pelo bolhômetro tdig..

Usando as Equações 2 e 3, define-se o valor de Vass:

Ou ainda:

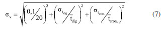
O desvio padrão assumido associado ao volume V da vidraria foi de 0,1 mL, como menor medida diferençável na escala do bolhômetro. O desvio padrão de cada medida pode ser determinado pela Equação 6:

em que, σt é o desvio relativo ao tempo; t é tdig ou tcron, o subscrito i indica a medida arbitrária e o mácron, valor médio.

Já o erro associado ao valor Vass, σv, foi determinado propagando os erros de V, volume da vidraria, tdig. e tcron, assumidas como medidas independentes, conforme a Equação 7.11

Testes de vazão com gases variáveis

Os testes de gases foram realizados de modo a determinar a variação entre os valores obtidos pelo modelo de bolhômetro desenvolvido e os valores obtidos por um bolhômetro analógico, usando diferentes gases, com auxílio de 4 massflowmeters sem calibração recente.

Para cada gás testado (CH4, CO2, H2 e Ar) foram tomados dois set-points, um a 50 e outro a 25 mL min-1. As vazões foram medidas com o bolhômetro digital calibrado e com o bolhômetro analógico dotado de vidraria previamente calibrada.

Os erros relativos (E) foram calculados entre a vazão registrada pelo bolhômetro analógico e pelo bolhômetro digital usando a Equação 8.

 

RESULTADOS E DISCUSSÃO

Testes de assinatura de bolha

Após adquirir numericamente os dados de intensidade normalizada da luz transmitida durante a passagem de 6 bolhas, com superfície bem formada, foi possível estabelecer, usando o instrumento desenvolvido, a assinatura de uma bolha de sabão em movimento de deriva no interior dessa vidraria. O sinal aquisitado pelos sensores apresenta três regiões facilmente distinguíveis: (i) uma crista inicial, (ii) um vale e (iii) uma crista final (Figura 6).

 

 

Esse tipo de comportamento foi observado por Lashkari e Kruczek1 e parece estar associado a regiões de reflexão que precedem e sucedem uma região de absorção ou dispersão de luz. Isto é, a superfície do filme que forma a bolha, ao entrar no feixe, primeiro desvia parte da luz na direção do detector provocando um aumento no sinal. Apenas após alguns milímetros de avanço, os raios que passam pelo corpo da bolha são absorvidos, ou desviados o suficiente para não mais alcançar o sensor. Isso cria a zona de mínimo na coleção dos fótons.

Da morfologia do sinal é possível notar que, consistentemente, o sensor 1 gera sinais mais homogêneos, mas também apresenta cristas mais intensas e menores vales. A instabilidade na coleção de luz observada no sensor na região 2 pode ser atribuída ao fato das bolhas, em seus aspectos físicos (forma e homogeneidade), termodinâmicos (densidade, temperatura local) e óticos (índice de refração e refletância) evoluírem em função da distância percorrida. Ou seja, as bolhas na seringa, na parte superior estão mais sujeitas à mudança de suas características físicas, mesmo que o tempo de residência em frente aos sensores seja similar devido ao maior tempo de deslocamento.

O limiar para que a passagem de uma bolha seja considerada verdadeira foi previamente escolhido como 1,03-0,97 em unidade relativa. Em outras palavras, se o sinal na entrada analógica do microcontrolador desviar de 3% do sinal de visada direta dos LEDs, em uma seringa sem bolhas, então o objeto na frente do detector é uma bolha. Portanto, o tempo de arraste dessa bolha, ou tempo de permanência da bolha no volume de interesse, pode ser medido. Uma vez imposto esse critério, não foram observados falsos positivos ou negativos nas bolhas detectadas durante os testes.

Esse comportamento em regiões de crista e vale foi investigado em repetição do teste de assinatura, com diferentes vazões. Apesar disso, a morfologia do sinal se manteve independente da vazão adotada, exibindo duas regiões de crista e uma de vale para todas as medições (Figuras 7 e 8). Nesse tipo de teste, o sinal foi considerado ativado para valores de intensidade relativa maiores que 1,03, para determinação do tempo entre crista (tcrista-a-crista). Ou menores que 0,97, para determinação dos tempos de vale (tvale).

 

 

 

 

As vazões monitoradas foram de N2 5.0 medidas 6 vezes com um bolhômetro analógico e apresentaram variação inferiores a 3%.

Os tempos tcrista-a-crista e tvale estão relacionados ao tempo que a bolha leva para percorrer a região iluminada por cada um dos LEDs. Da Equação 1 espera-se que esses intervalos sejam inversamente proporcionais à vazão. A relação linear entre os dados pode ser evidenciada pela correlação entre f e 1/tcrista-a-crista (Figura 9a).

 

 

Ainda da Equação 1, é possível encontrar um volume associado Vass = 1,43 mL (1430 mm3), a partir dos dados de correlação entre 1/tcrista-a-crista e vazão. Ademais, conhecendo o diâmetro interno da vidraria (9,59 ± 0,01 mm) é também possível determinar a altura da região visada pelo sensor, uma vez que Vass = h × π × r2, em que r é o raio da vidraria, 4,80 mm, e h é a altura da região em que os valores do sensor são afetados pela bolha. Nesse caso a região visada é de cerca de 19,7 mm, considerada simétrica em relação ao centro do fotodiodo (cerca de 9,9 mm para cima e para baixo deste centro).

Essa altura h permite inferir que os sensores são independentes entre si, pois seus centros distam de mais de 20 mm, impossibilitando crosstalk entre eles. A adoção dessa distância h pode ser tomada como uma boa comprovação de que o instrumento proposto a geometria do equipamento é flexível a mudanças.

A correlação entre f e 1/tvale (Figura 9b) é menos claramente linear, mas isso pode ser atribuído aos tempos de vale estarem mais próximos a 0,02 s, valor mínimo de intervalo de tempo entre os ciclos de aquisição, tornando-os assim mais suscetíveis a flutuações estatísticas.

Ademais, a velocidade de aquisição programada foi de 20 ms, como sabido, na prática, esta cadência de aquisição pode variar (Figura 10). O tempo de máquina real médio pôde ser determinado através de testes de longa duração, por exemplo aquisitando os sinais de assinatura da bolha. É possível notar que o tempo de aquisição é bastante constante, com eventos pontuais onde este ciclo é mais estendido, parecendo que a aquisição dos tempos absolutos t2 ou t1 podem implicar num certo atraso de ciclo. Essas extensões, entretanto, acarretaram atrasos de até 10 ms, tempo que ainda permite a operação do instrumento com a precisão desejada.

 

 

Calibração do instrumento

Os pontos tomados podem ser vistos em distribuição no gráfico baseado na Equação 5, apresentado na Figura 11.

 

 

Do ajuste numérico dos resultados experimentais, o valor do volume associado fiduciário Vass do bolhômetro deveria ser de 5,99 ± 0,11 mL. Já utilizando dos valores médios pelas Equações 4 e 7, o valor resultante é de 6,06 ± 0,14 mL, valores compatíveis entre si, a menos de um sigma. O valor utilizado como valor de calibração do instrumento e transposto para o firmware do equipamento foi o de 6,06 mL.

Teste de vazão de gases variados

No gráfico da Figura 12, pode ser observado que as medidas figurando nessa plotagem estão associadas a erros relativos negativos, indicando uma tendência. Este erro sistemático pode estar associado, tanto ao operador do bolhômetro analógico, quanto ao aparelho, dificultando a diferenciação. Apesar da dificuldade em diferenciar a fonte de erro, um erro sistemático médio foi estimado e tem valor de -1,2% da vazão tomada.

 

 

Além disso, nota-se que a dimensão dos erros entre as medidas para os gases habita uma mesma ordem de grandeza e em todos os casos, para as médias, são inferiores a 3%, valor de confiança proposto pela calibração. Entretanto, no caso de apenas uma medida arbitrariamente selecionada dentro do conjunto de medidas, o maior valor para esse erro foi de 3,6% sugerindo que, por maior prudência, para uma medida única o erro associado pode ser considerado de 5%.

 

CONCLUSÕES

O presente trabalho desenvolveu como objetivado um instrumento que foi calibrado de modo a provar que sua precisão é adequada para seu uso como instrumento laboratorial utilizando eletrônica robusta e impressão 3D.

Foi ainda possível criar um sistema que mantém a intensidade do LED estável pela regulação de corrente, notado pela variação média inferior a 2% que se observou na ausência de bolhas em visada do par LED-fotodiodo nos testes de longa duração. Desse modo, detectou-se a interferência de uma película de água sobre o caminho ótico de um feixe de LED em variações superiores a 3% sem a presença de quaisquer falso-positivos.

O aparelho após e durante a calibração não apresentou dificuldades em medir vazões compatíveis entre as películas ideais, uma bolha bem formada e de superfície lustrosa atravessando o tubo. Ademais, também apresentou pouca tendência a exibir valores anômalos devido à película deformada ou bolhas duplas, artefatos de difícil medição em bolhômetros analógicos devido a não formação de películas que sirvam como indicadores visuais para início e final da medida no cronômetro.

O aparelho mede satisfatoriamente, com até 5% de erro, valores de 15 a 150 mL min-1 para uma medida arbitrária e 3% de erro para a média de três medidas, a vazão dos gases estudados. Também apresenta portabilidade e independência que permite ser utilizado como aparelho móvel, em medidas de vazão em diferentes posições de um mesmo laboratório ou aplicações em campo.

É também possível usar este aparelho para estudar o perfil de sinais de película atravessando um feixe de luz, isso sugere outros estudos a investigar o perfil frente a mudanças do tensoativo utilizado para proporcionar a formação da película. Não somente, também permite estudá-lo em diferentes atmosferas admitindo fluxos de diferentes gases pela entrada lateral.

O aparelho aqui presente é também flexível em geometria e pode ser adaptado de modo a estreitar o tempo de residência da bolha sobre o sensor, garantindo mais precisão ou aumentar o tempo de residência permitindo medida de maiores ou menores vazões com mesmo sistema eletrônico.

 

DECLARAÇÃO DE DISPONIBILIDADE DE DADOS

Todos os dados pertinentes e que não interferem na segurança financeira da Universidade Federal da Bahia e autores do artigo foram disponibilizados em seu texto. Quaisquer outros dados podem ser solicitados ao autor correspondente.

 

CONTRIBUIÇÕES DO AUTOR

Igor R. Neves foi responsável por conceituação, curadoria de dados, análise formal, redação-rascunho original, software; André J. R. Simões por conceituação, curadoria de dados, software; Leandro R. Teixeira por conceituação, visualização, software, redação (revisão e edição); Juliane G. C. Gomes por investigação, software; Soraia T. Brandão por conceituação, redação-revisão, administração de projetos; Iuri M. Pepe por conceituação, curadoria de dados, análise formal, redação-revisão, administração de projetos.

 

REFERÊNCIAS

1. Lashkari, S.; Kruczek, B.; Flow Meas. Instrum. 2008, 19, 397. [Crossref]

2. Waaben, J.; Stokke, D. B.; Brinkløv, M. M.; Br. J. Anaesth. 1978, 50, 1251. [Crossref]

3. Barr, G.; J. Sci. Instrum. 1934, 11, 321. [Crossref]

4. Levy, A.; J. Sci. Instrum. 1964, 41, 449. [Crossref]

5. Fursenko, R. V.; Odintsov; E. S.; Flow Meas. Instrum. 2022, 85, 102165. [Crossref]

6. Ximei, Z.; Yanshan, X.; CN 216283769 U 2022.

7. Chenxi, H.; Hua, T.; CN 102620783 A 2014.

8. Wang, L.; Wang, K.; Zhao, G.; Wang, Y.; Li, Z.; Tong, F.; Lei, L.; Xu, Z.; Chem. Eng. Sci. 2024, 302, 120717. [Crossref]

9. Khalili, M.; Farahani, M. K.; Aerosol Science and Engineering 2025, 9, 152. [Crossref]

10. Capel, A. J.; Rimington, R. P.; Lewis, M. P.; Christie, S. D. R.; Nat. Rev. Chem. 2018, 2, 422. [Crossref]

11. Tellinghuisen, J.; J. Phys. Chem. A 2001, 105, 3917. [Crossref]

 

Editor Associado responsável pelo artigo: Marcela M. Oliveira

On-line version ISSN 1678-7064 Printed version ISSN 0100-4042
Qu�mica Nova
Publica��es da Sociedade Brasileira de Qu�mica
Caixa Postal: 26037 05513-970 S�o Paulo - SP
Tel/Fax: +55.11.3032.2299/+55.11.3814.3602
Free access

GN1